Coexistence of Vertebral and Intervertebral Disc Changes in Low Back Pain Patients—In Depth Characterization with Same Day MRI and CT Discography
Abstract
:1. Introduction
2. Materials and Methods
2.1. Reliability Measures
2.2. Statistics
3. Results
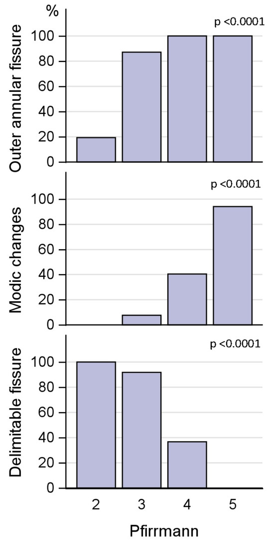
3.1. Distribution of Morphological Changes within the Cohort
3.2. Intervertebral Disc Changes Discs in Relation to Endplate Score and Modic Changes
| Number of Intervertebral Discs Affected (%) | Number of Endplate Segments Affected (%) | Number of Vertebral Units Affected (%) | |||||||||
|---|---|---|---|---|---|---|---|---|---|---|---|
| MRI n = 204 | CT discograms n = 194 | MRI/CT combined n = 204 | MRI n = 408 | ||||||||
| Pfirrmann Grade | HIZ | Outer Annular Fissure | Delimitable Fissures | Endplate Defect Score | Modic Change MC | Sclerosis on CT Stratified by MC | |||||
| MC type 1 | 10 (2.5) | 5 (50) | |||||||||
| 1 | 0 | yes | 95 (46.6) | yes = DDS ≥ 1 | 160 (82.5) | 91 (46.9) | 1 | 49 (24.0) | MC type 2 | 66 (16.1) | 41 (62.1) |
| 2 | 32 (15.7) | no | 109 (53.4) | no = DDS 0 | 34 (17.5) | 2 | 65 (31.9) | MC type 3 | 3 (0.7) | 3 (100) | |
| 3 | 72 (35.3) | 3 | 51 (25.0) | MC mix 1&2 | 15 (3.7) | 13 (86.7) | |||||
| 4 | 83 (40.7) | 4 | 31 (15.2) | MC mix 2&3 | 9 (2.2) | 8 (88.9) | |||||
| 5 | 17 (8.3) | 5 | 8 (3.9) | MC mix 1&3 | 8 (2.0) | 7 (87.5) | |||||
| no MC | 297 (72.8) | 28 (9.4) | |||||||||
3.3. Coexistence of Modic Changes and Endplate Score
3.4. Sclerosis in Relation to Modic Changes and Annular Fissures
3.5. Contrast Extending into the Vertebrae
3.6. Reliability Measures
4. Discussion
5. Conclusions
Author Contributions
Funding
Institutional Review Board Statement
Informed Consent Statement
Data Availability Statement
Conflicts of Interest
References
- Mokdad, A.H.; Mensah, G.A.; Krish, V.; Glenn, S.D.; Miller-Petrie, M.K.; Lopez, A.D.; Murray, C.J.L. Global, regional, and national incidence, prevalence, and years lived with disability for 328 diseases and injuries for 195 countries, 1990–2016: A systematic analysis for the Global Burden of Disease Study 2016. Lancet 2017, 390, 1211–1259. [Google Scholar]
- Koes, B.W.; van Tulder, M.W.; Thomas, S. Diagnosis and treatment of low back pain. BMJ 2006, 332, 1430–1434. [Google Scholar] [CrossRef]
- Chiarotto, A.; Koes, B.W. Nonspecific low back pain. N. Engl. J. Med. 2022, 386, 1732–1740. [Google Scholar] [CrossRef]
- Brinjikji, W.; Diehn, F.E.; Jarvik, J.G.; Carr, C.M.; Kallmes, D.F.; Murad, M.H.; Luetmer, P.H. MRI Findings of Disc Degeneration are More Prevalent in Adults with Low Back Pain than in Asymptomatic Controls: A Systematic Review and Meta-Analysis. Am. J. Neuroradiol. 2015, 36, 2394–2399. [Google Scholar] [CrossRef] [PubMed]
- Luoma, K.; Vehmas, T.; Kerttula, L.; Grönblad, M.; Rinne, E. Chronic low back pain in relation to Modic changes, bony endplate lesions, and disc degeneration in a prospective MRI study. Eur. Spine J. 2016, 25, 2873–2881. [Google Scholar] [CrossRef]
- Adams, M.A.; Dolan, P. Intervertebral disc degeneration: Evidence for two distinct phenotypes. J. Anat. 2012, 221, 497–506. [Google Scholar] [CrossRef]
- Wang, Y.; Videman, T.; Battié, M.C. ISSLS prize winner: Lumbar vertebral endplate lesions: Associations with disc degeneration and back pain history. Spine 2012, 37, 1490–1496. [Google Scholar] [CrossRef] [PubMed]
- Albert, H.B.; Briggs, A.M.; Kent, P.; Byrhagen, A.; Hansen, C.; Kjaergaard, K. The prevalence of MRI-defined spinal pathoanatomies and their association with Modic changes in individuals seeking care for low back pain. Eur. Spine J. 2011, 20, 1355–1362. [Google Scholar] [CrossRef]
- Lagerstrand, K.; Brisby, H.; Hebelka, H. Associations between high-intensity zones, endplate, and Modic changes and their effect on T2-mapping with and without spinal load. J. Orthop. Res. 2021, 39, 703–2710. [Google Scholar] [CrossRef]
- Moser, M.; Amini, D.A.; Sanchez, L.A.; Oezel, L.; Haffer, H.; Muellner, M.; Zhu, J.; Carrino, J.A.; Shue, J.; Sama, A.A.; et al. The association between vertebral endplate defects, subchondral bone marrow changes, and lumbar intervertebral disc degeneration: A retrospective, 3-year longitudinal study. Eur. Spine J. 2023, 32, 2350–2357. [Google Scholar] [CrossRef]
- Sahin, B.; Akkaya, E. Modic changes and its association with other MRI phenotypes in east Anatolian low back pain patients. Br. J. Neurosurg. 2022, 36, 487–493. [Google Scholar] [CrossRef]
- Zehra, U.; Cheung, J.P.Y.; Bow, C.; Lu, W.; Samartzis, D. Multidimensional vertebral endplate defects are associated with disc degeneration, modic changes, facet joint abnormalities, and pain. J. Orthop. Res. 2019, 37, 1080–1089. [Google Scholar] [CrossRef] [PubMed]
- Adams, M.A.; Adams, M.A.; Lama, P.; Zehra, U.; Dolan, P. Why do some intervertebral discs degenerate, when others (in the same spine) do not? Clin. Anat. 2015, 28, 195–204. [Google Scholar] [CrossRef] [PubMed]
- Conger, A.; Smuck, M.; Truumees, E.; Lotz, J.C.; DePalma, M.J.; McCormick, Z.L. Vertebrogenic Pain: A Paradigm Shift in Diagnosis and Treatment of Axial Low Back Pain. Pain Med. 2022, 23, S63–S71. [Google Scholar] [CrossRef] [PubMed]
- Hebelka, H.; Brisby, H.; Hansson, T. Comparison between pain at discography and morphological disc changes at axial loaded MRI in patients with low back pain. Eur. Spine J. 2014, 23, 2075–2082. [Google Scholar] [CrossRef]
- Hebelka, H.; Hansson, T. Erratum to: HIZ’s relation to axial load and low back pain: Investigated with axial loaded MRI and pressure controlled discography. Eur. Spine J. 2013, 22, 734–739. [Google Scholar] [CrossRef]
- Sachs, B.L.; Vanharanta, H.; Spivey, M.A.; Guyer, R.D.; Videman, T.; Rashbaum, R.F.; Johnson, R.G.; Hochschuler, S.H.; Mooney, V. Dallas Discogram Description a New Classification of CT/Discography in Low-back Disorders. Spine 1987, 12, 287–294. [Google Scholar] [CrossRef]
- Torén, L.; Lagerstrand, K.; Waldenberg, C.M.P.; Brisby, H.; Hebelka, H. MRI During Spinal Loading Reveals Intervertebral Disc Behavior Corresponding to Discogram Findings of Annular Fissures and Pain Provocation. Spine 2020, 45, E1500–E1506. [Google Scholar] [CrossRef] [PubMed]
- Eriksson, S.; Waldenberg, C.M.; Torén, L.; Grimby-Ekman, A.; Brisby, H.; Hebelka, H.; Lagerstrand, K. Texture Analysis of Magnetic Resonance Images Enables Phenotyping of Potentially Painful Annular Fissures. Spine 2021, 47, 430–437. [Google Scholar] [CrossRef]
- Rajasekaran, S.; Venkatadass, K.; Naresh Babu, J.; Ganesh, K.; Shetty, A.P. Pharmacological enhancement of disc diffusion and differentiation of healthy, ageing and degenerated discs: Results from in-vivo serial post-contrast MRI studies in 365 human lumbar discs. Eur. Spine J. 2008, 17, 626–643. [Google Scholar] [CrossRef] [PubMed]
- Hebelka, H.; Gunterberg, V.; Lagerstrand, K.; Brisby, H. Clinical outcome and MRI appearance in a group of chronic low back pain patients more than 10 years after discography evaluation and consideration for surgery. BMC Musculoskelet. Disord. 2023, 24, 138. [Google Scholar] [CrossRef]
- Applebaum, A.; Nessim, A.; Cho, W. Modic change: An emerging complication in the aging population. Clin. Spine Surg. 2022, 35, 12–17. [Google Scholar] [CrossRef] [PubMed]
- Rajasekaran, S.; Bt, P.; Murugan, C.; Mengesha, M.G.; Easwaran, M.; Naik, A.S.; Ks, S.V.A.; Kanna, R.M.; Shetty, A.P. The disc-endplate-bone-marrow complex classification: Progress in our understanding of Modic vertebral endplate changes and their clinical relevance. Spine J. 2023. [Google Scholar] [CrossRef]
- Waldenberg, C.; Eriksson, S.; Brisby, H.; Hebelka, H.; Lagerstrand, K.M. Detection of Imperceptible Intervertebral Disc Fissures in Conventional MRI—An AI Strategy for Improved Diagnostics. J. Clin. Med. 2022, 12, 11. [Google Scholar] [CrossRef] [PubMed]
- Ohtori, S.; Inoue, G.; Miyagi, M.; Takahashi, K. Pathomechanisms of discogenic low back pain in humans and animal models. Spine J. 2015, 15, 1347–1355. [Google Scholar] [CrossRef] [PubMed]
- Freemont, A.; Peacock, T.; Goupille, P.; Hoyland, J.; O’Brien, J.; Jayson, M. Nerve ingrowth into diseased intervertebral disc in chronic back pain. Lancet 1997, 350, 178–181. [Google Scholar] [CrossRef] [PubMed]
- Sharma, A.; Pilgram, T.; Wippold, F. Association between Annular Tears and Disk Degeneration: A Longitudinal Study. Am. J. Neuroradiol. 2009, 30, 500–506. [Google Scholar] [CrossRef] [PubMed]
- Vernon-Roberts, B.; Moore, R.J.; Fraser, R.D. The natural history of age-related disc degeneration: The pathology and sequelae of tears. Spine 2007, 32, 2797–2804. [Google Scholar] [CrossRef]
- Isa, I.L.M.; Teoh, S.L.; Nor, N.H.M.; Mokhtar, S.A. Discogenic Low Back Pain: Anatomy, Pathophysiology and Treatments of Intervertebral Disc Degeneration. Int. J. Mol. Sci. 2022, 24, 208. [Google Scholar] [CrossRef]
- Ito, M.; Incorvaia, K.M.; Yu, S.F.; Fredrickson, B.E.; Yuan, H.A.; Rosenbaum, A.E. Predictive Signs of Discogenic Lumbar Pain on Magnetic Resonance Imaging with Discography Correlation. Spine 1998, 23, 1252–1258. [Google Scholar] [CrossRef] [PubMed]
- Yu, S.W.; Sether, L.A.; Ho, P.S.; Wagner, M.; Haughton, V.M. Tears of the anulus fibrosus: Correlation between MR and pathologic findings in cadavers. Am. J. Neuroradiol. 1988, 9, 367–370. [Google Scholar]
- Peng, B.; Hou, S.; Wu, W.; Zhang, C.; Yang, Y. The pathogenesis and clinical significance of a high-intensity zone (HIZ) of lumbar intervertebral disc on MR imaging in the patient with discogenic low back pain. Eur. Spine J. 2006, 15, 583–587. [Google Scholar] [CrossRef] [PubMed]
- Schellhas, K.P.; Pollei, S.R.; Gundry, R.C.; Heithoff, K. B Lumbar disc high-intensity zone: Correlation of magnetic resonance imaging and discography. Spine 1996, 21, 79–86. [Google Scholar] [CrossRef] [PubMed]
- Carragee, E.J.; Paragioudakis, S.J.; Khurana, S. Lumbar High-Intensity Zone and Discography in Subjects Without Low Back Problems. Spine 2000, 25, 2987–2992. [Google Scholar] [CrossRef]
- Teraguchi, M.; Yim, R.; Cheung, J.P.-Y.; Samartzis, D. The association of high-intensity zones on MRI and low back pain: A systematic review. Scoliosis Spinal Disord. 2018, 13, 22. [Google Scholar] [CrossRef]
- Waldenberg, C.; Hebelka, H.; Brisby, H.; Lagerstrand, K.M. Differences in IVD characteristics between low back pain patients and controls associated with HIZ as revealed with quantitative MRI. PLoS ONE 2019, 14, e0220952. [Google Scholar] [CrossRef] [PubMed]
- Viswanathan, V.K.; Shetty, A.P.; Rajasekaran, S. Modic changes—An evidence-based, narrative review on its patho-physiology, clinical significance and role in chronic low back pain. J. Clin. Orthop. Trauma 2020, 11, 761–769. [Google Scholar] [CrossRef]
- Mera, Y.; Teraguchi, M.; Hashizume, H.; Oka, H.; Muraki, S.; Akune, T.; Kawaguchi, H.; Nakamura, K.; Tamai, H.; Tanaka, S.; et al. Association between types of Modic changes in the lumbar region and low back pain in a large cohort: The Wakayama spine study. Eur. Spine J. 2020, 30, 1011–1017. [Google Scholar] [CrossRef]
- Fields, A.J.; Battié, M.C.; Herzog, R.J.; Jarvik, J.G.; Krug, R.; Link, T.M.; Lotz, J.C.; O’Neill, C.W.; Sharma, A. ISSLS Degenerative Spinal Phenotypes Group Measuring and reporting of vertebral endplate bone marrow lesions as seen on MRI (Modic changes): Recommendations from the ISSLS Degenerative Spinal Phenotypes Group. Eur. Spine J. 2019, 28, 2266–2274. [Google Scholar] [CrossRef]
- Dudli, S.; Liebenberg, E.; Magnitsky, S.; Miller, S.; Demir-Deviren, S.; Lotz, J.C. Propionibacterium acnes infected intervertebral discs cause vertebral bone marrow lesions consistent with Modic changes. J. Orthop. Res. 2016, 34, 1447–1455. [Google Scholar] [CrossRef]
- Zhu, J.; Wu, H.; Chen, Y.; Liu, J.; Shan, Z.; Fan, S.; Zhao, F. The correlation between the change of Hounsfield units value and Modic changes in the lumbar vertebral endplate. BMC Musculoskelet. Disord. 2021, 22, 509. [Google Scholar] [CrossRef]
- Van den Wyngaert, T. Degenerative Spine: Osteophytosis–Endplate Changes. In Clinical Atlas of Bone SPECT/CT; Springer: Berlin/Heidelberg, Germany, 2023; pp. 1–4. [Google Scholar]
- Rajasekaran, S.; Pushpa, B.T.; Soundararajan, D.C.R.; Anand, K.S.S.V.; Murugan, C.; Nedunchelian, M.; Kanna, R.M.; Shetty, A.P.; Tangavel, C.; Muthurajan, R. Are Modic changes ‘Primary infective endplatitis’?—Insights from multimodal imaging of non-specific low back pain patients and development of a radiological ‘Endplate infection probability score’. Eur. Spine J. 2022, 31, 2884–2896. [Google Scholar] [CrossRef]
- Azzouzi, H.; Ichchou, L. Schmorl’s nodes: Demystification road of endplate defects—A critical review. Spine Deform. 2022, 10, 489–499. [Google Scholar] [CrossRef] [PubMed]
- Takahashi, K.; Miyazaki, T.; Ohnari, H.; Takino, T.; Tomita, K. Schmorl’s nodes and low-back pain: Analysis of magnetic resonance imaging findings in symptomatic and asymptomatic individuals. Eur. Spine J. 1995, 4, 56–59. [Google Scholar] [CrossRef] [PubMed]
- Urban, J.P.; Fairbank, J.C. Current perspectives on the role of biomechanical loading and genetics in development of disc degeneration and low back pain; a narrative review. J. Biomech. 2020, 102, 109573. [Google Scholar] [CrossRef] [PubMed]
- Maher, C.; Underwood, M.; Buchbinder, R. Non-specific low back pain. Lancet 2017, 389, 736–747. [Google Scholar] [PubMed]
- Lamichhane, B.; Jayasekera, D.; Jakes, R.; Glasser, M.F.; Zhang, J.; Yang, C.; Grimes, D.; Frank, T.L.; Ray, W.Z.; Leuthardt, E.C.; et al. Multi-modal biomarkers of low back pain: A machine learning approach. NeuroImage Clin. 2021, 29, 102530. [Google Scholar] [CrossRef]
- Waldenberg, C.; Brisby, H.; Hebelka, H.; Lagerstrand, K.M. Associations between Vertebral Localized Contrast Changes and Adjacent Annular Fissures in Patients with Low Back Pain: A Radiomics Approach. J. Clin. Med. 2023, 12, 4891. [Google Scholar] [CrossRef]
- Lagerstrand, K.; Hebelka, H.; Brisby, H. Identification of potentially painful disc fissures in magnetic resonance images using machine-learning modelling. Eur. Spine J. 2022, 31, 1992–1999. [Google Scholar] [CrossRef]





| Endplate Score | Combined Apperance on CT/MRI | |||
|---|---|---|---|---|
| 1 | 2 | 3 | 4 | 5 |
| normal | focal disc contact/maintained contour | defects > 25% | defects up to 50% | extensive erosions/total destruction |
Disclaimer/Publisher’s Note: The statements, opinions and data contained in all publications are solely those of the individual author(s) and contributor(s) and not of MDPI and/or the editor(s). MDPI and/or the editor(s) disclaim responsibility for any injury to people or property resulting from any ideas, methods, instructions or products referred to in the content. |
© 2023 by the authors. Licensee MDPI, Basel, Switzerland. This article is an open access article distributed under the terms and conditions of the Creative Commons Attribution (CC BY) license (https://creativecommons.org/licenses/by/4.0/).
Share and Cite
Hebelka, H.; Erkmar, A.; Brisby, H.; Lagerstrand, K. Coexistence of Vertebral and Intervertebral Disc Changes in Low Back Pain Patients—In Depth Characterization with Same Day MRI and CT Discography. Diagnostics 2023, 13, 3528. https://doi.org/10.3390/diagnostics13233528
Hebelka H, Erkmar A, Brisby H, Lagerstrand K. Coexistence of Vertebral and Intervertebral Disc Changes in Low Back Pain Patients—In Depth Characterization with Same Day MRI and CT Discography. Diagnostics. 2023; 13(23):3528. https://doi.org/10.3390/diagnostics13233528
Chicago/Turabian StyleHebelka, Hanna, Alfred Erkmar, Helena Brisby, and Kerstin Lagerstrand. 2023. "Coexistence of Vertebral and Intervertebral Disc Changes in Low Back Pain Patients—In Depth Characterization with Same Day MRI and CT Discography" Diagnostics 13, no. 23: 3528. https://doi.org/10.3390/diagnostics13233528
APA StyleHebelka, H., Erkmar, A., Brisby, H., & Lagerstrand, K. (2023). Coexistence of Vertebral and Intervertebral Disc Changes in Low Back Pain Patients—In Depth Characterization with Same Day MRI and CT Discography. Diagnostics, 13(23), 3528. https://doi.org/10.3390/diagnostics13233528

