Correlation between Chest Computed Tomography Score and Laboratory Biomarkers in the Risk Stratification of COVID-19 Patients Admitted to the Emergency Department
Abstract
1. Introduction
2. Materials and Methods
2.1. Study Design
2.2. Analysis of CT Images
2.3. Blood Sample Collection
2.4. Statistical Analysis
3. Results
4. Discussion
5. Conclusions
Author Contributions
Funding
Institutional Review Board Statement
Informed Consent Statement
Data Availability Statement
Acknowledgments
Conflicts of Interest
References
- Astapovskii, A.A.; Drozdov, V.N.; Shikh, E.V.; Melkonyan, G.G.; Sizova, Z.M.; Zakharova, V.L.; Shindryaeva, N.N.; Lapidus, N.I. Prognostic value of proadrenomedullin in patients with COVID-19 pneumonia. Front. Med. 2022, 9, 961071. [Google Scholar] [CrossRef] [PubMed]
- Nakamura, M.; Yoshida, H.; Makita, S.; Arakawa, N.; Niinuma, H.; Hiramori, K. Potent and long-lasting vasodilatory effects of adrenomedullin in humans. Circulation 1997, 95, 1214–1221. [Google Scholar] [CrossRef]
- McGregor, D.O.; Troughton, R.W.; Frampton, C.; Lynn, K.L.; Yandle, T.; Richards, A.M.; Nicholls, M.G. Hypotensive and natriuretic actions of adrenomedullin in subjects with chronic renal impairment. Hypertension 2001, 37, 1279–1284. [Google Scholar] [CrossRef][Green Version]
- Kamoi, H.; Kanazawa, H.; Hirata, K.; Kurihara, N.; Yano, Y.; Otani, S. Adrenomedullin inhibits the secretion of cytokine-induced neutrophil chemoattractant, a member of the interleukin-8 family, from rat alveolar macrophages. Biochem. Biophys. Res. Commun. 1995, 211, 1031–1035. [Google Scholar] [CrossRef]
- Temmesfeld-Wollbrück, B.; Brell, B.; Dávid, I.; Dorenberg, M.; Adolphs, J.; Schmeck, B.; Suttorp, N.; Hippenstiel, S. Adrenomedullin reduces vascular hyperpermeability and improves survival in rat septic shock. Intensive Care Med. 2007, 33, 703–710. [Google Scholar] [CrossRef]
- Kato, J. Plasma adrenomedullin concentration in patients with heart failure. J. Clin. Endocrinol. Metabol. 1996, 81, 180–183. [Google Scholar]
- Pereira, J.M.; Azevedo, A.; Basilio, C.; Sousa-Dias, C.; Mergulhao, P.; Paiva, J.A. Mid-regional proadrenomedullin: An early marker of response in critically ill patients with severe community-acquired pneumonia? Rev. Port. Pneumol. 2016, 22, 308–314. [Google Scholar] [CrossRef]
- Spoto, S.; Fogolari, M.; De Florio, L.; Minieri, M.; Vicino, G.; Legramante, J.; Lia, M.S.; Terrinoni, A.; Caputo, D.; Costantino, S.; et al. Procalcitonin and MR-proAdrenomedullin combination in the etiological diagnosis and prognosis of sepsis and septic shock. Microb. Pathog. 2019, 137, 103763. [Google Scholar] [CrossRef] [PubMed]
- Hirayama, N.; Kitamura, K.; Imamura, T.; Kato, J.; Koiwaya, Y.; Eto, T. Secretion and clearance of the mature form of adrenomedullin in humans. Life Sci. 1999, 64, 2505–2509. [Google Scholar] [PubMed]
- Morgenthaler, N.; Struck, J.; Alonso, C.; Bergmann, A. Measurement of midregional proadrenomedullin in plasma with an immunoluminometric assay. Clin. Chem. 2005, 51, 1823–1829. [Google Scholar] [CrossRef]
- Andaluz-Ojeda, D.; Nguyen, H.B.; Meunier-Beillard, N.; Cicuéndez, R.; Quenot, J.-P.; Calvo, D.; Dargent, A.; Zarca, E.; Andrés, C.; Nogales, L.; et al. Superior accuracy of mid-regional proadrenomedullin for mortality prediction in sepsis with varying levels of illness severity. Ann. Intensive Care 2017, 7, 15. [Google Scholar] [CrossRef]
- Atallah, N.J.; Panossian, V.S.; Atallah, C.J.; Schwabe, A.; Johannes, S.; Wiemer, J.; Mansour, M.K. Mid-regional proadrenomedullin biomarker predicts Coronavirus disease 2019 clinical outcomes: A US-based cohort study. Open Forum Infect. Dis. 2022, 9, ofac423. [Google Scholar] [CrossRef]
- Leonardis, F.; Minieri, M.; Lia, M.S.; Formica, V.; Dauri, M.; Colella, D.F.; Natoli, S.; Paganelli, C.; Terrinoni, A.; Sarmati, L.; et al. Early predictive value of MR-proADM in critically ill patients with COVID-19: An observational study in the Emergency Department. J. Emerg. Med. Care 2021, 4, 103. [Google Scholar]
- Minieri, M.; Di Lecce, V.N.; Lia, M.S.; Maurici, M.; Bernardini, S.; Legramante, J.M. Role of MR-proADM in the risk stratification of COVID-19 patients assessed at the triage of the Emergency Department. Crit. Care 2021, 25, 407. [Google Scholar] [CrossRef] [PubMed]
- Minieri, M.; Di Lecce, V.N.; Lia, M.S.; Maurici, M.; Leonardis, F.; Longo, S.; Colangeli, L.; Paganelli, C.; Levantesi, S.; Terrinoni, A.; et al. Predictive value of MR-proADM in the risk stratification and in the adequate care setting of COVID-19 patients assessed at the triage of the Emergency Department. Diagnostics 2022, 12, 1971. [Google Scholar] [CrossRef]
- Ambrosi, C.; Prezioso, C.; Checconi, P.; Scribano, D.; Sarshar, M.; Capannari, M.; Tomino, C.; Fini, M.; Garaci, E.; Palamara, A.T.; et al. SARS-CoV-2: Comparative analysis of different RNA extraction methods. J. Virol. Methods 2021, 287, 114008. [Google Scholar] [CrossRef] [PubMed]
- Prezioso, C.; Marcocci, M.E.; Palamara, A.T.; De Chiara, G.; Pietropaolo, V. The “Three Italy” of the COVID-19 epidemic and the possible involvement of SARS-CoV-2 in triggering complications other than pneumonia. J. Neurovirol. 2020, 26, 311–323. [Google Scholar] [CrossRef] [PubMed]
- Potere, N.; Valeriani, E.; Candeloro, M.; Tana, M.; Porreca, E.; Abbate, A.; Spoto, S.; Rutjes, A.W.S.; Di Nisio, M. Acute complications and mortality in hospitalized patients with coronavirus disease 2019: A systematic review and meta-analysis. Crit. Care 2020, 24, 389. [Google Scholar] [CrossRef] [PubMed]
- Palmisano, A.; Scotti, G.M.; Ippolito, D.; Morelli, M.J.; Vignale, D.; Gandola, D.; Sironi, S.; De Cobelli, F.; Ferrante, L.; Spessot, M.; et al. Chest CT in the emergency department for suspected COVID-19 pneumonia. Radiol. Med. 2021, 126, 498–502. [Google Scholar]
- Giannitto, C.; Sposta, F.M.; Repici, A.; Vatteroni, G.; Casiraghi, E.; Casari, E.; Ferraroli, G.M.; Fugazza, A.; Sandri, M.T.; Chiti, A.; et al. Chest CT in patients with a moderate or high pretest probability of COVID- 19 and negative swab. Radiol. Med. 2020, 125, 1260–1270. [Google Scholar] [CrossRef] [PubMed]
- Orlacchio, A.; Gasparrini, F.; Roma, S.; Rava, M.S.; Salvatori, E.; Morosetti, D.; Cossu, E.; Legramante, J.M.; Paganelli, C.; Bernardini, S.; et al. Correlations between chest-CT and laboratory parameters in SARS-CoV-2 pneumonia. A single-center study from Italy. Medicine 2021, 100, e25310. [Google Scholar] [CrossRef] [PubMed]
- Pan, F.; Ye, T.; Sun, P.; Gui, S.; Liang, B.; Li, L.; Zheng, D.; Wang, J.; Hesketh, R.L.; Yang, L.; et al. Time course of Lung Changes at Chest CT during recovery from Coronavirus Disease 2019 (COVID-19). Radiology 2020, 295, 715–721. [Google Scholar] [CrossRef] [PubMed]
- Kandil, O.; Elgenidy, A.; Saba, P.; Hasan, M.T.; Galbraith, K.; Spooner, M.; Ajao, D.; Yaipen, O.; Ayad, E.; Nassar, A.; et al. Prognostic and discriminatory abilities of imaging scoring systems in predicting COVID-19 adverse outcomes. iRADIOLOGY 2023, 1, 128–140. [Google Scholar] [CrossRef]
- Zhao, D.; Yao, F.; Wang, L.; Zheng, L.; Gao, Y.; Ye, J.; Guo, F.; Zhao, H.; Gao, R. A comparative study on the clinical features of COVID-19 pneumonia to other pneumonias. Clin. Infect. Dis. 2020, 71, 756–761. [Google Scholar] [CrossRef] [PubMed]
- Ai, T.; Yang, Z.; Hou, H.; Zhan, C.; Chen, C.; Lv, W.; Tao, Q.; Sun, Z.; Xia, L. Correlations of chest CT and RTPCR testing in coronavirus disease2019 (COVID-19) ln China: A report of 1014 cases. Radiology 2020, 296, E32–E40. [Google Scholar] [CrossRef] [PubMed]
- Melbye, H.; Stocks, N. Point of care testing for C-reactive protein: A new path for Australian GPs? Aust. Fam. Physician 2006, 35, 513–517. [Google Scholar] [PubMed]
- In, M.; Khan, A.I. Procalcitonin: Uses in the clinical laboratory for the diagnosis of sepsis. Lab. Med. 2010, 41, 173–177. [Google Scholar]
- Hedlund, J.; Hansson, L.O. Procalcitonin and C-reactive protein levels in community-acquired pneumonia: Correlation with etiology and prognosis. Infection 2000, 28, 68–73. [Google Scholar] [CrossRef]
- Masiá, M.; Gutiérrez, F.; Shum, C.; Padilla, S.; Navarro, J.C.; Flores, E.; Hernández, I. Usefulness of procalcitonin levels in community-acquired pneumonia according to the patients outcome research team pneumonia severity index. Chest 2005, 128, 2223–2229. [Google Scholar] [CrossRef]
- Christ-Crain, M.; Morgenthaler, N.G.; Stolz, D.; Müller, C.; Bingisser, R.; Harbath, S.; Tamm, M.; Struck, J.; Bergmann, A.; Müller, B. Pro-adrenomedullin to predict severity and outcome in community-acquired pneumonia. Crit. Care 2006, 10, R96. [Google Scholar] [CrossRef]
- Valenzuela Sanchez, F.; Valenzuela Mendez, B.; Rodríguez Gutierrez, J.F.; Bohollo de Austria, R.; Rubio Quiñones, J.; Puget Martínez, L.; Valiente Alemán, I.; Estella García, A. Initial levels of mr-proadrenomedullin: A predictor of severity in patients with influenza A virus pneumonia. Intensive Care Med. Exp. 2015, 3, A832. [Google Scholar] [CrossRef]
- Legramante, J.M.; Mastropasqua, M.; Susi, B.; Porzio, O.; Mazza, M.; Agrippino, G.M.; D′Agostini, C.; Brandi, A.; Giovagnoli, G.; Di Lecce, V.N.; et al. Prognostic performance of MR-pro-adrenomedullin in patients with community acquired pneumonia in the Emergency Department compared to clinical severity scores PSI and CURB. PLoS ONE 2017, 12, e0187702. [Google Scholar] [CrossRef]
- Gregoriano, C.; Koch, D.; Kutz, A.; Haubitz, S.; Conen, A.; Bernasconi, L.; Hammerer-Lercher, A.; Saeed, K.; Mueller, B.; Schuetz, P. The vasoactive peptide MR-pro-adrenomedullin in COVID-19 patients: An observational study. Clin. Chem. Lab. Med. 2021, 59, 995–1004. [Google Scholar] [CrossRef] [PubMed]
- Spoto, S.; Agrò, F.E.; Sambuco, F.; Travaglino, F.; Valeriani, E.; Fogolari, M.; Mangiacapra, F.; Costantino, S.; Ciccozzi, M.; Angeletti, S. High value of mid-regional proadrenomedullin in COVID-19: A marker of widespread endothelial damage, disease severity, and mortality. J. Med. Virol. 2021, 93, 2820–2827. [Google Scholar] [CrossRef] [PubMed]
- Guan, W.; Ni, Z.; Hu, Y.; Liang, W.; Ou, C.; He, J.; Liu, L.; Shan, H.; Lei, C.; Hui, D.S.; et al. Clinical Characteristics of Coronavirus Disease 2019 in China. N. Engl. J. Med. 2020, 382, 1708–1720. [Google Scholar] [CrossRef]
- Bello, S.; Lasierra, A.B.; Mincholè, E.; Fandos, S.; Ruiz, M.A.; Vera, E.; de Pablo, F.; Ferrer, M.; Menendez, R.; Torres, A. Prognostic power of Proadrenomedullin in community-acquired pneumonia is independent of aetiology. Eur. Respir. J. 2012, 39, 1144–1155. [Google Scholar] [CrossRef]
- Saeed, K.; Wilson, D.C.; Bloos, F.; Schuetz, P.; van der Does, Y.; Melander, O.; Hausfater, P.; Legramante, J.M.; Claessens, Y.E.; Amin, D.; et al. The early identification of disease progression in patients with suspected infection presenting to the emergency department: A multi-centre derivation and validation study. Crit. Care 2019, 23, 40. [Google Scholar] [CrossRef] [PubMed]
- Cardellini, M.; Rizza, S.; Casagrande, V.; Cardolini, I.; Ballanti, M.; Davato, F.; Porzio, O.; Canale, M.P.; Legramante, J.M.; Mavilio, M.; et al. Soluble ST2 is a biomarker for cardiovascular mortality related to abnormal glucose metabolism in high-risk subjects. Acta Diatelol. 2019, 56, 273–280. [Google Scholar] [CrossRef]
- Saeed, K.; Legramante, J.M.; Angeletti, S.; Curcio, F.; Miguens, I.; Poole, S.; Tascini, C.; Sozio, E.; Del Castillo, J.G. Mid-regional pro-adrenomedullin as a supplementary tool to clinical parameters in cases of suspicion of infection in the emergency department. Expert Rev. Med. Pharmacol. Sci. 2021, 21, 397–404. [Google Scholar] [CrossRef]
- Asai, N.; Watanabe, H.; Shiota, A.; Kato, H.; Sakanashi, D.; Hagihara, M.; Koizumi, Y.; Yamagishi, Y.; Suematsu, H.; Mikamo, H. Efficacy and accuracy of qSOFA and SOFA scores as prognostic tools for community-acquired and healthcare-associated pneumonia. Int. J. Infect. Dis. 2019, 84, 89–96. [Google Scholar] [CrossRef]
- Spoto, S.; Legramante, J.M.; Minieri, M.; Fogolari, M.; Terrinoni, A.; Valeriani, E.; Sebastiano, C.; Bernardini, S.; Ciccozzi, M.; Angeletti, P.S. How biomarkers can improve pneumonia diagnosis and prognosis: Procalcitonin and MR-proAdrenomedullin. Biomark. Med. 2020, 14, 549–562. [Google Scholar] [CrossRef] [PubMed]
- Formica, V.; Minieri, M.; Bernardini, S.; Ciotti, M.; D’Agostini, C.; Roselli, M.; Andreoni, M.; Morelli, C.; Parisi, G.; Federici, M.; et al. Complete blood count might help to identify subjects with high probability of testing positive to SARS-CoV-2. Clin. Med. 2020, 20, e114. [Google Scholar] [CrossRef] [PubMed]

| Overall | Survivors | Non-Survivors | p Value | NO IMV | IMV | p Value | |
|---|---|---|---|---|---|---|---|
| N (%) | 265 | 184 (69.4) | 81 (30.5) | 191 (72) | 74 (27.9) | ||
| Age | |||||||
| Years, mean (SD) | 64 (14.4) | 60.8 (14.4) | 71.7 (11.1) | <0.001 | 62 (15.5) | 68 (9.8) | <0.001 |
| Sex | |||||||
| Male, N (%) | 180 (67.9) | 121 (67.2) | 59 (32.8) | 121 (67.2) | 59 (32.8) | 0.01 | |
| 0.255 | |||||||
| Female, N (%) | 85 (32.1) | 63(74.1) | 22(25.9) | 70(82.4) | 15 (17.6) |
| Overall | Survivors | Non-Survivors | p Value | NO IMV | IMV | p Value | |
|---|---|---|---|---|---|---|---|
| N (%) | 265 | 184 (69.4) | 81 (30.5) | 191 (72) | 74 (27.9) | ||
| COMORBIDITIES | |||||||
| Hypertension, N (%) | 116 (43.8) | 65 (56.0) | 51 (44.0) | <0.001 | 74 (63.7) | 42 (36.2) | 0.008 |
| Diabetes, N (%) | 37 (14.0) | 16 (43.2) | 21 (56.8) | <0.001 | 18 (48.6) | 19 (51.4) | 0.001 |
| Respiratory disease, N (%) | 23 (8.7) | 12 (52.2) | 11 (47.8) | 0.060 | 13 (56.6) | 10 (43.4) | 0.080 |
| Malignancy, N (%) | 13 (4.9) | 7 (53.8) | 6 (46.2) | 0.210 | 6 (46.2) | 7 (53.8) | 0.033 |
| Cardiovascular disease, N (%) | 45 (17.0) | 22 (48.9) | 23 (51.1) | 0.001 | 30 (66.7) | 15 (33.3) | 0.375 |
| Renal disease, N (%) | 40 (15.1) | 13 (32.5) | 27 (67.5) | <0.001 | 15 (37.5) | 25 (62.5) | 0.001 |
| Obesity, N (%) | 12 (4.5) | 7 (58.3) | 5 (41.7) | 0.390 | 6 (50.0) | 6 (50.0) | 0.081 |
| Overall | Survivors | Non-Survivors | p Value | NO IMV | IMV | p Value | |
|---|---|---|---|---|---|---|---|
| N (%) | 265 | 184 (69.4) | 81 (30.5) | 191 (72) | 74 (27.9) | ||
| MR-proADM nmol/L | <0.001 | <0.001 | |||||
| Median | 0.92 | 0.80 | 1.38 | 0.81 | 1.35 | ||
| (Q1–Q3) | (0.68–1.33) | (0.60–1.01) | (1.09–2.03) | (0.61–1.06) | (0.99–1.95) | ||
| CRP mg/L | <0.001 | <0.001 | |||||
| Median | 65.9 | 51.7 | 131 | 53 | 132 | ||
| (Q1–Q3) | (28.50–130) | (18.0–92.8) | (75.8–204.6) | (21–98) | (71–212) | ||
| PCT ng/mL | <0.001 | <0.001 | |||||
| Median | 0.08 | 0.06 | 0.18 | 0.06 | 0.19 | ||
| (Q1–Q3) | (0.04–0.20) | (0.03–0.13) | (0.095–0.40) | (0.03–0.13) | (0.1–0.55) | ||
| D-dimer ng/mL | <0.001 | <0.001 | |||||
| Median | 741 | 643 | 1283 | 666 | 1179 | ||
| (Q1–Q3) | (438–1446) | (408–1064) | (687–2149) | (413–1192) | (646–2047) | ||
| LDH U/L | <0.001 | <0.001 | |||||
| Median | 358 | 336 | 456 | 334 | 486 | ||
| (Q1–Q3) | (273–489) | (265–432) | (306–589) | (257–432) | (331–593) | ||
| CT Score | 3 | 2 | 3 | <0.001 | 2 | 4 | <0.001 |
| (2–4) | (2–4) | (2–5) | (2–3) | (2.75–5) |
| Overall (N) | Non-Survivors (N) | Cut-Off | p Value | HR (95% CI) (N) | IMV (N) | Cut-Off | p Value | HR (95% CI) (N) | |
|---|---|---|---|---|---|---|---|---|---|
| Age | 265 | 80 | <0.001 | 1.05 (1.03–1.07) | 74 | 0.004 | 1.03 (1.01–1.04) | ||
| Gender | 265 | 80 | 0.27 | 1.32 (0.81–2.15) | 74 | 0.018 | 1.98 (1.12–3.49) | ||
| Hypertension | 265 | 80 | <0.001 | 2.46 (1.57–3.88) | 74 | 0.013 | 1.80 (1.13–2.85) | ||
| Diabetes | 265 | 80 | <0.001 | 2.63 (1.58–4.36) | 74 | 0.001 | 2.46 (1.46–4.15) | ||
| Respiratory disease | 265 | 80 | 0.078 | 1.78 (0.94–3.37) | 74 | 0.069 | 1.85 (0.95–3.62) | ||
| Malignancy | 265 | 80 | 0.120 | 1.93 (0.84–4.45) | 74 | 0.023 | 2.47 (1.13–5.38) | ||
| Cardiovascular disease | 265 | 80 | <0.001 | 2.41 (1.49–3.92) | 74 | 0.40 | 1.28 (0.73–2.25) | ||
| Renal disease | 265 | 80 | <0.001 | 4.25 (2.65–6.81) | 74 | <0.001 | 3.87 (2.38–6.30) | ||
| Obesity | 265 | 80 | 0.50 | 1.36 (0.55–3.36) | 74 | 0.044 | 2.36 (1.02–5.44) | ||
| MR-proADM (nmol/L) | 265 | 80 | 1.105 | <0.001 | 7.3 (4.39–12.2) | 74 | 1.105 | <0.001 | 6.03 (3.57–10.18) |
| CRP (mg/L) | 265 | 80 | 95.5 | <0.001 | 5.72 (3.52–9.3) | 74 | 63 | <0.001 | 5.55 (2.99–10.3) |
| PCT (ng/mL) | 265 | 80 | 0.095 | <0.001 | 4.67 (2.81–7.76) | 74 | 0.095 | <0.001 | 5.41 (3.11–9.42) |
| D-dimer (ng/mL) | 265 | 80 | 985.5 | <0.001 | 3.99 (2.51–6.35) | 74 | 981.5 | <0.001 | 3.23 (2.01–5.2) |
| LDH (U/L) | 265 | 80 | 439.5 | <0.001 | 3.38 (2.12–5.13) | 74 | 437.5 | <0.001 | 3.93 (2.47–6.26) |
| CT Score | 265 | 80 | >3 | <0.001 | 2.37 (1.53–3.7) | 74 | >3 | <0.001 | 3.70 (2.33–5.90) |
| Overall (N) | Non-Survivors (N) | p Value | HR (95% CI) | IMV (N) | p Value | HR (95% CI) | |
|---|---|---|---|---|---|---|---|
| Age | 265 | 80 | 0.06 | 1.02 (0.99–1.05) | 74 | 0.47 | 0.99 (0.97–1.02) |
| Gender | 265 | 80 | 74 | 0.77 | 1.10 (0.59–2.07) | ||
| Hypertension | 265 | 80 | 0.85 | 1.05 (0.64–1.73) | 74 | 0.81 | 1.07 (0.63–1.80) |
| Diabetes | 265 | 80 | 0.63 | 1.16 (0.64–2.08) | 74 | 0.12 | 1.6 (0.89–2.87) |
| Respiratory disease | 265 | 80 | 0.18 | 1.60 (0.81–3.14) | 74 | 0.07 | 1.95 (0.94–4.0) |
| Malignancy | 265 | 80 | 74 | <0.001 | 5.59 (2.44–14.42) | ||
| Cardiovascular disease | 265 | 80 | 0.10 | 1.63 (0.91–2.93) | 74 | ||
| Renal disease | 265 | 80 | 0.07 | 1.61 (0.97–2.70) | 74 | 0.03 | 1.81 (1.06–3.10) |
| Obesity | 265 | 80 | 74 | 0.44 | 1.45 (0.56–3.72) | ||
| MR-proADM (nmol/L) | 265 | 80 | 0.001 | 2.84 (1.57–5.14) | 74 | 0.003 | 2.72 (1.41–5.24) |
| CRP (mg/L) | 265 | 80 | <0.001 | 3.10 (1.79–5.39) | 74 | 0.098 | 1.62 (0.91–2.88) |
| PCT (ng/mL) | 265 | 80 | 0.50 | 1.25 (0.66–2.35) | 74 | 0.09 | 1.82 (0.91–3.62) |
| D-dimer (ng/mL) | 265 | 80 | 0.059 | 1.71 (0.98–3.0) | 74 | 0.47 | 1.23 (0.71–2.12.45) |
| LDH (U/L) | 265 | 80 | 0.161 | 1.49 (0.85–2.59) | 74 | 0.015 | 2.06 (1.15–3.67) |
| CT score | 265 | 80 | 0.92 | 0.97 (0.57–1.66) | 74 | 0.016 | 2.13 (1.14–3.49) |
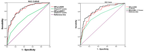
| Outcome | AUC (95% CI) | Cut-Off | Sensitivity (95% CI) | Specificity (95% CI) | PPV (95% CI) | NPV (95% CI) | LR+ (95% CI) | LR− (95% CI) | OR (95% CI) | |
|---|---|---|---|---|---|---|---|---|---|---|
| MR-proADM | Mortality | 0.839 (0.79–0.89) | 1.105 | 0.75 (0.64–0.84) | 0.79 (0.72–0.85) | 0.61 (0.54–0.68) | 0.88 (0.83–0.92) | 3.55 (2.62–4.82) | 0.31 (0.21–0.46) | 11.34 (6.12–21.01) |
| IMV | 0.803 (0.74–0.86) | 1.105 | 0.74 (0.63–0.84) | 0.76 (0.70–0.82) | 0.55 (0.48–0.62) | 0.89 (0.84–0.92) | 3.15 (2.36–4.21) | 0.34 (0.23–0.50) | 9.39 (5.05–17.45) | |
| CT score | Mortality | 0.646 (0.57–0.72) | >3 | 0.49 (0.38–0.61) | 0.74 (0.67–0.80) | 0.46 (0.38–0.54) | 0.77 (0.73–0.81) | 1.89 (1.36–2.63) | 0.68 (0.54–0.86) | 2.76 (1.6–4.8) |
| IMV | 0.719 (0.65–0.79) | >3 | 0.60 (0.47–0.71) | 0.77 (0.70–0.83) | 0.50 (0.42–0.58) | 0.83 (0.79–0.87) | 2.58 (1.87–3.56) | 0.53 (0.40–0.70) | 4.9 (2.76–8.69) | |
| MR-proADM + CT score | Mortality | 0.847 (0.80–0.90) | 1.105 >3 | 0.73 (0.62–0.82) | 0.81 (0.75–0.86) | 0.63 (0.55–0.70) | 0.87 (0.83–0.91) | 3.83 (2.8–5.3) | 0.34 (0.2–0.5) | 11.42 (6.19–21.07) |
| IMV | 0.837 (0.78–0.89) | 1.105 >3 | 0.64 (0.52–0.74) | 0.91 (0.86–0.94) | 0.72 (0.62–0.81) | 0.87 (0.83–0.90) | 6.74 (4.2–10.8) | 0.40 (0.30–0.55) | 16.73 (8.49–32.96) |
Disclaimer/Publisher’s Note: The statements, opinions and data contained in all publications are solely those of the individual author(s) and contributor(s) and not of MDPI and/or the editor(s). MDPI and/or the editor(s) disclaim responsibility for any injury to people or property resulting from any ideas, methods, instructions or products referred to in the content. |
© 2023 by the authors. Licensee MDPI, Basel, Switzerland. This article is an open access article distributed under the terms and conditions of the Creative Commons Attribution (CC BY) license (https://creativecommons.org/licenses/by/4.0/).
Share and Cite
D’Agostini, C.; Legramante, J.M.; Minieri, M.; Di Lecce, V.N.; Lia, M.S.; Maurici, M.; Simonelli, I.; Ciotti, M.; Paganelli, C.; Terrinoni, A.; et al. Correlation between Chest Computed Tomography Score and Laboratory Biomarkers in the Risk Stratification of COVID-19 Patients Admitted to the Emergency Department. Diagnostics 2023, 13, 2829. https://doi.org/10.3390/diagnostics13172829
D’Agostini C, Legramante JM, Minieri M, Di Lecce VN, Lia MS, Maurici M, Simonelli I, Ciotti M, Paganelli C, Terrinoni A, et al. Correlation between Chest Computed Tomography Score and Laboratory Biomarkers in the Risk Stratification of COVID-19 Patients Admitted to the Emergency Department. Diagnostics. 2023; 13(17):2829. https://doi.org/10.3390/diagnostics13172829
Chicago/Turabian StyleD’Agostini, Cartesio, Jacopo M. Legramante, Marilena Minieri, Vito N. Di Lecce, Maria Stella Lia, Massimo Maurici, Ilaria Simonelli, Marco Ciotti, Carla Paganelli, Alessandro Terrinoni, and et al. 2023. "Correlation between Chest Computed Tomography Score and Laboratory Biomarkers in the Risk Stratification of COVID-19 Patients Admitted to the Emergency Department" Diagnostics 13, no. 17: 2829. https://doi.org/10.3390/diagnostics13172829
APA StyleD’Agostini, C., Legramante, J. M., Minieri, M., Di Lecce, V. N., Lia, M. S., Maurici, M., Simonelli, I., Ciotti, M., Paganelli, C., Terrinoni, A., Giovannelli, A., Pieri, M., Gallù, M., Dell’Olio, V., Prezioso, C., Limongi, D., Bernardini, S., & Orlacchio, A. (2023). Correlation between Chest Computed Tomography Score and Laboratory Biomarkers in the Risk Stratification of COVID-19 Patients Admitted to the Emergency Department. Diagnostics, 13(17), 2829. https://doi.org/10.3390/diagnostics13172829

