Rapid Whole-Body FDG PET/MRI in Oncology Patients: Utility of Combining Bayesian Penalised Likelihood PET Reconstruction and Abbreviated MRI
Abstract
1. Introduction
2. Materials and Methods
2.1. PET/MRI
2.2. Phantom Study
2.3. Clinical Evaluation
2.3.1. Patients
2.3.2. Whole-Body PET/MRI Protocol
2.3.3. Clinical Evaluation for Optimal β Value
2.3.4. Clinical Evaluation for Detection and Differentiation of Lesions
3. Results
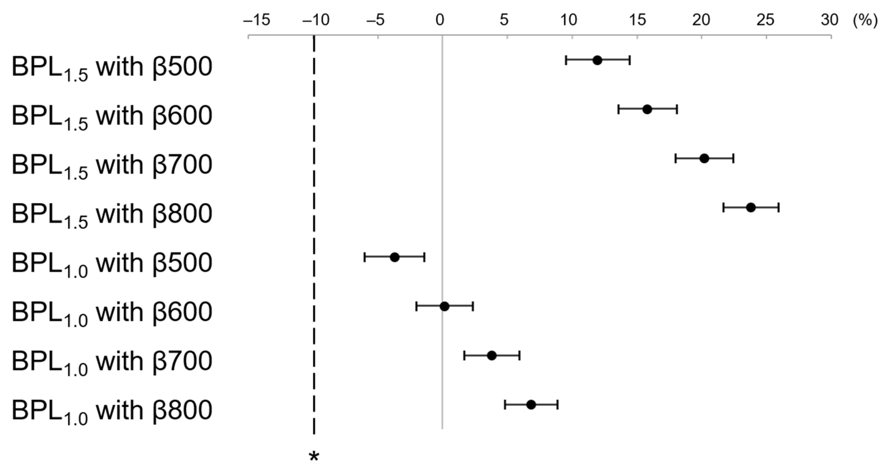
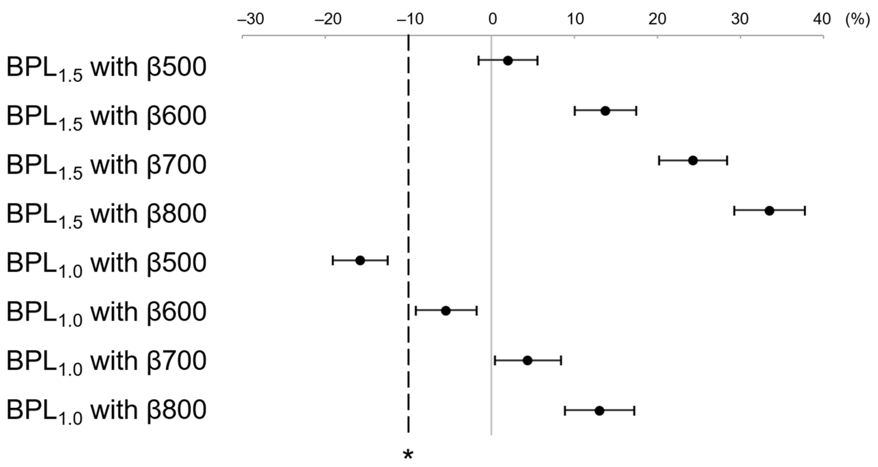
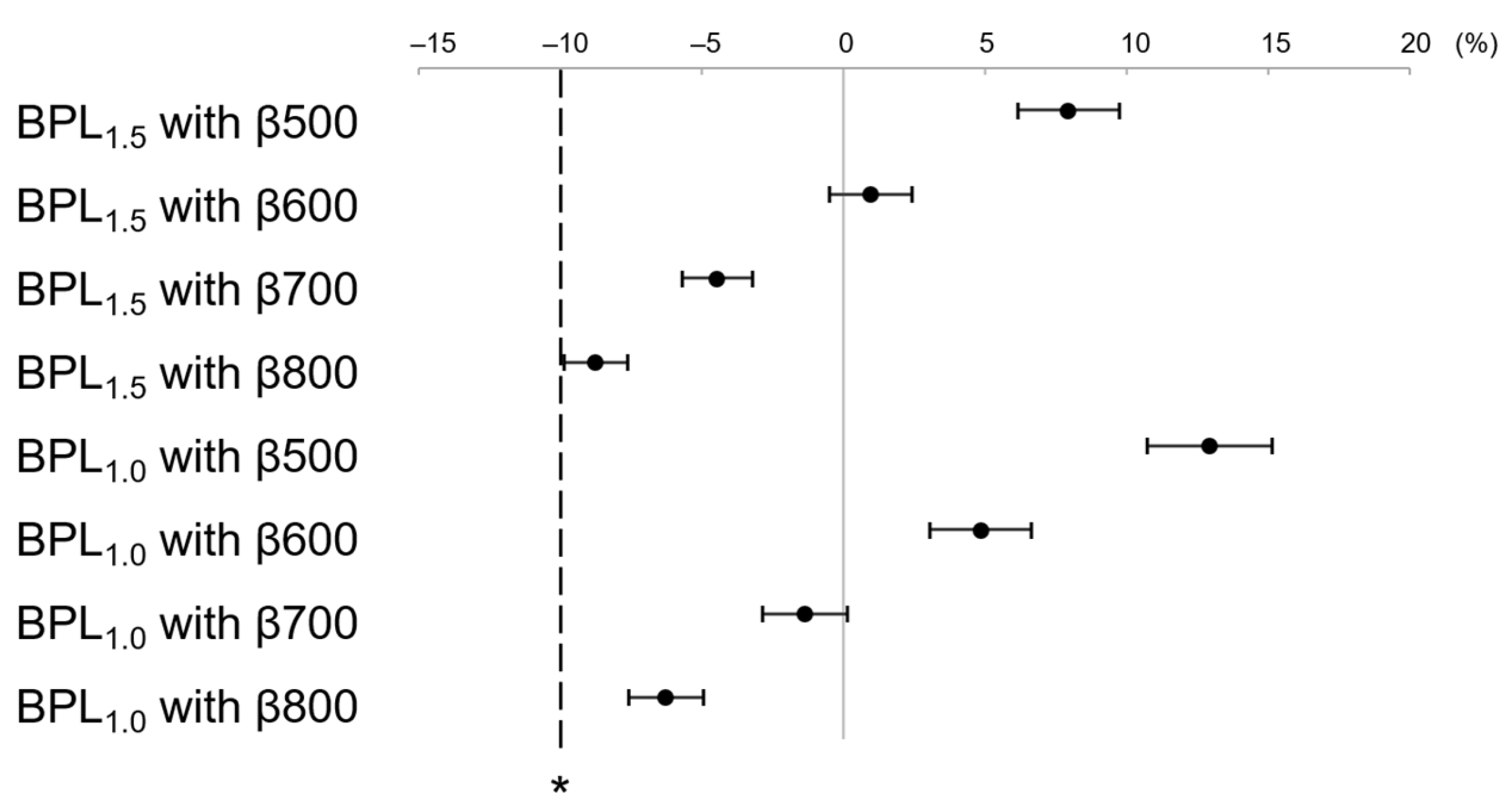
3.1. Phantom Study
3.2. Clinical Evaluation
3.2.1. Clinical Evaluation for Optimal β Value
3.2.2. Clinical Evaluation for Detection and Differentiation of Lesions
4. Discussion
5. Conclusions
Supplementary Materials
Author Contributions
Funding
Institutional Review Board Statement
Informed Consent Statement
Data Availability Statement
Acknowledgments
Conflicts of Interest
References
- Huellner, M.W.; Appenzeller, P.; Kuhn, F.P.; Husmann, L.; Pietsch, C.M.; Burger, I.A.; Porto, M.; Delso, G.; von Schulthess, G.K.; Veit-Haibach, P. Whole-body nonenhanced PET/MR versus PET/CT in the staging and restaging of cancers: Preliminary observations. Radiology 2014, 273, 859–869. [Google Scholar] [CrossRef]
- Nakamoto, Y.; Kitajima, K.; Toriihara, A.; Nakajo, M.; Hirata, K. Recent topics of the clinical utility of PET/MRI in oncology and neuroscience. Ann. Nucl. Med. 2022, 36, 798–803. [Google Scholar] [CrossRef] [PubMed]
- Chilcott, A.K.; Bradley, K.M.; McGowan, D.R. Effect of a Bayesian Penalized Likelihood PET Reconstruction Compared with Ordered Subset Expectation Maximisation on Clinical Image Quality Over a Wide Range of Patient Weights. AJR Am. J. Roentgenol. 2018, 210, 153–157. [Google Scholar] [CrossRef] [PubMed]
- Teoh, E.J.; McGowan, D.R.; Macpherson, R.E.; Bradley, K.M.; Gleeson, F.V. Phantom and Clinical Evaluation of the Bayesian Penalized Likelihood Reconstruction Algorithm Q.Clear on an LYSO PET/CT System. J. Nucl. Med. 2015, 56, 1447–1452. [Google Scholar] [CrossRef] [PubMed]
- Lindstrom, E.; Sundin, A.; Trampal, C.; Lindsjo, L.; Ilan, E.; Danfors, T.; Antoni, G.; Sorensen, J.; Lubberink, M. Evaluation of Penalized-Likelihood Estimation Reconstruction on a Digital Time-of-Flight PET/CT Scanner for (18)F-FDG Whole-Body Examinations. J. Nucl. Med. 2018, 59, 1152–1158. [Google Scholar] [CrossRef]
- Tian, D.; Yang, H.; Li, Y.; Cui, B.; Lu, J. The effect of Q.Clear reconstruction on quantification and spatial resolution of 18F-FDG PET in simultaneous PET/MR. EJNMMI Phys. 2022, 9, 1. [Google Scholar] [CrossRef]
- Kim, S.Y.; Cho, N.; Hong, H.; Lee, Y.; Yoen, H.; Kim, Y.S.; Park, A.R.; Ha, S.M.; Lee, S.H.; Chang, J.M.; et al. Abbreviated Screening MRI for Women with a History of Breast Cancer: Comparison with Full-Protocol Breast MRI. Radiology 2022, 305, 213310. [Google Scholar] [CrossRef]
- Yokoo, T.; Masaki, N.; Parikh, N.D.; Lane, B.F.; Feng, Z.; Mendiratta-Lala, M.; Lee, C.H.; Khatri, G.; Marsh, T.L.; Shetty, K.; et al. Multicenter Validation of Abbreviated MRI for Detecting Early-Stage Hepatocellular Carcinoma. Radiology 2023, 307, e220917. [Google Scholar] [CrossRef]
- Yamaguchi, T.; Sofue, K.; Ueshima, E.; Ueno, Y.; Tsujita, Y.; Yabe, S.; Shirakawa, S.; Toyama, H.; Hori, M.; Fukumoto, T.; et al. Abbreviated Gadoxetic Acid-Enhanced MRI for the Detection of Liver Metastases in Patients with Potentially Resectable Pancreatic Ductal Adenocarcinoma. J. Magn. Reson. Imaging 2022, 56, 725–736. [Google Scholar] [CrossRef]
- Kang, Z.; Min, X.; Weinreb, J.; Li, Q.; Feng, Z.; Wang, L. Abbreviated Biparametric Versus Standard Multiparametric MRI for Diagnosis of Prostate Cancer: A Systematic Review and Meta-Analysis. AJR Am. J. Roentgenol. 2019, 212, 357–365. [Google Scholar] [CrossRef]
- Grant, A.M.; Deller, T.W.; Khalighi, M.M.; Maramraju, S.H.; Delso, G.; Levin, C.S. NEMA NU 2-2012 performance studies for the SiPM-based ToF-PET component of the GE SIGNA PET/MR system. Med. Phys. 2016, 43, 2334. [Google Scholar] [CrossRef] [PubMed]
- Fukukita, H.; Suzuki, K.; Matsumoto, K.; Terauchi, T.; Daisaki, H.; Ikari, Y.; Shimada, N.; Senda, M. Japanese guideline for the oncology FDG-PET/CT data acquisition protocol: Synopsis of Version 2.0. Ann. Nucl. Med. 2014, 28, 693–705. [Google Scholar] [CrossRef] [PubMed]
- Kurita, Y.; Ichikawa, Y.; Nakanishi, T.; Tomita, Y.; Hasegawa, D.; Murashima, S.; Hirano, T.; Sakuma, H. The value of Bayesian penalized likelihood reconstruction for improving lesion conspicuity of malignant lung tumors on (18)F-FDG PET/CT: Comparison with ordered subset expectation maximisation reconstruction incorporating time-of-flight model and point spread function correction. Ann. Nucl. Med. 2020, 34, 272–279. [Google Scholar] [CrossRef]
- Miwa, K.; Wagatsuma, K.; Nemoto, R.; Masubuchi, M.; Kamitaka, Y.; Yamao, T.; Hiratsuka, S.; Yamaguchi, M.; Yoshii, T.; Kobayashi, R.; et al. Detection of sub-centimeter lesions using digital TOF-PET/CT system combined with Bayesian penalized likelihood reconstruction algorithm. Ann. Nucl. Med. 2020, 34, 762–771. [Google Scholar] [CrossRef]
- Zanoni, L.; Argalia, G.; Fortunati, E.; Malizia, C.; Allegri, V.; Calabro, D.; Civollani, S.; Campana, D.; Fanti, S.; Ambrosini, V. Can Q.Clear reconstruction be used to improve [68 Ga]Ga-DOTANOC PET/CT image quality in overweight NEN patients? Eur. J. Nucl. Med. Mol. Imaging 2022, 49, 1607–1612. [Google Scholar] [CrossRef]
- Caribe, P.; Koole, M.; D’Asseler, Y.; Van Den Broeck, B.; Vandenberghe, S. Noise reduction using a Bayesian penalized-likelihood reconstruction algorithm on a time-of-flight PET-CT scanner. EJNMMI Phys. 2019, 6, 22. [Google Scholar] [CrossRef]
- Te Riet, J.; Rijnsdorp, S.; Roef, M.J.; Arends, A.J. Evaluation of a Bayesian penalized likelihood reconstruction algorithm for low-count clinical (18)F-FDG PET/CT. EJNMMI Phys. 2019, 6, 32. [Google Scholar] [CrossRef] [PubMed]
- Ribeiro, D.; Hallett, W.; Howes, O.; McCutcheon, R.; Nour, M.M.; Tavares, A.A.S. Assessing the impact of different penalty factors of the Bayesian reconstruction algorithm Q.Clear on in vivo low count kinetic analysis of [(11)C]PHNO brain PET-MR studies. EJNMMI Res. 2022, 12, 11. [Google Scholar] [CrossRef] [PubMed]
- Texte, E.; Gouel, P.; Thureau, S.; Lequesne, J.; Barres, B.; Edet-Sanson, A.; Decazes, P.; Vera, P.; Hapdey, S. Impact of the Bayesian penalized likelihood algorithm (Q.Clear(R)) in comparison with the OSEM reconstruction on low contrast PET hypoxic images. EJNMMI Phys. 2020, 7, 28. [Google Scholar] [CrossRef]
- Svirydenka, H.; Muehlematter, U.J.; Nagel, H.W.; Delso, G.; Ferraro, D.A.; Kudura, K.; Burger, I.A.; Ter Voert, E. (68)Ga-PSMA-11 dose reduction for dedicated pelvic imaging with simultaneous PET/MR using TOF BSREM reconstructions. Eur. Radiol. 2020, 30, 3188–3197. [Google Scholar] [CrossRef]
- Yoshii, T.; Miwa, K.; Yamaguchi, M.; Shimada, K.; Wagatsuma, K.; Yamao, T.; Kamitaka, Y.; Hiratsuka, S.; Kobayashi, R.; Ichikawa, H.; et al. Optimization of a Bayesian penalized likelihood algorithm (Q.Clear) for (18)F-NaF bone PET/CT images acquired over shorter durations using a custom-designed phantom. EJNMMI Phys. 2020, 7, 56. [Google Scholar] [CrossRef] [PubMed]
- Matti, A.; Lima, G.M.; Pettinato, C.; Pietrobon, F.; Martinelli, F.; Fanti, S. How Do the More Recent Reconstruction Algorithms Affect the Interpretation Criteria of PET/CT Images? Nucl. Med. Mol. Imaging 2019, 53, 216–222. [Google Scholar] [CrossRef] [PubMed]
- Wu, Z.; Guo, B.; Huang, B.; Zhao, B.; Qin, Z.; Hao, X.; Liang, M.; Xie, J.; Li, S. Does the beta regularization parameter of bayesian penalized likelihood reconstruction always affect the quantification accuracy and image quality of positron emission tomography computed tomography? J. Appl. Clin. Med. Phys. 2021, 22, 224–233. [Google Scholar] [CrossRef]
- Rijnsdorp, S.; Roef, M.J.; Arends, A.J. Impact of the Noise Penalty Factor on Quantification in Bayesian Penalized Likelihood (Q.Clear) Reconstructions of (68)Ga-PSMA PET/CT Scans. Diagnostics 2021, 11, 847. [Google Scholar] [CrossRef] [PubMed]












| Scan Duration | NECphantom * [Mcounts] |
|---|---|
| 2.5 min | 21.01 |
| 1.5 min | 12.46 |
| 1.0 min | 8.44 |
| BV | CR | RC | Visual Scores | |||
|---|---|---|---|---|---|---|
| Reader 1 | Reader 2 | Reader 3 | ||||
| OSEM2.5 | 7.10 | 4.44 | 0.54 | 2 | 2 | 2 |
| BPL1.5 | ||||||
| BPL1.5 with β100 | 15.59 | 3.18 | 0.62 | 2 | 2 | 2 |
| BPL1.5 with β200 | 11.97 | 3.83 | 0.60 | 2 | 2 | 2 |
| BPL1.5 with β300 | 10.07 | 4.18 | 0.60 | 2 | 2 | 2 |
| BPL1.5 with β400 | 8.95 | 4.33 | 0.58 | 2 | 2 | 2 |
| BPL1.5 with β500 | 8.20 | 4.35 | 0.56 | 2 | 3 | 3 |
| BPL1.5 with β600 | 7.65 | 4.31 | 0.54 | 3 | 3 | 3 |
| BPL1.5 with β700 | 7.24 | 4.23 | 0.53 | 3 | 3 | 3 |
| BPL1.5 with β800 | 6.92 | 4.14 | 0.52 | 3 | 3 | 3 |
| BPL1.5 with β900 | 6.66 | 4.03 | 0.50 | 3 | 3 | 3 |
| BPL1.5 with β1000 | 6.46 | 3.90 | 0.49 | 2 | 2 | 2 |
| BPL1.0 | ||||||
| BPL1.0 with β100 | 18.48 | 2.48 | 0.61 | 2 | 2 | 2 |
| BPL1.0 with β200 | 13.96 | 3.11 | 0.64 | 2 | 2 | 2 |
| BPL1.0 with β300 | 11.55 | 3.50 | 0.62 | 2 | 2 | 2 |
| BPL1.0 with β400 | 10.15 | 3.69 | 0.60 | 2 | 2 | 2 |
| BPL1.0 with β500 | 9.22 | 3.76 | 0.58 | 2 | 2 | 2 |
| BPL1.0 with β600 | 8.55 | 3.76 | 0.56 | 3 | 3 | 3 |
| BPL1.0 with β700 | 8.05 | 3.72 | 0.54 | 3 | 3 | 3 |
| BPL1.0 with β800 | 7.66 | 3.66 | 0.52 | 2 | 3 | 2 |
| BPL1.0 with β900 | 7.34 | 3.58 | 0.50 | 2 | 2 | 2 |
| BPL1.0 with β1000 | 7.11 | 3.46 | 0.49 | 2 | 2 | 2 |
| Scan Duration | NECpatient 1 [Mcounts/m] | NECdensity 2 [kcounts/cm3] |
|---|---|---|
| 2.5 min | 105.64 [63.00–131.65] | 1.98 [1.07–2.88] |
| 1.5 min | 64.35 [36.34–79.18] | 1.23 [0.66–1.91] |
| 1.0 min | 43.39 [31.61–65.15] | 0.83 [0.44–1.16] |
Disclaimer/Publisher’s Note: The statements, opinions and data contained in all publications are solely those of the individual author(s) and contributor(s) and not of MDPI and/or the editor(s). MDPI and/or the editor(s) disclaim responsibility for any injury to people or property resulting from any ideas, methods, instructions or products referred to in the content. |
© 2023 by the authors. Licensee MDPI, Basel, Switzerland. This article is an open access article distributed under the terms and conditions of the Creative Commons Attribution (CC BY) license (https://creativecommons.org/licenses/by/4.0/).
Share and Cite
Inukai, J.I.; Nogami, M.; Tachibana, M.; Zeng, F.; Nishitani, T.; Kubo, K.; Murakami, T. Rapid Whole-Body FDG PET/MRI in Oncology Patients: Utility of Combining Bayesian Penalised Likelihood PET Reconstruction and Abbreviated MRI. Diagnostics 2023, 13, 1871. https://doi.org/10.3390/diagnostics13111871
Inukai JI, Nogami M, Tachibana M, Zeng F, Nishitani T, Kubo K, Murakami T. Rapid Whole-Body FDG PET/MRI in Oncology Patients: Utility of Combining Bayesian Penalised Likelihood PET Reconstruction and Abbreviated MRI. Diagnostics. 2023; 13(11):1871. https://doi.org/10.3390/diagnostics13111871
Chicago/Turabian StyleInukai, Junko Inoue, Munenobu Nogami, Miho Tachibana, Feibi Zeng, Tatsuya Nishitani, Kazuhiro Kubo, and Takamichi Murakami. 2023. "Rapid Whole-Body FDG PET/MRI in Oncology Patients: Utility of Combining Bayesian Penalised Likelihood PET Reconstruction and Abbreviated MRI" Diagnostics 13, no. 11: 1871. https://doi.org/10.3390/diagnostics13111871
APA StyleInukai, J. I., Nogami, M., Tachibana, M., Zeng, F., Nishitani, T., Kubo, K., & Murakami, T. (2023). Rapid Whole-Body FDG PET/MRI in Oncology Patients: Utility of Combining Bayesian Penalised Likelihood PET Reconstruction and Abbreviated MRI. Diagnostics, 13(11), 1871. https://doi.org/10.3390/diagnostics13111871

