Salmonella Typhi Vaccination Response as a Tool for the Stratification of Risk in Patients with Predominantly Antibody Deficiencies
Abstract
1. Introduction
2. Materials and Methods
2.1. Study Design
2.2. Sample Collection, Vaccination, and Biomarkers
2.2.1. Basal/Pre-Vaccination Samples
- Full blood count and lymphocyte populations (B and T) CoulterDxH and Cytomics FC500 (Beckman Coulter, Brea, CA, USA).
- Basic biochemistry analysis: Cobas c6000 (Roche Diagnostics, Basel, Switzerland).
- Immune analysis: Immunoglobulin subtypes (Immunoturbidimetry, Cobas c8000, Roche Diagnostics, Basel, Switzerland) and subclasses (Nephelometry and Turbidimetry, Reference Laboratory), CH50 (Immunoassay, Reference Laboratory), C3 and C4 (Cobas c6000, Roche Diagnostics, Basel, Switzerland).
- Specific anti-S. Typhi Vi IgG antibodies were measured by the VaccZyme™ Human Anti-Salmonella Typhi Vi IgG Enzyme Immunoassay Kit (Binding Site Group Ltd., Birmingham, UK) on an AP22 IF, automated system for the ELISA and IFA methods. The VaccZyme™ assay measures the specific IgG against the virulence factor Vi of S. Typhi, with a measurement range of 7.4–600 U/mL. For values ≤ 7.4 U/mL, an empirical 7.4 U/mL value was attributed for fold increase calculations. Serum samples were stored at −20 °C after centrifugation (3600 rpm/10 min) and identified with an anonymous barcode.
- Similarly, the response to vaccination against the pneumococcal conjugate vaccine, 13-valent Prevnar13™ (Pfizer, Berlin, Germany), was measured in pre-vaccination samples and four weeks later in post-vaccination samples, by the VaccZyme™ Anti-PCP IgG Kit EIA (Binding Site Group Ltd., Birmingham, UK), with a measuring range from 3.3 to 270 mg/L.
2.2.2. Vaccination
2.2.3. Post-Vaccination Samples
2.3. Clinical Data
2.4. Statistical Analysis
3. Results
3.1. Subjects
3.2. Groups of Immune Response after Vaccination
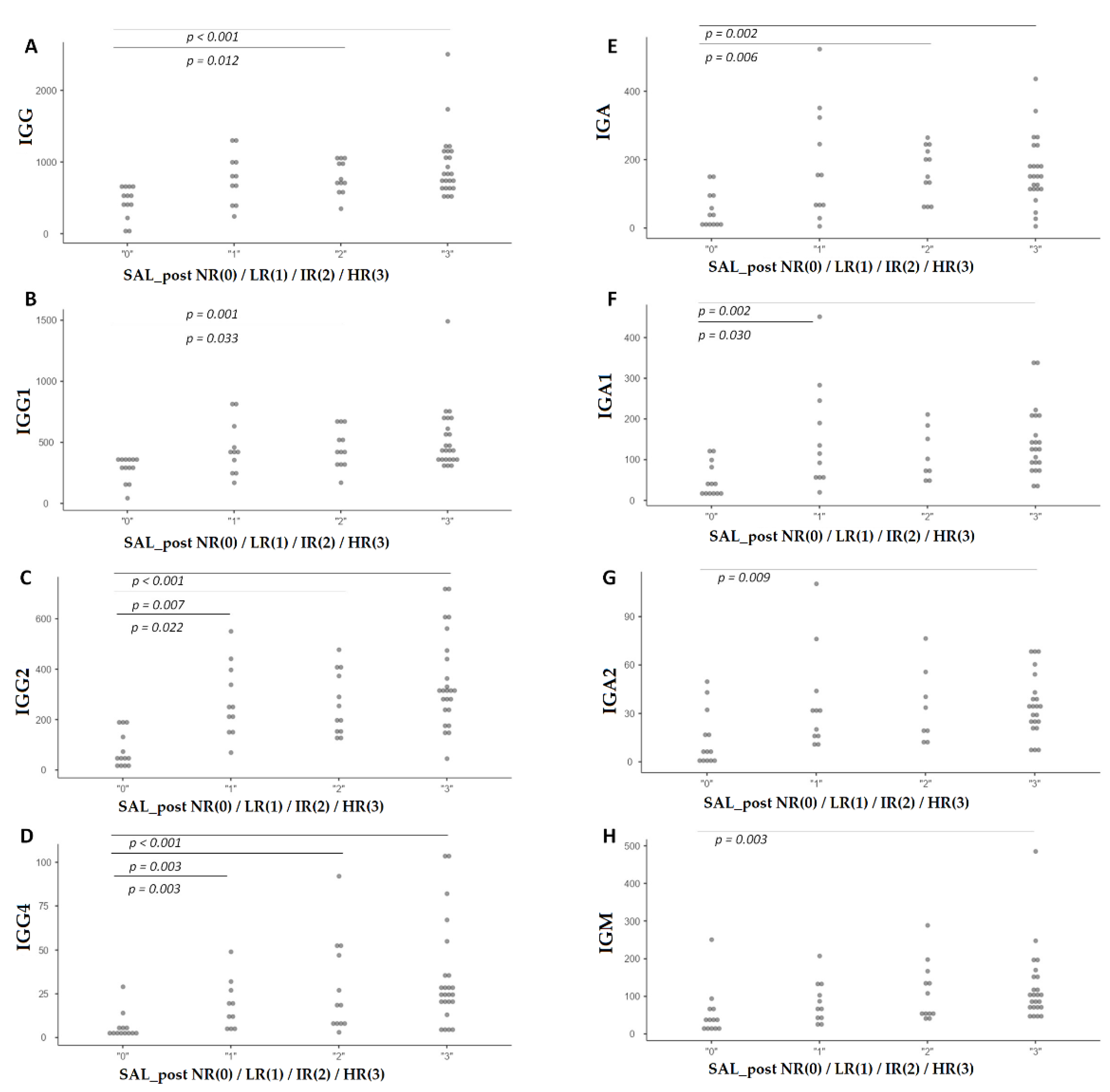
3.3. Laboratory and Clinical Data Differences between Groups
3.4. Diagnosis
4. Discussion
Author Contributions
Funding
Institutional Review Board Statement
Informed Consent Statement
Data Availability Statement
Acknowledgments
Conflicts of Interest
References
- British Society of Immunology Immunodeficiency. 2017. Available online: https://www.immunology.org/policy-and-public-affairs/briefings-and-position-statements/immunodeficiency (accessed on 25 August 2022).
- Raje, N.; Dinakar, C. Overview of Immunodeficiency Disorders. Immunol. Allergy Clin. N. Am. 2015, 35, 599–623. [Google Scholar] [CrossRef] [PubMed]
- American Academy of Allergy, Asthma and Immunology (AAAAI). Primary Immunodeficiency Disease Overview. Available online: https://www.aaaai.org/Conditions-Treatments/Primary-Immunodeficiency-Disease/Primary-Immunodeficiency-Disease-Overview (accessed on 25 August 2022).
- Butte, M.J. Laboratory Evaluation of the Immune System 2019; UpToDate: Waltham, MA, USA, 2020. [Google Scholar]
- Tangye, S.G.; Al-Herz, W.; Bousfiha, A.; Cunningham-Rundles, C.; Franco, J.L.; Holland, S.M.; Klein, C.; Morio, T.; Oksenhendler, E.; Picard, C.; et al. Human Inborn Errors of Immunity: 2022 Update on the Classification from the International Union of Immunological Societies Expert Committee. J. Clin. Immunol. 2022, 40, 24–64. [Google Scholar] [CrossRef] [PubMed]
- Vetter, V.; Denizer, G.; Friedland, L.R.; Krishnan, J.; Shapiro, M. Understanding Modern-Day Vaccines: What You Need to Know. Ann. Med. 2018, 50, 110–120. [Google Scholar] [CrossRef] [PubMed]
- Orange, J.S.; Ballow, M.; Stiehm, E.R.; Ballas, Z.K.; Chinen, J.; De La Morena, M.; Kumararatne, D.; Harville, T.O.; Hesterberg, P.; Koleilat, M.; et al. Use and Interpretation of Diagnostic Vaccination in Primary Immunodeficiency: A Working Group Report of the Basic and Clinical Immunology Interest Section of the American Academy of Allergy, Asthma & Immunology. J. Allergy Clin. Immunol. 2012, 130, S1–S24. [Google Scholar] [CrossRef] [PubMed]
- Paris, K.; Sorensen, R.U. Assessment and Clinical Interpretation of Polysaccharide Antibody Responses. Ann. Allergy Asthma. Immunol. 2007, 99, 462–464. [Google Scholar] [CrossRef]
- Parker, A.R.; Bradley, C.; Harding, S.; Sánchez-Ramón, S.; Jolles, S.; Kiani-Alikhan, S. Measurement and Interpretation of Salmonella Typhi Vi IgG Antibodies for the Assessment of Adaptive Immunity. J. Immunol. Methods 2018, 459, 1–10. [Google Scholar] [CrossRef] [PubMed]
- Evans, C.; Bateman, E.; Steven, R.; Ponsford, M.; Cullinane, A.; Shenton, C.; Duthie, G.; Conlon, C.; Jolles, S.; Huissoon, A.P.; et al. Measurement of Typhi Vi Antibodies Can Be Used to Assess Adaptive Immunity in Patients with Immunodeficiency. Clin. Exp. Immunol. 2018, 192, 292–301. [Google Scholar] [CrossRef] [PubMed]
- Barrios, Y.; Franco, A.; Alonso-Larruga, A.; García, C.; Suarez-Toste, I.; Sánchez-Machín, I.; Rivera-Dean, A.; Garcia-Marín, N.M.; Guerra-Neira, A.; Matheu, V. Measurement of Typhim Vi® IgG Antibodies in Healthy Donors as a Tool for the Diagnostic of Patients with Antibody Deficiencies. Clin. Immunol. Orlando Fla 2020, 215, 108416. [Google Scholar] [CrossRef]
- Bonilla, F.A.; Khan, D.A.; Ballas, Z.K.; Chinen, J.; Frank, M.M.; Hsu, J.T.; Keller, M.; Kobrynski, L.J.; Komarow, H.D.; Mazer, B.; et al. Practice Parameter for the Diagnosis and Management of Primary Immunodeficiency. J. Allergy Clin. Immunol. 2015, 136, 1186–1205.e78. [Google Scholar] [CrossRef] [PubMed]
- Eng, S.-K.; Pusparajah, P.; Mutalib, N.-S.A.; Ser, H.-L.; Chan, K.-G.; Lee, L.-H. Salmonella: A Review on Pathogenesis, Epidemiology and Antibiotic Resistance. Front. Life Sci. 2015, 8, 284–293. [Google Scholar] [CrossRef]
- Barrios, Y.; Franco, A.; Alonso-Larruga, A.; Sanchez-Machin, I.; Poza-Guedes, P.; Gonzalez, R.; Matheu, R. Success With Multidisciplinary Team Work: Experience of a Primary Immunodeficiency Unit. J. Investig. Allergol. Clin. Immunol. 2020, 30, 208–210. [Google Scholar] [CrossRef] [PubMed]
- Sánchez-Ramón, S.; de Gracia, J.; García-Alonso, A.M.; Molina, J.J.R.; Melero, J.; de Andrés, A.; de Morales, J.G.R.; Ferreira, A.; Ocejo-Vinyals, J.G.; Cid, J.J.; et al. Multicenter Study for the Evaluation of the Antibody Response against Salmonella Typhi Vi Vaccination (EMPATHY) for the Diagnosis of Anti-Polysaccharide Antibody Production Deficiency in Patients with Primary Immunodeficiency. Clin. Immunol. Orlando Fla 2016, 169, 80–84. [Google Scholar] [CrossRef] [PubMed]
- Bausch-Jurken, M.T.; Verbsky, J.W.; Gonzaga, K.A.; Elms, N.P.; Hintermeyer, M.K.; Gauld, S.B.; Routes, J.M. The Use of Salmonella Typhim Vaccine to Diagnose Antibody Deficiency. J. Clin. Immunol. 2017, 37, 427–433. [Google Scholar] [CrossRef]
- Jolles, S.; Chapel, H.; Litzman, J. When to Initiate Immunoglobulin Replacement Therapy (IGRT) in Antibody Deficiency: A Practical Approach. Clin. Exp. Immunol. 2017, 188, 333–341. [Google Scholar] [CrossRef] [PubMed]
- Marco, F.M. Terapia de Reemplazo Con Inmunoglobulinas Humanas Polivalentes ¿para Quién y Cómo? Inmunología 2020, 29, 19–21. [Google Scholar]
- The Jeffrey Modell Foundation 10 Warning Signs of Primary Immunodeficiency 2021. Available online: http://jmfworld.com/library/educational-materials/10-warning-signs (accessed on 25 August 2022).
- Seidel, M.G.; Kindle, G.; Gathmann, B.; Quinti, I.; Buckland, M.; van Montfrans, J.; Scheible, R.; Rusch, S.; Gasteiger, L.M.; Grimbacher, B.; et al. The European Society for Immunodeficiencies (ESID) Registry Working Definitions for the Clinical Diagnosis of Inborn Errors of Immunity. J. Allergy Clin. Immunol. Pract. 2019, 7, 1763–1770. [Google Scholar] [CrossRef] [PubMed]
- The Jamovi Project. 2021. Available online: https://www.jamovi.org/ (accessed on 25 August 2022).
- Hare, N.D.; Smith, B.J.; Ballas, Z.K. Antibody Response to Pneumococcal Vaccination as a Function of Preimmunization Titer. J. Allergy Clin. Immunol. 2009, 123, 195–200. [Google Scholar] [CrossRef]
- Parker, A.R.; Skold, M.; Ramsden, D.B.; Ocejo-Vinyals, J.G.; López-Hoyos, M.; Harding, S. The Clinical Utility of Measuring IgG Subclass Immunoglobulins During Immunological Investigation for Suspected Primary Antibody Deficiencies. Lab. Med. 2017, 48, 314–325. [Google Scholar] [CrossRef]
- Vidarsson, G.; Dekkers, G.; Rispens, T. IgG Subclasses and Allotypes: From Structure to Effector Functions. Front. Immunol. 2014, 5, 520. [Google Scholar] [CrossRef] [PubMed]




| (a) Categorical Variables |
| p/a of respiratory tract infections p/a of bacterial infections p/a of sepsis p/a of viral infections p/a of abscesses p/a of mucocutaneous candidiasis p/a of diarrhea/abdominal pain p/a of other recurrent infections p/a of joints/bone infections p/a of autoimmunity p/a of hematological alterations p/a of psychiatric alterations p/a of malignancies |
| (b) Continuous Variables |
| IgG (mg/dL) IgG1 (mg/dL) IgG2 (mg/dL) IgG3 (mg/dL) IgG4 (mg/dL) IgA (mg/dL) IgA1 (mg/dL) IgA2 (mg/dL) IgM (mg/dL) C3 (mg/dL) C4 (mg/dL) CH50 (UI/mL) Leukocytes LB% and LT% LTH% and LTS% N. of total pneumonias N. of antibiotics/year N. of hospitalizations/year |
| Group | POST vs. PRE IgG Levels | n |
|---|---|---|
| Group 0: Non responders (NR) | </=3 FI and 0–25 U/mL | 13 |
| Group 1: Low responders (LR) | >3 FI and 26–55 U/mL | 11 |
| Group 2: Intermediate responders (IR) | >3 FI and 56–200 U/mL | 12 |
| Group 3: High responders (HR) | >3 FI and >200 U/mL | 24 |
| Group | PRE (U/mL) | POST (U/mL) | n | ||
|---|---|---|---|---|---|
| Median | Mean | Median | Mean | ||
| Healthy individuals | 7.40 | 13.65 | 161.10 | 204.20 | 30 |
| Suspected PID patients | 7.40 | 11.60 | 97.00 | 205.00 | 60 |
| Group 0: Non responders | 7.40 | 7.40 | 7.80 | 8.59 | 13 |
| Group 1: Low responders | 7.40 | 7.81 | 38.80 | 40.48 | 11 |
| Group 2: Intermediate responders | 7.95 | 8.50 | 96.95 | 106.49 | 12 |
| Group 3: High responders | 11.05 | 17.20 | 477.05 | 436.08 | 24 |
| Diagnosis | IgG | IgM | IgA | Vaccination Response (T Independent) 3× FI | Vaccination Response (T Dependent) 3× FI |
|---|---|---|---|---|---|
| HC | N | N | N | N | N |
| HYPOG * | ↓/N | ↓/N | ↓/N | N | N |
| SAD | N | N | N | ↓ | N |
| CVID | ↓ ** | ↓ | ↓ | ↓ | ↓ |
Publisher’s Note: MDPI stays neutral with regard to jurisdictional claims in published maps and institutional affiliations. |
© 2022 by the authors. Licensee MDPI, Basel, Switzerland. This article is an open access article distributed under the terms and conditions of the Creative Commons Attribution (CC BY) license (https://creativecommons.org/licenses/by/4.0/).
Share and Cite
Alonso-Larruga, A.; Barrios, Y.; Franco, A.; Suárez-Toste, I.; Rodríguez-Salazar, M.J.; Matheu, V. Salmonella Typhi Vaccination Response as a Tool for the Stratification of Risk in Patients with Predominantly Antibody Deficiencies. Diagnostics 2022, 12, 2423. https://doi.org/10.3390/diagnostics12102423
Alonso-Larruga A, Barrios Y, Franco A, Suárez-Toste I, Rodríguez-Salazar MJ, Matheu V. Salmonella Typhi Vaccination Response as a Tool for the Stratification of Risk in Patients with Predominantly Antibody Deficiencies. Diagnostics. 2022; 12(10):2423. https://doi.org/10.3390/diagnostics12102423
Chicago/Turabian StyleAlonso-Larruga, Ana, Yvelise Barrios, Andrés Franco, Isabel Suárez-Toste, María José Rodríguez-Salazar, and Víctor Matheu. 2022. "Salmonella Typhi Vaccination Response as a Tool for the Stratification of Risk in Patients with Predominantly Antibody Deficiencies" Diagnostics 12, no. 10: 2423. https://doi.org/10.3390/diagnostics12102423
APA StyleAlonso-Larruga, A., Barrios, Y., Franco, A., Suárez-Toste, I., Rodríguez-Salazar, M. J., & Matheu, V. (2022). Salmonella Typhi Vaccination Response as a Tool for the Stratification of Risk in Patients with Predominantly Antibody Deficiencies. Diagnostics, 12(10), 2423. https://doi.org/10.3390/diagnostics12102423

