Effects of Respiratory Motion on Y-90 PET Dosimetry for SIRT
Abstract
:1. Introduction
2. Materials and Methods
2.1. Phantom Experiments
2.2. Image Analysis
2.3. Statistical Analysis
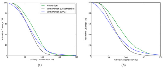
3. Results
4. Discussion
5. Conclusions
Author Contributions
Funding
Institutional Review Board Statement
Informed Consent Statement
Data Availability Statement
Acknowledgments
Conflicts of Interest
References
- Salem, R.; Thurston, K.G. Radioembolization with 90Yttrium Microspheres: A State-of-the-Art Brachytherapy Treatment for Primary and Secondary Liver Malignancies. Part 1: Technical and Methodologic Considerations. J. Vasc. Interv. Radiol. JVIR 2006, 17, 1251–1278. [Google Scholar] [CrossRef] [Green Version]
- Coldwell, D.; Sangro, B.; Salem, R.; Wasan, H.; Kennedy, A. Radioembolization in the Treatment of Unresectable Liver Tumors: Experience across a Range of Primary Cancers. Am. J. Clin. Oncol. 2012, 35, 167–177. [Google Scholar] [CrossRef] [PubMed]
- Townsend, A.R.; Chong, L.C.; Karapetis, C.; Price, T.J. Selective Internal Radiation Therapy for Liver Metastases from Colorectal Cancer. Cancer Treat. Rev. 2016, 50, 148–154. [Google Scholar] [CrossRef] [PubMed]
- van den Hoven, A.F.; Rosenbaum, C.E.N.M.; Elias, S.G.; de Jong, H.W.A.M.; Koopman, M.; Verkooijen, H.M.; Alavi, A.; van den Bosch, M.A.A.J.; Lam, M.G.E.H. Insights into the Dose-Response Relationship of Radioembolization with Resin 90Y-Microspheres: A Prospective Cohort Study in Patients with Colorectal Cancer Liver Metastases. J. Nucl. Med. 2016, 57, 1014–1019. [Google Scholar] [CrossRef] [Green Version]
- Fowler, K.J.; Maughan, N.M.; Laforest, R.; Saad, N.E.; Sharma, A.; Olsen, J.; Speirs, C.K.; Parikh, P.J. PET/MRI of Hepatic 90Y Microsphere Deposition Determines Individual Tumor Response. Cardiovasc. Interv. Radiol. 2016, 39, 855–864. [Google Scholar] [CrossRef] [Green Version]
- Kao, Y.-H.; Steinberg, J.D.; Tay, Y.-S.; Lim, G.K.; Yan, J.; Townsend, D.W.; Budgeon, C.A.; Boucek, J.A.; Francis, R.J.; Cheo, T.S.; et al. Post-Radioembolization Yttrium-90 PET/CT—Part 2: Dose-Response and Tumor Predictive Dosimetry for Resin Microspheres. EJNMMI Res. 2013, 3, 57. [Google Scholar] [CrossRef] [PubMed] [Green Version]
- Alsultan, A.A.; van Roekel, C.; Barentsz, M.W.; Smits, M.L.J.; Kunnen, B.; Koopman, M.; Braat, A.J.A.T.; Bruijnen, R.C.G.; de Keizer, B.; Lam, M.G.E.H. Dose-Response and Dose-Toxicity Relationships for Glass 90Y Radioembolization in Patients with Liver Metastases from Colorectal Cancer. J. Nucl. Med. 2021, 62, 1616–1623. [Google Scholar] [CrossRef]
- Garin, E.; Tselikas, L.; Guiu, B.; Chalaye, J.; Edeline, J.; de Baere, T.; Assenat, E.; Tacher, V.; Robert, C.; Terroir-Cassou-Mounat, M.; et al. Personalised versus Standard Dosimetry Approach of Selective Internal Radiation Therapy in Patients with Locally Advanced Hepatocellular Carcinoma (DOSISPHERE-01): A Randomised, Multicentre, Open-Label Phase 2 Trial. Lancet Gastroenterol. Hepatol. 2021, 6, 17–29. [Google Scholar] [CrossRef]
- Lea, W.B.; Tapp, K.N.; Tann, M.; Hutchins, G.D.; Fletcher, J.W.; Johnson, M.S. Microsphere Localization and Dose Quantification Using Positron Emission Tomography/CT Following Hepatic Intraarterial Radioembolization with Yttrium-90 in Patients with Advanced Hepatocellular Carcinoma. J. Vasc. Interv. Radiol. 2014, 25, 1595–1603. [Google Scholar] [CrossRef]
- Balter, J.M.; Ten Haken, R.K.; Lawrence, T.S.; Lam, K.L.; Robertson, J.M. Uncertainties in CT-Based Radiation Therapy Treatment Planning Associated with Patient Breathing. Int. J. Radiat. Oncol. Biol. Phys. 1996, 36, 167–174. [Google Scholar] [CrossRef]
- Clifford, M.A.; Banovac, F.; Levy, E.; Cleary, K. Assessment of Hepatic Motion Secondary to Respiration for Computer Assisted Interventions. Comput. Aided Surg. 2002, 7, 291–299. [Google Scholar] [CrossRef] [PubMed]
- D’Arienzo, M. Emission of Β+ Particles Via Internal Pair Production in the 0+–0+ Transition of 90Zr: Historical Background and Current Applications in Nuclear Medicine Imaging. Atoms 2013, 1, 2–12. [Google Scholar] [CrossRef]
- van Elmpt, W.; Hamill, J.; Jones, J.; De Ruysscher, D.; Lambin, P.; Ollers, M. Optimal Gating Compared to 3D and 4D PET Reconstruction for Characterization of Lung Tumours. Eur. J. Nucl. Med. Mol. Imaging 2011, 38, 843–855. [Google Scholar] [CrossRef] [Green Version]
- Carlier, T.; Willowson, K.P.; Fourkal, E.; Bailey, D.L.; Doss, M.; Conti, M. (90)Y-PET Imaging: Exploring Limitations and Accuracy under Conditions of Low Counts and High Random Fraction. Med. Phys. 2015, 42, 4295–4309. [Google Scholar] [CrossRef] [PubMed]
- Rowley, L.M.; Bradley, K.M.; Boardman, P.; Hallam, A.; McGowan, D.R. Optimization of Image Reconstruction for 90Y Selective Internal Radiotherapy on a Lutetium Yttrium Orthosilicate PET/CT System Using a Bayesian Penalized Likelihood Reconstruction Algorithm. J. Nucl. Med. 2017, 58, 658–664. [Google Scholar] [CrossRef] [Green Version]
- Hou, X.; Ma, H.; Esquinas, P.L.; Uribe, C.; Tolhurst, S.; Bénard, F.; Liu, D.; Rahmim, A.; Celler, A. Impact of Image Reconstruction Method on Dose Distributions Derived from 90Y PET Images: Phantom and Liver Radioembolization Patient Studies. Phys. Med. Biol. 2020, 65, 215022. [Google Scholar] [CrossRef] [PubMed]
- Willowson, K.P.; Tapner, M.; QUEST Investigator Team; Bailey, D.L. A Multicentre Comparison of Quantitative (90)Y PET/CT for Dosimetric Purposes after Radioembolization with Resin Microspheres: The QUEST Phantom Study. Eur. J. Nucl. Med. Mol. Imaging 2015, 42, 1202–1222. [Google Scholar] [CrossRef] [PubMed] [Green Version]
- Ausland, L.; Revheim, M.-E.; Skretting, A.; Stokke, C. Respiratory Motion during 90Yttrium PET Contributes to Underestimation of Tumor Dose and Overestimation of Normal Liver Tissue Dose. Acta Radiol. 2018, 59, 132–139. [Google Scholar] [CrossRef]
- Siman, W.; Mawlawi, O.R.; Mikell, J.K.; Mourtada, F.; Kappadath, S.C. Effects of Image Noise, Respiratory Motion, and Motion Compensation on 3D Activity Quantification in Count-Limited PET Images. Phys. Med. Biol. 2017, 62, 448–464. [Google Scholar] [CrossRef]
- Bastiaannet, R.; Viergever, M.A.; Jong, H.W.A.M. de Impact of Respiratory Motion and Acquisition Settings on SPECT Liver Dosimetry for Radioembolization. Med. Phys. 2017, 44, 5270–5279. [Google Scholar] [CrossRef]
- Gear, J.I.; Cummings, C.; Craig, A.J.; Divoli, A.; Long, C.D.C.; Tapner, M.; Flux, G.D. Abdo-Man: A 3D-Printed Anthropomorphic Phantom for Validating Quantitative SIRT. EJNMMI Phys. 2016, 3, 17. [Google Scholar] [CrossRef] [Green Version]
- Kesner, A.L.; Chung, J.H.; Lind, K.E.; Kwak, J.J.; Lynch, D.; Burckhardt, D.; Koo, P.J. Validation of Software Gating: A Practical Technology for Respiratory Motion Correction in PET. Radiology 2016, 281, 239–248. [Google Scholar] [CrossRef] [PubMed]
- Walker, M.D.; Morgan, A.J.; Bradley, K.M.; McGowan, D.R. Data-Driven Respiratory Gating Outperforms Device-Based Gating for Clinical 18F-FDG PET/CT. J. Nucl. Med. 2020, 61, 1678–1683. [Google Scholar] [CrossRef]
- Chiesa, C.; Sjogreen-Gleisner, K.; Walrand, S.; Strigari, L.; Flux, G.; Gear, J.; Stokke, C.; Gabina, P.M.; Bernhardt, P.; Konijnenberg, M. EANM Dosimetry Committee Series on Standard Operational Procedures: A Unified Methodology for 99mTc-MAA Pre- and 90Y Peri-Therapy Dosimetry in Liver Radioembolization with 90Y Microspheres. EJNMMI Phys. 2021, 8, 77. [Google Scholar] [CrossRef]
- Scott, N.P.; McGowan, D.R. Optimising Quantitative 90Y PET Imaging: An Investigation into the Effects of Scan Length and Bayesian Penalised Likelihood Reconstruction. EJNMMI Res. 2019, 9, 40. [Google Scholar] [CrossRef] [PubMed]
- Liu, C.; Alessio, A.; Pierce, L.; Thielemans, K.; Wollenweber, S.; Ganin, A.; Kinahan, P. Quiescent Period Respiratory Gating for PET/CT. Med. Phys. 2010, 37, 5037–5043. [Google Scholar] [CrossRef] [PubMed] [Green Version]
- Dewaraja, Y.K.; Schipper, M.J.; Roberson, P.L.; Wilderman, S.J.; Amro, H.; Regan, D.D.; Koral, K.F.; Kaminski, M.S.; Avram, A.M. 131I-Tositumomab Radioimmunotherapy: Initial Tumor Dose-Response Results Using 3-Dimensional Dosimetry Including Radiobiologic Modeling. J. Nucl. Med. 2010, 51, 1155–1162. [Google Scholar] [CrossRef] [Green Version]
- Thomas, M.A.; Pan, T. Data-Driven Gated PET/CT: Implications for Lesion Segmentation and Quantitation. EJNMMI Phys. 2021, 8, 64. [Google Scholar] [CrossRef]





Publisher’s Note: MDPI stays neutral with regard to jurisdictional claims in published maps and institutional affiliations. |
© 2022 by the authors. Licensee MDPI, Basel, Switzerland. This article is an open access article distributed under the terms and conditions of the Creative Commons Attribution (CC BY) license (https://creativecommons.org/licenses/by/4.0/).
Share and Cite
Walker, M.D.; Gear, J.I.; Craig, A.J.; McGowan, D.R. Effects of Respiratory Motion on Y-90 PET Dosimetry for SIRT. Diagnostics 2022, 12, 194. https://doi.org/10.3390/diagnostics12010194
Walker MD, Gear JI, Craig AJ, McGowan DR. Effects of Respiratory Motion on Y-90 PET Dosimetry for SIRT. Diagnostics. 2022; 12(1):194. https://doi.org/10.3390/diagnostics12010194
Chicago/Turabian StyleWalker, Matthew D., Jonathan I. Gear, Allison J. Craig, and Daniel R. McGowan. 2022. "Effects of Respiratory Motion on Y-90 PET Dosimetry for SIRT" Diagnostics 12, no. 1: 194. https://doi.org/10.3390/diagnostics12010194
APA StyleWalker, M. D., Gear, J. I., Craig, A. J., & McGowan, D. R. (2022). Effects of Respiratory Motion on Y-90 PET Dosimetry for SIRT. Diagnostics, 12(1), 194. https://doi.org/10.3390/diagnostics12010194

