Patients with Systemic Sclerosis with and without Overlap Syndrome Show Similar Microvascular Abnormalities
Abstract
:1. Introduction
2. Materials and Methods
2.1. Patient Selection
2.2. Laboratory Investigations
2.3. Capillaroscopic Investigation
2.4. Statistical Analysis
3. Results
3.1. Clinical Characteristics
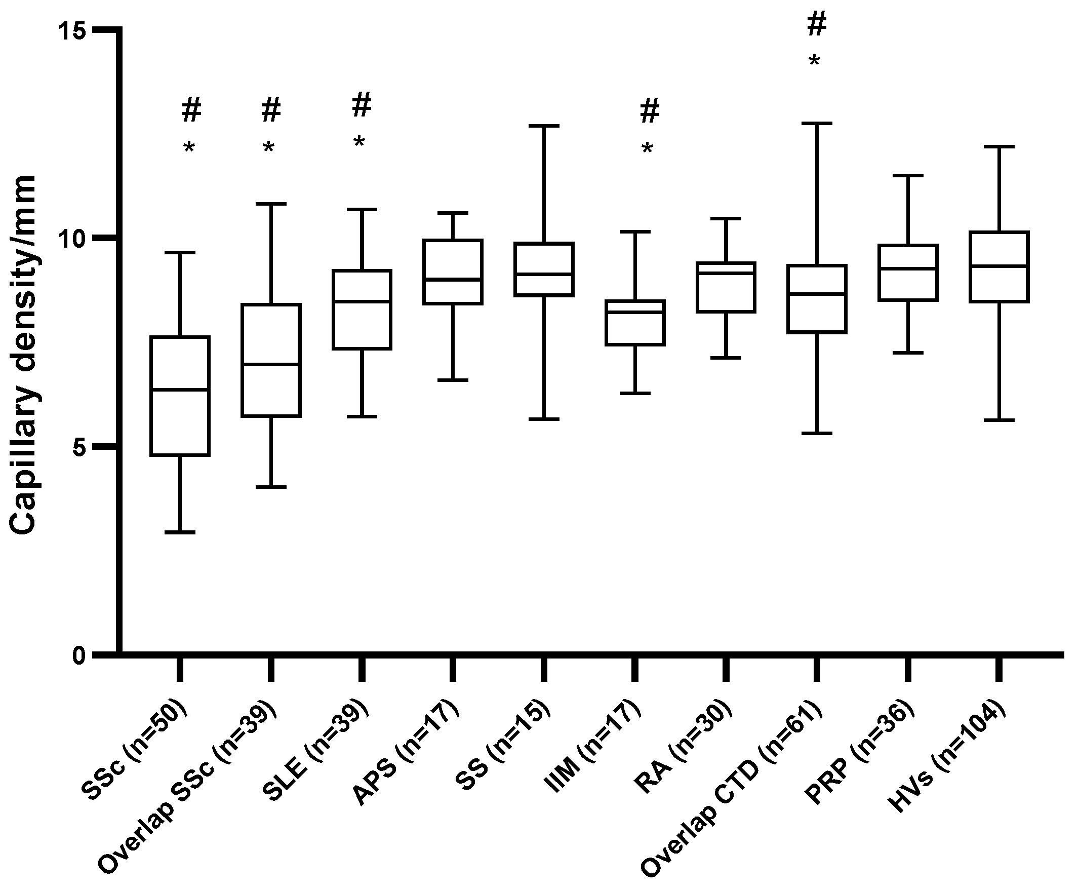
3.2. Assessment of Capillary Density
3.3. Qualitative Assessment of Microvascular Abnormalities
3.4. Assessment of Microvascular Abnormalities by Semi-Qualitative Methods
4. Discussion
Author Contributions
Funding
Institutional Review Board Statement
Informed Consent Statement
Data Availability Statement
Acknowledgments
Conflicts of Interest
References
- Pizzorni, C.; Sulli, A.; Smith, V.; Lladó, A.; Paolino, S.; Cutolo, M.; Ruaro, B. Capillaroscopy 2016: New perspectives in systemic sclerosis. Acta Reum. Port. 2016, 41, 8–14. [Google Scholar]
- Bernero, E.; Sulli, A.; Ravera, F.; Pizzorni, C.; Ruaro, B.; Zampogna, G.; Alessandri, E.; Ferrari, G.; Cutolo, M. Prospective capillaroscopy-based study on transition from primary to secondary Raynaud’s phenomenon: Preliminary results. Rematismo 2013, 65, 186–191. [Google Scholar] [CrossRef] [Green Version]
- Cutolo, M.; Grassi, W.; Cerinic, M.M. Raynaud’s phenomenon and the role of capillaroscopy. Arthritis Rheum. 2003, 48, 3023–3030. [Google Scholar] [CrossRef] [PubMed]
- Smith, V.; Beeckman, S.; Herrick, A.L.; Decuman, S.; Deschepper, E.; De Keyser, F.; Distler, O.; Foeldvari, I.; Ingegnoli, F.; Müller-Ladner, U.; et al. An EULAR study group pilot study on reliability of simple capillaroscopic definitions to describe capillary morphology in rheumatic diseases. Rheumatology 2016, 55, 883–890. [Google Scholar] [CrossRef] [Green Version]
- Ingegnoli, F.; Herrick, A.L.; Schioppo, T.; Bartoli, F.; Ughi, N.; Pauling, J.D.; Sulli, A.; Cutolo, M.; Smith, V.; Akil, M.; et al. Reporting items for capillaroscopy in clinical research on musculoskeletal diseases: A systematic review and international Delphi consensus. Rheumatology 2021, 60, 1410–1418. [Google Scholar] [CrossRef]
- Cutolo, M.; Sulli, A.; Pizzorni, C.; Accardo, S. Nailfold capillaroscopy assesment of microvascular damage in systemic sclerosis. J. Rheumatol. 2000, 27, 155–160. [Google Scholar]
- Ruaro, B.; Sulli, A.; Smith, V.; Pizzorni, C.; Paolino, S.; Alessandri, E.; Trombetta, A.C.; Cutolo, M. Advances in nailfold capillaroscopic analysis in systemic sclerosis. J. Scleroderma Relat. Disord. 2018, 3, 122–131. [Google Scholar] [CrossRef] [Green Version]
- Redisch, W.; Messina, E.J.; Hughes, G.; McEwen, C. Capillaroscopic observations in rheumatic diseases. Ann. Rheum. Dis. 1970, 29, 244–253. [Google Scholar] [CrossRef] [Green Version]
- Sebastiani, M.; Manfredi, A.; Colaci, M.; D’Amico, R.; Malagoli, V.; Giuggioli, D.; Ferri, C. Capillaroscopic skin ulcer risk index: A new prognostic tool for digital skin ulcer development in systemic sclerosis patients. Arthritis Rheum. 2009, 61, 688–694. [Google Scholar] [CrossRef]
- Caramaschi, P.; Canestrini, S.; Martinelli, N.; Volpe, A.; Pieropan, S.; Ferrari, M.; Bambara, L.M.; Carletto, A.; Biasi, D. Scleroderma patients nailfold vide-ocapillaroscopic patterns are associated with disease subset and disease severity. Rheumatology 2007, 46, 1566–1569. [Google Scholar] [CrossRef] [Green Version]
- Del Papa, N.; Pignataro, F.; Maglione, W.; Minniti, A.; Sambataro, D.; Sambataro, G.; Valentini, G.; Caporali, R.; Vitali, C. High NEMO score values in nailfold videocapillaroscopy are associated with the subsequent development of ischaemic digital ulcers in patients with systemic sclerosis. Arthritis Res. 2020, 22, 237. [Google Scholar] [CrossRef]
- Cutolo, M.; Herrick, A.L.; Distler, O.; Becker, M.O.; Beltran, E.; Carpentier, P.; Ferri, C.; Inanç, M.; Vlachoyiannopoulos, P.; Chadha-Boreham, H.; et al. Nailfold Videocapillaroscopic Features and Other Clinical Risk Factors for Digital Ulcers in Systemic Sclerosis: A Multicenter, Prospective Cohort Study. Arthritis Rheumatol. 2016, 68, 2527–2539. [Google Scholar] [CrossRef] [Green Version]
- Manfredi, A.; Sebastiani, M.; Carraro, V.; Iudici, M.; Bocci, M.; Vukatana, G.; Gerli, R.; De Angelis, R.; Del Medico, P.; Praino, E.; et al. Prediction risk chart for scleroderma digital ulcers: A composite predictive model based on capillaroscopic, demographic and clinico-serological parameters. Clin. Hemorheol. Microcirc. 2015, 59, 133–143. [Google Scholar] [CrossRef]
- Smith, V.; De Keyser, F.; Pizzorni, C.; Van Praet, J.T.; Decuman, S.; Sulli, A.; Deschepper, E.; Cutolo, M. Nailfold capillaroscopy for day-to-day clinical use: Construction of a simple scoring modality as a clinical prognostic index for digital trophic lesions. Ann. Rheum. Dis. 2010, 70, 180–183. [Google Scholar] [CrossRef]
- Smith, V.; Riccieri, V.; Pizzorni, C.; Decuman, S.; Deschepper, E.; Bonroy, C.; Sulli, A.; Piette, Y.; De Keyser, F.; Cutolo, M. Nailfold Capillaroscopy for Prediction of Novel Future Severe Organ Involvement in Systemic Sclerosis. J. Rheumatol. 2013, 40, 2023–2028. [Google Scholar] [CrossRef]
- Smith, V.; Vanhaecke, A.; Herrick, A.L.; Distler, O.; Guerra, M.G.; Denton, C.P.; Deschepper, E.; Foeldvari, I.; Gutierrez, M.; Hachulla, E.; et al. Fast track algorithm: How to differentiate a “scleroderma pattern” from a “non-scleroderma pattern”. Autoimmun. Rev. 2019, 18, 102394. [Google Scholar] [CrossRef]
- Ingegnoli, F.; Gualtierotti, R.; Lubatti, C.; Bertolazzi, C.; Gutierrez, M.; Boracchi, P.; Fornili, M.; De Angelis, R. Nailfold capillary patterns in healthy subjects: A real issue in capillaroscopy. Microvasc. Res. 2013, 90, 90–95. [Google Scholar] [CrossRef]
- Sulli, A.; Secchi, M.E.; Pizzorni, C.; Cutolo, M. Scoring the nailfold microvascular changes during the capillaroscopic analysis in systemic sclerosis patients. Ann. Rheum. Dis. 2008, 67, 885–887. [Google Scholar] [CrossRef]
- Smith, V.; Pizzorni, C.; De Keyser, F.; Decuman, S.; Van Praet, J.T.; Deschepper, E.; Sulli, A.; Cutolo, M. Reliability of the qualitative and semiquantitative nailfold videocapillaroscopy assessment in a systemic sclerosis cohort: A two-centre study. Ann. Rheum. Dis. 2010, 69, 1092–1096. [Google Scholar] [CrossRef] [PubMed] [Green Version]
- Cutolo, M.; Melsens, K.; Wijnant, S.; Ingegnoli, F.; Thevissen, K.; De Keyser, F.; Decuman, S.; Müller-Ladner, U.; Piette, Y.; Riccieri, V.; et al. Nailfold capillaroscopy in systemic lupus erythematosus: A systematic review and critical appraisal. Autoimmun. Rev. 2018, 17, 344–352. [Google Scholar] [CrossRef]
- Bertolazzi, C.; Cutolo, M.; Smith, V.; Gutierrez, M. State of the art on nailfold capillaroscopy in dermatomyositis and polymyositis. Semin. Arthritis Rheum. 2017, 47, 432–444. [Google Scholar] [CrossRef] [PubMed]
- Melsens, K.; Leone, M.C.; Paolino, S.; Elewaut, D.; Gerli, R.; Vanhaecke, A. Nailfold capillaroscopy in Sjögren’s syndrome: A systematic literature review and standardised interpretation. Clin. Exp. Rheumatol. 2020, 38 (Suppl. 126), 150–157. [Google Scholar] [PubMed]
- Ingegnoli, F.; Zeni, S.; Meani, L.; Soldi, A.; Lurati, A.; Fantini, F. Evaluation of Nailfold Videocapillaroscopic Abnormalities in Patients With Systemic Lupus Erythematosus. JCR: J. Clin. Rheumatol. 2005, 11, 295–298. [Google Scholar] [CrossRef] [PubMed]
- Pavlov-Dolijanović, S.; Damjanov, N.S.; Stupar, N.Z.V.; Marcetic, D.R.; Sefik-Bukilica, M.N.; Petrovic, R.R. Is there a difference in systemic lupus erythematosus with and without Raynaud’s phenomenon? Rheumatol. Int. 2012, 33, 859–865. [Google Scholar] [CrossRef]
- Furtado, R.N.V.; Pucinelli, M.L.C.; Cristo, V.V.; Andrade, L.E.C.; Sato, E.I. Scleroderma-like nailfold capillaroscopic abnormalities are associated with anti-U1-RNP antibodies and Raynaud’s phenomenon in SLE patients. Lupus 2002, 11, 35–41. [Google Scholar] [CrossRef]
- Nagy, Z.; Czirják, L. Nailfold digital capillaroscopy in 447 patients with connective tissue disease and Raynaud’s disease. J. Eur. Acad. Dermatol. Venereol. 2003, 18, 62–68. [Google Scholar] [CrossRef]
- Manfredi, A.; Sebastiani, M.; Cassone, G.; Pipitone, N.; Giuggioli, D.; Colaci, M.; Salvarani, C.; Ferri, C. Nailfold capillaroscopic changes in dermatomyositis and polymyositis. Clin. Rheumatol. 2014, 34, 279–284. [Google Scholar] [CrossRef]
- Vaz, J.L.P.; Dancour, M.A.A.; Bottino, D.A.; Bouskela, E. Nailfold videocapillaroscopy in primary antiphospholipid syndrome (PAPS). Rheumatology 2004, 43, 1025–1027. [Google Scholar] [CrossRef] [PubMed] [Green Version]
- Lambova, S.N.; Müller-Ladner, U. Capillaroscopic pattern in inflammatory arthritis. Microvasc. Res. 2012, 83, 318–322. [Google Scholar] [CrossRef] [Green Version]
- Sag, S.; Tekeoglu, I.; Kamanli, A.; Nas, K.; Aydın, Y. Nailfold videocapillaroscopy results in patients with rheumatoid arthritis. Clin. Rheumatol. 2017, 36, 1969–1974. [Google Scholar] [CrossRef] [PubMed]
- Preliminary criteria for the classification of systemic sclerosis (scleroderma) Subcommittee for scleroderma criteria of the American Rheumatism Association Diagnostic and Therapeutic Criteria Committee. Arthritis Rheum. 1980, 23, 581–590. [CrossRef]
- van den Hoogen, F.; Khanna, D.; Fransen, J.; Johnson, S.R.; Baron, M.; Tyndall, A.; Matucci-Cerinic, M.; Naden, R.P.; Medsger, T.A., Jr.; Carreira, P.E. 2013 classification criteria for systemic sclerosis: An American college of rheumatology/European league against rheumatism collaborative initiative. Ann. Rheum. Dis. 2013, 72, 1747–1755. [Google Scholar] [CrossRef] [PubMed] [Green Version]
- Aletaha, D.; Neogi, T.; Silman, A.J.; Funovits, J.; Felson, D.T.; Bingham, C.O., III; Birnbaum, N.S.; Burmester, G.R.; Bykerk, V.P.; Cohen, M.D.; et al. 2010 Rheumatoid arthritis classification criteria: An American College of Rheumatology/European League Against Rheumatism collaborative initiative. Arthritis Rheumatol. 2010, 62, 2569–2581. [Google Scholar] [CrossRef] [PubMed]
- Shiboski, S.C.; Shiboski, C.H.; Criswell, L.A.; Baer, A.N.; Challacombe, S.; Lanfranchi, H.; Schiodt, M.; Umehara, H.; Vivino, F.; Zhao, Y.; et al. American College of Rheumatology classification criteria for Sjögren’s syndrome: A data-driven, expert consensus approach in the Sjögren’s International Collaborative Clinical Alliance Cohort. Arthritis Care Res. 2012, 64, 475–487. [Google Scholar] [CrossRef] [PubMed]
- Vitali, C.; Bombardieri, S.; Jonsson, R.; Moutsopoulos, H.M.; Alexander, E.L.; Carsons, S.E.; Daniels, T.E.; Fox, P.C.; Fox, R.I.; Kassan, S.S.; et al. Classification criteria for Sjogren’s syndrome: A revised version of the European criteria proposed by the American-European Consensus Group. Ann. Rheum. Dis. 2002, 61, 554–558. [Google Scholar] [CrossRef] [PubMed] [Green Version]
- Bohan, A.; Peter, J.B. Polymyositis and Dermatomyositis. N. Engl. J. Med. 1975, 292, 344–347. [Google Scholar] [CrossRef] [PubMed]
- Petri, M.; Orbai, A.-M.; Alarcón, G.S.; Gordon, C.; Merrill, J.T.; Fortin, P.R.; Bruce, I.N.; Isenberg, D.; Wallace, D.J.; Nived, O.; et al. Derivation and validation of the Systemic Lupus International Collaborating Clinics classification criteria for systemic lupus erythematosus. Arthritis Rheum. 2012, 64, 2677–2686. [Google Scholar] [CrossRef]
- Miyakis, S.; Lockshin, M.D.; Atsumi, T.; Branch, D.W.; Brey, R.L.; Cervera, R.; Derksen, R.H.W.M.; De Groot, P.G.; Koike, T.; Meroni, P.L.; et al. International consensus statement on an update of the classification criteria for definite antiphospholipid syndrome (APS). J. Thromb. Haemost. 2006, 4, 295–306. [Google Scholar] [CrossRef] [PubMed]
- Hochberg, M.C. Updating the American college of rheumatology revised criteria for the classification of systemic lupus erythematosus. Arthritis Rheum. 1997, 40, 1725. [Google Scholar] [CrossRef]
- Maverakis, E.; Patel, F.; Kronenberg, D.G.; Chung, L.; Fiorentino, D.; Allanore, Y.; Guiducci, S.; Hesselstrand, R.; Hummers, L.K.; Duong, C.; et al. International consensus criteria for the diagnosis of Raynaud’s phenomenon. J. Autoimmun. 2014, 48–49, 60–65. [Google Scholar] [CrossRef] [Green Version]
- Mercer, L.K.; Moore, T.L.; Chinoy, H.; Murray, A.K.; Vail, A.; Cooper, R.G.; Herrick, A.L. Quantitative nailfold video capillaroscopy in patients with idiopathic inflammatory myopathy. Rheumatology 2010, 49, 1699–1705. [Google Scholar] [CrossRef] [Green Version]
- Tektonidou, M.; Kaskani, E.; Skopouli, F.N.; Moutsopoulos, H.M. Microvascular abnormalities in Sjögren’s syndrome: Nailfold capillaroscopy. Rheumatology 1999, 38, 826–830. [Google Scholar] [CrossRef] [PubMed] [Green Version]
- Avouac, J.; Lepri, G.; Smith, V.; Toniolo, E.; Hurabielle, C.; Vallet, A.; Amrouche, F.; Kahan, A.; Cutolo, M.; Allanore, Y. Sequential nailfold videocapillaroscopy examinations have responsiveness to detect organ progression in systemic sclerosis. Semin. Arthritis Rheum. 2017, 47, 86–94. [Google Scholar] [CrossRef] [PubMed]
- Granier, F.; Vayssairat, M.; Priollet, P.; Housset, E. Nailfold capillary microscopy in mixed connective tissue disease. Comparison with systemic sclerosis and systemic lupus erythematosus. Arthritis Rheum. 1986, 29, 189–195. [Google Scholar] [CrossRef]
- Cutolo, M.; Melsens, K.; Herrick, A.L.; Foeldvari, I.; Deschepper, E.; De Keyser, F.; Distler, O.; Ingegnoli, F.; Mostmans, Y.; Müller-Ladner, U.; et al. Reliability of simple capillaroscopic definitions in describing capillary morphology in rheumatic diseases. Rheumatology 2018, 57, 757–759. [Google Scholar] [CrossRef] [Green Version]
- Foocharoen, C.; Netwijitpan, S.; Mahakkanukrauh, A.; Suwannaroj, S.; Nanagara, R. Clinical characteristics of scleroderma overlap syndromes: Comparisons with pure scleroderma. Int. J. Rheum. Dis. 2016, 19, 913–923. [Google Scholar] [CrossRef]
- Moinzadeh, P.; Aberer, E.; Ahmadi-Simab, K.; Blank, N.; Distler, J.H.W.; Fierlbeck, G.; Genth, E.; Guenther, C.; Hein, R.; Henes, J.; et al. Disease progression in systemic sclerosis-overlap syndrome is significantly different from limited and diffuse cutaneous systemic sclerosis. Ann. Rheum. Dis. 2014, 74, 730–737. [Google Scholar] [CrossRef] [PubMed]
- Miyake, M.; Matsushita, T.; Takehara, K.; Hamaguchi, Y. Clinical features of Japanese systemic sclerosis (SSc) patients negative for SSc-related autoantibodies: A single-center retrospective study. Int. J. Rheum. Dis. 2020, 23, 1219–1225. [Google Scholar] [CrossRef] [PubMed]
- Salazar, G.A.; Assassi, S.; Wigley, F.; Hummers, L.; Varga, J.; Hinchcliff, M.; Khanna, D.; Schiopu, E.; Phillips, K.; Furst, D.E.; et al. Antinuclear antibody-negative systemic sclerosis. Semin. Arthritis Rheum. 2014, 44, 680–686. [Google Scholar] [CrossRef] [PubMed] [Green Version]
- Meier, F.; Frommer, K.W.; Dinser, R.; Walker, U.A.; Czirjak, L.; Denton, C.P.; Allanore, Y.; Distler, O.; Riemekasten, G.; Valentini, G.; et al. Update on the profile of the EUSTAR cohort: An analysis of the EULAR Scleroderma Trials and Research group database. Ann. Rheum. Dis. 2012, 71, 1355–1360. [Google Scholar] [CrossRef]
- Capobianco, K.G.; Xavier, R.M.; Bredemeier, M.; Restelli, V.G.; Brenol, J.C. Nailfold capillaroscopic findings in primary Sjögren’s syndrome: Clinical and serological correlations. Clin. Exp. Rheumatol. 2005, 23, 789–794. [Google Scholar] [PubMed]
- Bertolazzi, C.; Gallegos-Nava, S.; Villarreal-Treviño, A.V.; Alfaro-Rodriguez, A.; Clavijo-Cornejo, D.; Gutierrez, M. The current role of capillaroscopy in vasculitides. Clin. Rheumatol. 2019, 38, 2299–2307. [Google Scholar] [CrossRef] [PubMed]
- Mansueto, N.; Rotondo, C.; Corrado, A.; Cantatore, F.P. Nailfold capillaroscopy: A comprehensive review on common findings and clinical usefulness in non-rheumatic disease. J. Med. Investig. 2021, 68, 6–14. [Google Scholar] [CrossRef] [PubMed]
- Ciaffi, J.; Ajasllari, N.; Mancarella, L.; Brusi, V.; Meliconi, R.; Ursini, F. Nailfold capillaroscopy in common non-rheumatic conditions: A systematic review and applications for clinical practice. Microvasc. Res. 2020, 131, 104036. [Google Scholar] [CrossRef]




| SSc b | RA j | SLE k | APS l | IIM m | SS n | Overlap CTD Patients c | PRP d | HV e | |||
|---|---|---|---|---|---|---|---|---|---|---|---|
| All | Without Overlap | With Overlap | |||||||||
| Number of patients | 89 | 50 | 39 | 30 | 39 | 17 | 17 | 15 | 61 | 36 | 104 |
| Mean age (year) a | 58 (52–65) | 58 (52–65) | 59 (51–64) | 58 (44–62) | 50 (40–57) | 60 (55–63) | 59 (49–62) | 52 (49–66) | 57 (51–64) | 47 * (32–54) | 51 * (38–61) |
| Number of females (%) | 79 (89) | 41 (82) | 38 (97) * | 26 (87) | 32 (82) | 15 (88) | 11 (65) | 13 (87) | 56 (91) | 35 (97) * | 80 (77) |
| Disease duration (year) a | 9 (4–17) | 6 (3–15) | 15 * (6–18) | 8 (5–11) | 10 (6–15) | 11 (7–17) | 4 (1–9) | 6 (5–11) | 12 (7–19) | 3 * (0.75–11) | – |
| Number of patients (%) with | |||||||||||
| ANA f | 61 (69) | 33 (66) | 28 (72) | 3 (10) * | 35 (90) * | 0 (0) * | 5 (29) * | 6 (40) | 53 (87) | 0 (0) | 1 (1) * |
| Scl70 g | 16 (18) | 11 (22) | 5 (13) | 0 (0) * | 0 (0) * | 0 (0) * | 0 (0) * | 0 (0) * | 2 (3) * | 0 (0) | 0 (0) * |
| RNAPIII h | 2 (2) | 2 (4) | 0 (0) | 0 (0) | 4 (10) | 0 (0) | 0 (0) | 0 (0) | 2 (3) | 0 (0) | 0 (0) |
| ACA i | 27 (30) | 18 (36) | 9 (23) | 0 (0) * | 0 (0) * | 0 (0) * | 0 (0) * | 0 (0) * | 3 (5) * | 0 (0) | 1 (1) * |
| Number of patients with Raynaud’s syndrome (%) | 88 (99) | 50 (100) | 38 (97) | 12 (40) * | 24 (62) * | 14 (82) * | 5 (29) * | 12 (80) * | 42 (69) * | 36 (100) | 0 (0) * |
| Number of patients with current smoking (%) | 28 (31) | 17 (34) | 11 (28) | 8 (27) | 14 (36) | 10 (59) | 4 (24) | 1 (7) * | 17 (28) | 10 (28) | 0 (0) * |
| Number of patients with diabetes mellitus (%) | 6 (7) | 4 (8) | 2 (5) | 3 (10) | 1 (3) | 5 (29) * | 2 (12) | 2 (13) | 2 (3) | 1 (3) | 0 (0) * |
| Number of patients with hypertension | 44 (49) | 24 (48) | 20 (0) | 13 (43) | 22 (56) | 10 (58) | 5 (29) | 8 (53) | 49 (80) * | 0 (0) * | 0 (0) * |
| Capillary Density (number/mm) a | Number of Patients with Decreased (<7 mm) Density (%) | Number of Patients with SSc Pattern Early/Active/Late/All (%) | Number of Patients with Elevated MES (>1.0625) (%) | |||
|---|---|---|---|---|---|---|
| SSc b without overlap (n = 50) | 6.37 *# (4.84–7.60) | 28 (56) *# | 3 | 9 | 29 | 43 (86) *# |
| 41 (82) *# | ||||||
| Overlap SSc (n = 39) | 6.97 *# (5.77–8.33) | 20 (51) *# | 2 | 1 | 23 | 27 (69) *# |
| 26 (67) *# | ||||||
| SLE d (n = 39) | 8.48 *# (7.34–9.24) | 7 (18) *# | 3 | 0 | 6 | 10 (26) # |
| 9 (23) *# | ||||||
| APS e (n = 17) | 9.00 (8.47–9.78) | 1 (6) | 0 | 0 | 3 | 3 (18) |
| 3 (18) *# | ||||||
| IIM f (n = 17) | 8.22 *# (7.59–8.47) | 2 (12) | 1 | 0 | 5 | 7 (41) # |
| 6 (35) *# | ||||||
| SS g (n = 15) | 9.13 (8.72–9.75) | 2 (13) | 2 | 0 | 2 | 4 (27) # |
| 4 (27) *# | ||||||
| RA h (n = 30) | 9.16 (8.27–9.42) | 0 (0) | 1 | 2 | 2 | 3 (10) |
| 5 (17) *# | ||||||
| Vasculitis i (n = 10) | 8.71 (8.17–9.32) | 1 (10) | 0 | 0 | 0 | 1 (10) |
| 0 (0) | ||||||
| CTD c with different overlaps (n = 61) | 8.66 *# (7.72–9.31) | 7 (11) *# | 4 | 1 | 6 | 23 (38) *# |
| 11 (18) *# | ||||||
| PRP j (n = 36) | 9.27 (8.55–9.85) | 0 (0) | 0 | 0 | 0 | 6 (17) # |
| 0 (0) | ||||||
| HV k (n = 104) | 9.33 (8.46–10.16) | 2 (2) | 2 | 1 | 0 | 5 (5) |
| 3 (3) | ||||||
| Patients with Raynaud’s Phenomenon | Patients Without Raynaud’s Phenomenon | p (Mann–Whitney U Test or Fisher’s Exact Test) | ||
|---|---|---|---|---|
| Systemic lupus erythematosus n = 39 (RP #: n = 24; non-RP §: n = 15) | Capillary density | 7.9 (7.0;8.7) | 9.3 (8.5;10.2) | <0.001 |
| SSc § pattern (n) | 8 | 1 | NS * | |
| Antiphospholipid syndrome n = 17 (RP #: n = 14; non-RP §: n = 3) | Capillary density | 9.0 (8.5;9.7) | 9.8 (7.9;10.6) | NS * |
| SSc § pattern (n) | 3 | 0 | NS * | |
| Idiopathic inflammatory myositis n = 17 (RP #: n = 5; non-RP §: n = 12) | Capillary density | 7.7 (6.9;8.2) | 8.3 (7.7;8.6) | NS * |
| SSc § pattern (n) | 2 | 4 | NS * | |
| Sjögren’s syndrome n = 15 (RP #: n = 12; non-RP §: n = 3) | Capillary density | 9.3 (8.8;10.0) | 8.2 (6.0;9.43) | NS * |
| SSc § pattern (n) | 2 | 2 | NS * | |
| Rheumatoid arthritis n = 30 (RP #: n = 12; non-RP §: n = 18) | Capillary density | 8.3 (7.7;9.1) | 9.3 (9.0;9.8) | <0.01 |
| SSc § pattern (n) | 3 | 2 | NS * | |
| ANCA-associated vasculitis n = 10 (RP #: n = 2; non-RP §: n = 8) | Capillary density | 8.9 (8.5;9.3) | 8.6 (8.2;9.5) | NS * |
| SSc § pattern (n) | 0 | 0 | NA $ | |
| Overlap connective tissue disease n = 61 (RP #: n = 42; non-RP §: n = 19) | Capillary density | 8.4 (7.6;9.4) | 8.7 (7.9;9.2) | NS * |
| SSc § pattern (n) | 8 | 3 | NS * |
| Patients with SSc a Capillaroscopic Pattern /n/ | Patients Without SSc a Capillaroscopic Pattern /n/ | p (Mann–Whitney U Test) | |
|---|---|---|---|
| Systemic lupus erythematosus | 7.01 (6.8;7.81) /9/ | 8.69 (8.00;9.34) /30/ | 0.0017 |
| Antiphospholipid syndrome | 7.06 (6.59;8.1) /3/ | 9.38 (8.56;10.18) /14/ | 0.0196 |
| Rheumatoid arthritis | 7.09 (7.32;8.56) /5/ | 9.05 (8.69;9.50) /25/ | 0.0451 |
| Idiopathic inflammatory myositis | 7.07 (6.91;8.22) /6/ | 8.33 (7.66;8.63) /11/ | 0.0786 |
| Sjögren’s syndrome | 7.44 (5.84;8.04) /4/ | 11.88 (8.84;10.06) /11/ | 0.1172 |
Publisher’s Note: MDPI stays neutral with regard to jurisdictional claims in published maps and institutional affiliations. |
© 2021 by the authors. Licensee MDPI, Basel, Switzerland. This article is an open access article distributed under the terms and conditions of the Creative Commons Attribution (CC BY) license (https://creativecommons.org/licenses/by/4.0/).
Share and Cite
Nagy, G.; Czirják, L.; Kumánovics, G. Patients with Systemic Sclerosis with and without Overlap Syndrome Show Similar Microvascular Abnormalities. Diagnostics 2021, 11, 1606. https://doi.org/10.3390/diagnostics11091606
Nagy G, Czirják L, Kumánovics G. Patients with Systemic Sclerosis with and without Overlap Syndrome Show Similar Microvascular Abnormalities. Diagnostics. 2021; 11(9):1606. https://doi.org/10.3390/diagnostics11091606
Chicago/Turabian StyleNagy, Gabriella, László Czirják, and Gábor Kumánovics. 2021. "Patients with Systemic Sclerosis with and without Overlap Syndrome Show Similar Microvascular Abnormalities" Diagnostics 11, no. 9: 1606. https://doi.org/10.3390/diagnostics11091606
APA StyleNagy, G., Czirják, L., & Kumánovics, G. (2021). Patients with Systemic Sclerosis with and without Overlap Syndrome Show Similar Microvascular Abnormalities. Diagnostics, 11(9), 1606. https://doi.org/10.3390/diagnostics11091606

