How Can Rotational Thromboelastometry as a Point-of-Care Method Be Useful for the Management of Secondary Thromboprophylaxis in High-Risk Pregnant Patients?
Abstract
1. Introduction
2. Materials and Methods
2.1. Patients
2.2. Study Design
2.3. Rotational Thromboelastometry
2.4. Statistical Analysis
2.5. Ethical Approval
3. Results
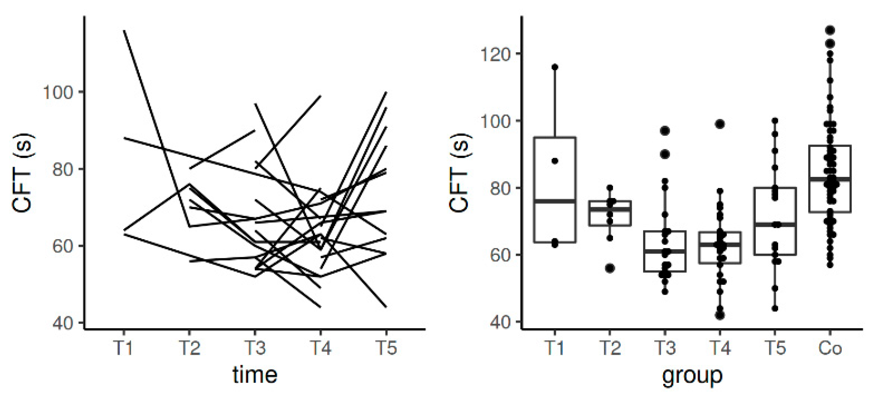
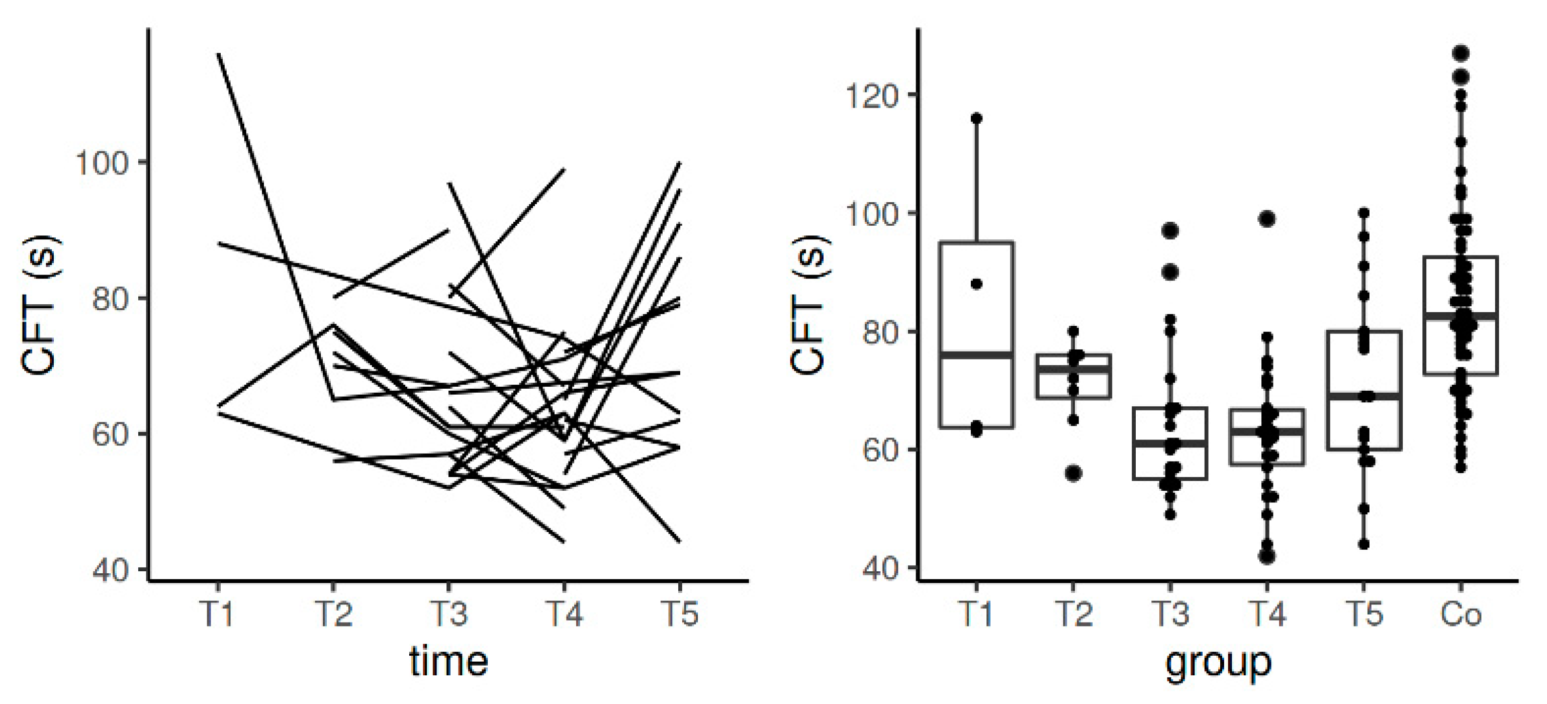
3.1. EXTEM
3.2. INTEM
3.3. HEPTEM
3.4. Is the Time Evolution of CT, CFT, AA, and MCF Different in INTEM Than in HEPTEM?
3.5. Clinical Data
4. Discussion
5. Conclusions
Author Contributions
Funding
Institutional Review Board Statement
Informed Consent Statement
Acknowledgments
Conflicts of Interest
References
- Patnaik, M.M.; Haddad, T.; Morton, C.T. Pregnancy and thrombophilia. Expert Rev. Cardiovasc. Ther. 2007, 5, 753–765. [Google Scholar] [CrossRef]
- Villani, M.; Ageno, W.; Grandone, E.; Dentali, F. The prevention and treatment of venous thromboembolism in pregnancy. Expert Rev. Cardiovasc. Ther. 2017, 15, 397–402. [Google Scholar] [CrossRef] [PubMed]
- Heit, J.A.; Spencer, F.A.; White, R.H. The epidemiology of venous thromboembolism. J. Thromb. Thrombolysis 2016, 41, 3–14. [Google Scholar] [CrossRef] [PubMed]
- McLean, K.C.; James, A.H. Diagnosis and Management of VTE in Pregnancy. Clin. Obstet. Gynecol. 2018, 61, 206–218. [Google Scholar] [CrossRef]
- Bates, S.M.; Greer, I.A.; Middeldorp, S.; Veenstra, D.L.; Prabulos, A.-M.; Vandvik, P.O. VTE, thrombophilia, antithrombotic therapy, and pregnancy: Antithrombotic Therapy and Prevention of Thrombosis, 9th ed: American College of Chest Physicians Evidence-Based Clinical Practice Guidelines. Chest 2012, 141 (Suppl. S2), e691S–e736S. [Google Scholar] [CrossRef]
- Bates, S.M.; Rajasekhar, A.; Middeldorp, S.; McLintock, C.; Rodger, M.A.; James, A.H.; Vazquez, S.R.; Greer, I.A.; Riva, J.J.; Bhatt, M.; et al. American Society of Hematology 2018 guidelines for management of venous thromboembolism: Venous thromboembolism in the context of pregnancy. Blood Adv. 2018, 2, 3317–3359. [Google Scholar] [CrossRef] [PubMed]
- Görlinger, K.; Pérez-Ferrer, A.; Dirkmann, D.; Saner, F.; Maegele, M.; Pérez Calatayud, A.A.; Kim, T.-Y. The role of evidence-based algorithms for rotational thromboelastometry-guided bleeding management. Korean J. Anesthesiol. 2019, 72, 297–322. [Google Scholar] [CrossRef]
- Amgalan, A.; Allen, T.; Othman, M.; Ahmadzia, H.K. Systematic review of viscoelastic testing (TEG/ROTEM) in obstetrics and recommendations from the women’s SSC of the ISTH. J. Thromb. Haemost. 2020, 18, 1813–1838. [Google Scholar] [CrossRef] [PubMed]
- Johansson, P.I.; Stissing, T.; Bochsen, L.; Ostrowski, S.R. Thrombelastography and tromboelastometry in assessing coagulopathy in trauma. Scand. J. Trauma Resusc. Emerg. Med. 2009, 17, 45. [Google Scholar] [CrossRef]
- Whiting, D.; DiNardo, J.A. TEG and ROTEM: Technology and clinical applications. Am. J. Hematol. 2014, 89, 228–232. [Google Scholar] [CrossRef]
- Nogami, K. The utility of thromboelastography in inherited and acquired bleeding disorders. Br. J. Haematol. 2016, 174, 503–514. [Google Scholar] [CrossRef]
- Sørensen, B.; Young, G. Global laboratory assays in haemophilia. In Textbook of Haemophilia, 2nd ed.; Lee, C., Berntorp, E., Hoots, K., Eds.; Wiley-Blackwell: Oxford, UK, 2010; pp. 263–268. [Google Scholar]
- John, S.; Mathews, N.S.; Nair, S.C. Early Prediction of Coagulopathy in Acquired Bleeding Disorders-Revisited Using Rotational Thromboelastometry. Int. J. Contemp. Med. Res. 2019, 6, A1–A5. [Google Scholar] [CrossRef]
- Hashir, A.; Singh, S.A.; Krishnan, G.; Subramanian, R.; Gupta, S. Correlation of early ROTEM parameters with conventional coagulation tests in patients with chronic liver disease undergoing liver transplant. Indian J. Anaesth. 2019, 63, 21–25. [Google Scholar] [CrossRef]
- Star-Tem. ROTEM® Delta—Reagents. Available online: https://www.rotem.de/en/products/rotem-delta/reagents/star-tem/ (accessed on 21 January 2021).
- Ex-Tem S. ROTEM® Delta—Reagents. Available online: https://www.rotem.de/en/products/rotem-delta/reagents/ex-tem-s/ (accessed on 21 January 2021).
- In-Tem S. ROTEM® Delta—Reagents. Available online: https://www.rotem.de/en/products/rotem-delta/reagents/in-tem-s/ (accessed on 21 January 2021).
- Hep-Tem, S. ROTEM® Delta—Reagents. Available online: https://www.rotem.de/en/products/rotem-delta/reagents/hep-tem-s/ (accessed on 21 January 2021).
- Lang, T.; Bauters, A.; Braun, S.L.; Pötzsch, B.; von Pape, K.-W.; Kolde, H.-J.; Lakner, M. Multi-centre investigation on reference ranges for ROTEM thromboelastometry. Blood Coagul. Fibrinolysis 2005, 16, 301–310. [Google Scholar] [CrossRef] [PubMed]
- Tanaka, K.A.; Bolliger, D.; Vadlamudi, R.; Nimmo, A. Rotational thromboelastometry (ROTEM)-based coagulation management in cardiac surgery and major trauma. J. Cardiothorac. Vasc. Anesth. 2012, 26, 1083–1093. [Google Scholar] [CrossRef] [PubMed]
- R Core Team. R: A Language and Environment for Statistical Computing. R Foundation for Statistical Computing, Vienna, Austria. Available online: https://www.R-project.org/ (accessed on 3 February 2021).
- Hothorn, T.; Bretz, F.; Westfall, P. Simultaneous Inference in General Parametric Models. Biom. J. 2008, 50, 346–363. [Google Scholar] [CrossRef] [PubMed]
- Bates, D.; Maechler, M.; Bolker, B.; Walker, S. Fitting Linear Mixed-Effects Models Using lme4. J. Stat. Softw. 2015, 67, 1–48. [Google Scholar] [CrossRef]
- Russell, V. Lenth. Emmeans: Estimated Marginal Means, Aka Least-Squares Means. R Package Version 1.5.3. 2020. Available online: https://CRAN.R-project.org/package=emmeans (accessed on 3 February 2021).
- Powell, C. CGPfunctions: Powell Miscellaneous Functions for Teaching and Learning Statistics. R Package Version 0.6.3. 2020. Available online: https://CRAN.R-project.org/package=CGPfunctions (accessed on 3 February 2021).
- Akay, O.M. The Double Hazard of Bleeding and Thrombosis in Hemostasis From a Clinical Point of View: A Global Assessment by Rotational Thromboelastometry (ROTEM). Clin. Appl. Thromb. Hemost. 2018, 24, 850–858. [Google Scholar] [CrossRef] [PubMed]
- Ganter, M.T.; Hofer, C.K. Coagulation monitoring: Current techniques and clinical use of viscoelastic point-of-care coagulation devices. Anesth. Analg. 2008, 106, 1366–1375. [Google Scholar] [CrossRef]
- Butwick, A.J.; Goodnough, L.T. Transfusion and coagulation management in major obstetric hemorrhage. Curr. Opin. Anaesthesiol. 2015, 28, 275–284. [Google Scholar] [CrossRef]
- McNamara, H.; Kenyon, C.; Smith, R.; Mallaiah, S.; Barclay, P. Four years’ experience of a ROTEM®-guided algorithm for treatment of coagulopathy in obstetric haemorrhage. Anaesthesia 2019, 74, 984–991. [Google Scholar] [CrossRef] [PubMed]
- de Lange, N.M.; Lancé, M.D.; de Groot, R.; Beckers, E.A.; Henskens, Y.M.; Scheepers, H.C. Obstetric hemorrhage and coagulation: An update. Thromboelastography, thromboelastometry, and conventional coagulation tests in the diagnosis and prediction of postpartum hemorrhage. Gynecol. Surv. 2012, 67, 426–435. [Google Scholar] [CrossRef] [PubMed]
- Kaufner, L.; Henkelmann, A.; von Heymann, C.; Feldheiser, A.; Mickley, L.; Niepraschk-von Dollen, K.; Grittner, U.; Henrich, W.; Bamberg, C. Can prepartum thromboelastometry-derived parameters and fibrinogen levels really predict postpartum hemorrhage? J. Perinat. Med. 2017, 45, 427–435. [Google Scholar] [CrossRef]
- Frigo, M.G.; Agostini, V.; Brizzi, A.; Ragusa, A.; Svelato, A. Practical approach to transfusion management of post-partum haemorrhage. Transfus. Med. 2021, 31, 11–15. [Google Scholar] [CrossRef] [PubMed]
- Huissoud, C.; Carrabin, N.; Audibert, F.; Levrat, A.; Massignon, D.; Berland, M.; Rudigoz, R.C. Bedside assessment of fibrinogen level in postpartum haemorrhage by thrombelastometry. BJOG 2009, 116, 1097–1102. [Google Scholar] [CrossRef] [PubMed]
- de Amorim, J.G.; Abecasis, M.R.; Nogueira Lança Rodrigues, F.M. Refractory Severe Thrombocytopenia during Pregnancy: How to Manage. Rev. Bras. Ginecol. Obstet. 2018, 40, 803–807. [Google Scholar] [CrossRef] [PubMed]
- McNamara, H.; Mallaiah, S.; Barclay, P.; Chevannes, C.; Bhalla, A. Coagulopathy and placental abruption: Changing management with ROTEM-guided fibrinogen concentrate therapy. Int. J. Obstet. Anesth. 2015, 24, 174–179. [Google Scholar] [CrossRef] [PubMed]
- Grassetto, A.; Fullin, G.; Cerri, G.; Simioni, P.; Spiezia, L.; Maggiolo, C. Management of severe bleeding in a ruptured extrauterine pregnancy: A theragnostic approach. Blood Coagul. Fibrinolysis 2014, 25, 176–179. [Google Scholar] [CrossRef]
- Davies, J.; Harper, A.; Kadir, R.A. The role of rotational thromboelastometry in assessment of haemostasis during pregnancy in women with factor XI deficiency. Haemophilia 2016, 22, 276–284. [Google Scholar] [CrossRef] [PubMed]
- Yoon, H.J. Coagulation abnormalities and bleeding in pregnancy: An anesthesiologist’s perspective. Anesth. Pain. Med. 2019, 14, 371–379. [Google Scholar] [CrossRef]
- Hanke, A.A.; Elsner, O.; Görlinger, K. Spinal anaesthesia and caesarean section in a patient with hypofibrinogenaemia and factor XIII deficiency. Anaesthesia 2010, 65, 641–645. [Google Scholar] [CrossRef]
- Mauritz, A.A.; Strouch, Z.Y.; Olufolabi, A.J. A conundrum: General or neuraxial anesthesia and the use of ROTEM. J. Clin. Anesth. 2016, 32, 159–161. [Google Scholar] [CrossRef]
- Collins, N.F.; Bloor, M.; McDonnell, N.J. Hyperfibrinolysis diagnosed by rotational thromboelastometry in a case of suspected amniotic fluid embolism. Int. J. Obstet. Anesth. 2013, 22, 71–76. [Google Scholar] [CrossRef]
- Loughran, J.A.; Kitchen, T.L.; Sindhakar, S.; Ashraf, M.; Awad, M.; Kealaher, E.J. Rotational thromboelastometry (ROTEM)-guided diagnosis and management of amniotic fluid embolism. Int. J. Obstet. Anesth. 2019, 38, 127–130. [Google Scholar] [CrossRef] [PubMed]
- Pujolle, E.; Mercier, F.J.; Le Gouez, A. Rotational thromboelastometry as a tool in the diagnosis and management of amniotic fluid embolism. Int. J. Obstet. Anesth. 2019, 38, 146–147. [Google Scholar] [CrossRef]
- Oda, T.; Tamura, N.; Shen, Y.; Kohmura-Kobayashi, Y.; Furuta-Isomura, N.; Yaguchi, C.; Uchida, T.; Suzuki, K.; Itoh, H.; Kanayama, N. Amniotic fluid as a potent activator of blood coagulation and platelet aggregation: Study with rotational thromboelastometry. Thromb. Res. 2018, 172, 142–149. [Google Scholar] [CrossRef] [PubMed]
- Roberts, I.; Shakur, H.; Fawole, B.; Kuti, M.; Olayemi, O.; Bello, A.; Ogunbode, O.; Kotila, T.; Aimakhu, C.O.; Olutogun, T.; et al. Haematological and fibrinolytic status of Nigerian women with post-partum haemorrhage. BMC Pregnancy Childbirth 2018, 18, 143. [Google Scholar] [CrossRef] [PubMed]
- Lee, J.; Eley, V.A.; Wyssusek, K.H.; Kimble, R.; Way, M.; Coonan, E.; Cohen, J.; Rowell, J.; van Zundert, A.A. Baseline parameters for rotational thromboelastometry in healthy labouring women: A prospective observational study. BJOG 2020, 127, 820–827. [Google Scholar] [CrossRef]
- Lee, J.; Eley, V.A.; Wyssusek, K.H.; Coonan, E.; Way, M.; Cohen, J.; Rowell, J.; van Zundert, A.A. Baseline parameters for rotational thromboelastometry (ROTEM) in healthy women undergoing elective caesarean delivery: A prospective observational study in Australia. Int. J. Obstet. Anesth. 2019, 38, 10–18. [Google Scholar] [CrossRef] [PubMed]
- Oudghiri, M.; Keita, H.; Kouamou, E.; Boutonnet, M.; Orsini, M.; Desconclois, C.; Mandelbrot, L.; Daures, J.P.; Stépanian, A.; Peynaud-Debayle, E.; et al. Reference values for rotation thromboelastometry (ROTEM) parameters following non-haemorrhagic deliveries. Correlations with standard haemostasis parameters. Thromb. Haemost. 2011, 106, 176–178. [Google Scholar] [CrossRef] [PubMed]
- de Lange, N.M.; van Rheenen-Flach, L.E.; Lancé, M.D.; Mooyman, L.; Woiski, M.; van Pampus, E.C.; Porath, M.; Bolte, A.C.; Smits, L.; Henskens, Y.M.; et al. Peri-partum reference ranges for ROTEM(R) thromboelastometry. Br. J. Anaesth. 2014, 112, 852–859. [Google Scholar] [CrossRef]
- Lee, J.; Eley, V.A.; Wyssusek, K.H.; Kimble, R.M.N.; Way, M.; Cohen, J.; van Zundert, A.A. The influence of obesity on coagulation in healthy term pregnancy as assessed by rotational thromboelastometry. Aust. N. Z. J. Obstet. Gynaecol. 2020, 60, 714–719. [Google Scholar] [CrossRef] [PubMed]
- Lee, J.; Wyssusek, K.H.; Kimble, R.M.N.; Way, M.; van Zundert, A.A.; Cohen, J.; Rowell, J.; Eley, V.A. Baseline parameters for rotational thromboelastometry (ROTEM®) in healthy pregnant Australian women: A comparison of labouring and non-labouring women at term. Int. J. Obstet. Anesth. 2020, 41, 7–13. [Google Scholar] [CrossRef] [PubMed]
- van Rheenen-Flach, L.E.; Zweegman, S.; Boersma, F.; Lenglet, J.E.; Twisk, J.W.; Bolte, A.C. A prospective longitudinal stud on rotation thromboelastometry in women with uncomplicated pregnancies and postpartum. Aust. N. Z. J. Obstet. Gynaecol. 2013, 53, 32–36. [Google Scholar] [CrossRef]
- Huissoud, C.; Carrabin, N.; Benchaib, M.; Fontaine, O.; Levrat, A.; Massignon, D.; Touzet, S.; Rudigoz, R.C.; Berland, M. Coagulation assessment by rotation thrombelastometry in normal pregnancy. Thromb. Haemost. 2009, 101, 755–761. [Google Scholar] [PubMed]
- Fiol, A.G.; Fardelmann, K.L.; McGuire, P.J.; Merriam, A.A.; Miller, A.; Alian, A.A. The Application of ROTEM in a Parturient With Antiphospholipid Syndrome in the Setting of Anticoagulation for Cesarean Delivery: A Case Report. A&A Pract. 2020, 14, e01182. [Google Scholar] [CrossRef]
- Koltsova, E.M.; Balandina, A.N.; Grischuk, K.I.; Shpilyuk, M.A.; Seregina, E.A.; Dashkevich, N.M.; Poletaev, A.V.; Pyregov, A.V.; Sukhih, G.T.; Serebriyskiy, I.I.; et al. The laboratory control of anticoagulant thromboprophylaxis during the early postpartum period after cesarean delivery. J. Perinat. Med. 2018, 46, 251–260. [Google Scholar] [CrossRef]
- Reagents Portfolio. ROTEM® Delta. Available online: https://www.rotem.de/en/products/rotem-delta/reagents/ (accessed on 1 February 2021).
- Saha, P.; Stott, D.; Atalla, R. Haemostatic changes in the puerperium ‘6 weeks postpartum’ (HIP Study)-implication for maternal thromboembolism. BJOG 2009, 116, 1602–1612. [Google Scholar] [CrossRef]











| CT (s) | CFT (s) | AA | MCF (mm) | |
|---|---|---|---|---|
| General characteristic | the time from the beginning of detection up to the initiation of clotting (clot firmness of 2 mm) | the time measured from the initiation of clotting until a clot firmness of 20 mm is achieved | the tangent to the graphic trace at the level of an amplitude of 2 mm | maximal amplitude of the graphical trace of clot firmness |
| EXTEM contains a stabilized preparation of human recombinant tissue factor acting as an activator and optimized amount of phospholipids. It is used for the assessment of the extrinsic pathway of coagulation (r ex-tem®, Pentapharm GmbH), providing data similar to that of the prothrombin time (PT) | 38–79 | 34–159 | 63–83 | 50–72 |
| INTEM is sensitive to heparin and can detect heparin levels from 0.2 to approximately 1.0 IU/mL. Reagent containing phospholipid and ellagic acid as contact activators provides data similar to activated partial thromboplastin time (aPTT). Therefore, the assay is used for the evaluation of the hemostatic system via intrinsic activation. | 100–240 | 30–110 | 70–83 | 50–72 |
| HEPTEM uses optimized calcium ion concentration in a buffer. Coagulation is initiated via the intrinsic pathway and lyophilized heparinase in the reagent rapidly degrades heparin in vitro. Therefore, when used in the association with INTEM reagent and compared to the results of INTEM analysis, it enables the detection of hemostatic status in heparinized patients without the effect of heparin. | 137–246 | 40–100 | NA | 52–72 |
| Mean Age (Age Range) (Controls) | Mean Age (Age Range) (Patients) | |
|---|---|---|
| 29.42 (18–45) | 30.24 (19–40) | |
| Mean weight (kg) (controls) | Mean weight (kg) (patients) | |
| 65.5 | T1 | 65.17 |
| T4 | 75.29 | |
| RBC (Median (IQR)) (×1012/L) (Controls) (Reference Range 3.8–5.2 × 1012/L) | RBC (Median (IQR)) (×1012/L) (Patients) (Reference Range 3.8–5.2 × 1012/L) | |
| 4.42 (4.16, 4.57) | T1 | 4.20 (4.17,4.23) |
| T2 | 4.03 (3.97,4.10) | |
| T3 | 3.84 (3.75,3.96) | |
| T4 | 3.99 (3.84,4.08) | |
| T5 | 4.44 (4.24,4.67) | |
| Hgb (Median (IQR)) (g/L) (Controls) (Reference Range 120–155 g/L) | Hgb (Median (IQR)) (g/L) (Patients) (Reference Range 120–155 g/L) | |
| 132 (128, 138) | T1 | 128 (127,131) |
| T2 | 122 (116,125) | |
| T3 | 118 (113,122) | |
| T4 | 122 (117,127) | |
| T5 | 133 (128,138) | |
| PLT (Median (IQR)) (×109/L) (Controls) (Reference Range 140–400 × 109/L) | PLT (median (IQR)) (×109/L) (Patients) (Reference range 140–400 × 109/L) | |
| 249 (202, 290) | T1 | 244 (213,273) |
| T2 | 210 (207,226) | |
| T3 | 217 (175,230) | |
| T4 | 198 (171,236) | |
| T5 | 228 (196,278) | |
| Fbg (Median (IQR)) (g/L) (Controls) (Reference Range 1.8–4.2 g/L) | Fbg (Median (IQR)) (g/L) (Patients) (Reference Range 1.8–4.2 g/L) | |
| 2.70 (2.28, 3.21) | T1 | 3.16 (3.07,3.20) |
| T2 | 3.07 (3.01,3.32) | |
| T3 | 3.54 (3.30,4.43) | |
| T4 | 4.27 (3.20,4.78) | |
| T5 | 2.54 (2.31,2.92) | |
| Change of the Dose of LMWH (%) | T1 | 10.17 |
| T2 | 18.65 | |
| T3 | 35.59 | |
| T4 | 30.51 | |
| T5 | 5.08 | |
| Type of Delivery | Vaginal | |
| 60.98% of the patients | ||
| Cesarean Section | ||
| 39.02% of the patients | ||
| Variable | Co | T1 | T2 | T3 | T4 | T5 |
|---|---|---|---|---|---|---|
| CT | 67 (6 67 (60,70) | 60 (55,66) | 63 (60,68) | 62 (58,66) | 67 (56,72) | 62 (58,70) |
| CFT | 83 (74,96) | 76 (64,95) | 74 (69,76) | 61 (55,67) *** | 63 (58,69) ** | 73 (60,84) |
| NA in CFT | 0 | 0 | 0 | 0 | 0 | 2 |
| AA | 73.0 (71.0,75.0) | 74.5 (71.2,77.0) | 75.5 (74.8,77.2) | 78.0 (77.0,79.0) *** | 77.0 (76.5,79.0) *** | 76.0 (74.0,78.0) *** |
| NA in AA | 0 | 0 | 0 | 0 | 0 | 1 |
| MCF | 63.0 (61.0,65.0) | 65.5 (62.8,67.8) | 67.0 (63.0,69.5) | 69.0 (66.0,72.0) *** | 70.0 (66.5,72.0) *** | 64.5 (63.0,67.5) |
| Variable | Co | T1 | T2 | T3 | T4 | T5 |
|---|---|---|---|---|---|---|
| CT | 173 (158, 184) | 186 (174, 220) | 162 (157, 210) | 163(144, 176) | 157 (151, 171) | 177 (163, 181) |
| CFT | 73 (64, 83) | 88 (73, 111) * | 70 (64, 75) | 66 (52, 72) | 58 (54, 68) ** | 68 (63, 79) |
| AA | 75.0 (74.0, 77.0) | 72.0 (68.0, 75.2) | 76.5 (75.0, 77.2) | 77.0 (75.5, 79.0) | 78.0 (77.0, 79.0) ** | 76.0 (74.0, 77.2) |
| MCF | 60.0 (58.0, 63.0) | 61.5 (57.8, 63.2) | 64.5 (60.5, 66.2) | 67.0 (64.0, 70.0) *** | 68.0 (65.0, 71.0) *** | 61.5 (59.8, 64.5) |
| Co | T1 | T2 | T3 | T4 | T5 | |
|---|---|---|---|---|---|---|
| CT | 169 169 (156, 192) | 175 (166, 185) | 177 (165, 201) | 160 (150, 174) | 165 (158, 175) | 178 (165, 195) |
| CFT | 72 (69, 86) | 77 (70, 82) | 76 (71, 80) | 64 (53, 72) | 62 (55, 8) | 80 (66, 3) |
| AA | 75.0 (73.0, 76.0) | 75.0 (74.0, 76.0) | 74.5 (74.0, 76.2) | 77.0 (75.5, 79.0) * | 77.0 (74.2, 79.0) | 74.0 (72.0, 76.5) |
| NA in AA | 0 | 0 | 0 | 0 | 0 | 1 |
| MCF | 59.0 (57.0, 62.0) | 60.0 (58.8, 61.2) | 60.0 (58.8, 62.8) | 65.0 (63.0, 68.5) ** | 67.0 (64.2, 70.5) *** | 61.0 (56.0, 62.5) |
Publisher’s Note: MDPI stays neutral with regard to jurisdictional claims in published maps and institutional affiliations. |
© 2021 by the authors. Licensee MDPI, Basel, Switzerland. This article is an open access article distributed under the terms and conditions of the Creative Commons Attribution (CC BY) license (https://creativecommons.org/licenses/by/4.0/).
Share and Cite
Stanciakova, L.; Dobrotova, M.; Holly, P.; Zolkova, J.; Vadelova, L.; Skornova, I.; Ivankova, J.; Bolek, T.; Samos, M.; Grendar, M.; et al. How Can Rotational Thromboelastometry as a Point-of-Care Method Be Useful for the Management of Secondary Thromboprophylaxis in High-Risk Pregnant Patients? Diagnostics 2021, 11, 828. https://doi.org/10.3390/diagnostics11050828
Stanciakova L, Dobrotova M, Holly P, Zolkova J, Vadelova L, Skornova I, Ivankova J, Bolek T, Samos M, Grendar M, et al. How Can Rotational Thromboelastometry as a Point-of-Care Method Be Useful for the Management of Secondary Thromboprophylaxis in High-Risk Pregnant Patients? Diagnostics. 2021; 11(5):828. https://doi.org/10.3390/diagnostics11050828
Chicago/Turabian StyleStanciakova, Lucia, Miroslava Dobrotova, Pavol Holly, Jana Zolkova, Lubica Vadelova, Ingrid Skornova, Jela Ivankova, Tomas Bolek, Matej Samos, Marian Grendar, and et al. 2021. "How Can Rotational Thromboelastometry as a Point-of-Care Method Be Useful for the Management of Secondary Thromboprophylaxis in High-Risk Pregnant Patients?" Diagnostics 11, no. 5: 828. https://doi.org/10.3390/diagnostics11050828
APA StyleStanciakova, L., Dobrotova, M., Holly, P., Zolkova, J., Vadelova, L., Skornova, I., Ivankova, J., Bolek, T., Samos, M., Grendar, M., Danko, J., Kubisz, P., & Stasko, J. (2021). How Can Rotational Thromboelastometry as a Point-of-Care Method Be Useful for the Management of Secondary Thromboprophylaxis in High-Risk Pregnant Patients? Diagnostics, 11(5), 828. https://doi.org/10.3390/diagnostics11050828

