Identification of MicroRNAs as Diagnostic Biomarkers for Breast Cancer Based on the Cancer Genome Atlas
Abstract
1. Introduction
2. Materials and Methods
2.1. The Cancer Genome Atlas (TCGA) Data Analysis
2.2. miRNA Expression Profiles
2.3. Constructin Regulatory Network between miRNAs and Their Targets and Pathway Enrichment Analysis
2.4. Statistical Analysis
3. Results
3.1. Patients’ Characteristics
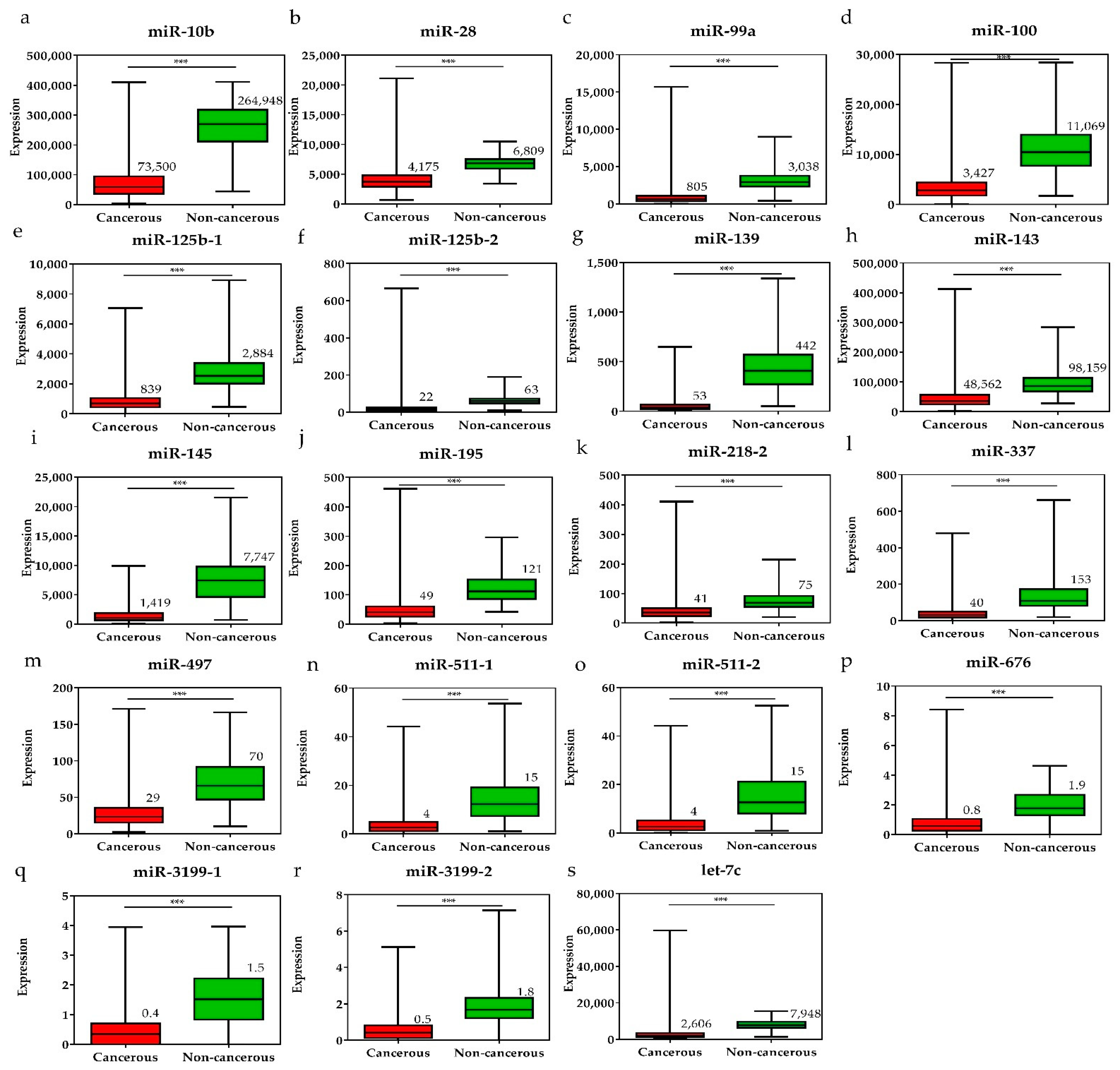
3.2. Selection of 28 Potential miRNAs as Diagnostic Biomarkers for Breast Cancer
3.3. Diagnostic Utility of Selected miRNAs
3.4. Survival for Selected miRNAs
3.5. Identification of Downstream Target Genes of miRNAs in Breast Cancer
4. Discussion
5. Conclusions
Supplementary Materials
Author Contributions
Funding
Acknowledgments
Conflicts of Interest
References
- Braden, M.A.; Stankowski, V.R.; Engel, M.J.; Onitilo, A.A. Breast cancer biomarkers: Risk assessment, diagnosis, prognosis, prediction of treatment efficacy and toxicity, and recurrence. Curr. Pharm. Des. 2014, 20, 4879–4898. [Google Scholar] [CrossRef] [PubMed]
- WHO. Latest Global Cancer Data. 2018. Available online: https://www.who.int/cancer/prevention/diagnosis-screening/breast-cancer/en/ (accessed on 18 November 2020).
- Perou, C.M.; Sorlie, T.; Eisen, M.B.; van de Rijn, M.; Jeffrey, S.S.; Rees, C.A.; Pollack, J.R.; Ross, D.T.; Johnsen, H.; Akslen, L.A.; et al. Molecular portraits of human breast tumours. Nature 2000, 406, 747–752. [Google Scholar] [CrossRef] [PubMed]
- Cancer Genome Atlas Network. Comprehensive molecular portraits of human breast tumours. Nature 2012, 490, 61–70. [Google Scholar] [CrossRef] [PubMed]
- Duffy, M.J. CA 15–3 and related mucins as circulating markers in breast cancer. Ann. Clin. Biochem. 1999, 36, 579–586. [Google Scholar] [CrossRef]
- Ng, E.K.O.; Li, R.; Shin, V.Y.; Siu, J.M.; Ma, E.S.K.; Kwong, A. MicroRNA-143 is downregulated in breast cancer and regulates DNA methyltransferases 3A in breast cancer cells. Tumor Biol. 2014, 35, 2591–2598. [Google Scholar] [CrossRef]
- Bertoli, G.; Cava, C.; Castiglioni, I. MicroRNAs: New biomarkers for diagnosis, prognosis, therapy prediction and therapeutic tools for breast cancer. Theranostics 2015, 5, 1122–1143. [Google Scholar] [CrossRef]
- Cookson, V.J.; Bentley, M.A.; Hogan, B.V.; Horgan, K.; Hayward, B.E.; Hazelwood, L.D.; Hughes, T.A. Circulating microRNA profiles reflect the presence of breast tumours but not the profiles of microRNAs within the tumours. Cell Oncol. 2012, 35, 301–308. [Google Scholar] [CrossRef]
- Ng, E.K.; Li, R.; Shin, V.Y.; Jin, H.C.; Leung, C.P.; Ma, E.S.; Pang, R.; Chua, D.; Chu, K.M.; Law, W.L.; et al. Circulating microRNAs as specific biomarkers for breast cancer detection. PLoS ONE 2013, 8, e53141. [Google Scholar] [CrossRef]
- Shi, X.; Zhang, H.; Wang, M.; Xu, X.; Zhao, Y.; He, R.; Zhang, M.; Zhou, M.; Li, X.; Peng, F.; et al. LncRNA AFAP1-AS1 promotes growth and metastasis of cholangiocarcinoma cells. Oncotarget 2017, 8, 58394–58404. [Google Scholar] [CrossRef]
- Bartel, D.P. MicroRNAs: Genomics, biogenesis, mechanism, and function. Cell 2004, 116, 281–297. [Google Scholar] [CrossRef]
- Bartel, D.P. MicroRNAs: Target recognition and regulatory functions. Cell 2009, 136, 215–233. [Google Scholar] [CrossRef]
- Anastasiadou, E.; Faggioni, A.; Trivedi, P.; Slack, F.J. The nefarious nexus of noncoding RNAs in cancer. Int. J. Mol. Sci. 2018, 19, 2072. [Google Scholar] [CrossRef]
- Kasinski, A.L.; Slack, F.J. Epigenetics and genetics. MicroRNAs en route to the clinic: Progress in validating and targeting microRNAs for cancer therapy. Nat. Rev. Cancer 2011, 11, 849–864. [Google Scholar] [CrossRef]
- Lin, S.; Gregory, R.I. MicroRNA biogenesis pathways in cancer. Nat. Rev. Cancer 2015, 15, 321–333. [Google Scholar] [CrossRef] [PubMed]
- Rupaimoole, R.; Slack, F.J. MicroRNA therapeutics: Towards a new era for the management of cancer and other diseases. Nat. Rev. Drug Discov. 2017, 16, 203–222. [Google Scholar] [CrossRef] [PubMed]
- Muluhngwi, P.; Krishna, A.; Vittitow, S.L.; Napier, J.T.; Richardson, K.M.; Ellis, M.; Mott, J.L.; Klinge, C.M. Tamoxifen differentially regulates miR-29b-1 and miR-29a expression depending on endocrine-sensitivity in breast cancer cells. Cancer Lett. 2017, 388, 230–238. [Google Scholar] [CrossRef] [PubMed]
- Umeh-Garcia, M.; Simion, C.; Ho, P.Y.; Batra, N.; Berg, A.L.; Carraway, K.L.; Yu, A.; Sweeney, C. A Novel bioengineered miR-127 prodrug suppresses the growth and metastatic potential of triple-negative breast cancer cells. Cancer Res. 2020, 80, 418–429. [Google Scholar] [CrossRef] [PubMed]
- Wang, W.; Zhang, L.; Wang, Y.; Ding, Y.; Chen, T.; Wang, Y.; Wang, H.; Li, Y.; Duan, K.; Chen, S.; et al. Involvement of miR-451 in resistance to paclitaxel by regulating YWHAZ in breast cancer. Cell Death Dis. 2017, 8, e3071. [Google Scholar] [CrossRef]
- Zhang, H.D.; Jiang, L.H.; Sun, D.W.; Li, J.; Tang, J.H. miR-30a inhibits the biological function of breast cancer cells by targeting Notch1. Int. J. Mol. Med. 2017, 40, 1235–1242. [Google Scholar] [CrossRef][Green Version]
- Ortega, M.A.; Fraile-Martínez, O.; Guijarro, L.G.; Casanova, C.; Coca, S.; Álvarez-Mon, M.; Buján, J.; García-Honduvilla, N.; Asúnsolo, Á. The regulatory role of mitochondrial MicroRNAs (MitomiRs) in breast cancer: Translational implications present and future. Cancers 2020, 12, 2443. [Google Scholar] [CrossRef]
- Chang, L.; Zhou, G.; Soufan, O.; Xia, J. miRNet 2.0: Network-based visual analytics for miRNA functional analysis and systems biology. Nucleic Acids Res. 2020, 48, W244–W251. [Google Scholar] [CrossRef] [PubMed]
- Bindea, G.; Mlecnik, B.; Hackl, H.; Charoentong, P.; Tosolini, M.; Kirilovsky, A.; Fridman, W.H.; Pagès, F.; Trajanoski, Z.; Galon, J. ClueGO: A cytoscape plug-in to decipher functionally grouped gene ontology and pathway annotation networks. Bioinformatics 2009, 25, 1091–1093. [Google Scholar] [CrossRef] [PubMed]
- Pan, W. A comparative review of statistical methods for discovering differentially expressed genes in replicated microarray experiments. Bioinformatics 2002, 18, 546–554. [Google Scholar] [CrossRef] [PubMed]
- Lewis, B.P.; Burge, C.B.; Bartel, D.P. Conserved seed pairing, often flanked by adenosines, indicates that thousands of human genes are microRNA targets. Cell 2005, 120, 15–20. [Google Scholar] [CrossRef]
- Lanczky, A.; Nagy, A.; Bottai, G.; Munkacsy, G.; Szabo, A.; Santarpia, L.; Győrffy, B. miRpower: A web-tool to validate survival-associated miRNAs utilizing expression data from 2178 breast cancer patients. Breast. Cancer Res. Treat 2016, 160, 439–446. [Google Scholar] [CrossRef]
- DeSantis, C.E.; Ma, J.; Goding Sauer, A.; Newman, L.A.; Jemal, A. Breast cancer statistics, 2017, racial disparity in mortality by state. CA Cancer J. Clin. 2017, 67, 439–448. [Google Scholar] [CrossRef]
- Saadatpour, Z.; Bjorklund, G.; Chirumbolo, S.; Alimohammadi, M.; Ehsani, H.; Ebrahiminejad, H.; Pourghadamyari, H.; Baghaei, B.; Mirzaei, H.R.; Sahebkar, A.; et al. Molecular imaging and cancer gene therapy. Cancer Gene Ther. 2016. [Google Scholar] [CrossRef]
- Saadatpour, Z.; Rezaei, A.; Ebrahimnejad, H.; Baghaei, B.; Bjorklund, G.; Chartrand, M.; Sahebkar, A.; Morovati, H.; Mirzaei, H.R.; Mirzaei, H. Imaging techniques: New avenues in cancer gene and cell therapy. Cancer Gene Ther. 2017, 24, 1–5. [Google Scholar] [CrossRef]
- Jafari, S.H.; Saadatpour, Z.; Salmaninejad, A.; Momeni, F.; Mokhtari, M.; Nahand, J.S.; Rahmati, M.; Mirzaei, H.; Kianmehr, M. Breast cancer diagnosis: Imaging techniques and biochemical markers. J. Cell Physiol. 2018, 233, 5200–5213. [Google Scholar] [CrossRef]
- Melo, S.A.; Sugimoto, H.; O’Connell, J.T.; Kato, N.; Villanueva, A.; Vidal, A.; Qiu, L.; Vitkin, E.; Perelman, L.T.; Melo, C.A.; et al. Cancer exosomes perform cell-independent microRNA biogenesis and promote tumorigenesis. Cancer Cell 2014, 26, 707–721. [Google Scholar] [CrossRef]
- Inns, J.; James, V. Circulating microRNAs for the prediction of metastasis in breast cancer patients diagnosed with early stage disease. Breast 2015, 24, 364–369. [Google Scholar] [CrossRef]
- Canzoniero, J.V.; Park, B. Use of cell free DNA in breast oncology. Bba Rev. Cancer 2016, 1865, 266–274. [Google Scholar] [CrossRef]
- Pantel, K.; Speicher, M.R. The biology of circulating tumor cells. Oncogene 2016, 35, 1216–1224. [Google Scholar] [CrossRef] [PubMed]
- Hayes, J.; Peruzzi, P.P.; Lawler, S. MicroRNAs in cancer: Biomarkers, functions and therapy. Trends Mol. Med. 2014, 20, 460–469. [Google Scholar] [CrossRef] [PubMed]
- Cai, F.; Chen, L.; Sun, Y.; He, C.; Fu, D.; Tang, J. MiR-539 inhibits the malignant behavior of breast cancer cells by targeting SP1. Biochem. Cell Biol. 2020, 98, 426–433. [Google Scholar] [CrossRef] [PubMed]
- Sánchez-González, I.; Bobien, A.; Molnar, C.; Schmid, S.; Strotbek, M.; Boerries, M.; Busch, H.; Olayioye, M.A. miR-149 suppresses breast cancer metastasis by blocking paracrine interactions with macrophages. Cancer Res. 2020, 80, 1330–1341. [Google Scholar] [CrossRef] [PubMed]
- Yan, L.X.; Huang, X.F.; Shao, Q.; Huang, M.Y.; Deng, L.; Wu, Q.L.; Zeng, Y.X.; Shao, J.Y. MicroRNA miR-21 overexpression in human breast cancer is associated with advanced clinical stage, lymph node metastasis and patient poor prognosis. RNA 2008, 14, 2348–2360. [Google Scholar] [CrossRef]
- Wang, H.; Tan, Z.; Hu, H.; Liu, H.; Wu, T.; Zheng, C.; Wang, X.; Luo, Z.; Wang, J.; Liu, S.; et al. microRNA-21 promotes breast cancer proliferation and metastasis by targeting LZTFL1. BMC Cancer 2019, 19, 738. [Google Scholar] [CrossRef]
- Liu, J.; Li, C.; Jiang, Y.; Wan, Y.; Zhou, S.; Cheng, W. Tumor-suppressor role of miR-139-5p in endometrial cancer. Cancer Cell Int. 2018, 18, 51. [Google Scholar] [CrossRef]
- Yang, B.; Zhang, W.; Sun, D.; Wei, X.; Ding, Y.; Ma, Y.; Wang, Z. Downregulation of miR-139-5p promotes prostate cancer progression through regulation of SOX5. Biomed. Pharmacother. 2019, 109, 2128–2135. [Google Scholar] [CrossRef]
- Dong, L.; Zhou, D.; Xin, C.; Liu, B.; Sun, P. MicroRNA-139 Suppresses the tumorigenicity of triple negative breast cancer cells by targeting SOX8. Cancer Manag. Res. 2020, 12, 9417–9428. [Google Scholar] [CrossRef] [PubMed]
- Miglioretti, D.L.; Walker, R.; Weaver, D.L.; Buist, D.S.; Taplin, S.H.; Carney, P.A.; Rosenberg, R.D.; Dignan, M.B.; Zhang, Z.T.; White, E. Accuracy of screening mammography varies by week of menstrual cycle. Radiology 2011, 258, 372–379. [Google Scholar] [CrossRef] [PubMed]
- Sinclair, N.; Littenberg, B.; Geller, B.; Muss, H. Accuracy of screening mammography in older women. AJR Am. J. Roentgenol. 2011, 197, 1268–1273. [Google Scholar] [CrossRef]
- Hastings, M.L.; Palma, J.; Duelli, D.M. Sensitive PCR-based quantitation of cell-free circulating microRNAs. Methods 2012, 58, 144–150. [Google Scholar] [CrossRef] [PubMed]
- Shen, J.; Hu, Q.; Schrauder, M.; Yan, L.; Wang, D.; Medico, L.; Guo, Y.; Yao, S.; Zhu, Q.; Liu, B.; et al. Circulating miR-148b and miR-133a as biomarkers for breast cancer detection. Oncotarget 2014, 5, 5284–5294. [Google Scholar] [CrossRef] [PubMed]
- Schnitt, S.J. Will molecular classification replace traditional breast pathology? Int. J. Surg. Pathol. 2010, 18, 162S–166S. [Google Scholar] [CrossRef]
- Sohn, Y.M.; Han, K.; Seo, M. Immunohistochemical subtypes of breast cancer: Correlation with clinicopathological and radiological factors. Iran J. Radiol. 2016, 13, e31386. [Google Scholar] [CrossRef]
- Shin, V.Y.; Siu, J.M.; Cheuk, I.; Ng, E.K.; Kwong, A. Circulating cell-free miRNAs as biomarker for triple-negative breast cancer. Br. J. Cancer 2015, 112, 1751–1759. [Google Scholar] [CrossRef]
- Eichelser, C.; Flesch-Janys, D.; Chang-Claude, J.; Pantel, K.; Schwarzenbach, H. Deregulated serum concentrations of circulating cell-free microRNAs miR-17, miR-34a, miR-155, and miR-373 in human breast cancer development and progression. Clin. Chem. 2013, 59, 1489–1496. [Google Scholar] [CrossRef]
- Lowery, A.J.; Miller, N.; Devaney, A.; McNeill, R.E.; Davoren, P.A.; Lemetre, C.; Benes, V.; Schmidt, S.; Blake, J.; Ball, G.; et al. MicroRNA signatures predict oestrogen receptor, progesterone receptor and HER2/neu receptor status in breast cancer. Breast Cancer Res. 2009, 11, R27. [Google Scholar] [CrossRef]
- Kleivi Sahlberg, K.; Bottai, G.; Naume, B.; Burwinkel, B.; Calin, G.A.; Borresen-Dale, A.L.; Santarpiaet, L. Serum microRNA signature predicts tumor relapse and survival in triple-negative breast cancer patients. Clin. Cancer Res. 2015, 21, 1207–1214. [Google Scholar] [CrossRef] [PubMed]
- Khodadadi-Jamayran, A.; Akgol-Oksuz, B.; Afanasyeva, Y.; Heguy, A.; Thompson, M.; Ray, K.; Giro-Perafita, A.; Sánchez, I.; Wu, X.; Esteva, F.J.; et al. Prognostic role of elevated mir-24-3p in breast cancer and its association with the metastatic process. Oncotarget 2018, 9, 12868–12878. [Google Scholar] [CrossRef] [PubMed]
- Zhang, P.; Fan, C.; Du, J.; Mo, X.; Zhao, Q. Association of miR-1247-5p expression with clinicopathological parameters and prognosis in breast cancer. Int. J. Exp. Pathol. 2018, 99, 199–205. [Google Scholar] [CrossRef] [PubMed]
- Papadaki, C.; Stoupis, G.; Tsalikis, L.; Monastirioti, A.; Papadaki, M.; Maliotis, N.; Stratigos, M.; Mastrostamatis, G.; Mavroudis, D.; Agelaki, S. Circulating miRNAs as a marker of metastatic disease and prognostic factor in metastatic breast cancer. Oncotarget 2019, 10, 966–981. [Google Scholar] [CrossRef] [PubMed]
- Freeman, G.J.; Long, A.J.; Iwai, Y.; Bourque, K.; Chernova, T.; Nishimura, H.; Fitz, L.J.; Malenkovich, N.; Okazaki, T.; Byrne, M.C.; et al. Engagement of the PD-1 immunoinhibitory receptor by a novel B7 family member leads to negative regulation of lymphocyte activation. J. Exp. Med. 2000, 192, 1027–1034. [Google Scholar] [CrossRef] [PubMed]
- Latchman, Y.; Wood, C.R.; Chernova, T.; Chaudhary, D.; Borde, M.; Chernova, I.; Iwai, Y.; Long, A.J.; Brown, J.A.; Nunes, R.; et al. PD-L2 is a second ligand for PD-1 and inhibits T-cell activation. Nat. Immunol. 2001, 2, 261–268. [Google Scholar] [CrossRef]
- Rodig, N.; Ryan, T.; Allen, J.A.; Pang, H.; Grabie, N.; Chernova, T.; Greenfield, E.A.; Liang, S.C.; Sharpe, A.H.; Lichtman, A.H.; et al. Endothelial expression of PD-L1 and PD-L2 down-regulates CD8 + T cell activation and cytolysis. Eur. J. Immunol. 2003, 33, 3117–3126. [Google Scholar] [CrossRef]
- Butte, M.J.; Keir, M.E.; Phamduy, T.B.; Sharpe, A.H.; Freeman, G.J. Programmed death-1 ligand 1 interacts specifically with the B7-1 costimulatory molecule to inhibit T cell responses. Immunity 2007, 27, 111–122. [Google Scholar] [CrossRef]
- Zielinski, C.; Knapp, S.; Mascaux, C.; Hirsch, F. Rationale for targeting the immune system through checkpoint molecule blockade in the treatment of non-small-cell lung cancer. Ann. Oncol. 2013, 24, 1170–1179. [Google Scholar] [CrossRef]
- Sabatier, R.; Finetti, P.; Mamessier, E.; Adelaide, J.; Chaffanet, M.; Ali, H.R.; Viens, P.; Caldas, C.; Birnbaum, D.; Bertucci, F. Prognostic and predictive value of PDL1 expression in breast cancer. Oncotarget 2015, 6, 5449–5464. [Google Scholar] [CrossRef]
- Mittendorf, E.A.; Philips, A.V.; Meric-Bernstam, F.; Qiao, N.; Wu, Y.; Harrington, S.; Su, X.; Wang, Y.; Gonzalez-Angulo, A.M.; Akcakanat, A.; et al. PD-L1 expression in triple-negative breast cancer. Cancer Immunol. Res. 2014, 2, 361–370. [Google Scholar] [CrossRef] [PubMed]
- Topalian, S.L.; Hodi, F.S.; Brahmer, J.R.; Gettinger, S.N.; Smith, D.C.; McDermott, D.F.; Powderly, J.D.; Carvajal, R.D.; Sosman, J.A.; Atkins, M.B.; et al. Safety, activity, and immune correlates of anti-PD-1 antibody in cancer. N. Engl. J. Med. 2012, 366, 2443–2454. [Google Scholar] [CrossRef] [PubMed]
- Cimino-Mathews, A.; Foote, J.B.; Emens, L.A. Immune targeting in breast cancer. Oncology 2015, 29, 375–385. [Google Scholar] [PubMed]
- Gibson, J. Anti-PD-L1 for metastatic triple-negative breast cancer. Lancet Oncol. 2015, 16, e264. [Google Scholar] [CrossRef]
- Kodumudi, K.N.; Siegel, J.; Weber, A.M.; Scott, E.; Sarnaik, A.A.; Pilon-Thomas, S. Immune checkpoint blockade to improve tumor infiltrating lymphocytes for adoptive cell therapy. PLoS ONE 2016, 11, e0153053. [Google Scholar] [CrossRef] [PubMed]
- Costa, R.; Carneiro, B.A.; Agulnik, M.; Rademaker, W.A.; Pai, S.G.; Villaflor, V.M.; Cristofanilli, M.; Sosman, J.A.; Giles, F.F. Toxicity profile of approved anti-PD-1 monoclonal antibodies in solid tumors: A systematic review and meta-analysis of randomized clinical trials. Oncotarget 2017, 8, 8910–8920. [Google Scholar] [CrossRef]







| Characteristics | Breast Cancer (n = 755) |
|---|---|
| Female, n (%) | 746 (98.8) |
| Age (y, mean ± SD) | 58.42 ± 13.11 |
| Race, n (%) | |
| Asian | 56 (7.42) |
| Black or African American | 156 (20.66) |
| White | 537 (71.13) |
| Unknown | 6 (0.79) |
| Pathological stage | |
| Early (stage I and II) | 567 (75.10) |
| Locally advanced (stage III) | 171 (22.65) |
| Metastatic (stage IV) | 9 (1.19) |
| Unknown | 8 (1.06) |
| Molecular subtype | |
| Luminal A | 208 (27.55) |
| Luminal B | 74 (9.80) |
| HER2 positive | 116 (15.36) |
| TNBC | 357 (47.28) |
| miRNAs | Expression Levels | AUC | Cutoff | Sensitivity | Specificity | p-Value | |
|---|---|---|---|---|---|---|---|
| Cancerous | Non-Cancerous | ||||||
| miR-139 | 53.78 ± 51.39 | 442.40 ± 238.40 | 0.99 (0.98–1.00) | <142.40 | 94.44% (92.55–95.96) | 97.67% (91.85–9.72) | <0.0001 |
| miR-21 | 249857 ± 98314 | 54433 ± 32501 | 0.98 (0.97–0.99) | >89285 | 96.82% (95.31–97.95) | 93.02% (85.43–97.40) | <0.0001 |
| miR-96 | 42.21 ± 33.52 | 4.48 ± 4.54 | 0.97 (0.96–0.99) | >9.49 | 92.32% (90.18–94.12) | 90.70% (82.49–95.90) | <0.0001 |
| miR-183 | 17528 ± 13739 | 2123 ± 1687 | 0.97 (0.96–0.99) | >4366 | 93.11% (91.07–94.81) | 95.35% (88.52–98.72) | <0.0001 |
| miR-10b | 73500 ± 52246 | 264948 ± 71301 | 0.97 (0.96–0.99) | <155979 | 93.11% (91.07–94.81) | 94.19% (86.95–98.09) | <0.0001 |
| miR-145 | 1419 ± 1189 | 7747 ± 4123 | 0.97 (0.95–0.99) | <2992 | 92.05% (89.89–93.88) | 93.02% (85.43–97.40) | <0.0001 |
| miR-99a | 805.30 ± 835.00 | 3038 ± 1278 | 0.96 (0.94–0.98) | <1506 | 90.86% (88.58–92.82) | 93.02% (85.43–97.40) | <0.0001 |
| miR-182 | 46895 ± 34488 | 8578 ± 5819 | 0.95 (0.94–0.97) | >14180 | 90.73% (88.43–92.70) | 90.70% (82.49–95.90) | <0.0001 |
| let-7c | 2606 ± 2826 | 7948 ± 2638 | 0.95 (0.92–0.97) | <4359 | 87.28% (84.70–89.58) | 93.02% (85.43–97.40) | <0.0001 |
| miR-141 | 1939 ± 1314 | 424.60 ± 404.00 | 0.94 (0.92–0.97) | >870.90 | 86.23% (83.56–88.60) | 90.70% (82.49–95.90) | <0.0001 |
| miR-125b-1 | 839.10 ± 656.90 | 2884 ± 1483 | 0.94 (0.92–0.97) | <1322 | 86.49% (83.84–88.85) | 93.02% (85.43–97.40) | <0.0001 |
| miR-125b-2 | 22.13 ± 29.51 | 63.66 ± 28.27 | 0.94 (0.92–0.96) | <35.60 | 86.36% (83.70–88.73) | 90.70% (82.49–95.90) | <0.0001 |
| miR-100 | 3427 ± 2602 | 11069 ± 4621 | 0.94 (0.91–0.97) | <5597 | 86.49% (83.84–88.85) | 90.70% (82.49–95.90) | <0.0001 |
| miR-200a | 1016 ± 626.40 | 225.6 ± 203.0 | 0.94 (0.91–0.96) | >370.00 | 90.07% (87.71–92.11) | 84.88% (75.54–91.70) | <0.0001 |
| miR-429 | 123.30 ± 98.28 | 20.86 ± 21.94 | 0.93 (0.91–0.96) | >32.56 | 90.33% (88.00–92.34) | 86.05% (76.89–92.58) | <0.0001 |
| miR-195 | 49.86 ± 40.15 | 121.5 ± 46.99 | 0.92 (0.90–0.94) | <67.69 | 80.93% (77.94–83.67) | 93.02% (85.43–97.40) | <0.0001 |
| miR-337 | 40.46 ± 41.63 | 153.30 ± 117.30 | 0.92 (0.89–0.95) | <67.89 | 85.96% (83.28–88.36) | 86.05% (76.89–92.58) | <0.0001 |
| miR-200c | 12257 ± 7356 | 4191 ± 3181 | 0.90 (0.87–0.93) | >6359 | 82.38% (79.48–85.04) | 84.88% (75.54–91.70) | <0.0001 |
| miR-200b | 739.40 ± 491.60 | 224.3 ± 168.2 | 0.89 (0.86–0.93) | >334.00 | 83.97% (81.16–86.52) | 82.56% (72.87–89.90) | <0.0001 |
| miR-3119-2 | 0.56 ± 0.59 | 1.84 ± 1.04 | 0.89 (0.85–0.93) | <1.03 | 85.03% (82.29–87.50) | 87.21% (78.27–93.44) | <0.0001 |
| miR-511-2 | 4.31 ± 5.41 | 15.64 ± 10.54 | 0.89 (0.85–0.92) | <6.64 | 81.72% (78.78–84.42) | 86.05% (76.89–92.58) | <0.0001 |
| miR-497 | 29.01 ± 22.06 | 70.12 ± 32.43 | 0.89 (0.85–0.92) | <41.53 | 81.19% (78.22–83.92) | 84.88% (75.54–91.70) | <0.0001 |
| miR-28 | 4175 ± 2047 | 6809 ± 1514 | 0.88 (0.85–0.91) | <5414 | 81.46% (78.50–84.17) | 84.88% (75.54–91.70) | <0.0001 |
| miR-511-1 | 4.33 ± 5.58 | 15.05 ± 10.74 | 0.88 (0.84–0.91) | <6.70 | 81.99% (79.06–84.66) | 80.23% (70.25–88.04) | <0.0001 |
| miR-143 | 48562 ± 42798 | 98159 ± 46495 | 0.86 (0.83–0.89) | <64538 | 80.40% (77.38–83.17) | 82.56% (72.87–89.90) | <0.0001 |
| miR-218-2 | 41.07 ± 30.26 | 75.87 ± 34.19 | 0.85 (0.81–0.89) | <51.24 | 76.03% (72.82–79.03) | 82.56% (72.87–89.90) | <0.0001 |
| miR-676 | 0.82 ± 0.94 | 1.96 ± 1.03 | 0.84 (0.80–0.88) | <1.11 | 77.09% (73.92–80.04) | 80.23% (70.25–88.04) | <0.0001 |
| miR-3199-1 | 0.47 ± 0.53 | 1.52 ± 0.95 | 0.83 (0.77–0.88) | <0.74 | 77.35% (74.20–80.29) | 80.23% (70.25–88.04) | <0.0001 |
| Combination of top 5 miRNAs | Sensitivity | Specificity | p value | ||||
| miR-139 + mir-21 + miR-96 + miR-183 + miR-10b | 96.95% (95.46–98.06) | 100.00% (95.80–100.00) | <0.0001 | ||||
| GO ID | GO Terms | No. of Genes | p-Value |
|---|---|---|---|
| KEGG:04010 | MAPK signaling pathway | 53 | <0.001 |
| KEGG:04066 | HIF-1 signaling pathway | 32 | <0.001 |
| KEGG:05230 | Central carbon metabolism in cancer | 20 | <0.001 |
| KEGG:05235 | PD-L1 expression and PD-1 checkpoint pathway in cancer | 24 | <0.001 |
| KEGG:04151 | PI3K-Akt signaling pathway | 56 | <0.001 |
| KEGG:04210 | Apoptosis | 30 | <0.001 |
| KEGG:04550 | Signaling pathways regulating pluripotency of stem cells | 32 | <0.001 |
| KEGG:04668 | TNF signaling pathway | 27 | <0.001 |
| KEGG:04722 | Neurotrophin signaling pathway | 32 | <0.001 |
| KEGG:04933 | AGE-RACE signaling pathway in diabetic complications | 28 | <0.001 |
| KEGG:05200 | Pathways in cancer | 96 | <0.001 |
| KEGG:05205 | Proteoglycans in cancer | 48 | <0.001 |
| KEGG:05206 | microRNAs in cancer | 76 | <0.001 |
| KEGG:05211 | Renal cell carcinoma | 20 | <0.001 |
| KEGG:04068 | FoxO signaling pathway | 36 | <0.001 |
| KEGG:05215 | Prostate cancer | 35 | <0.001 |
| KEGG:05161 | Hepatitis B | 45 | <0.001 |
| KEGG:05162 | Measles | 32 | <0.001 |
| KEGG:05169 | EBV infection | 40 | <0.001 |
| KEGG:05220 | Chronic myeloid leukemia | 27 | <0.001 |
| KEGG:05222 | Small cell lung cancer | 26 | <0.001 |
| KEGG:04218 | Cellular senescence | 36 | <0.001 |
| KEGG:05163 | Human cytomegalovirus infection | 42 | <0.001 |
| KEGG:05210 | Colorectal cancer | 28 | <0.001 |
| KEGG:05212 | Pancreatic cancer | 27 | <0.001 |
| KEGG:05220 | Chronic myeloid leukemia | 27 | <0.001 |
| KEGG:05223 | Non-small cell lung cancer | 21 | <0.001 |
| KEGG:05224 | Breast cancer | 37 | <0.001 |
| KEGG:05225 | Hepatocellular carcinoma | 41 | <0.001 |
| KEGG:05226 | Gastric canner | 39 | <0.001 |
Publisher’s Note: MDPI stays neutral with regard to jurisdictional claims in published maps and institutional affiliations. |
© 2021 by the author. Licensee MDPI, Basel, Switzerland. This article is an open access article distributed under the terms and conditions of the Creative Commons Attribution (CC BY) license (http://creativecommons.org/licenses/by/4.0/).
Share and Cite
Kim, J. Identification of MicroRNAs as Diagnostic Biomarkers for Breast Cancer Based on the Cancer Genome Atlas. Diagnostics 2021, 11, 107. https://doi.org/10.3390/diagnostics11010107
Kim J. Identification of MicroRNAs as Diagnostic Biomarkers for Breast Cancer Based on the Cancer Genome Atlas. Diagnostics. 2021; 11(1):107. https://doi.org/10.3390/diagnostics11010107
Chicago/Turabian StyleKim, Jungho. 2021. "Identification of MicroRNAs as Diagnostic Biomarkers for Breast Cancer Based on the Cancer Genome Atlas" Diagnostics 11, no. 1: 107. https://doi.org/10.3390/diagnostics11010107
APA StyleKim, J. (2021). Identification of MicroRNAs as Diagnostic Biomarkers for Breast Cancer Based on the Cancer Genome Atlas. Diagnostics, 11(1), 107. https://doi.org/10.3390/diagnostics11010107