Evaluating the Antiviral Potential of Polyherbal Formulation (Kabasura Kudineer) Against Monkeypox Virus: Targeting E5, Poxin, and DNA Polymerase Through Multifaceted Drug Discovery Approaches
Abstract
1. Introduction
2. Materials and Methods
2.1. Phytochemicals and Proteins
2.2. Ligand Preparation
2.3. Protein Preparation and Site Analysis
2.4. Grid Generation and Molecular Docking
2.5. Molecular Dynamics (MD) Simulations
2.6. Molecular Mechanics with Generalized Born and Surface Area Solvation (MM-GBSA) Calculations
2.7. Density Functional Theory (DFT)
2.8. Toxicity Assessment
3. Results and Discussion
3.1. Effects of Herbs in Antiviral Effects
3.2. Binding Affinities of Herb Compounds for E5
3.2.1. Chlorogenic Acid
3.2.2. Chebulic Acid
3.2.3. Rosmarinic Acid
3.2.4. Citric Acid
3.2.5. Tecovirimat
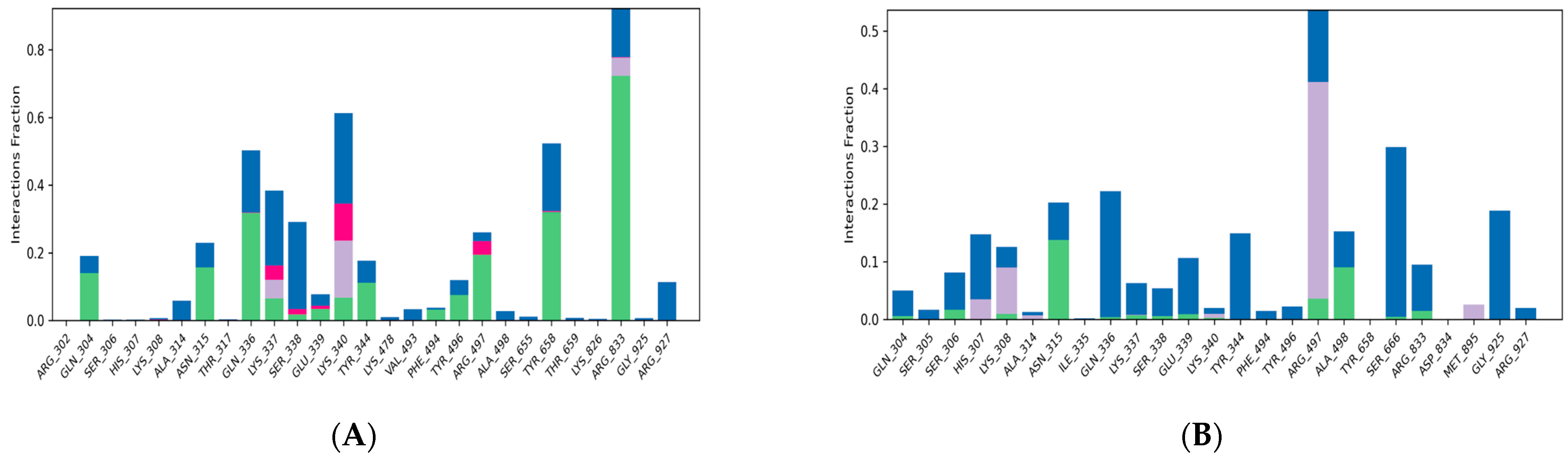
3.3. Stability of Hit Molecules-E5
3.3.1. Chlorogenic Acid-Mpox E5
3.3.2. Chebulic Acid-Mpox E5
3.3.3. Rosmarinic Acid-Mpox E5
3.3.4. Citric Acid-Mpox E5
3.3.5. Tecovirimat-Mpox E5
3.4. Per-Residue Energy Decomposition Analysis
3.5. Radius of Gyration (Rg)
3.6. Efficacy of Polyherbal Compounds in Mpox Poxin-Associated Complications
3.7. Efficacy of Polyherbal Compounds in Mpox DNA Polymerase-Associated Complications
3.8. HOMO and LUMO
3.9. Binding Free Energy Calculation
3.10. Toxicity Profiles of Hit Molecules
4. Conclusions
Author Contributions
Funding
Institutional Review Board Statement
Informed Consent Statement
Data Availability Statement
Acknowledgments
Conflicts of Interest
References
- Mourya, D.; Yadav, P.; Ullas, P.; Bhardwaj, S.; Sahay, R.; Chadha, M.; Shete, A.; Jadhav, S.; Gupta, N.; Gangakhedkar, R.; et al. Emerging/Re-Emerging Viral Diseases & New Viruses on the Indian Horizon. Indian J. Med. Res. 2019, 149, 447–467. [Google Scholar] [PubMed]
- Chadha, J.; Khullar, L.; Mittal, N. Facing the Wrath of Enigmatic Mutations: A Review on the Emergence of Severe Acute Respiratory Syndrome Coronavirus 2 Variants amid Coronavirus Disease-19 Pandemic. Environ. Microbiol. 2022, 24, 2615–2629. [Google Scholar] [CrossRef] [PubMed]
- Gulati, P.; Chadha, J.; Harjai, K.; Singh, S. Targeting Envelope Proteins of Poxviruses to Repurpose Phytochemicals against Monkeypox: An in Silico Investigation. Front. Microbiol. 2023, 13, 1073419. [Google Scholar] [CrossRef] [PubMed]
- Lam, H.Y.I.; Guan, J.S.; Mu, Y. In Silico Repurposed Drugs against Monkeypox Virus. Molecules 2022, 27, 5277. [Google Scholar] [CrossRef]
- Srivastava, S.; Kumar, S.; Jain, S.; Mohanty, A.; Thapa, N.; Poudel, P.; Bhusal, K.; Al-qaim, Z.H.; Barboza, J.J.; Padhi, B.K.; et al. The Global Monkeypox (Mpox) Outbreak: A Comprehensive Review. Vaccines 2023, 11, 1093. [Google Scholar] [CrossRef]
- WHO. Strategic Framework for Enhancing Prevention and Control of Mpox 2024–2027; World Health Organization: Geneva, Switzerland, 2024; ISBN 9240092900. [Google Scholar]
- Acharya, A.; Kumar, N.; Singh, K.; Byrareddy, S.N. Mpox in MSM: Tackling Stigma, Minimizing Risk Factors, Exploring Pathogenesis, and Treatment Approaches. Biomed. J. 2024, 17, 100746. [Google Scholar] [CrossRef]
- Natarajan, S.; Anbarasi, C.; Sathiyarajeswaran, P.; Manickam, P.; Geetha, S.; Kathiravan, R.; Prathiba, P.; Pitchiahkumar, M.; Parthiban, P.; Kanakavalli, K.; et al. Kabasura Kudineer (KSK), a Poly-Herbal Siddha Medicine, Reduced SARS-CoV-2 Viral Load in Asymptomatic COVID-19 Individuals as Compared to Vitamin C and Zinc Supplementation: Findings from a Prospective, Exploratory, Open-Labeled, Comparative, Randomized Controlled Trial, Tamil Nadu, India. Trials 2021, 22, 623. [Google Scholar] [CrossRef]
- Yang, W.; Wang, Y.; Han, D.; Tang, W.; Sun, L. Recent Advances in Application of Computer-Aided Drug Design in Anti-COVID-19 Virials Drug Discovery. Biomed. Pharmacother. 2024, 173, 116423. [Google Scholar] [CrossRef]
- Duchoslav, V.; Boura, E. Structure of Monkeypox Virus Poxin: Implications for Drug Design. Arch. Virol. 2023, 168, 192. [Google Scholar] [CrossRef]
- Xu, Y.; Wu, Y.; Wu, X.; Zhang, Y.; Yang, Y.; Li, D.; Yang, B.; Gao, K.; Zhang, Z.; Dong, C. Structural Basis of Human Mpox Viral DNA Replication Inhibition by Brincidofovir and Cidofovir. Int. J. Biol. Macromol. 2024, 270, 132231. [Google Scholar] [CrossRef]
- Zhang, W.; Liu, Y.; Yang, M.; Yang, J.; Shao, Z.; Gao, Y.; Jiang, X.; Cui, R.; Zhang, Y.; Zhao, X. Structural and Functional Insights into the Helicase Protein E5 of Mpox Virus. Cell Discov. 2024, 10, 67. [Google Scholar] [CrossRef] [PubMed]
- Xu, Y.; Wu, Y.; Zhang, Y.; Gao, K.; Wu, X.; Yang, Y.; Li, D.; Yang, B.; Zhang, Z.; Dong, C. Essential and Multifunctional Mpox Virus E5 Helicase-Primase in Double and Single Hexamer. Sci. Adv. 2024, 10, 1150. [Google Scholar] [CrossRef] [PubMed]
- Padmavathy, B.; Ebinezer, B.S.; Amalraj, S.; Kadaikunnan, S.; Arumugam, M.; Karthick, V.; Karthikeyan, K.; Prabhu, S.; Khaled, J.M.; Jose, J. Cytotoxicity Effects of Terminalia Arjuna Bark-Derived Nano-ZnO on MCF 7 Cells and Enhanced Anti-Breast Cancer Potency of Its Phytochemicals upon Zn-Capping. Mater. Chem. Phys. 2024, 328, 130030. [Google Scholar] [CrossRef]
- Prabhu, S.; Kalaimathi, K.; Jayasree, S.; Ayyanar, M.; Kadaikunnan, S.; Thiruvengadam, M.; Amalraj, S.; Ceasar, S.A.; Alharbi, N.S.; Sanjeevi, B. Cyanobacterial Metabolites as Promising Neuroprotective Agents by Targeting Phosphoglycerate Kinase 1: Dynamic In Silico Approaches. J. Comput. Biophys. Chem. 2024, 23, 691–708. [Google Scholar] [CrossRef]
- Kavitha, R.; Prabhu, S.; Prakash, N.; Amalraj, S.; Ayyanar, M.; Kadaikunnan, S.; Kalaimathi, K.; Ceasar, S.A.; Priya, S.P.; Gurav, S. Design and Synthesis of a Novel Pyrazole-Based Molecule with Potential Anticancer and Antimicrobial Effects: A Multifaceted in Silico Approach. J. Mol. Struct. 2025, 1323, 140536. [Google Scholar] [CrossRef]
- Bouback, T.A.; Pokhrel, S.; Albeshri, A.; Aljohani, A.M.; Samad, A.; Alam, R.; Hossen, M.S.; Al-Ghamdi, K.; Talukder, M.E.K.; Ahammad, F.; et al. Pharmacophore-Based Virtual Screening, Quantum Mechanics Calculations, and Molecular Dynamics Simulation Approaches Identified Potential Natural Antiviral Drug Candidates against MERS-CoV S1-NTD. Molecules 2021, 26, 4961. [Google Scholar] [CrossRef]
- Banerjee, P.; Eckert, A.O.; Schrey, A.K.; Preissner, R. ProTox-II: A Webserver for the Prediction of Toxicity of Chemicals. Nucleic Acids Res. 2018, 46, W257–W263. [Google Scholar] [CrossRef]
- Pécheur, E.-I.; Borisevich, V.; Halfmann, P.; Morrey, J.D.; Smee, D.F.; Prichard, M.; Mire, C.E.; Kawaoka, Y.; Geisbert, T.W.; Polyak, S.J. The Synthetic Antiviral Drug Arbidol Inhibits Globally Prevalent Pathogenic Viruses. J. Virol. 2016, 90, 3086–3092. [Google Scholar] [CrossRef]
- Titova, Y.A.; Fedorova, O.V. Favipiravir—A Modern Antiviral Drug: Synthesis and Modifications. Chem. Heterocycl. Compd. 2020, 56, 659–662. [Google Scholar] [CrossRef]
- Gentile, I.; Buonomo, A.R.; Borgia, F.; Castaldo, G.; Borgia, G. Ledipasvir: A Novel Synthetic Antiviral for the Treatment of HCV Infection. Expert Opin. Investig. Drugs 2014, 23, 561–571. [Google Scholar] [CrossRef]
- Rota, P.; La Rocca, P.; Bonfante, F.; Pagliari, M.; Piccoli, M.; Cirillo, F.; Ghiroldi, A.; Franco, V.; Pappone, C.; Allevi, P.; et al. Design, Synthesis, and Antiviral Evaluation of Sialic Acid Derivatives as Inhibitors of Newcastle Disease Virus Hemagglutinin-Neuraminidase: A Translational Study on Human Parainfluenza Viruses. ACS. Infect. Dis. 2023, 9, 576. [Google Scholar] [CrossRef] [PubMed]
- Kurokawa, M.; Shimizu, T.; Watanabe, W.; Shiraki, K. Development of New Antiviral Agents from Natural Products. Open Antimicrob. Agents J. 2010, 2, 573. [Google Scholar] [CrossRef]
- Mehrbod, P.; Abdalla, M.A.; Njoya, E.M.; Ahmed, A.S.; Fotouhi, F.; Farahmand, B.; Gado, D.A.; Tabatabaian, M.; Fasanmi, O.G.; Eloff, J.N.; et al. South African Medicinal Plant Extracts Active against Influenza A Virus. BMC Complement. Altern. Med. 2018, 18, 112. [Google Scholar] [CrossRef] [PubMed]
- Bachar, S.C.; Mazumder, K.; Bachar, R.; Aktar, A.; Al Mahtab, M. A Review of Medicinal Plants with Antiviral Activity Available in Bangladesh and Mechanistic Insight Into Their Bioactive Metabolites on SARS-CoV-2, HIV and HBV. Front. Pharmacol. 2021, 12, 732891. [Google Scholar] [CrossRef]
- Ding, Y.; Cao, Z.; Cao, L.; Ding, G.; Wang, Z.; Xiao, W. Antiviral Activity of Chlorogenic Acid against Influenza A (H1N1/H3N2) Virus and Its Inhibition of Neuraminidase. Sci. Rep. 2017, 7, 45723. [Google Scholar] [CrossRef]
- Wang, E.; Sun, H.; Wang, J.; Wang, Z.; Liu, H.; Zhang, J.Z.H.; Hou, T. End-Point Binding Free Energy Calculation with MM/PBSA and MM/GBSA: Strategies and Applications in Drug Design. Chem. Rev. 2019, 119, 9478–9508. [Google Scholar] [CrossRef]
- Chiang, L.C.; Chiang, W.; Chang, M.Y.; Ng, L.T.; Lin, C.C. Antiviral Activity of Plantago Major Extracts and Related Compounds in Vitro. Antivir. Res. 2002, 55, 4. [Google Scholar] [CrossRef]
- Li, X.; Liu, Y.; Hou, X.; Peng, H.; Zhang, L.; Jiang, Q.; Shi, M.; Ji, Y.; Wang, Y.; Shi, W. Chlorogenic Acid Inhibits the Replication and Viability of Enterovirus 71 In Vitro. PLoS ONE 2013, 8, 76007. [Google Scholar] [CrossRef]
- Sarkar, A.; Agarwal, R.; Bandyopadhyay, B. Molecular Docking Studies of Phytochemicals from Terminalia Chebula for Identification of Potential Multi-Target Inhibitors of SARS-CoV-2 Proteins. J. Ayurveda Integr. Med. 2022, 13, 100557. [Google Scholar] [CrossRef]
- Naik, K.S.; Sahithya, M.D.; Kumar, C.S.; Al-Fahad, D.; Srinath, M. Identification of Potent Bioactive Compounds from Terminalia Chebula (Retz.) Targeting Multiple Receptors of SARS-CoV-2 through in Silico Approach: King of Ayurveda against COVID-19. Eur. J. Pharm. Med. Res. 2021, 8, 209–217. [Google Scholar]
- Vora, J.; Athar, M.; Sinha, S.; Jha, P.C.; Shrivastava, N. Binding Insight of Anti-HIV Phytocompounds with Prime Targets of HIV: A Molecular Dynamics Simulation Analysis. Curr. HIV Res. 2020, 18, 12509. [Google Scholar] [CrossRef] [PubMed]
- Vora, J.; Patel, S.; Athar, M.; Sinha, S.; Chhabria, M.T.; Jha, P.C.; Shrivastava, N. Pharmacophore Modeling, Molecular Docking and Molecular Dynamics Simulation for Screening and Identifying Anti-Dengue Phytocompounds. J. Biomol. Struct. Dyn. 2020, 38, 15002. [Google Scholar] [CrossRef] [PubMed]
- Vora, J.; Patel, S.; Sinha, S.; Sharma, S.; Srivastava, A.; Chhabria, M.; Shrivastava, N. Structure Based Virtual Screening, 3D-QSAR, Molecular Dynamics and ADMET Studies for Selection of Natural Inhibitors against Structural and Non-Structural Targets of Chikungunya. J. Biomol. Struct. Dyn. 2019, 37, 9732. [Google Scholar] [CrossRef]
- Khan, S.L.; Siddiqui, F.A.; Shaikh, M.S.; Nema, N.V.; Shaikh, A.A. Discovery of Potential Inhibitors of the Receptor-Binding Domain (RBD) of Pandemic Disease-Causing SARS-CoV-2 Spike Glycoprotein from Triphala through Molecular Docking. Curr. Chin. Chem. 2021, 1, 62104. [Google Scholar] [CrossRef]
- Panchal, R.; Ghosh, S.; Mehla, R.; Ramalingam, J.; Gairola, S.; Mukherjee, S.; Chowdhary, A. Antiviral Activity of Rosmarinic Acid Against Four Serotypes of Dengue Virus. Curr. Microbiol. 2022, 79, 203. [Google Scholar] [CrossRef]
- Samy, C.R.A.; Karunanithi, K.; Sheshadhri, J.; Rengarajan, M.; Srinivasan, P.; Cherian, P. (R)-(+)-Rosmarinic Acid as an Inhibitor of Herpes and Dengue Virus Replication: An In Silico Assessment. Rev. Bras. Farmacogn. 2023, 33, 543–550. [Google Scholar] [CrossRef]
- Rani, J.M.J.; Kalaimathi, K.; Vijayakumar, S.; Varatharaju, G.; Karthikeyan, K.; Thiyagarajan, G.; Bhavani, K.; Manogar, P.; Prabhu, S. Anti-Viral Effectuality of Plant Polyphenols against Mutated Dengue Protein NS2B47-NS3: A Computational Exploration. Gene Rep. 2022, 27, 101546. [Google Scholar] [CrossRef]
- Liu, Z.; Zhao, J.; Li, W.; Shen, L.; Huang, S.; Tang, J.; Duan, J.; Fang, F.; Huang, Y.; Chang, H.; et al. Computational Screen and Experimental Validation of Anti-Influenza Effects of Quercetin and Chlorogenic Acid from Traditional Chinese Medicine. Sci. Rep. 2016, 6, 19095. [Google Scholar] [CrossRef]
- Tsukamoto, Y.; Ikeda, S.; Uwai, K.; Taguchi, R.; Chayama, K.; Sakaguchi, T.; Narita, R.; Yao, W.-L.; Takeuchi, F.; Otakaki, Y. Rosmarinic Acid Is a Novel Inhibitor for Hepatitis B Virus Replication Targeting Viral Epsilon RNA-Polymerase Interaction. PLoS ONE 2018, 13, e0197664. [Google Scholar] [CrossRef]
- Ge, Q.; Zhang, Z.; Cao, Z.; Wu, D.; Xu, C.; Yao, J.; Gao, J.; Feng, Y. Exploration of the in Vitro Antiviral Effects and the Active Components of Changyanning Tablets Against Enterovirus 71. Drug Des. Devel. Ther. 2024, 18, 651–665. [Google Scholar] [CrossRef]
- Farouk, F.; Zarka, M.A.; Al-Sawahli, M.M.; Hassan, A.; Mohamed, A.F.; Ibrahim, I.M.; Mohammed, F.A.E.R.; Shebl, R.I. Rosmarinic Acid Inhibits Rift Valley Fever Virus: In Vitro, Computational and Analytical Studies. Future Virol. 2023, 18, 1001–1019. [Google Scholar] [CrossRef]
- Dubois, M.; Bailly, F.; Mbemba, G.; Mouscadet, J.-F.; Debyser, Z.; Witvrouw, M.; Cotelle, P. Reaction of Rosmarinic Acid with Nitrite Ions in Acidic Conditions: Discovery of Nitro-and Dinitrorosmarinic Acids as New Anti-HIV-1 Agents. J. Med. Chem. 2008, 51, 2575–2579. [Google Scholar] [CrossRef] [PubMed]
- Prabhu, S.; Kalaimathi, K.; Thiruvengadam, M.; Ayyanar, M.; Shine, K.; Amalraj, S.; Ceasar, S.A.; Priya, S.P.; Prakash, N. Antiviral Mechanisms of Dietary Polyphenols: Recent Developments as Antiviral Agents and Future Prospects in Combating Nipah Virus. Phytochem. Rev. 2024, 3, 1–37. [Google Scholar] [CrossRef]
- Poy, D.; Tohidfar, M. Molecular Docking and Dynamic Simulation on Investigation and Introduction of Some Secondary Metabolites of Medicinal Plants with Antiviral Activity and Effective Vitamins for the Treatment of MPox. J. Appl. Biotechnol. Rep. 2024, 11, 1289–1300. [Google Scholar]
- Hsieh, C.F.; Jheng, J.R.; Lin, G.H.; Chen, Y.L.; Ho, J.Y.; Liu, C.J.; Hsu, K.Y.; Chen, Y.S.; Chan, Y.F.; Yu, H.M.; et al. Rosmarinic Acid Exhibits Broad Anti-Enterovirus A71 Activity by Inhibiting the Interaction between the Five-Fold Axis of Capsid VP1 and Cognate Sulfated Receptors. Emerg. Microbes Infect. 2020, 9, 7512. [Google Scholar] [CrossRef]
- Elattar, M.M.; Hammoda, H.M.; Ghareeb, D.A.; El-Hosseny, M.F.; Seadawy, M.G.; Celik, I.; Darwish, R.S.; Dawood, H.M. An Integrated Strategy Combining UPLC-MS/MS, Chemometrics, Molecular Docking, and Molecular Dynamics Simulation for Metabolic Profiling of Onion (Allium cepa L.) Cultivars and Unravelling Potential Anti-COVID-19 Metabolites. S. Afr. J. Bot. 2023, 162, 11. [Google Scholar] [CrossRef]
- Siva Ganesh, M.; Timiri, A.; Ghosh, M. A Novel Approach for Rationale Selection of Medicinal Plants against Viruses via Molecular Docking Studies. Pharmstudent 2015, 1, 18–30. [Google Scholar]
- Khare, S.; Azevedo, M.; Parajuli, P.; Gokulan, K. Conformational Changes of the Receptor Binding Domain of SARS-CoV-2 Spike Protein and Prediction of a B-Cell Antigenic Epitope Using Structural Data. Front. Artif. Intell. 2021, 4, 630955. [Google Scholar] [CrossRef]
- Saivish, M.V.; Pacca, C.C.; da Costa, V.G.; de Lima Menezes, G.; da Silva, R.A.; Nebo, L.; da Silva, G.C.D.; de Aguiar Milhim, B.H.G.; da Silva Teixeira, I.; Henrique, T.; et al. Caffeic Acid Has Antiviral Activity against Ilhéus Virus In Vitro. Viruses 2023, 15, 20494. [Google Scholar] [CrossRef]
- Langland, J.; Jacobs, B.; Wagner, C.E.; Ruiz, G.; Cahill, T.M. Antiviral Activity of Metal Chelates of Caffeic Acid and Similar Compounds towards Herpes Simplex, VSV-Ebola Pseudotyped and Vaccinia Viruses. Antivir. Res. 2018, 160, 1016. [Google Scholar] [CrossRef]
- Wang, G.F.; Shi, L.P.; Ren, Y.D.; Liu, Q.F.; Liu, H.F.; Zhang, R.J.; Li, Z.; Zhu, F.H.; He, P.L.; Tang, W.; et al. Anti-Hepatitis B Virus Activity of Chlorogenic Acid, Quinic Acid and Caffeic Acid In Vivo and In Vitro. Antivir. Res. 2009, 83, 2–5. [Google Scholar] [CrossRef] [PubMed]
- Utsunomiya, H.; Ichinose, M.; Ikeda, K.; Uozaki, M.; Morishita, J.; Kuwahara, T.; Koyama, A.H.; Yamasaki, H. Inhibition by Caffeic Acid of the Influenza a Virus Multiplication in Vitro. Int. J. Mol. Med. 2014, 34, 1859. [Google Scholar] [CrossRef] [PubMed]
- Vázquez-Calvo, Á.; de Oya, N.J.; Martín-Acebes, M.A.; Garcia-Moruno, E.; Saiz, J.C. Antiviral Properties of the Natural Polyphenols Delphinidin and Epigallocatechin Gallate against the Flaviviruses West Nile Virus, Zika Virus, and Dengue Virus. Front. Microbiol. 2017, 8, 1314. [Google Scholar] [CrossRef] [PubMed]
- Calland, N.; Sahuc, M.-E.; Belouzard, S.; Pène, V.; Bonnafous, P.; Mesalam, A.A.; Deloison, G.; Descamps, V.; Sahpaz, S.; Wychowski, C.; et al. Polyphenols Inhibit Hepatitis C Virus Entry by a New Mechanism of Action. J. Virol. 2015, 89, 10053–10063. [Google Scholar] [CrossRef]
- Altomare, A.; Baron, G.; Cambiaghi, G.; Ferrario, G.; Zoanni, B.; Della Vedova, L.; Fumagalli, G.M.; D’Alessandro, S.; Parapini, S.; Vittorio, S. Screening of Mpro Protease (SARS-CoV-2) Covalent Inhibitors from an Anthocyanin-Rich Blueberry Extract Using an HRMS-Based Analytical Platform. Molecules 2024, 29, 2702. [Google Scholar] [CrossRef]
- Akinnusi, P.A.; Olubode, S.O.; Salaudeen, W.A. Molecular Binding Studies of Anthocyanins with Multiple Antiviral Activities against SARS-CoV-2. Bull. Natl. Res. Cent. 2022, 46, 786. [Google Scholar] [CrossRef]
- Ebeed, H.; Baz, M.; Habib, E.; Prabhu, S.; Ceasar, S.A. Integrated Metabolomic Analysis and Molecular Docking: Unveiling the Potential of Nephrolepis exaltata (L.) Schott Phytocompounds for Mosquito Control via Glutathione-S-Transferase Targeting. Int. J. Biol. Macromol. 2024, 273, 133072. [Google Scholar] [CrossRef]




















| Name of the Compounds | IMPPAT ID | Docking Score | Glide Evdw | Glide Energy | Glide Emodel |
|---|---|---|---|---|---|
| Chlorogenic acid | IMPHY004597 | −13.3289 | −33.7165 | −54.8584 | −84.0648 |
| Chebulic acid | IMPHY010998 | −11.3933 | −22.6505 | −51.0801 | −69.9923 |
| Rosmarinic acid | IMPHY011844 | −9.8999 | −31.6954 | −50.6285 | −65.1073 |
| Citric acid | IMPHY003500 | −9.59471 | −10.1419 | −38.8322 | −49.3086 |
| Shikimic acid | IMPHY006945 | −8.76481 | −16.7851 | −30.8403 | −42.1496 |
| d-Tartaric acid | IMPHY003999 | −7.97167 | −7.39175 | −38.366 | −48.6886 |
| L-Rhamnose | IMPHY015056 | −7.92269 | −20.4093 | −29.5861 | −34.5808 |
| Daidzein | IMPHY004566 | −7.66304 | −25.4414 | −35.8084 | −51.2014 |
| Formononetin | IMPHY009035 | −7.51735 | −26.4555 | −35.5796 | −49.698 |
| Geranic acid | IMPHY004536 | −7.39299 | −13.7373 | −25.395 | −33.2054 |
| S. No. | Name of the Compounds | Hydrogen Bond Interactions | Other Interactions |
|---|---|---|---|
| 1. | Chlorogenic acid | ARG514 (2.01 Å), SER510 (1.84 Å), LYS509 (1.92 Å), THR507 (2.53 Å), and ALA506 (1.72 Å) | LYS509 (salt bridge), and PHE630 (pi-pi stacking) |
| 2. | Chebulic acid | ARG514 (1.80 Å), ASP652 (1.93 Å), THR511 (2.11 Å), SER510 (2.04 Å), LYS509 (1.90 Å), and THR507 (2.06 Å) | ARG514 (bivalent: pi-cation and salt bridge), and LYS509 (salt bridge) |
| 3. | Rosmarinic acid | ASP652 (1.91 Å), THR507 (2.59 Å), GLY508 (bivalent: 1.54 Å, 1.80 Å), SER510 (bivalent: 2.35 Å, 2.41 Å), and ASN605 (bivalent: 2.01 Å, 2.26 Å) | PHE630 (pi-pi stacking) and LYS509 (salt bridge) |
| 4. | Citric acid | ASN605 (2.01 Å), THR505 (2.35 Å), ALA506 (1.69 Å), THR507 (2.03 Å), GLY508 (1.91 Å), LYS509 (1.77 Å), SER510 (bivalent: 2.11 Å, 2.10 Å) | LYS509 (bivalent: salt bridge) |
| 5. | Tecovirimat | ARG514 (bivalent: 2.66 Å, 1.77 Å), and GLY508 (2.49 Å) | PHE630 (pi-pi stacking) |
| S. No. | Name of the Compounds | Key Residues | ΔG Bind | ΔG Bind Coulomb | ΔG Bind Solvation | ΔG Bind vdW |
|---|---|---|---|---|---|---|
| 1. | Chlorogenic acid | THR507 | 0.03 | −0.24 | 0.29 | −0.02 |
| GLY508 | 0.07 | −0.19 | 0.28 | −0.02 | ||
| SER510 | 0.03 | −0.29 | 0.56 | −0.19 | ||
| THR511 | −0.11 | −0.23 | 0.15 | −0.03 | ||
| ASP652 | 0.01 | 0.83 | −0.81 | 0 | ||
| 2. | Chebulic acid | GLY508 | −0.17 | −0.12 | −0.02 | −0.03 |
| THR507 | −0.92 | −0.49 | 0.5 | −0.68 | ||
| SER510 | −1.19 | −9.08 | 8.91 | −0.66 | ||
| THR511 | −6.33 | −3.06 | 1.76 | −3.87 | ||
| AGR514 | −3.6 | 0.26 | −0.88 | −2.36 | ||
| 3. | Citric acid | ASN605 | −0.15 | −0.3 | 0.18 | −0.02 |
| ALA506 | −0.17 | −0.31 | 0.18 | −0.03 | ||
| THR507 | 0.15 | −0.7 | 0.96 | −0.1 | ||
| LYS509 | −0.65 | −7.9 | 8 | −0.74 | ||
| SER510 | 0.02 | 0.01 | 0.01 | 0 | ||
| ASP603 | 0.06 | −0.19 | 0.28 | −0.02 | ||
| 4. | Rosmarinic acid | ALA506 | 0 | 0.05 | −0.04 | −0.01 |
| GLY508 | 0 | −0.22 | 0.24 | −0.02 | ||
| ASP652 | 0.02 | 0.59 | −0.56 | 0 |
| Name of the Compounds | IMPPAT ID | Docking Score | Glide Evdw | Glide Energy | Glide Emodel |
|---|---|---|---|---|---|
| Caffeic acid | IMPHY007396 | −8.49023 | −14.6795 | −20.8696 | −17.7572 |
| Citric acid | IMPHY003500 | −6.80386 | −5.57202 | −19.9455 | −19.814 |
| Plumbagic acid | IMPHY007327 | −5.91719 | −14.8537 | −18.1409 | −17.2802 |
| Palmitic acid | IMPHY011933 | −5.83839 | −12.7641 | −23.2243 | −25.9355 |
| d-Tartaric acid | IMPHY003999 | −5.82919 | −5.20123 | −17.5407 | −17.7917 |
| Esculetin | IMPHY011518 | −5.33922 | −13.7908 | −19.9468 | −25.8948 |
| Gallic acid | IMPHY012021 | −5.26569 | −9.301 | −16.1358 | −21.3437 |
| Hexanoic acid | IMPHY007354 | −5.17643 | −6.53937 | −11.5305 | −13.0665 |
| Costic acid | IMPHY007157 | −5.14485 | −16.0833 | −18.5526 | −20.8173 |
| 3-Hydroxyflavone | IMPHY000011 | −4.71851 | −18.2404 | −22.0236 | −24.973 |
| Name of the Compounds | IMPPAT ID | Docking Score | Glide Evdw | Glide Energy | Glide Emodel |
|---|---|---|---|---|---|
| Plumbagic acid | IMPHY005455 | −7.57867 | −5.97257 | −27.1799 | −34.553 |
| Delphinidin | IMPHY012050 | −7.55301 | −27.7059 | −51.6504 | −71.5141 |
| D-Glucose | IMPHY014893 | −7.54528 | −11.1257 | −29.7152 | −33.1126 |
| (−)-Epicatechin | IMPHY014908 | −7.21082 | −18.711 | −44.2525 | −55.5263 |
| Quercitol | IMPHY011805 | −7.07336 | −9.88762 | −31.0983 | −35.4338 |
| D-Galactose | IMPHY007396 | −6.82773 | −18.0707 | −32.6402 | −40.5891 |
| L-Rhamnose | IMPHY015056 | −6.40755 | −15.1972 | −28.6819 | −33.426 |
| Gallic acid | IMPHY012021 | −6.31696 | −11.2991 | −20.4942 | −24.3306 |
| Orientin | IMPHY007124 | −6.17408 | −22.4098 | −46.8336 | −59.4742 |
| D-Xylose | IMPHY015116 | −6.16501 | −10.9548 | −28.158 | −36.1138 |
| Name of the Compounds | EHOMO | ELUMO | Gap Energy (eV) | Ionization Potential (P) | Electron Affinity (A) | Electrophilicity Index (ω) | Hardness (eV) |
|---|---|---|---|---|---|---|---|
| Chlorogenic acid | −0.2247 | −0.0780 | 0.1468 | 0.2248 | 0.1468 | 0.1468 | 0.0734 |
| Chebulic acid | −0.2405 | 0.0582 | 0.1823 | 0.2406 | 0.1823 | 0.1824 | 0.0912 |
Disclaimer/Publisher’s Note: The statements, opinions and data contained in all publications are solely those of the individual author(s) and contributor(s) and not of MDPI and/or the editor(s). MDPI and/or the editor(s) disclaim responsibility for any injury to people or property resulting from any ideas, methods, instructions or products referred to in the content. |
© 2025 by the authors. Licensee MDPI, Basel, Switzerland. This article is an open access article distributed under the terms and conditions of the Creative Commons Attribution (CC BY) license (https://creativecommons.org/licenses/by/4.0/).
Share and Cite
Priya, S.P.; Amalraj, S.; Padmanabhan, V.; Rahman, M.M.; Chaitanya, N.C.; Hashim, N.T.; Prabhu, S.; Ayyanar, M.; Gurav, S.; Ceasar, S.A.; et al. Evaluating the Antiviral Potential of Polyherbal Formulation (Kabasura Kudineer) Against Monkeypox Virus: Targeting E5, Poxin, and DNA Polymerase Through Multifaceted Drug Discovery Approaches. Life 2025, 15, 771. https://doi.org/10.3390/life15050771
Priya SP, Amalraj S, Padmanabhan V, Rahman MM, Chaitanya NC, Hashim NT, Prabhu S, Ayyanar M, Gurav S, Ceasar SA, et al. Evaluating the Antiviral Potential of Polyherbal Formulation (Kabasura Kudineer) Against Monkeypox Virus: Targeting E5, Poxin, and DNA Polymerase Through Multifaceted Drug Discovery Approaches. Life. 2025; 15(5):771. https://doi.org/10.3390/life15050771
Chicago/Turabian StylePriya, Sivan Padma, Singamoorthy Amalraj, Vivek Padmanabhan, Mohammed Mustahsen Rahman, Nallan CSK Chaitanya, Nada Tawfig Hashim, Srinivasan Prabhu, Muniappan Ayyanar, Shailendra Gurav, Stanislaus Antony Ceasar, and et al. 2025. "Evaluating the Antiviral Potential of Polyherbal Formulation (Kabasura Kudineer) Against Monkeypox Virus: Targeting E5, Poxin, and DNA Polymerase Through Multifaceted Drug Discovery Approaches" Life 15, no. 5: 771. https://doi.org/10.3390/life15050771
APA StylePriya, S. P., Amalraj, S., Padmanabhan, V., Rahman, M. M., Chaitanya, N. C., Hashim, N. T., Prabhu, S., Ayyanar, M., Gurav, S., Ceasar, S. A., & Thiruvengadam, R. (2025). Evaluating the Antiviral Potential of Polyherbal Formulation (Kabasura Kudineer) Against Monkeypox Virus: Targeting E5, Poxin, and DNA Polymerase Through Multifaceted Drug Discovery Approaches. Life, 15(5), 771. https://doi.org/10.3390/life15050771

