Effect of Eight-Week Transcranial Direct-Current Stimulation Combined with Lat Pull-Down Resistance Training on Improving Pull-Up Performance for Male College Students
Abstract
1. Introduction
2. Materials and Methods
2.1. Methodological Design of This Study
2.2. Subject
2.3. Training Interventions
2.3.1. RT Group Protocol
2.3.2. RT + tDCS Group Protocol
2.4. Procedures
2.4.1. Pull-Up Endurance (Number of Repetitions)
2.4.2. Flexed Arm Circumference
2.4.3. One Repetition Maximum of Lat Pull-Down
2.4.4. Surface Electromyography (sEMG)
2.4.5. Lat Pull-Down Maximal Voluntary Isometric Contraction Peak (MVIC) Peak Force
2.5. Data Processing
2.5.1. Electromyography Activation Calculation
2.5.2. Electromyography Phase Synchronization Analysis
2.6. Statistical Analysis
3. Results
3.1. Pull-Up Endurance (Number of Repetitions)
3.2. Flexed Arm Circumference
3.3. Lat Pull-Down Maximal Voluntary Isometric Contraction Peak Force
3.4. Electromyography Muscle Activation
3.4.1. Agonist Muscle Activation
3.4.2. Antagonist Muscle Coactivation
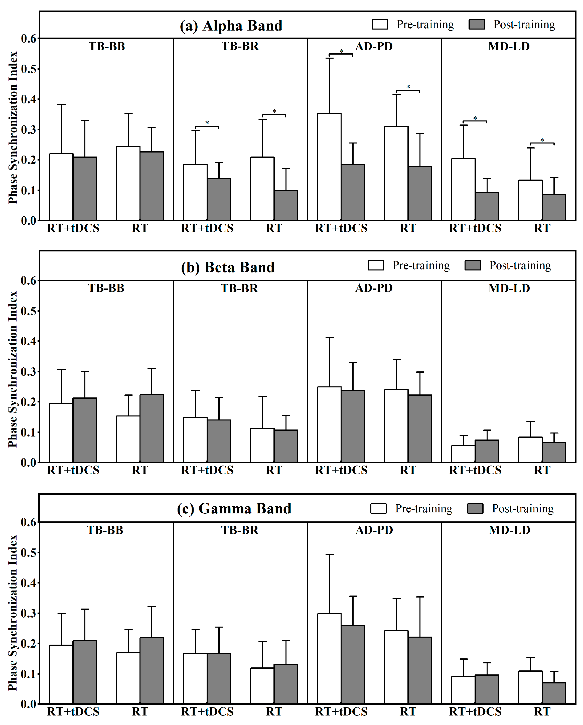
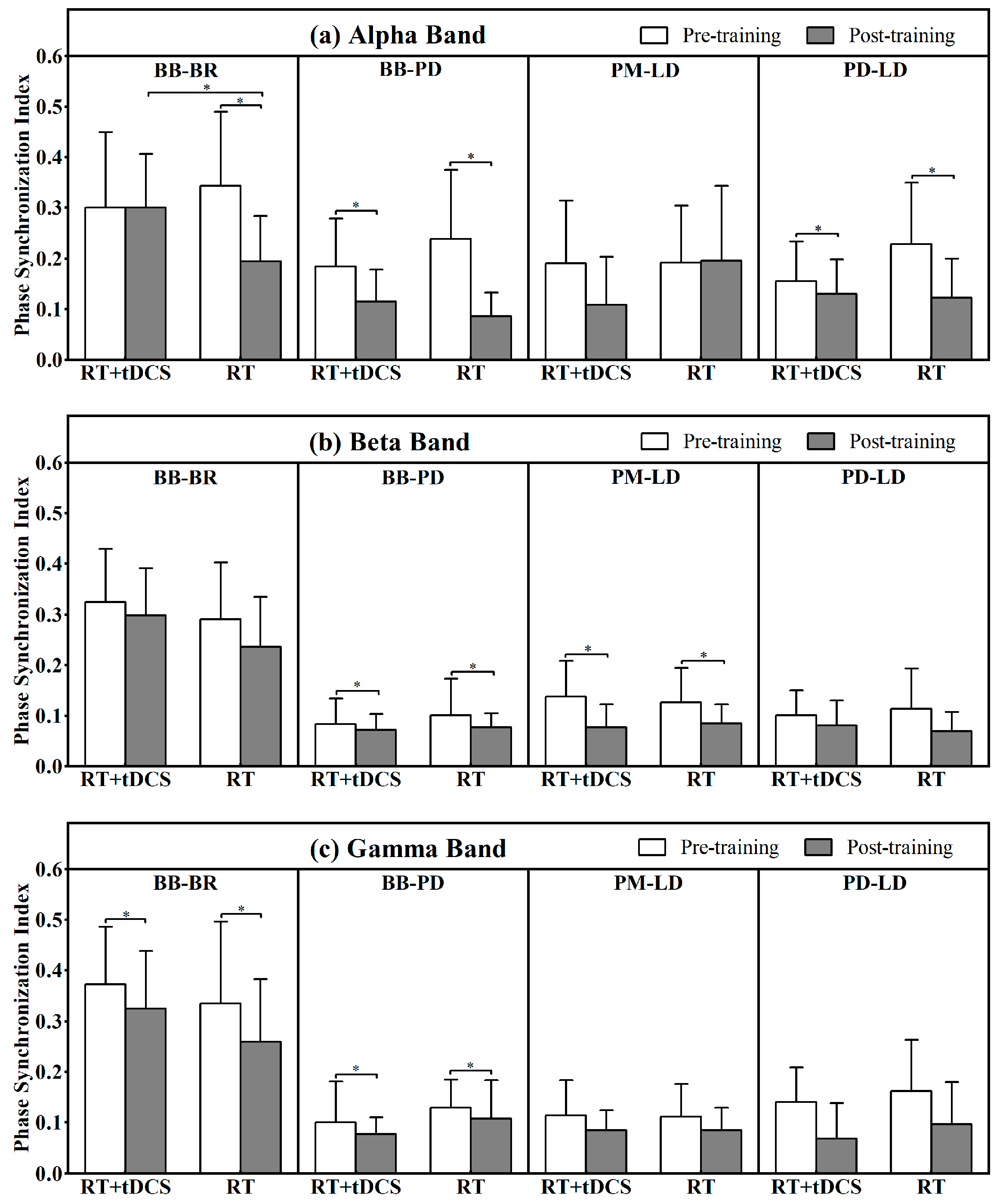
3.5. Electromyography Phase Synchronization Index (PSI)
3.5.1. Antagonistic Muscle Pairs
3.5.2. Synergistic Muscle Pairs
4. Discussion
5. Conclusions
Author Contributions
Funding
Institutional Review Board Statement
Informed Consent Statement
Data Availability Statement
Acknowledgments
Conflicts of Interest
References
- Ellenbecker, T.S.; Davies, G.J. Closed Kinetic Chain Exercise: A Comprehensive Guide to Multiple Joint Exercise; Human Kinetics: Champaign, IL, USA, 2001; ISBN 978-0-7360-0170-0. [Google Scholar]
- Ronai, P.; Scibek, E. The Pull-Up. Strength Cond. J. 2014, 36, 88–90. [Google Scholar] [CrossRef]
- Harman, E.A.; Gutekunst, D.J.; Frykman, P.N.; Nindl, B.C.; Alemany, J.A.; Mello, R.P.; Sharp, M.A. Effects of Two Different Eight-Week Training Programs on Military Physical Performance. J. Strength Cond. Res. 2008, 22, 524–534. [Google Scholar] [CrossRef]
- Youdas, J.W.; Amundson, C.L.; Cicero, K.S.; Hahn, J.J.; Harezlak, D.T.; Hollman, J.H. Surface Electromyographic Activation Patterns and Elbow Joint Motion During a Pull-up, Chin-up, or Perfect-Pullup(Tm) Rotational Exercise. J. Strength Cond. Res. 2010, 24, 3404–3414. [Google Scholar] [CrossRef]
- Hewit, J.K. A Comparison of Muscle Activation during the Pull-up and Three Alternative Pulling Exercises. JPFMTS 2018, 5, 1–7. [Google Scholar] [CrossRef]
- Campos, G.E.; Luecke, T.J.; Wendeln, H.K.; Toma, K.; Hagerman, F.C.; Murray, T.F.; Ragg, K.E.; Ratamess, N.A.; Kraemer, W.J.; Staron, R.S. Muscular Adaptations in Response to Three Different Resistance-Training Regimens: Specificity of Repetition Maximum Training Zones. Eur. J. Appl. Physiol. 2002, 88, 50–60. [Google Scholar] [CrossRef] [PubMed]
- Schoenfeld, B.J. The Mechanisms of Muscle Hypertrophy and Their Application to Resistance Training. J. Strength Cond. Res. 2010, 24, 2857. [Google Scholar] [CrossRef] [PubMed]
- Kraemer, W.J.; Patton, J.F.; Gordon, S.E.; Harman, E.A.; Deschenes, M.R.; Reynolds, K.; Newton, R.U.; Triplett, N.T.; Dziados, J.E. Compatibility of High-Intensity Strength and Endurance Training on Hormonal and Skeletal Muscle Adaptations. J. Appl. Physiol. 1995, 78, 976–989. [Google Scholar] [CrossRef] [PubMed]
- Bird, S.P.; Tarpenning, K.M.; Marino, F.E. Designing Resistance Training Programmes to Enhance Muscular Fitness: A Review of the Acute Programme Variables. Sports Med. 2005, 35, 841–851. [Google Scholar] [CrossRef] [PubMed]
- Halet, K.A.; Mayhew, J.L.; Murphy, C.; Fanthorpe, J. Relationship of 1 Repetition Maximum Lat-Pull to Pull-up and Lat-Pull Repetitions in Elite Collegiate Women Swimmers. J. Strength Cond. Res. 2009, 23, 1496–1502. [Google Scholar] [CrossRef]
- Johnson, D.; Lynch, J.; Nash, K.; Cygan, J.; Mayhew, J.L. Relationship of Lat-Pull Repetitions and Pull-Ups to Maximal Lat-Pull and Pull-up Strength in Men and Women. J. Strength Cond. Res. 2009, 23, 1022–1028. [Google Scholar] [CrossRef]
- Lusk, S.J.; Hale, B.D.; Russell, D.M. Grip Width and Forearm Orientation Effects on Muscle Activity During the Lat Pull-Down. J. Strength Cond. Res. 2010, 24, 1895–1900. [Google Scholar] [CrossRef] [PubMed]
- Summers, J.J.; Kang, N.; Cauraugh, J.H. Does Transcranial Direct Current Stimulation Enhance Cognitive and Motor Functions in the Ageing Brain? A Systematic Review and Meta- Analysis. Ageing Res. Rev. 2016, 25, 42–54. [Google Scholar] [CrossRef]
- Machado, S.; Jansen, P.; Almeida, V.; Veldema, J. Is tDCS an Adjunct Ergogenic Resource for Improving Muscular Strength and Endurance Performance? A Systematic Review. Front. Psychol. 2019, 10, 1127. [Google Scholar] [CrossRef]
- Vieira, L.A.F.; Lattari, E.; De Jesus Abreu, M.A.; Rodrigues, G.M.; Viana, B.; Machado, S.; Oliveira, B.R.R.; Maranhão Neto, G.D.A. Transcranial Direct Current Stimulation (tDCS) Improves Back-Squat Performance in Intermediate Resistance-Training Men. Res. Q. Exerc. Sport. 2022, 93, 210–218. [Google Scholar] [CrossRef] [PubMed]
- Hikosaka, M.; Aramaki, Y. Effects of Bilateral Transcranial Direct Current Stimulation on Simultaneous Bimanual Handgrip Strength. Front. Hum. Neurosci. 2021, 15, 674851. [Google Scholar] [CrossRef] [PubMed]
- Lattari, E.; Campos, C.; Lamego, M.K.; Legey, S.; Neto, G.M.; Rocha, N.B.; Oliveira, A.J.; Carpenter, C.S.; Machado, S. Can Transcranial Direct Current Stimulation Improve Muscle Power in Individuals With Advanced Weight-Training Experience? J. Strength Cond. Res. 2020, 34, 97. [Google Scholar] [CrossRef]
- Luo, J.; Fang, C.; Huang, S.; Wu, J.; Liu, B.; Yu, J.; Xiao, W.; Ren, Z. Effects of Single Session Transcranial Direct Current Stimulation on Aerobic Performance and One Arm Pull-down Explosive Force of Professional Rock Climbers. Front. Physiol. 2023, 14, 1153900. [Google Scholar] [CrossRef] [PubMed]
- Cabral, M.E.; Baltar, A.; Borba, R.; Galvão, S.; Santos, L.; Fregni, F.; Monte-Silva, K. Transcranial Direct Current Stimulation: Before, during, or after Motor Training? NeuroReport 2015, 26, 618–622. [Google Scholar] [CrossRef]
- Jung, J.; Salazar Fajardo, J.C.; Kim, S.; Kim, B.; Oh, S.; Yoon, B. Effect of tDCS Combined With Physical Training on Physical Performance in a Healthy Population. Res. Q. Exerc. Sport. 2024, 95, 149–156. [Google Scholar] [CrossRef] [PubMed]
- Hendy, A.M.; Kidgell, D.J. Anodal tDCS Applied during Strength Training Enhances Motor Cortical Plasticity. Med. Sci. Sports Exerc. 2013, 45, 1721–1729. [Google Scholar] [CrossRef] [PubMed]
- Yang, X.; Wu, J.; Tang, Y.; Ren, Z. Effects of Anodic Transcranial Direct Current Stimulation Combined with Physical Training on the Performance of Elite Swimmers. Front. Physiol. 2024, 15, 1383491. [Google Scholar] [CrossRef] [PubMed]
- González-Badillo, J.J.; Gorostiaga, E.M.; Arellano, R.; Izquierdo, M. Moderate Resistance Training Volume Produces More Favorable Strength Gains than High or Low Volumes during a Short-Term Training Cycle. J. Strength Cond. Res. 2005, 19, 689–697. [Google Scholar] [CrossRef]
- González-Badillo, J.J.; Izquierdo, M.; Gorostiaga, E.M. Moderate Volume of High Relative Training Intensity Produces Greater Strength Gains Compared with Low and High Volumes in Competitive Weightlifters. J. Strength Cond. Res. 2006, 20, 73–81. [Google Scholar] [CrossRef]
- Sánchez-Moreno, M.; Cornejo-Daza, P.J.; González-Badillo, J.J.; Pareja-Blanco, F. Effects of Velocity Loss During Body Mass Prone-Grip Pull-up Training on Strength and Endurance Performance. J. Strength Cond. Res. 2020, 34, 911–917. [Google Scholar] [CrossRef] [PubMed]
- Medicine, American College of Sports. ACSM’s Guidelines for Exercise Testing and Prescription, 10th ed.; LWW: Philadelphia, PA, USA, 2017; ISBN 978-1-4963-3907-2. [Google Scholar]
- Quian Quiroga, R.; Kraskov, A.; Kreuz, T.; Grassberger, P. Performance of Different Synchronization Measures in Real Data: A Case Study on Electroencephalographic Signals. Phys. Rev. E 2002, 65, 041903. [Google Scholar] [CrossRef]
- Levine, T.R.; Hullett, C.R. Eta Squared, Partial Eta Squared, and Misreporting of Effect Size in Communication Research. Hum. Commun. Res. 2002, 28, 612–625. [Google Scholar] [CrossRef]
- Jones, M.T. Progressive-Overload Whole-Body Vibration Training as Part of Periodized, Off-Season Strength Training in Trained Women Athletes. J. Strength Cond. Res. 2014, 28, 2461. [Google Scholar] [CrossRef]
- Flanagan, S.P.; Vanderburgh, P.M.; Borchers, S.G.; Kohstall, C.D. Training College-Age Women to Perform the Pull-up Exercise. Res. Q. Exerc. Sport. 2003, 74, 52–59. [Google Scholar] [CrossRef] [PubMed]
- Vigouroux, L.; Devise, M. Pull-Up Performance Is Affected Differently by the Muscle Contraction Regimens Practiced during Training among Climbers. Bioengineering 2024, 11, 85. [Google Scholar] [CrossRef]
- Cogiamanian, F.; Marceglia, S.; Ardolino, G.; Barbieri, S.; Priori, A. Improved Isometric Force Endurance after Transcranial Direct Current Stimulation over the Human Motor Cortical Areas. Eur. J. Neurosci. 2007, 26, 242–249. [Google Scholar] [CrossRef]
- Qiao, Q. An Empirical Study on the Effects of Anode High-Definition Transcranial Direct Current Stimulation on Balance; Shenyang Sport University: Shenyang, China, 2021. [Google Scholar]
- Hartman, M.J. Age Related Changes in Skeletal Muscle Activation Following Short-Term Resistance Training. Ph.D. Thesis, The University of Oklahoma, Norman, OK, USA, 2007. [Google Scholar]
- Dal Maso, F.; Longcamp, M.; Amarantini, D. Training-Related Decrease in Antagonist Muscles Activation Is Associated with Increased Motor Cortex Activation: Evidence of Central Mechanisms for Control of Antagonist Muscles. Exp. Brain Res. 2012, 220, 287–295. [Google Scholar] [CrossRef]
- Latash, M.L. Muscle Coactivation: Definitions, Mechanisms, and Functions. J. Neurophysiol. 2018, 120, 88–104. [Google Scholar] [CrossRef]
- Wang, L.; Niu, W.; Wang, K.; Zhang, S.; Li, L.; Lu, T. Badminton Players Show a Lower Coactivation and Higher Beta Band Intermuscular Interactions of Ankle Antagonist Muscles during Isokinetic Exercise. Med. Biol. Eng. Comput. 2019, 57, 2407–2415. [Google Scholar] [CrossRef]
- de Boer, M.D.; Morse, C.I.; Thom, J.M.; de Haan, A.; Narici, M.V. Changes in Antagonist Muscles’ Coactivation in Response to Strength Training in Older Women. J. Gerontol. Ser. A Biol. Sci. Med. Sci. 2007, 62, 1022–1027. [Google Scholar] [CrossRef][Green Version]
- James, E. The Influence of Resistance Training on Neuromuscular Function in Middle-Aged and Older Adults: A Systematic Review and Meta-Analysis of Randomised Controlled Trials. Exp. Gerontol. 2021, 149, 111320. [Google Scholar] [CrossRef]
- Wang, L.; Wang, C.; Yang, H.; Shao, Q.; Niu, W.; Yang, Y.; Zheng, F. Halo Sport Transcranial Direct Current Stimulation Improved Muscular Endurance Performance and Neuromuscular Efficiency During an Isometric Submaximal Fatiguing Elbow Flexion Task. Front. Hum. Neurosci. 2022, 16, 758891. [Google Scholar] [CrossRef]
- Walker, S.; Avela, J.; Wikgren, J.; Meeusen, R.; Piitulainen, H.; Baker, S.N.; Parviainen, T.M. Aging and Strength Training Influence Knee Extensor Intermuscular Coherence during Low- and High-Force Isometric Contractions. Front. Physiol. 2019, 9, 1933. [Google Scholar] [CrossRef]
- Chang, Y.-J.; Chou, C.-C.; Chan, H.-L.; Hsu, M.-J.; Yeh, M.-Y.; Fang, C.-Y.; Chuang, Y.-F.; Wei, S.-H.; Lien, H.-Y. Increases of Quadriceps Inter-Muscular Cross-Correlation and Coherence during Exhausting Stepping Exercise. Sensors 2012, 12, 16353–16367. [Google Scholar] [CrossRef]
- Wang, L.; Lu, A.; Zhang, S.; Niu, W.; Zheng, F.; Gong, M. Fatigue-Related Electromyographic Coherence and Phase Synchronization Analysis between Antagonistic Elbow Muscles. Exp. Brain Res. 2015, 233, 971–982. [Google Scholar] [CrossRef] [PubMed]
- McAuley, J.H.; Marsden, C.D. Physiological and Pathological Tremors and Rhythmic Central Motor Control. Brain 2000, 123, 1545–1567. [Google Scholar] [CrossRef]






| Group | N | Age (yrs) | Height (cm) | Weight (kg) | BMI (kg/m2) |
|---|---|---|---|---|---|
| RT + tDCS | 13 | 19.08 ± 1.26 | 175.07 ± 4.84 | 63.71 ± 8.38 | 20.75 ± 2.75 |
| RT | 12 | 18.33 ± 0.49 | 173.88 ± 7.09 | 61.23 ± 5.05 | 20.33 ± 2.07 |
| RT + tDCS | RT | |||
|---|---|---|---|---|
| Pre-Testing | Post-Testing | Pre-Testing | Post-Testing | |
| BB | 0.72 ± 0.39 | 0.55 ± 0.19 | 0.60 ± 0.26 | 0.56 ± 0.09 |
| BR | 0.79 ± 0.18 | 0.56 ± 0.13 △ | 0.90 ± 0.34 | 0.62 ± 0.12 △ |
| PM | 0.32 ± 0.10 | 0.28 ± 0.13 △ | 0.33 ± 0.11 | 0.28 ± 0.10 △ |
| LD | 0.39 ± 0.18 | 0.24 ± 0.07 △ | 0.42 ± 0.18 | 0.31 ± 0.13 △ |
| PD | 0.41 ± 0.14 | 0.36 ± 0.10 | 0.43 ± 0.18 | 0.35 ± 0.09 |
| RT + tDCS | RT | |||
|---|---|---|---|---|
| Pre-Testing | Post-Testing | Pre-Testing | Post-Testing | |
| TB | 0.50 ± 0.22 | 0.37 ± 0.09 △ | 0.36 ± 0.12 | 0.38 ± 0.15 |
| AD | 0.15 ± 0.17 | 0.10 ± 0.11 | 0.11 ± 0.08 | 0.09 ± 0.06 |
| MD | 0.22 ± 0.11 | 0.18 ± 0.06 | 0.20 ± 0.12 | 0.17 ± 0.05 |
Disclaimer/Publisher’s Note: The statements, opinions and data contained in all publications are solely those of the individual author(s) and contributor(s) and not of MDPI and/or the editor(s). MDPI and/or the editor(s) disclaim responsibility for any injury to people or property resulting from any ideas, methods, instructions or products referred to in the content. |
© 2025 by the authors. Licensee MDPI, Basel, Switzerland. This article is an open access article distributed under the terms and conditions of the Creative Commons Attribution (CC BY) license (https://creativecommons.org/licenses/by/4.0/).
Share and Cite
Li, Q.; Yan, J.; Dai, H.; Qiao, M.; Gong, M.; Niu, W.; Yang, Y.; Wang, L. Effect of Eight-Week Transcranial Direct-Current Stimulation Combined with Lat Pull-Down Resistance Training on Improving Pull-Up Performance for Male College Students. Life 2025, 15, 128. https://doi.org/10.3390/life15010128
Li Q, Yan J, Dai H, Qiao M, Gong M, Niu W, Yang Y, Wang L. Effect of Eight-Week Transcranial Direct-Current Stimulation Combined with Lat Pull-Down Resistance Training on Improving Pull-Up Performance for Male College Students. Life. 2025; 15(1):128. https://doi.org/10.3390/life15010128
Chicago/Turabian StyleLi, Qian, Jiaqi Yan, Hanya Dai, Minjie Qiao, Mingxin Gong, Wenxin Niu, Ye Yang, and Lejun Wang. 2025. "Effect of Eight-Week Transcranial Direct-Current Stimulation Combined with Lat Pull-Down Resistance Training on Improving Pull-Up Performance for Male College Students" Life 15, no. 1: 128. https://doi.org/10.3390/life15010128
APA StyleLi, Q., Yan, J., Dai, H., Qiao, M., Gong, M., Niu, W., Yang, Y., & Wang, L. (2025). Effect of Eight-Week Transcranial Direct-Current Stimulation Combined with Lat Pull-Down Resistance Training on Improving Pull-Up Performance for Male College Students. Life, 15(1), 128. https://doi.org/10.3390/life15010128

