The Impact of Plant Essential Oils on the Growth of the Pathogens Botrytis cinerea, Fusarium solani, and Phytophthora pseudocryptogea
Abstract
1. Introduction
2. Materials and Methods
2.1. Plant Material
2.2. Extraction of EOs
2.3. GC–MS Analysis
2.4. In Vitro Inhibition Test
2.5. Statistical Analysis
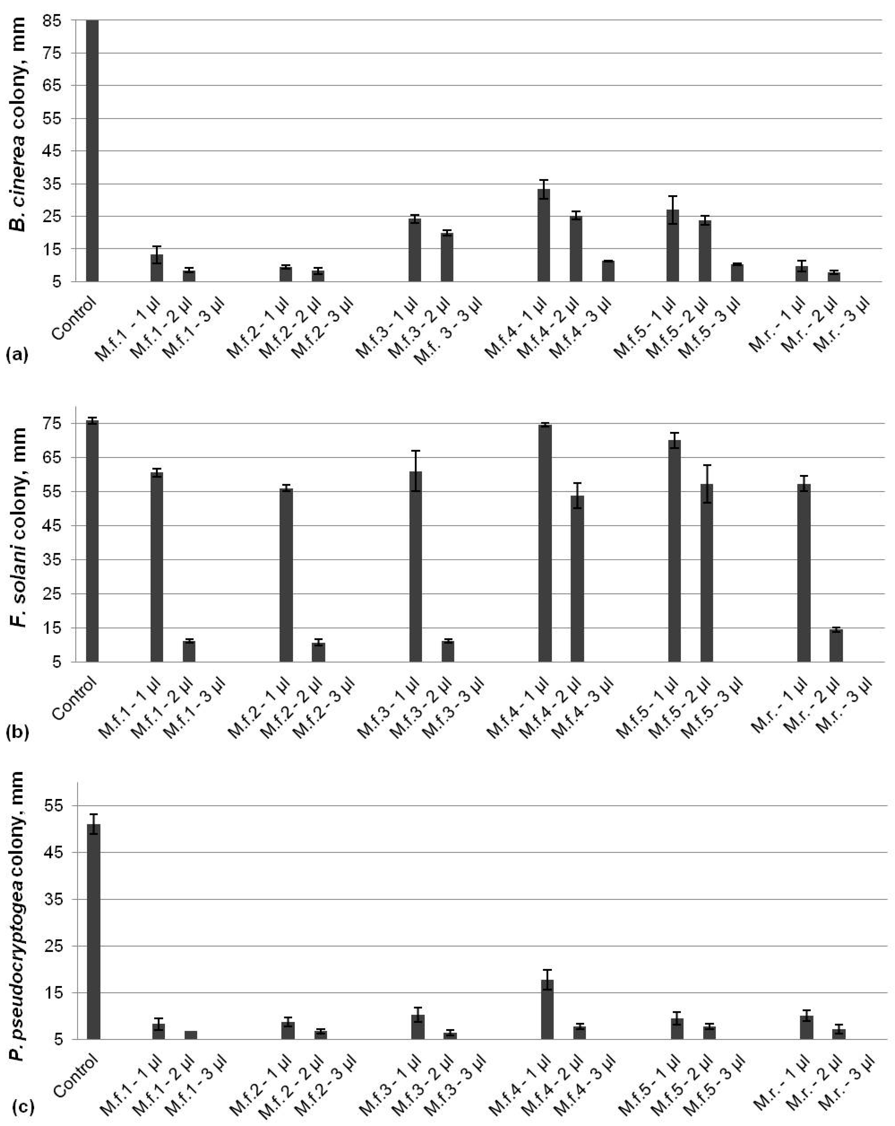
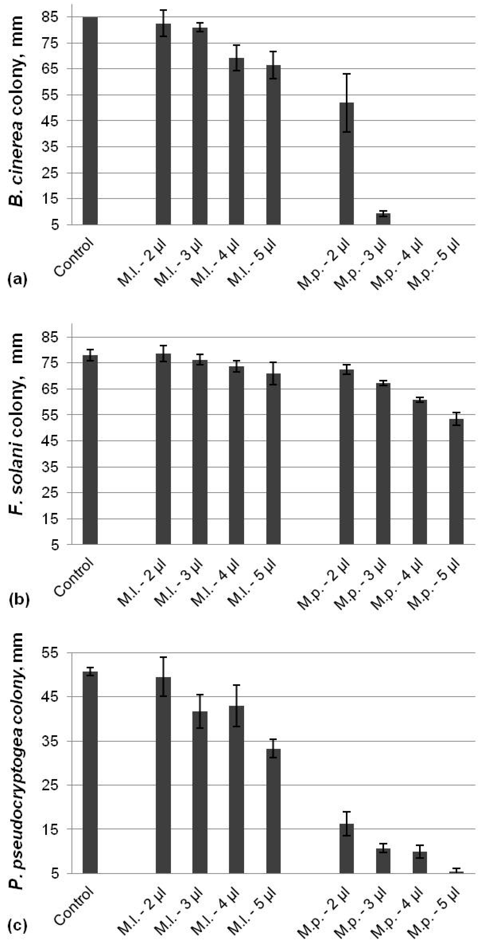
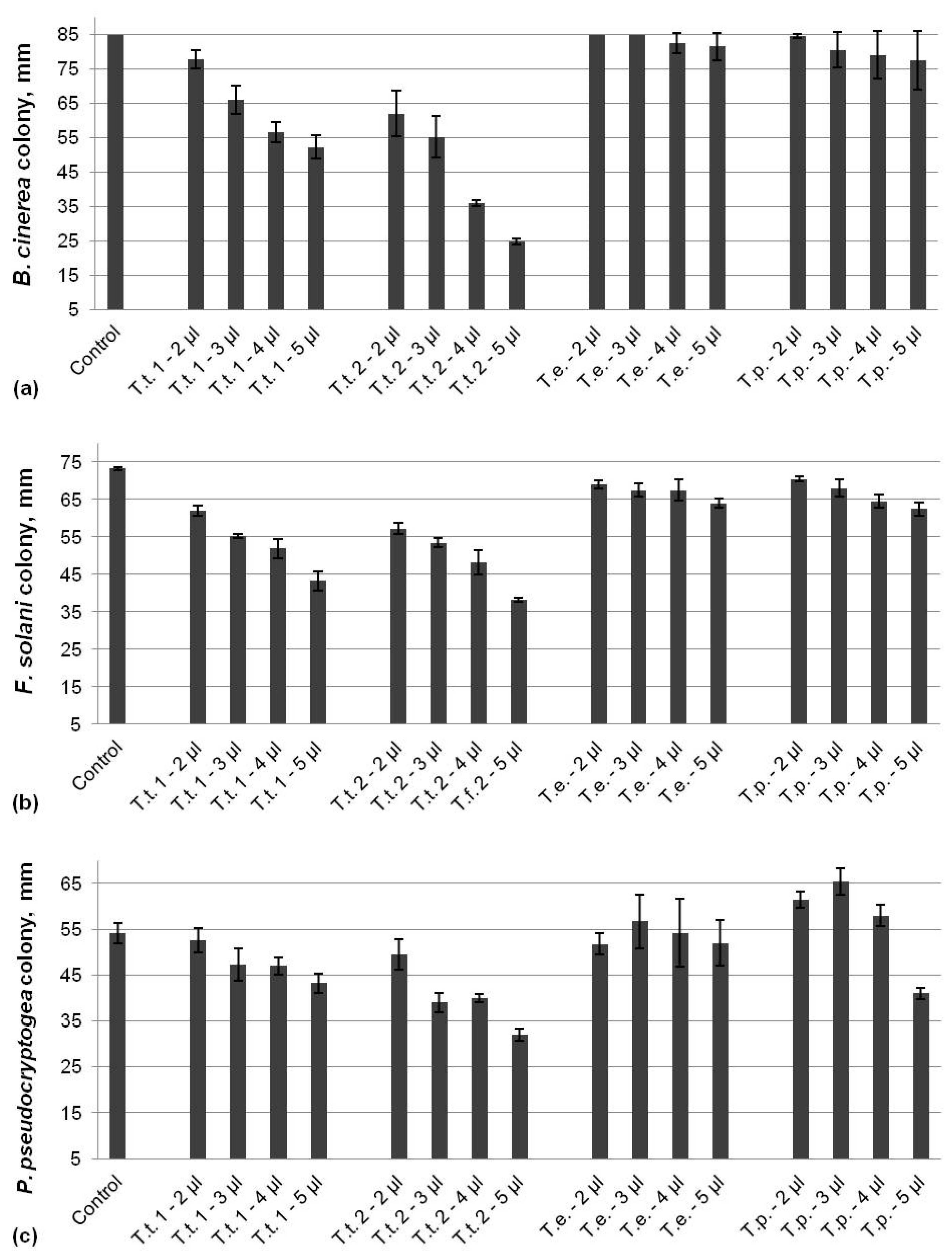
3. Results
3.1. Extraction and Chemical Composition of EOs
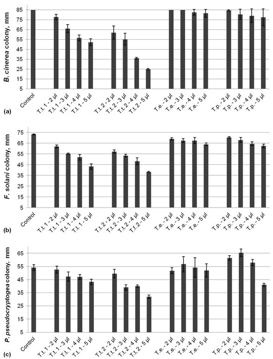
3.2. Impact of EOs on Plant Pathogens
4. Discussion
Author Contributions
Funding
Institutional Review Board Statement
Informed Consent Statement
Data Availability Statement
Conflicts of Interest
References
- Weiberg, A.; Wang, M.; Lin, F.-M.; Zhao, H.; Zhang, Z.; Kaloshian, I.; Huang, H.-D.; Jin, H. Fungal small RNAs suppress plant immunity by hijacking Host RNA interference pathways. Science 2013, 342, 118–123. [Google Scholar] [CrossRef]
- Coleman, J.J. The Fusarium solani species complex: Ubiquitous pathogens of agricultural importance. Mol. Plant Pathol. 2016, 17, 146–158. [Google Scholar] [CrossRef]
- Jung, T.; Pérez-Sierra, A.; Durán, A.; Horta-Jung, M.; Balci, Y.; Scanu, B. Canker and decline diseases caused by soil- and airborne Phytophthora species in forests and woodlands. Persoonia 2018, 40, 182–220. [Google Scholar] [CrossRef]
- Parikh, L.P.; Agindotan, B.O.; Burrows, M.E. Antifungal Activity of Plant-Derived Essential Oils on Pathogens of Pulse Crops. Plant Dis. 2021, 105, 1692–1701. [Google Scholar] [CrossRef]
- Abd-Alla, M.A.; Abdel-Kaderm, M.M.; Abd-El-Kareem, F.; El-Mohamedy, R.S.R. Evaluation of lemongrass, thyme and peracetic acid against gray mold of strawberry fruits. J. Agric. Technol. 2011, 7, 1775–1787. [Google Scholar]
- Vitoratos, A.; Bilalis, D.; Karkanis, A.; Efthimiadou, A. Antifungal Activity of Plant Essential Oils against Botrytis cinerea, Penicillium italicum and Penicillium digitatum. Not. Bot. Horti Agrobot. Cluj-Napoca 2013, 41, 86–92. [Google Scholar] [CrossRef]
- Al-Reza, S.M.; Rahman, A.; Ahmed, Y.; Kang, S.C. Inhibition of plant pathogens in vitro and in vivo with essential oiland organic extracts of Cestrum nocturnum L. Pestic. Biochem. Physiol. 2010, 96, 86–92. [Google Scholar] [CrossRef]
- Bailen, M.; Julio, L.F.; Diaz, C.E.; Sanz, J.; Martínez-Díaz, R.A.; Cabrera, R.; Burillo, J.; Gonzalez-Coloma, A. Chemical composition and biological effects of essential oils from Artemisia absinthium L. cultivated under different environmental conditions. Ind. Crops Prod. 2013, 49, 102–107. [Google Scholar] [CrossRef]
- El-Mohamedy, R.S.R.; Abdel-Kader, M.M.; Abd-El-Kareem, F.; El-Mougy, N.S. Essential oils, inorganic acids and potassium salts as control measures against the growth of tomato root rot pathogens in vitro. Int. J. Agric. Technol. 2013, 9, 1507–1520. [Google Scholar]
- Aguiar, R.A.; da Costa, S.P.M.; Santos, I.O.; Martins, M.J.; Moreira, M.N.; Batista, I.C.C.; Moreira, T.C.; Ribeiro, R.C.F.; Xavier, A.A.; Campos, V.A.C.; et al. Essential Oils in the Control of Fusarium solani. J. Agric. Sci. 2023, 15, 71–77. [Google Scholar] [CrossRef]
- Bi, Y.; Jiang, H.; Hausbeck, M.K.; Hao, J.J. Inhibitory effects of essential oils for controlling Phytophthora capsici. Plant Dis. 2012, 96, 797–803. [Google Scholar] [CrossRef]
- Najdabbasi, N.; Mirmajlessi, S.M.; Dewitte, K.; Landschoot, S.; Mand, M.; Audenaert, K.; Ameye, M.; Haesaert, G. Biocidal activity of plant-derived compounds against Phytophthora infestans: An alternative approach to late blight management. Crop Prot. 2020, 138, 105315. [Google Scholar] [CrossRef]
- Giamperi, L.; Bucchini, A.E.A.; Ricci, D.; Tirillini, B.; Nicoletti, M.; Rakotosaona, R.; Maggi, F. Vepris macrophylla (Baker) I. Verd Essential Oil: An Antifungal Agent against Phytopathogenic Fungi. Int. J. Mol. Sci. 2020, 21, 2776. [Google Scholar] [CrossRef]
- Han, X.-B.; Zhao, J.; Cao, J.-M.; Zhang, C.-S. Essential oil of Chrysanthemum indicum L.: Potential biocontrol agent against plant pathogen Phytophthora nicotianae. Environ. Sci. Pollut. Res. 2019, 26, 7013–7023. [Google Scholar] [CrossRef]
- Fuentes, Y.M.O.; Pérez, A.H.; Ortiz, J.C.D.; Chavez, E.C.; Uribe, L.A.A.; Tapia-Vargas, L.M. In vitro organic control of Phytophthora cinnamomi with essential oils of oregano and clove. Rev. Mex. Cienc. Agrícolas 2020, 10, 4. [Google Scholar]
- Tongchure, S.; Chanprapai, P. Antifungal Properties of Essential Oils Derived from Three Plants of Zingiberaceae Family against Phytophthora parasitica Dastur. Chem. Proc. 2022, 10, 29. [Google Scholar] [CrossRef]
- Grzeszczuk, M.; Wesołowska, A.; Stefaniak, A. Biological value and essential oil composition of two Monarda species flowers. Acta Sci. Pol. Hortorum Cultus 2020, 9, 105–119. [Google Scholar] [CrossRef]
- Mattarelli, P.; Epifano, F.; Minardi, P.; Di Vito, M.; Modesto, M.; Barbanti, L. Chemical composition and antimicrobial activity of essential oils from aerial parts of Monarda didyma and Monarda fistulosa cultivated in Italy. J. Essent. Oil Bear. Plants 2017, 20, 76–86. [Google Scholar] [CrossRef]
- Mamadalieva, N.Z.; Akramov, D.K.; Ovidi, E.; Tiezzi, A.; Nahar, L.; Azimova, S.S.; Sarker, S.D. Aromatic medicinal plants of the Lamiaceae Family from Uzbekistan: Ethnopharmacology, essential oils composition, and biological activities. Medicines 2017, 4, 8. [Google Scholar] [CrossRef]
- Cicevan, R.; Sestras, A.F.; Plazas, M.; Boscaiu, M.; Vilanova, S.; Gramazio, P.; Vicente, O.; Prohens, J.; Sestras, R.E. Biological Traits and Genetic Relationships Amongst Cultivars of Three Species of Tagetes (Asteraceae). Plants 2022, 11, 760. [Google Scholar] [CrossRef]
- Schmidt, E. Production of Essential Oils. In Handbook of Essential Oils: Science, Technology, and Applications; Hüsnü, K., Can Baser, H., Buchbauer, G., Eds.; CRC Press: Boca Raton, FL, USA, 2010. [Google Scholar]
- Balinova-Cvetkova, A.; Diakov, G. Improved apparatus for microdistillation of rose flowers. Bulg. J. Crop Sci. 1974, 2, 79–87. [Google Scholar]
- Dobreva, A.; Todorova, M. A new type of laboratory microdevice for distillation of lavender and herb raw materials. Agric. Sci. Technol. 2023, 15, 68–74. [Google Scholar] [CrossRef]
- Dzhurmanski, G.; Genova, E.; Tsherneva, Z.; Stancheva, P.; Markova, M.; Stanev, S.; Dzhurmanski, A. Results of introduction and selection work with aromatic and medicinal plants. In Proceedings of the Science Conference 100 Years of Research Work with Essential Oil and Medicinal Crops in Bulgaria, Kazanlak, Bulgaria, 1–2 June 2007; pp. 79–88. (In Bulgarian). [Google Scholar]
- Dudchenko, V.; Svydenko, L.; Markovska, O.; Sydiakina, O. Morphobiological and Biochemical Characteristics of Monarda L. Varieties under Conditions of the Southern Steppe of Ukraine. J. Ecol. Eng. 2020, 21, 99–107. [Google Scholar]
- Singh, A.; Tyagi, V.; Verma, N.; Chandra, M.; Bharat, R. Monarda—A Potential Floricultural Plant for Temperate India. Environ. Ecol. 2009, 27, 677–681. [Google Scholar]
- De Sousa Barros, A.; De Morais, S.; Ferreira, P.; Vieira, I.; Craveiro, A.; Santos Fontenelle, R.; De Menezes, J.; Da Silva, F.; De Sousa, H. Chemical composition and functional properties of essential oils from Mentha species. Ind. Crop. Prod. 2015, 76, 557–564. [Google Scholar] [CrossRef]
- Armas, K.; Rojas, J.; Rojas, L.; Morales, A. Comparative study of the chemical composition of essential oils of five Tagetes species collected in Venezuela. Nat. Prod. Commun. 2012, 7, 1225–1226. [Google Scholar] [CrossRef] [PubMed]
- Christova, P.K.; Dincheva, I.N.; Slavov, S.B.; Dobreva, A.M.; Yordanova, Z.P.; Dimkova, S.D.; Zaprianova, N.G.; Atanassova, B.Y.; Sobiczewski, P.; Iakimova, E.T. Evaluation of growth response of phytopathogens Alternaria alternata, Diaporthe nobilis and Phytophthora plurivora to inhibitory potential of three essential oils of Monarda didyma genotypes. J. Plant Dis. Prot. 2021, 128, 1531–1545. [Google Scholar] [CrossRef]
- Haikal, A.; El-Neketi, M.; Awadin, W.F.; Hassan, M.A.; Gohar, A.A. Essential oils from wild Mentha longifolia subspecies typhoides and subspecies schimperi: Burn wound healing and antimicrobial candidates. J. King Saud Univ.—Sci. 2022, 34, 102356. [Google Scholar] [CrossRef]
- Łyczko, J.; Kiełtyka-Dadasiewicz, A.; Issa-Issa, H.; Skrzynski, M.; Galek, R.; Carbonell-Barrachina, Á.A.; Szumny, A. Chemistry behind Quality—Emission of Volatile Enantiomers from Mentha spp. Plant Tissue in Relationship to Odor Sensory Quality. Foods 2023, 12, 2057. [Google Scholar] [CrossRef]
- Hethelyi, E.; Danos, B.; Tetenyi, P. GC-MS Analysis of the Essential Oils of Four Tagetes Species and the Anti-microbial Activity of Tagetes minuta. Flavour Fragr. J. 1986, 1, 169–173. [Google Scholar] [CrossRef]
- Aguiar, G.P.; Lima, K.A.; Severiano, M.E.; Groppo, M.; Ambrósio, S.R.; Crevelin, E.J. Antifungal activity of the essential oils of Plectranthus neochilus (Lamiaceae) and Tagetes erecta (Asteraceae) cultivated in Brazil. Int. J. Altern. Complement. Med. 2018, 11, 31–35. [Google Scholar]
- Adebayo, O.; Belanger, A.; Khanizadeh, S. Variable inhibitory activities of essential oils of three Monarda species on the growth of Botrytis cinerea. Can. J. Plant Sci. 2013, 93, 987–995. [Google Scholar] [CrossRef]
- Fraternale, D.; Giamperi, L.; Bucchini, A.; Ricci, D. Chemical Composition, Antifungal and In Vitro Antioxidant Properties of Monarda didyma L. Essential Oil. J. Essent. Oil Res. 2006, 18, 581–585. [Google Scholar] [CrossRef]
- Kulkarni, S.A.; Sellamuthu, P.S.; Nagarajan, S.K.; Madhavan, T.; Sadiku, E.R. Antifungal activity of wild bergamot (Monarda fistulosa) essential oil against postharvest fungal pathogens of banana fruits. S. Afr. J. Bot. 2022, 144, 166–174. [Google Scholar] [CrossRef]
- Dianez, F.; Santos, M.; Parra, C.; Navarro, M.J.; Blanco, R.; Gea, F.J. Screening of antifungal activity of 12 essential oils against eight pathogenic fungi of vegetables and mushroom. Lett. Appl. Microbiol. 2018, 67, 400–410. [Google Scholar] [CrossRef]
- Reddya, D.N.; Al-Rajaba, A.J.; Sharmaa, M.; Mosesb, M.M.; Reddyc, G.R.; Albrattyd, M. Chemical constituents, in vitro antibacterial and antifungal activity of Mentha × piperita L (peppermint) essential oils. J. King Saud Univ.—Sci. 2017, 31, 528–533. [Google Scholar]
- Ahmed, H.F.A.; Seleiman, M.F.; Mohamed, I.A.A.; Taha, R.S.; Wasonga, D.O.; Battaglia, M.L. Activity of Essential Oils and Plant Extracts as Biofungicides for Suppression of Soil-Borne Fungi Associated with Root Rot and Wilt of Marigold (Calendula officinalis L.). Horticulturae 2023, 9, 222. [Google Scholar] [CrossRef]
- Mares, D.; Tosi, B.; Romagnoli, C.; Poli, F. Antifungal Activity of Tagetes patula Extracts. Pharm. Biol. 2002, 40, 400–404. [Google Scholar] [CrossRef]
- Romagnoli, C.; Bruni, R.; Andreotti, E.; Rai, M.K.; Vicentini, C.B.; Mares, D. Chemical characterization and antifungal activity of essential oil of capitula from wild Indian Tagetes patula. Protoplasma 2005, 225, 57–65. [Google Scholar] [CrossRef]
- Saha, S.; Walia, S.; Kundu, A.; Kumar, B.; Joshi, D. Antifungal Acetylinic Thiophenes from Tagetes minuta: Potential Biopesticide. J. Appl. Bot. Food Qual. 2012, 85, 207–211. [Google Scholar]
- Gakuubi, M.M.; Wagancha, J.M.; Dossaji, S.F.; Wanzala, W. Chemical composition and antifungal activity of essential oils of Tagetes minuta (Asteraceae) againstselected phytopathogenic fungi. Am. J. Essent. Oils Nat. Prod. 2016, 4, 16–26. [Google Scholar]
- Latifian, E.; Otur, C.; Abanoz-Secgin, B.; Arslanoglu, S.F.; Kurt-Kizildogan, A. Evaluation of antimicrobial activity in extracts of different parts of three Tagetes species. Turk. J. Field Crops 2021, 26, 117–122. [Google Scholar] [CrossRef]
- Zhang, J.; Ma, S.; Du, S.; Chen, S.; Sun, H. Antifungal activity of thymol and carvacrol against postharvest pathogens Botrytis cinerea. J. Food Sci. Technol. 2019, 56, 2611–2620. [Google Scholar] [CrossRef] [PubMed]
- Zhao, Y.; Yang, Y.-H.; Ye, M.; Wang, K.-B.; Fan, L.-M.; Su, F.-W. Chemical composition and antifungal activity of essential oil from Origanum vulgare against Botrytis cinerea. Food Chem. 2021, 365, 130506. [Google Scholar] [CrossRef]
- Rguez, S.; Djébali, N.; Slimene, I.B.; Abid, G.; Hammemi, M.; Chenenaoui, S.; Bachkouel, S.; Daami-Remadi, M.; Ksouri, R.; Hamrouni-Sellami, I. Cupressus sempervirens essential oils and their major compounds successfully control postharvest grey mould disease of tomato. Ind. Crops Prod. 2018, 123, 135–141. [Google Scholar] [CrossRef]



| No. | Plant Name | Origin | Place and Year of Cultivation | Vegetative Stage at Harvesting |
|---|---|---|---|---|
| 1 | Monarda fistulosa L.; M.f.1 | USA; Missouri botanical garden, reg. No. 125/2005. | IRAP, Kazanlak; 2021 | Flowering end |
| 2 | Monarda fistulosa L.; M.f.2 | Slovenia, Botanici Vat. Univerze, reg. No. 234/218. | IRAP, Kazanlak; 2021 | Flowering end |
| 3 | Monarda fistulosa L., cultivar Mona; M.f.3 | Bulgaria; Selected through individual selection of seed progeny. The variety is maintained by clonal selection. | IRAP, Kazanlak; 2021 | Flowering end |
| 4 | Monarda fistulosa L., cultivar Mona; M.f.4 | Bulgaria; Selected through individual selection of seed progeny. The variety is maintained by clonal selection. | IRAP, Kazanlak; 2021 | Over blown |
| 5 | Monarda fistulosa L.; M.f.5 | United Kingdom, reg. No. 5/2020. | IOMP, Negovan; 2021 | Flowering |
| 6 | Monarda russeliana (Russel’s Horsemint); M.r. | Germany; Botanischer garden de TU Braunschweig, reg. No. 1506/2018 | IRAP, Kazanlak; 2021 | Flowering end |
| 7 | Mentha longifolia; M.l. | Bulgaria; Local species from the area of Negovan. | IOMP, Negovan; 2021 | Flowering |
| 8 | Mentha piperita; M.p. | Bulgaria; Local species from the area of Dryanovo, Gabrovo province, reg. No. 1/2019. | IOMP, Negovan; 2021 | Flowering |
| 9 | Tagetes tenuifolia; T.t.1 | Bulgaria; An old local variety from the area of Negovan. | IOMP, Negovan; 2022 | Flowering |
| 10 | Tagetes tenuifolia; T.t.2 | Bulgaria; An old local variety from the area of Negovan. | IOMP, Negovan; 2022 | Flowering |
| 11 | Tagetes erecta; T.e. | Bulgaria; An old local variety from the area of willage Dolen, Blagoegrad province, reg. No. 10/2021. | IOMP, Negovan; 2022 | Flowering |
| 12 | Tagetes patula, cultivar Usmivka; T.p. | Bulgaria; Selected through individual selection of seed progeny. | IOMP, Negovan; 2021 | Flowering |
| No. | Sample | Distillation Type | EO Content, % |
|---|---|---|---|
| 1 | M. fistulosa; M.f.1 | Steam | 0.491 ± 0.022 |
| 2 | M. fistulosa; M.f.2 | Steam | 0.670 ± 0.000 |
| 3 | M. fistulosa cv. Mona; M.f.3 | Steam | 0.700 ± 0.055 |
| 4 | M. fistulosa cv. Mona; M.f.4 | Steam | 0.746 ± 0.052 |
| 5 | M. fistulosa; M.f.5 | Steam | 0.450 ± 0.077 |
| 6 | M. russeliana; M.r. | Steam | 0.359 ± 0.019 |
| 7 | M. longifolia; M.l. | Steam | 0.262 ± 0.022 |
| 8 | M. piperita; M.p. | Steam | 0.545 ± 0.012 |
| 9 | T. tenuifolia; T.t.1 | Water | 0.217 ± 0.005 |
| 10 | T. tenuifolia; T.t.2 | Steam | 0.143 ± 0.004 |
| 11 | T. erecta; T.e. | Water | 0.033 ± 0.003 |
| 12 | T. patula; T.p. | Water | 0.040 ± 0.009 |
| Peak | RT | RIcalc | RIlit | Name | % of TIC | |||||
|---|---|---|---|---|---|---|---|---|---|---|
| M.f. 1 | M.f. 2 | M.f. 3 | M.f. 4 | M.f. 5 | M.r. | |||||
| 1 | 9.82 | 921 | 924 | α-Thujene | 2.85 | 1.09 | 1.00 | 2.13 | 2.10 | 0.86 |
| 2 | 10.02 | 930 | 932 | α-Pinene | 0.97 | 0.29 | 0.26 | 0.57 | 0.50 | 0.25 |
| 3 | 10.53 | 945 | 946 | Camphene | 0.27 | 0.09 | 0.12 | 0.10 | 0.09 | 0.07 |
| 4 | 11.30 | 968 | 969 | Sabinene | 0.18 | 0.06 | 0.09 | 0.14 | 0.17 | 0.09 |
| 5 | 11.45 | 972 | 974 | β-Pinene | 0.33 | 0.08 | 0.10 | 0.15 | 0.14 | 0.11 |
| 6 | 11.80 | 981 | 980 | 1-Octen-3-ol | 1.88 | 1.00 | 1.19 | 1.96 | 2.20 | 1.43 |
| 7 | 11.96 | 990 | 988 | Myrcene | 2.13 | 0.88 | 0.92 | 1.59 | 2.08 | 0.60 |
| 8 | 12.44 | 1002 | 1002 | α-Phellandrene | 0.49 | 0.21 | 0.22 | 0.36 | 0.48 | 0.16 |
| 9 | 12.50 | 1006 | 1008 | δ-3-Carene | 0.18 | 0.10 | 0.09 | 0.15 | 0.19 | 0.08 |
| 10 | 12.85 | 1015 | 1014 | α-Terpinene | 3.80 | 1.91 | 1.46 | 2.39 | 3.92 | 1.64 |
| 11 | 13.23 | 1022 | 1020 | p-Cymene | 9.98 | 10.97 | 6.93 | 19.73 | 10.21 | 15.19 |
| 12 | 13.37 | 1024 | 1024 | Limonene | 4.50 | 0.65 | 0.35 | 0.77 | 1.03 | 0.47 |
| 13 | 13.40 | 1026 | 1025 | β-Phellandrene | nd | nd | 0.13 | 0.06 | 0.10 | nd |
| 14 | 14.28 | 1057 | 1054 | γ-Terpinene | 7.16 | 3.64 | 5.21 | 6.77 | 17.83 | 2.90 |
| 15 | 14.53 | 1064 | 1065 | (Z)-Sabinene hydrate | 0.28 | 0.52 | 0.36 | 0.69 | 0.47 | 0.63 |
| 16 | 14.98 | 1085 | 1086 | Terpinolene | 0.17 | 0.11 | 0.09 | 0.10 | 0.12 | 0.07 |
| 17 | 15.44 | 1096 | 1095 | β-Linalool | 0.42 | 0.06 | 0.10 | 0.05 | 0.14 | 0.11 |
| 18 | 15.64 | 1122 | 1119 | (E)-Pinene hydrate | 0.16 | 0.07 | 0.06 | 0.09 | 0.11 | 0.08 |
| 19 | 18.05 | 1171 | 1174 | 1-Terpinen-4-ol | 0.61 | 0.09 | 0.19 | 0.43 | 0.53 | 0.79 |
| 20 | 18.99 | 1185 | 1186 | α-Terpieol | 0.13 | 0.11 | 0.08 | 0.30 | 0.10 | 0.12 |
| 21 | 19.30 | 1230 | 1232 | Thymol methyl ether | 0.15 | 0.33 | nd | nd | nd | 0.10 |
| 22 | 19.70 | 1240 | 1241 | Carvacrol methyl ether | 6.37 | 6.65 | nd | nd | nd | 4.54 |
| 23 | 20.61 | 1288 | 1287 | Linalyl acetate | 0.80 | 0.10 | nd | nd | nd | 0.13 |
| 24 | 21.67 | 1290 | 1289 | Thymol | 51.57 | 66.87 | 0.54 | 0.46 | 0.24 | 62.45 |
| 25 | 21.75 | 1300 | 1298 | Carvacrol | 1.12 | 0.91 | 78.08 | 55.42 | 50.79 | 1.97 |
| 26 | 23.42 | 1374 | 1374 | α-Copaene | 0.12 | 0.05 | 0.09 | 0.14 | 0.10 | 0.07 |
| 27 | 23.65 | 1390 | 1387 | β-Bourbonene | 0.08 | 0.09 | nd | 0.31 | 0.18 | 0.11 |
| 28 | 24.62 | 1419 | 1417 | β-Caryophyllene | 1.20 | 0.25 | nd | 0.10 | 1.90 | 0.32 |
| 29 | 25.95 | 1476 | 1478 | γ-Muurolene | 0.14 | 0.16 | 0.09 | 0.17 | 0.13 | 0.19 |
| 30 | 26.14 | 1486 | 1484 | Germacrene D | 0.73 | 0.44 | 0.88 | 1.98 | 2.28 | 0.69 |
| 31 | 26.48 | 1500 | 1498 | α-Selinene | 0.07 | 0.10 | 0.09 | 0.25 | 0.14 | 0.19 |
| 32 | 26.60 | 1505 | 1505 | (E,E)-α-Farnesene | 0.19 | 0.18 | 0.23 | 0.20 | 0.36 | 0.14 |
| 33 | 26.88 | 1512 | 1513 | γ-Cadinene | 0.06 | 0.09 | 0.15 | 0.12 | 0.08 | 0.70 |
| 34 | 26.99 | 1521 | 1522 | δ-Cadinene | 0.16 | 0.21 | 0.10 | 0.24 | 0.22 | 0.25 |
| 35 | 27.79 | 1533 | 1533 | Thymohydroquinone | 0.17 | 0.98 | 0.16 | 1.30 | 0.40 | 1.70 |
| 36 | 28.15 | 1580 | 1582 | Caryophyllene oxide | 0.11 | 0.07 | 0.05 | 0.10 | 0.09 | 0.14 |
| Peak | RT | RIcalc | RIlit | Name | % of TIC | |
|---|---|---|---|---|---|---|
| M. l. | M. p. | |||||
| 1 | 9.82 | 921 | 924 | α-Thujene | 0.86 | 0.06 |
| 2 | 10.02 | 930 | 932 | α-Pinene | 0.88 | 0.07 |
| 3 | 11.30 | 968 | 969 | Sabinene | 3.57 | 0.25 |
| 4 | 11.45 | 972 | 974 | β-Pinene | 0.66 | 0.08 |
| 5 | 11.80 | 981 | 980 | 1-Octen-3-ol | nd | 0.12 |
| 6 | 11.96 | 990 | 988 | Myrcene | 1.93 | 0.07 |
| 7 | 12.15 | 992 | 994 | Octan-3-ol | 0.20 | nd |
| 8 | 12.44 | 1002 | 1002 | α-Phellandrene | 0.09 | nd |
| 9 | 12.85 | 1015 | 1014 | α-Terpinene | 5.07 | nd |
| 10 | 13.02 | 1022 | 1020 | p-Cymene | 0.97 | 0.32 |
| 11 | 13.18 | 1024 | 1024 | Limonene | 0.76 | 3.03 |
| 12 | 13.22 | 1027 | 1026 | Eucalyptol | 1.81 | 0.50 |
| 13 | 13.40 | 1032 | 1032 | β-cis-Ocimene | 0.62 | 1.01 |
| 14 | 13.65 | 1043 | 1044 | β-trans-Ocimene | nd | 0.59 |
| 15 | 14.03 | 1057 | 1054 | γ-Terpinene | 7.82 | 0.10 |
| 16 | 14.54 | 1064 | 1065 | (Z)-Sabinene hydrate | 17.09 | 0.25 |
| 17 | 15.03 | 1085 | 1086 | Terpinolene | 1.80 | 1.36 |
| 18 | 15.18 | 1090 | 1090 | p-Cymenene | nd | 0.69 |
| 19 | 15.31 | 1095 | 1095 | trans-β-Terpineol | 0.91 | 0.98 |
| 20 | 16.24 | 1120 | 1119 | trans-Mentha-2,8-dien-1-ol | 0.56 | 0.12 |
| 21 | 16.69 | 1140 | 1130 | cis-Myroxide | nd | 1.15 |
| 22 | 16.76 | 1134 | 1133 | cis-Mentha-2,8-dien-1-ol | 0.22 | 0.11 |
| 23 | 17.29 | 1150 | 1148 | Menthone | 15.08 | nd |
| 24 | 17.53 | 1165 | 1167 | Menthol | 6.50 | nd |
| 25 | 18.05 | 1171 | 1174 | 1-Terpinen-4-ol | 8.08 | 0.29 |
| 26 | 18.13 | 1177 | 1179 | p-Cymen-8-ol | 1.50 | 2.78 |
| 27 | 18.16 | 1180 | 1180 | Isomentol | 0.26 | nd |
| 28 | 18.35 | 1185 | 1186 | α-Terpieol | 0.32 | 1.53 |
| 29 | 18.41 | 1197 | 1195 | cis-Piperitol | 0.12 | nd |
| 30 | 18.76 | 1209 | 1207 | trans-Piperitol | 0.10 | nd |
| 31 | 18.94 | 1214 | 1213 | trans-Pulegol | 0.60 | nd |
| 32 | 19.18 | 1220 | 1220 | cis-Sabinene hydrate acetate | 0.09 | 0.16 |
| 33 | 19.31 | 1225 | 1225 | Citronellol | nd | 0.29 |
| 34 | 19.52 | 1229 | 1228 | cis-p-Mentha-1(7),8-dien-2-ol | nd | 0.14 |
| 35 | 19.60 | 1235 | 1233 | Pulegone | 2.18 | 0.16 |
| 36 | 20.18 | 1250 | 1249 | Piperitone | 0.11 | 8.68 |
| 37 | 20.53 | 1272 | 1271 | neo-Menthyl acetate | 0.20 | 0.12 |
| 38 | 20.95 | 1295 | 1294 | Menthyl acetate | 0.12 | 1.54 |
| 39 | 21.02 | 1300 | 1299 | Terpinen-4-ol acetate | 0.92 | 0.23 |
| 40 | 21.46 | 1307 | 1305 | Isomenthyl acetate | 0.57 | 0.10 |
| 41 | 22.41 | 1342 | 1340 | Piperitenone | 0.26 | 0.95 |
| 42 | 23.36 | 1374 | 1374 | α-Copaene | 0.09 | 0.36 |
| 43 | 23.54 | 1380 | 1379 | Geranyl acetate | 0.10 | 0.41 |
| 44 | 23.65 | 1385 | 1387 | β-Bourbonene | 0.20 | 0.35 |
| 45 | 23.75 | 1392 | 1390 | β-Elemene | 1.17 | 1.43 |
| 46 | 24.29 | 1410 | 1409 | α-Gurjunene | nd | 0.46 |
| 47 | 24.62 | 1419 | 1417 | β-Caryophyllene | 5.74 | 20.23 |
| 48 | 24.98 | 1430 | 1431 | β-Gurjunene | nd | 0.70 |
| 49 | 25.32 | 1440 | 1440 | cis-β-Farnesene | 0.27 | 0.19 |
| 50 | 25.54 | 1454 | 1452 | α-Caryophyllene | 0.52 | 1.45 |
| 51 | 26.06 | 1484 | 1483 | Germacrene D | 6.98 | 21.98 |
| 52 | 26.47 | 1521 | 1522 | Bicyclogermacrene | 0.89 | 0.27 |
| 53 | 26.61 | 1540 | 1540 | α-Copaen-11-ol | nd | 0.63 |
| 54 | 26.91 | 1512 | 1513 | γ-Cadinene | 0.13 | 0.55 |
| 55 | 27.01 | 1521 | 1522 | δ-Cadinene | 0.16 | 0.34 |
| 56 | 27.79 | 1550 | 1548 | Elemol | 0.18 | 0.26 |
| 57 | 27.93 | 1575 | 1577 | Spathulenol | nd | 1.70 |
| 58 | 28.11 | 1580 | 1582 | Caryophyllene oxide | 0.20 | 0.75 |
| 59 | 28.29 | 1590 | 1590 | Globulol | nd | 0.59 |
| 60 | 28.58 | 1604 | 1602 | Ledol | nd | 3.80 |
| 61 | 28.83 | 1620 | 1618 | 1,10-di-epi-Cubenol | nd | 1.05 |
| 62 | 29.29 | 1627 | 1627 | 1-epi-Cubenol | nd | 0.78 |
| 63 | 29.53 | 1639 | 1638 | epi-α-Cadinol | nd | 0.65 |
| 64 | 29.68 | 1645 | 1645 | Cubenol | nd | 1.23 |
| 65 | 29.97 | 1652 | 1651 | α-Eudesmol | nd | 1.07 |
| 66 | 30.02 | 1654 | 1653 | α-Cadinol | nd | 0.59 |
| 67 | 30.24 | 1696 | 1698 | (2Z,6Z)-Farnesol | nd | 0.67 |
| 68 | 32.88 | 1760 | 1759 | Cyclocolorenone | nd | 5.99 |
| 69 | 34.46 | 1845 | 1845 | (2E,6E)-Farnesyl acetate | nd | 1.14 |
| 70 | 34.56 | 1862 | 1860 | (Z,Z)-Farnesyl acetone | nd | 0.75 |
| 71 | 35.30 | 1913 | 1913 | (5E,9E)-Farnesyl acetone | nd | 1.21 |
| Peak | RT 2022/2021 | RIcalc 2022/2021 | RIlit 2022/2021 | Name | % of TIC | |||
|---|---|---|---|---|---|---|---|---|
| T.e.1-2022 | T.e.2-2022 | T.e-2022 | T.p.-2021 | |||||
| 1 | 9.90/10.02 | 930 | 932 | α-Pinene | 0.53 | 0.15 | 0.34 | 0.20 |
| 2 | 11.23/11.30 | 968 | 969 | Sabinene | 5.66 | 3.04 | 1.92 | 0.64 |
| 3 | 11.30/11.45 | 972 | 974 | β-Pinene | 0.31 | 0.15 | 0.23 | 0.10 |
| 4 | 11.77/11.96 | 990 | 988 | Myrcene | 0.22 | 0.27 | 1.03 | 0.12 |
| 5 | 12.31/12.44 | 1002 | 1002 | α-Phellandrene | 0.85 | 0.45 | nd | 0.22 |
| 6 | 13.00/13.01 | 1022 | 1020 | p-Cymene | 0.19 | 0.12 | 0.15 | 0.16 |
| 7 | 13.10/13.14 | 1024 | 1024 | Limonene | 10.29 | 4.35 | 9.28 | 6.68 |
| 8 | 13.31/13.65 | 1043 | 1044 | β-trans-Ocimene | 3.97 | 4.41 | 1.89 | 16.40 |
| 9 | 13.85/13.68 | 1047 | 1046 | Dihydrotaghetone | 7.85 | 8.80 | 8.20 | 1.71 |
| 10 | 14.02/14.28 | 1057 | 1054 | γ-Terpinene | 0.16 | 0.10 | 0.18 | nd |
| 11 | 14.51/14.48 | 1064 | 1065 | (Z)-Sabinene hydrate | 0.37 | 0.57 | nd | nd |
| 12 | 14.88/14.96 | 1085 | 1086 | Terpinolene | 2.95 | 1.54 | 27.61 | 13.40 |
| 13 | 15.04/15.12 | 1090 | 1090 | p-Cymenene | 1.14 | 0.72 | 1.75 | 0.76 |
| 14 | 15.32/15.42 | 1096 | 1095 | β-Linalool | 0.17 | 0.15 | 3.86 | 0.53 |
| 15 | 15.78/15.91 | 1130 | 1128 | allo-Ocimene | 0.20 | 0.14 | 2.03 | 0.32 |
| 16 | 16.71/16.68 | 1140 | 1139 | trans-Tagetone | 1.31 | 3.80 | 1.78 | 4.37 |
| 17 | 16.95/16.99 | 1149 | 1148 | cis-Tagetone | 6.15 | 10.10 | 7.53 | 3.78 |
| 18 | 17.80/18.05 | 1171 | 1174 | 1-Terpinen-4-ol | 0.34 | 0.15 | 1.29 | 0.26 |
| 19 | 18.24/18.35 | 1185 | 1186 | α-Terpieol | 0.42 | 0.17 | 1.21 | 0.65 |
| 20 | 18.54/19.20 | 1222 | 1223 | β-Citronellol | 0.77 | 1.51 | 0.83 | nd |
| 21 | 19.34/19.24 | 1226 | 1226 | cis-Ocimenone | 11.77 | 7.02 | 0.36 | 13.26 |
| 22 | 19.28/19.28 | 1228 | 1227 | Nerol | nd | 0.10 | 0.44 | nd |
| 23 | 19.65/19.52 | 1236 | 1235 | trans-Ocimenone | 41.23 | 49.42 | 0.30 | 9.30 |
| 24 | 19.92/20.03 | 1250 | 1249 | Piperitone | 0.54 | 0.36 | 18.32 | 4.22 |
| 25 | 22.24/22.41 | 1342 | 1340 | Piperitenone | 0.13 | nd | 1.66 | 11.05 |
| 26 | 22.75/22.95 | 1365 | 1366 | Piperitenone oxide | 0.40 | nd | 0.64 | 0.20 |
| 27 | 24.43/24.55 | 1419 | 1417 | β-Caryophyllene | 0.11 | 0.37 | 1.91 | 5.39 |
| 28 | 25.98/26.11 | 1486 | 1484 | Germacrene D | 0.65 | 0.76 | 1.51 | 2.11 |
| 29 | 28.13/28.13 | 1580 | 1582 | Caryophyllene oxide | 0.14 | 0.26 | 0.42 | 0.45 |
Disclaimer/Publisher’s Note: The statements, opinions and data contained in all publications are solely those of the individual author(s) and contributor(s) and not of MDPI and/or the editor(s). MDPI and/or the editor(s) disclaim responsibility for any injury to people or property resulting from any ideas, methods, instructions or products referred to in the content. |
© 2024 by the authors. Licensee MDPI, Basel, Switzerland. This article is an open access article distributed under the terms and conditions of the Creative Commons Attribution (CC BY) license (https://creativecommons.org/licenses/by/4.0/).
Share and Cite
Christova, P.K.; Dobreva, A.M.; Dzhurmanski, A.G.; Dincheva, I.N.; Dimkova, S.D.; Zapryanova, N.G. The Impact of Plant Essential Oils on the Growth of the Pathogens Botrytis cinerea, Fusarium solani, and Phytophthora pseudocryptogea. Life 2024, 14, 817. https://doi.org/10.3390/life14070817
Christova PK, Dobreva AM, Dzhurmanski AG, Dincheva IN, Dimkova SD, Zapryanova NG. The Impact of Plant Essential Oils on the Growth of the Pathogens Botrytis cinerea, Fusarium solani, and Phytophthora pseudocryptogea. Life. 2024; 14(7):817. https://doi.org/10.3390/life14070817
Chicago/Turabian StyleChristova, Petya K., Ana M. Dobreva, Anatoli G. Dzhurmanski, Ivayla N. Dincheva, Stela D. Dimkova, and Nadejda G. Zapryanova. 2024. "The Impact of Plant Essential Oils on the Growth of the Pathogens Botrytis cinerea, Fusarium solani, and Phytophthora pseudocryptogea" Life 14, no. 7: 817. https://doi.org/10.3390/life14070817
APA StyleChristova, P. K., Dobreva, A. M., Dzhurmanski, A. G., Dincheva, I. N., Dimkova, S. D., & Zapryanova, N. G. (2024). The Impact of Plant Essential Oils on the Growth of the Pathogens Botrytis cinerea, Fusarium solani, and Phytophthora pseudocryptogea. Life, 14(7), 817. https://doi.org/10.3390/life14070817

