Cytotoxic Effects of Ardisiacrispin A from Labisia pumila on A549 Human Lung Cancer Cells
Abstract
1. Introduction
2. Materials and Methods
2.1. Reagents and Instrumentation
2.2. Plants
2.3. Isolation of the Anti-Cancer Component from L. pumila
2.4. Cell Viability and Cytotoxicity Assay
2.5. TaliTM Cell Cycle Assay
2.6. Statistical Analysis
3. Results and Discussion
3.1. Determination of the Anti-Cancer Agent and Its Optimal Extraction Condition
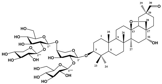
3.2. Structural Evaluation of the Anti-Lung Cancer Component from L. pumila
3.3. Regulation of Cell Cycle by L. pumila
3.4. Evaluation of the Anti-Lung Cancer Efficacy of L. pumila and Ardisiacrispin A
4. Conclusions
Author Contributions
Funding
Institutional Review Board Statement
Informed Consent Statement
Data Availability Statement
Conflicts of Interest
References
- Bray, F.; Ferlay, J.; Soerjomataram, I.; Siegel, R.L.; Torre, L.A.; Jemal, A. Global cancer statistics 2018: Globocan estimates of incidence and mortality worldwide for 36 cancers in 185 countries. CA Cancer J. Clin. 2018, 68, 394–424. [Google Scholar] [CrossRef]
- Sung, H.; Ferlay, J.; Siegel, R.L.; Laversanne, M.; Soerjomataram, I.; Jemal, A.; Bray, F. Global cancer statistics 2020: Globocan estimates of incidence and mortality worldwide for 36 cancers in 185 countries. CA Cancer J. Clin. 2021, 71, 209–249. [Google Scholar] [CrossRef]
- Herbst, R.S.; Morgensztern, D.; Boshoff, C. The biology and management of non-small cell lung cancer. Nature 2018, 553, 446–454. [Google Scholar] [CrossRef]
- Onoi, K.; Chihara, Y.; Uchino, J.; Shimamoto, T.; Morimoto, Y.; Iwasaku, M.; Kaneko, Y.; Yamada, T.; Takayama, K. Immune checkpoint inhibitors for lung cancer treatment: A review. J. Clin. Med. 2020, 9, 1362. [Google Scholar] [CrossRef]
- Charmsaz, Z.; Collins, D.M.; Perry, A.S.; Prencipe, M. Novel strategies for cancer treatment: Highlights from the 55th IACR annual conference. Cancer 2019, 11, 1125. [Google Scholar] [CrossRef]
- Debela, D.T.; Muzazu, S.G.; Heraro, K.D.; Ndalama, M.T.; Mesele, B.W.; Haile, D.C.; Kitui, S.K.; Manyazewal, T. New approaches and procedures for cancer treatment: Current perspectives. SAGE Open Med. 2021, 9, 20503121211034366. [Google Scholar] [CrossRef] [PubMed]
- Chua, L.S.; Lee, S.Y.; Abdullah, N.; Sarmidi, M.R. Review on Labisia pumila (Kacip Fatimah): Bioactive phytochemicals and skin collagen synthesis promoting herb. Fitoterapia 2012, 83, 1322–1335. [Google Scholar] [CrossRef] [PubMed]
- Bdullah, N.; Chermahini, S.H.; Suan, C.L.; Sarmidi, M.R. Labisia pumila: A review on its traditional, phytochemical and biological uses. World Appl. Sci. J. 2013, 27, 1297–1306. [Google Scholar]
- Choi, H.; Kim, D.H.; Kim, J.W.; Ngadiran, S.; Sarmidi, M.R.; Park, C.S. Labisia pumila extract protects skin cells from photoaging caused by UVB irradiation. J. Biosci. Bioeng. 2010, 109, 291–296. [Google Scholar] [CrossRef] [PubMed]
- Shuid, A.N.; Ping, L.L.; Muhammad, N.; Mohamed, N.; Soelaiman, I.N. The effects of Labisia pumila var. Alata on bone markers and bone calcium in a rat model of post-menopausal osteoporosis. J. Ethnopharmacol. 2011, 133, 538–542. [Google Scholar] [CrossRef] [PubMed]
- Lee, Y.G.; Kang, K.W.; Hong, W.; Kim, Y.H.; Oh, J.T.; Park, D.W.; Ko, M.; Bai, Y.F.; Seo, Y.J.; Lee, S.M.; et al. Potent antiviral activity of Agrimonia pilosa, Galla rhois, and their components against SARS-CoV-2. Bioorg. Med. Chem. 2021, 45, 116329. [Google Scholar] [CrossRef] [PubMed]
- Lee, Y.G.; Lee, H.; Ryuk, J.A.; Hwang, J.T.; Kim, H.G.; Lee, D.S.; Kim, Y.J.; Yang, D.C.; Ko, B.S.; Baek, N.I. 6-methoxyflavonols from the aerial parts of Tetragonia tetragonoides (pall.) kuntze and their anti-inflammatory activity. Bioorg. Chem. 2019, 88, 102922. [Google Scholar] [CrossRef] [PubMed]
- Park, B.K.; Moon, H.R.; Yu, J.R.; Kook, J.; Chai, J.Y.; Lee, S.H. Comparative susceptibility of different cell lines for culture of toxoplasma gondii in vitro. Korean J. Parasitol. 1993, 31, 215–222. [Google Scholar] [CrossRef] [PubMed]
- Ali, Z.; Khan, I.A. Alkyl phenols and saponins from the roots of Labisia pumila (kacip fatimah). Phytochemistry 2011, 72, 2075–2080. [Google Scholar] [CrossRef]
- Jansakul, C.; Baumann, H.; Kenne, L.; Samuelsson, G. Ardisiacrispin a and b, two utero-contracting saponins from Ardisia crispa. Planta Med. 1987, 53, 405–409. [Google Scholar] [CrossRef] [PubMed]
- Podolak, I.; Zuromska-Witek, B.; Grabowska, K.; Zebrowska, S.; Galanty, A.; Hubicka, U. Comparative quantitative study of ardisiacrispin a in extracts from Ardisia crenata sims varieties and their cytotoxic activities. Chem. Biodivers. 2021, 18, e2100335. [Google Scholar] [CrossRef]
- Tian, Y.; Tang, H.F.; Qiu, F.; Wang, X.J.; Chen, X.L.; Wen, A.D. Triterpenoid saponins from Ardisia pusilla and their cytotoxic activity. Planta Med. 2009, 75, 70–75. [Google Scholar] [CrossRef]
- Wen, P.; Zhang, X.M.; Yang, Z.; Wang, N.L.; Yao, X.S. Four new triterpenoid saponins from Ardisia gigantifolia stapf. And their cytotoxic activity. J. Asian Nat. Prod. Res. 2008, 10, 873–880. [Google Scholar] [CrossRef]
- Portt, L.; Norman, G.; Clapp, C.; Greenwood, M.; Greenwood, M.T. Anti-apoptosis and cell survival: A review. BBA-Mol. Cell Res. 2011, 1813, 238–259. [Google Scholar] [CrossRef]
- Evan, G.I.; Brown, L.; Whyte, M.; Harrington, E. Apoptosis and the cell cycle. Curr. Opin. Cell Biol. 1995, 7, 825–834. [Google Scholar] [CrossRef]
- Pucci, B.; Kasten, M.; Giordano, A. Cell cycle and apoptosis. Neoplasia 2000, 2, 291–299. [Google Scholar] [CrossRef] [PubMed]
- Huang, C.Y.; Ju, D.T.; Chang, C.F.; Reddy, P.M.; Velmurugan, B.K. A review on the effects of current chemotherapy drugs and natural agents in treating non–small cell lung cancer. Biomedicine 2017, 7, 23. [Google Scholar] [CrossRef]
- Kim, C.; Kim, B. Anti-cancer natural products and their bioactive compounds inducing ER stress-mediated apoptosis: A review. Nutrients 2018, 10, 1021. [Google Scholar] [CrossRef] [PubMed]
- Park, J.-W.; Woo, K.J.; Lee, J.-T.; Lim, J.H.; Lee, T.-J.; Kim, S.H.; Choi, Y.H.; Kwon, T.K. Resveratrol induces pro-apoptotic endoplasmic reticulum stress in human colon cancer cells. Oncol. Rep. 2007, 18, 1269–1273. [Google Scholar] [CrossRef]
- Chen, Y.L.; Lin, S.Z.; Chang, J.Y.; Cheng, Y.L.; Tsai, N.M.; Chen, S.P.; Chang, W.L.; Harn, H.J. In vitro and in vivo studies of a novel potential anticancer agent of isochaihulactone on human lung cancer A549 cells. Biochem. Pharmacol. 2006, 72, 308–319. [Google Scholar] [CrossRef]
- Zhang, Y.C.; Zhou, L.; Ng, K.Y. Sesquiterpene lactones from Ixeris sonchifolia Hance and their cytotoxicities on A549 human non-small cell lung cancer cells. J. Asian Nat. Prod. Res. 2009, 11, 294–298. [Google Scholar] [CrossRef] [PubMed]
- Guo, Y.J.; Pan, W.W.; Liu, S.B.; Shen, Z.F.; Xu, Y.; Hu, L.L. Erk/mapk signalling pathway and tumorigenesis. Exp. Ther. Med. 2020, 19, 1997–2007. [Google Scholar] [CrossRef] [PubMed]
- Cagnol, S.; Chambard, J. ERK and cell death: Mechanisms of ERK-induced cell death—Apoptosis, autophagy and senescence. FEBS J. 2010, 277, 2–21. [Google Scholar] [CrossRef]
- Park, M.T.; Choi, J.A.; Kim, M.J.; Um, H.D.; Bae, S.W.; Kang, C.M.; Cho, C.W.; Kang, S.; Chung, H.Y.; Lee, Y.S.; et al. Suppression of extracellular signal-related kinase and activation of p38 MAPK are two critical events leading to caspase-8 and mitochondria-mediated cell death in phytosphingosine-treated human cancer cells. J. Biol. Chem. 2003, 278, 50624–50634. [Google Scholar] [CrossRef]
- Yue, J.; LÓpez, J.M. Understanding MAPK signaling pathways in apoptosis. Int. J. Mol. Sci. 2020, 21, 2346. [Google Scholar] [CrossRef]




| EtOH Concentration (%) | IC50 (μg/mL) |
|---|---|
| 10 | <100 |
| 20 | <100 |
| 30 | <100 |
| 40 | <100 |
| 50 | <100 |
| 60 | <100 |
| 70 | 57.04 ± 10.28 |
| 80 | 76.94 ± 5.56 |
| 90 | 80.91 ± 4.31 |
| 100 | 84.09 ± 8.65 |
Disclaimer/Publisher’s Note: The statements, opinions and data contained in all publications are solely those of the individual author(s) and contributor(s) and not of MDPI and/or the editor(s). MDPI and/or the editor(s) disclaim responsibility for any injury to people or property resulting from any ideas, methods, instructions or products referred to in the content. |
© 2024 by the authors. Licensee MDPI, Basel, Switzerland. This article is an open access article distributed under the terms and conditions of the Creative Commons Attribution (CC BY) license (https://creativecommons.org/licenses/by/4.0/).
Share and Cite
Lee, Y.-G.; Kim, T.H.; Kwon, J.E.; Kim, H.; Kang, S.C. Cytotoxic Effects of Ardisiacrispin A from Labisia pumila on A549 Human Lung Cancer Cells. Life 2024, 14, 276. https://doi.org/10.3390/life14020276
Lee Y-G, Kim TH, Kwon JE, Kim H, Kang SC. Cytotoxic Effects of Ardisiacrispin A from Labisia pumila on A549 Human Lung Cancer Cells. Life. 2024; 14(2):276. https://doi.org/10.3390/life14020276
Chicago/Turabian StyleLee, Yeong-Geun, Tae Hyun Kim, Jeong Eun Kwon, Hyunggun Kim, and Se Chan Kang. 2024. "Cytotoxic Effects of Ardisiacrispin A from Labisia pumila on A549 Human Lung Cancer Cells" Life 14, no. 2: 276. https://doi.org/10.3390/life14020276
APA StyleLee, Y.-G., Kim, T. H., Kwon, J. E., Kim, H., & Kang, S. C. (2024). Cytotoxic Effects of Ardisiacrispin A from Labisia pumila on A549 Human Lung Cancer Cells. Life, 14(2), 276. https://doi.org/10.3390/life14020276

