Comparative Pacing Profile and Chronometric Performance in Elite Swimmers with Intellectual Impairments and Able-Bodied Athletes
Abstract
1. Introduction
2. Materials and Methods
2.1. Participants
2.2. Procedure
2.3. Ethical Considerations
2.4. Sample Size a Priori Power Analysis
2.5. Statistical Analysis
3. Results
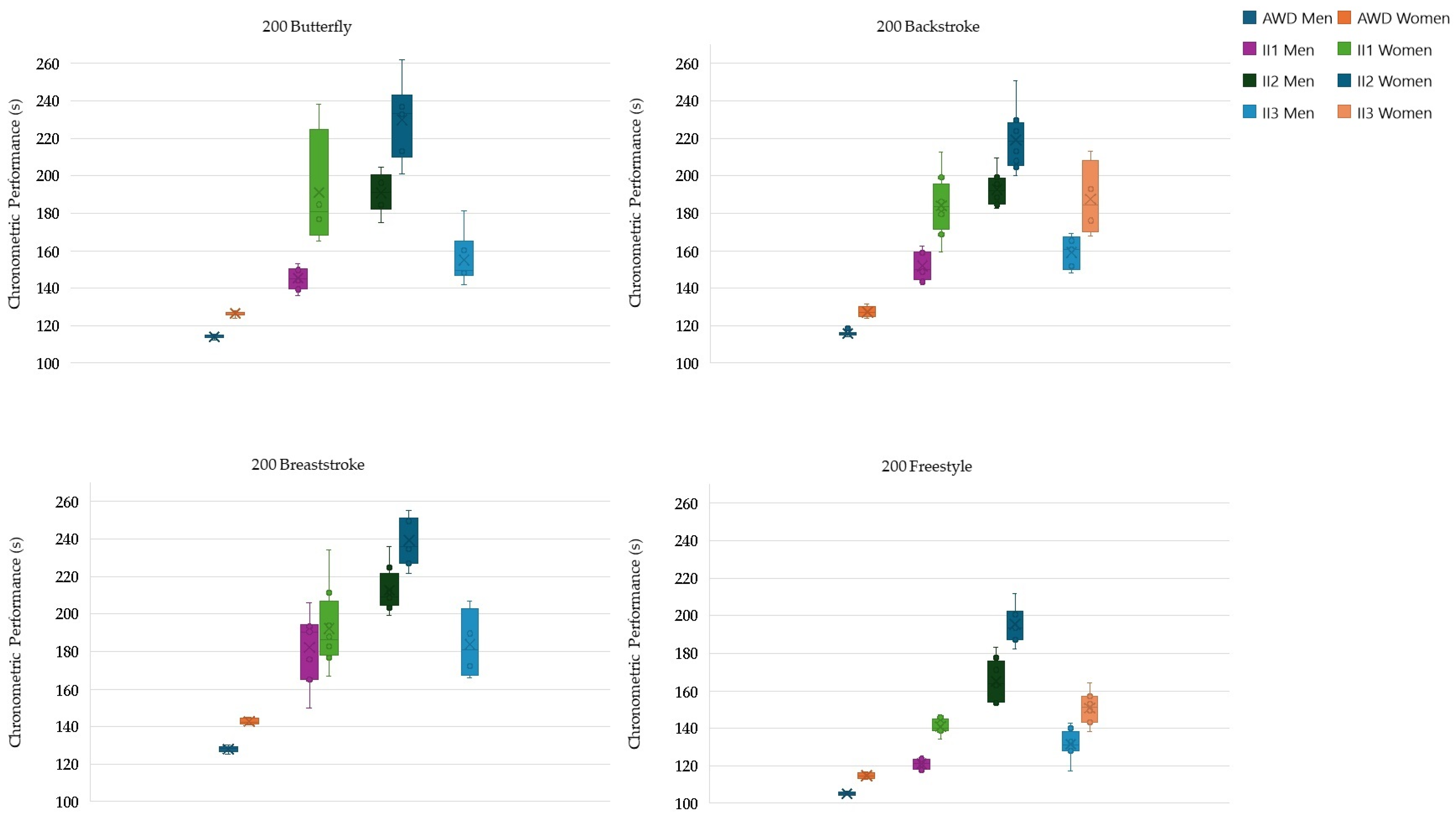
3.1. Chronometric Performance
3.2. Coefficient of Variation
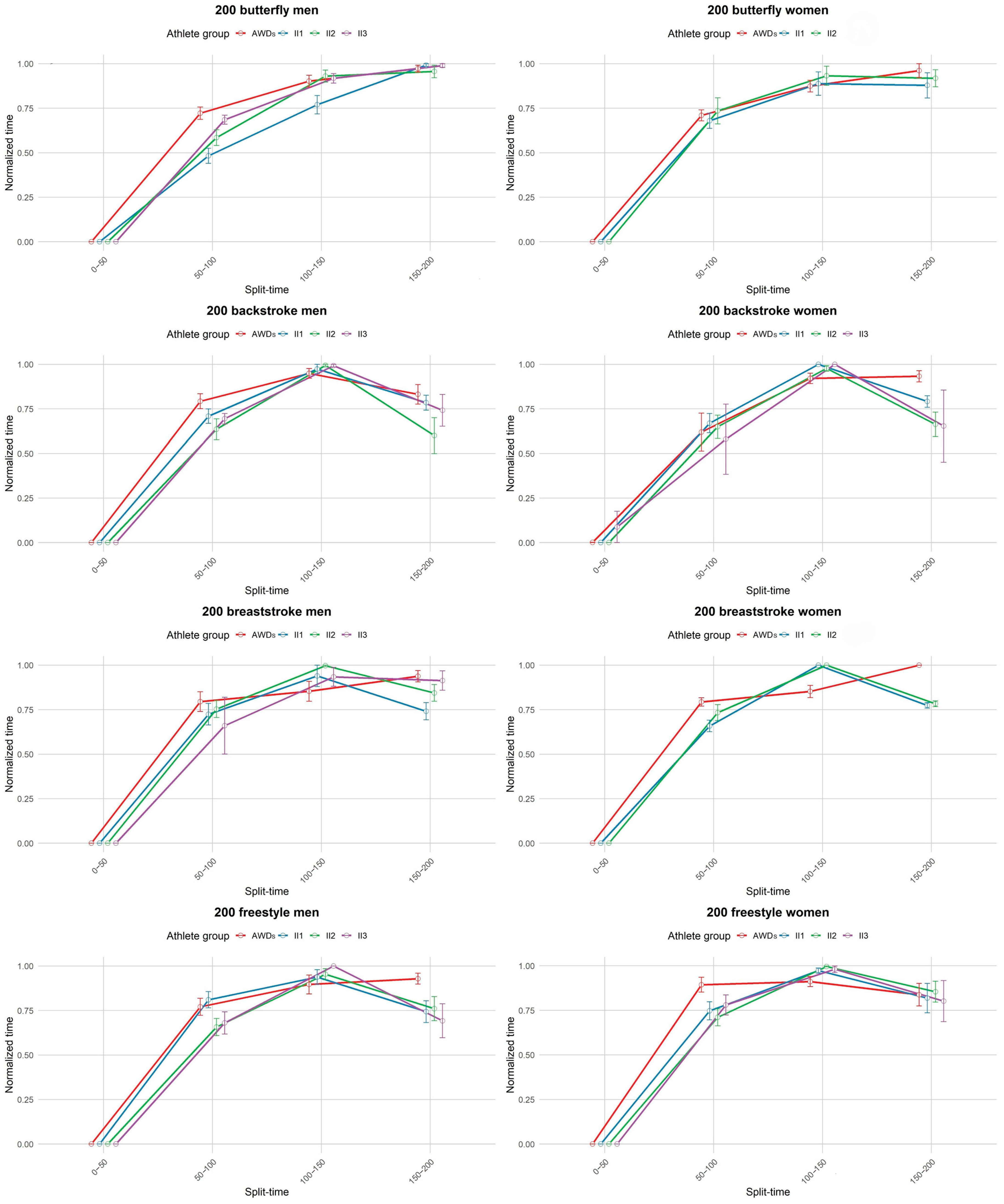
3.3. Pacing Profile
3.4. Post Hoc Power Analysis
4. Discussion
5. Conclusions
Author Contributions
Funding
Informed Consent Statement
Data Availability Statement
Conflicts of Interest
References
- Tucker, R.; Noakes, T.D. The Physiological Regulation of Pacing Strategy during Exercise: A Critical Review. Br. J. Sports Med. 2009, 43, e1. [Google Scholar] [CrossRef] [PubMed]
- Pryor, J.L.; Johnson, E.C.; Yoder, H.A.; Looney, D.P. Keeping Pace: A Practitioner-Focused Review of Pacing Strategies in Running. Strength Cond. J. 2020, 42, 67–75. [Google Scholar] [CrossRef]
- Abbiss, C.R.; Laursen, P.B. Describing and Understanding Pacing Strategies during Athletic Competition. Sports Med. 2008, 38, 239–252. [Google Scholar] [CrossRef]
- Foster, C.; De Koning, J.J.; Hettinga, F.; Lampen, J.; La Clair, K.L.; Dodge, C.; Bobbert, M.; Porcari, J.P. Pattern of Energy Expenditure during Simulated Competition. Med. Sci. Sports Exerc. 2003, 35, 826–831. [Google Scholar] [CrossRef]
- Puce, L.; Marinelli, L.; Pierantozzi, E.; Mori, L.; Pallecchi, I.; Bonifazi, M.; Bove, M.; Franchini, E.; Trompetto, C. Training Methods and Analysis of Races of a Top Level Paralympic Swimming Athlete. J. Exerc. Rehabil. 2018, 14, 612–620. [Google Scholar] [CrossRef]
- Konings, M.J.; Hettinga, F.J. Pacing Decision Making in Sport and the Effects of Interpersonal Competition: A Critical Review. Sports Med. 2018, 48, 1829–1843. [Google Scholar] [CrossRef] [PubMed]
- Waldron, M.; Highton, J. Fatigue and Pacing in High-Intensity Intermittent Team Sport: An Update. Sports Med. 2014, 44, 1645–1658. [Google Scholar] [CrossRef]
- Elferink-Gemser, M.T.; Hettinga, F.J. Pacing and Self-Regulation: Important Skills for Talent Development in Endurance Sports. Int. J. Sports Physiol. Perform. 2017, 12, 831–835. [Google Scholar] [CrossRef]
- Brick, N.E.; MacIntyre, T.E.; Campbell, M.J. Thinking and Action: A Cognitive Perspective on Self-Regulation during Endurance Performance. Front. Physiol. 2016, 7, 159. [Google Scholar] [CrossRef]
- Smits, B.L.M.; Pepping, G.-J.; Hettinga, F.J. Pacing and Decision Making in Sport and Exercise: The Roles of Perception and Action in the Regulation of Exercise Intensity. Sports Med. 2014, 44, 763–775. [Google Scholar] [CrossRef]
- Corbett, J.; Barwood, M.J.; Ouzounoglou, A.; Thelwell, R.; Dicks, M. Influence of Competition on Performance and Pacing during Cycling Exercise. Med. Sci. Sports Exerc. 2012, 44, 509–515. [Google Scholar] [CrossRef]
- Whitehead, A.E.; Jones, H.S.; Williams, E.L.; Rowley, C.; Quayle, L.; Marchant, D.; Polman, R.C. Investigating the Relationship between Cognitions, Pacing Strategies and Performance in 16.1 Km Cycling Time Trials Using a Think Aloud Protocol. Psychol. Sport Exerc. 2018, 34, 95–109. [Google Scholar] [CrossRef]
- Marcora, S.M.; Staiano, W. The Limit to Exercise Tolerance in Humans: Mind over Muscle? Eur. J. Appl. Physiol. 2010, 109, 763–770. [Google Scholar] [CrossRef] [PubMed]
- Jones, H.S.; Williams, E.L.; Marchant, D.; Sparks, S.A.; Midgley, A.W.; Bridge, C.A.; Mcnaughton, L. Distance-Dependent Association of Affect with Pacing Strategy in Cycling Time Trials. Med. Sci. Sports Exerc. 2015, 47, 825–832. [Google Scholar] [CrossRef]
- Thiel, C.; Pfeifer, K.; Sudeck, G. Pacing and Perceived Exertion in Endurance Performance in Exercise Therapy and Health Sports: A Competence-Oriented View. Ger. J. Exerc. Sport Res. 2018, 48, 136–144. [Google Scholar] [CrossRef]
- Williams, E.L.; Jones, H.S.; Andy Sparks, S.; Marchant, D.C.; Midgley, A.W.; Mc Naughton, L.R. Competitor Presence Reduces Internal Attentional Focus and Improves 16.1km Cycling Time Trial Performance. J. Sci. Med. Sport 2015, 18, 486–491. [Google Scholar] [CrossRef] [PubMed]
- Sakalidis, K.E.; Burns, J.; Van Biesen, D.; Dreegia, W.; Hettinga, F.J. The Impact of Cognitive Functions and Intellectual Impairment on Pacing and Performance in Sports. Psychol. Sport Exerc. 2021, 52, 101840. [Google Scholar] [CrossRef]
- The AAIDD Ad Hoc Committee on Terminology and Classification. Intellectual Disability: Definition, Classification, and Systems of Supports, 11th ed.; American Association on Intellectual and Developmental Disabilities: Washington, DC, USA, 2010. [Google Scholar]
- Van Biesen, D.; Hettinga, F.J.; Mcculloch, K.; Vanlandewijck, Y.C. Pacing Ability in Elite Runners with Intellectual Impairment. Med. Sci. Sports Exerc. 2017, 49, 588–594. [Google Scholar] [CrossRef]
- Sakalidis, K.E.; Menting, S.G.P.; Hettinga, F.J. Influence of Intellectual Disability on Exercise Regulation: Exploring Verbal, Auditory and Visual Guidance to Contribute to Promote Inclusive Exercise Environments. BMJ Open Sport Exerc. Med. 2024, 10, e001765. [Google Scholar] [CrossRef]
- Van Biesen, D.; Hettinga, F.J.; McCulloch, K.; Vanlandewijck, Y. Pacing Profiles in Competitive Track Races: Regulation of Exercise Intensity Is Related to Cognitive Ability. Front. Physiol. 2016, 7, 624. [Google Scholar] [CrossRef]
- Van Biesen, D.; Mactavish, J.; McCulloch, K.; Lenaerts, L.; Vanlandewijck, Y.C. Cognitive Profile of Young Well-Trained Athletes with Intellectual Disabilities. Res. Dev. Disabil. 2016, 53–54, 377–390. [Google Scholar] [CrossRef]
- Sakalidis, K.E.; Hettinga, F.J.; Ling, F.C.M. Coaching Styles and Sports Motivation in Athletes with and without Intellectual Impairments. PLoS ONE 2023, 18, e0296164. [Google Scholar] [CrossRef] [PubMed]
- Voloshko, L.; Boyko, G. Modern Approaches to the Classification of Athletes with Intellectual Disabilities. Sci. J. Natl. Pedagog. Dragomanov Univ. Ser. 15 Sci. Pedagog. Probl. Phys. Cult. (Phys. Cult. Sports) 2021, 5, 29–34. [Google Scholar] [CrossRef]
- Baynard, T.; Pitetti, K.H.; Guerra, M.; Unnithan, V.B.; Fernhall, B. Age-Related Changes in Aerobic Capacity in Individuals with Mental Retardation: A 20-Yr Review. Med. Sci. Sports Exerc. 2008, 40, 1984–1989. [Google Scholar] [CrossRef] [PubMed]
- Siyah, T.; Saglam, M.; Yagli, N.V.; Ertugrul, I.; Aykan, H.H.; Karagoz, T. Investigation of Cardiopulmonary Parameters, Motor Development and Muscle Strength in Children with Down Syndrome with and without Congenital Heart Disease. J. Intellect. Disabil. Res. 2024, 68, 64–73. [Google Scholar] [CrossRef]
- Pan, C.-Y. Effects of Water Exercise Swimming Program on Aquatic Skills and Social Behaviors in Children with Autism Spectrum Disorders. Autism 2010, 14, 9–28. [Google Scholar] [CrossRef]
- Sinha, P.; Kjelgaard, M.M.; Gandhi, T.K.; Tsourides, K.; Cardinaux, A.L.; Pantazis, D.; Diamond, S.P.; Held, R.M. Autism as a Disorder of Prediction. Proc. Natl. Acad. Sci. USA 2014, 111, 15220–15225. [Google Scholar] [CrossRef]
- Vernazza-Martin, S.; Martin, N.; Vernazza, A.; Lepellec-Muller, A.; Rufo, M.; Massion, J.; Assaiante, C. Goal Directed Locomotion and Balance Control in Autistic Children. J. Autism Dev. Disord. 2005, 35, 91–102. [Google Scholar] [CrossRef]
- Grosprêtre, S.; Ruffino, C.; Derguy, C.; Gueugneau, N. Sport and Autism: What Do We Know so Far? A Review. Sports Med.—Open 2024, 10, 107. [Google Scholar] [CrossRef]
- Einarsson, I.; Cisic, T.; Van Biesen, D.; Daly, D. Performance Evolution of Athletes with Intellectual Impairments in Athletics and Swimming over the Last Decade. In Proceedings of the VISTA Meeting: Securing the Future for Young Para-Athletes of the International Paralympic Committee, Girona, Spain, 7–10 October 2015. [Google Scholar]
- Barbosa, T.M.; Marinho, D.A.; Costa, M.J.; Silva, A.J. Biomechanics of Competitive Swimming Strokes. In Biomechanics in Applications; InTech: Rijeka, Croatia, 2011; pp. 367–388. [Google Scholar]
- Toussaint, H.; Vervoorn, K. Effects of Specific High Resistance Training in the Water on Competitive Swimmers. Int. J. Sports Med. 1990, 11, 228–233. [Google Scholar] [CrossRef]
- Toussaint, H.M.; De Groot, G.; Savelberg, H.H.C.M.; Vervoorn, K.; Hollander, A.P.; Van Ingen Schenau, G.J. Active Drag Related to Velocity in Male and Female Swimmers. J. Biomech. 1988, 21, 435–438. [Google Scholar] [CrossRef] [PubMed]
- Thompson, K.G. Pacing—Individual Strategies for Optimal Performance; Human Kinetics: Champaign, IL, USA, 2015. [Google Scholar]
- McGibbon, K.E.; Pyne, D.B.; Shephard, M.E.; Thompson, K.G. Pacing in Swimming: A Systematic Review. Sports Med. 2018, 48, 1621–1633. [Google Scholar] [CrossRef] [PubMed]
- Arellano Colomina, R.; Morales Ortíz, E.; Ruiz Teba, A.; Taladriz Blanco, S.; Cuenca Fernández, F.; López Contreras, G. (Eds.) Swimming Science II; Universidad de Granada: Girona, Spain, 2016; ISBN 978-84-338-5771-2. [Google Scholar]
- Perrone, S.; Rinaldi, L.; Gatti, D.; Girelli, L. Temporal Perception in Closed-Skill Sports: An Experimental Study on Expert Swimmers and Runners. Psychol. Sport Exerc. 2023, 69, 102500. [Google Scholar] [CrossRef] [PubMed]
- Virtus Global Games 2023. Swimming. Available online: https://gg2023.org/en/sports/swimming-en/ (accessed on 27 July 2024).
- World Aquatics. World Aquatics Championships Fukuoka 2023—Results. Available online: https://www.worldaquatics.com/competitions/1/world-aquatics-championships-fukuoka-2023/results?disciplines=SW (accessed on 27 July 2024).
- Stommel, W.; Rijk, L.D. Ethical Approval: None Sought. How Discourse Analysts Report Ethical Issues around Publicly Available Online Data. Res. Ethics 2021, 17, 275–297. [Google Scholar] [CrossRef]
- Lakens, D. Calculating and Reporting Effect Sizes to Facilitate Cumulative Science: A Practical Primer for t-Tests and ANOVAs. Front. Psychol. 2013, 4, 863. [Google Scholar] [CrossRef]
- Andrews, B.; Goosey-Tolfrey, V.; Bressan, E. The Classification of Sprinters with Intellectual Impairments: A Preliminary Analysis. S. Afr. J. Res. Sport Phys. Educ. Recreat. 2009, 31, 17. [Google Scholar] [CrossRef]
- Tilinger, P. Comparison of Athletics Records of Intellectually Disabled Persons with Records of Intact Athletes. AUC KINANTHROPOLOGICA 2014, 49, 52–64. [Google Scholar] [CrossRef]
- Menting, S.G.P.; Elferink-Gemser, M.T.; Huijgen, B.C.; Hettinga, F.J. Pacing in Lane-Based Head-to-Head Competitions: A Systematic Review on Swimming. J. Sports Sci. 2019, 37, 2287–2299. [Google Scholar] [CrossRef]
- Matsuura, Y.; Matsunaga, N.; Akuzawa, H.; Kojima, T.; Oshikawa, T.; Iizuka, S.; Okuno, K.; Kaneoka, K. Difference in Muscle Synergies of the Butterfly Technique with and without Swimmer’s Shoulder. Sci. Rep. 2022, 12, 14546. [Google Scholar] [CrossRef]
- Horgan, J.S. Mnemonic Strategy Instruction in Coding, Processing, and Recall of Movement-Related Cues by Mentally Retarded Children. Percept. Mot. Ski. 1983, 57, 547–557. [Google Scholar] [CrossRef]
- García-Fresneda, A.; Theodorou, A.S.; Panoutsakopoulos, V.; Torralba Jordán, M.A.; Padullés, J.-M.; Padullés, X.; Kotzamanidou, M.C. Step Regulation in Paralympic Long Jumpers with Intellectual Impairment. Eur. J. Adapt. Phys. Act. 2022, 15, 10. [Google Scholar] [CrossRef]
- Van Biesen, D.; Verellen, J.; Meyer, C.; Mactavish, J.; Van De Vliet, P.; Vanlandewijck, Y. The Ability of Elite Table Tennis Players With Intellectual Disabilities to Adapt Their Service/Return. Adapt. Phys. Act. Q. 2010, 27, 242–257. [Google Scholar] [CrossRef] [PubMed]
- Iezzoni, L.I. Public Health Goals for Persons With Disabilities: Looking Ahead to 2020. Disabil. Health J. 2009, 2, 111–115. [Google Scholar] [CrossRef] [PubMed]
- Jefferies, P.; Gallagher, P.; Dunne, S. The Paralympic Athlete: A Systematic Review of the Psychosocial Literature. Prosthet. Orthot. Int. 2012, 36, 278–289. [Google Scholar] [CrossRef]
- Van Biesen, D.; Mactavish, J.; Pattyn, N.; Vanlandewijck, Y. Technical Proficiency among Table Tennis Players with and without Intellectual Disabilities. Hum. Mov. Sci. 2012, 31, 1517–1528. [Google Scholar] [CrossRef]
- Puce, L.; Biz, C.; Cerchiaro, M.; Scapinello, D.; Giarrizzo, L.; Trompetto, C.; Marinelli, L.; Trabelsi, K.; Samanipour, M.H.; Bragazzi, N.L.; et al. Young Para-Athletes Display More Hedonic Well-Being than People with Disabilities Not Taking Part in Competitive Sports: Insights from a Multi-Country Survey. Front. Psychol. 2023, 14, 1176595. [Google Scholar] [CrossRef] [PubMed]
- Tweedy, S.M.; Vanlandewijck, Y.C. International Paralympic Committee Position Stand—Background and Scientific Principles of Classification in Paralympic Sport. Br. J. Sports Med. 2011, 45, 259–269. [Google Scholar] [CrossRef]
- Hirota, T.; King, B.H. Autism Spectrum Disorder: A Review. JAMA 2023, 329, 157. [Google Scholar] [CrossRef] [PubMed]
- Park, H.R.; Lee, J.M.; Moon, H.E.; Lee, D.S.; Kim, B.-N.; Kim, J.; Kim, D.G.; Paek, S.H. A Short Review on the Current Understanding of Autism Spectrum Disorders. Exp. Neurobiol. 2016, 25, 1–13. [Google Scholar] [CrossRef]






| EVENT | SEX | CV TIMING | CV PACING | ||||||
|---|---|---|---|---|---|---|---|---|---|
| AWDs | II1 | II2 | II3 | AWDs | II1 | II2 | II3 | ||
| 200 Butterfly | M | 0.8 | 4.2 | 5.8 | 9.1 | 1.4 | 4.7 | 6.1 | 9.2 |
| W | 1 | 16.8 | 9.1 | - | 1.7 | 16.9 | 9.8 | - | |
| 200 Backstroke | M | 1.2 | 4.9 | 4.8 | 5.6 | 1.6 | 5.4 | 5.2 | 5.8 |
| W | 2.1 | 9.0 | 7.5 | 10.6 | 2.6 | 9.1 | 7.8 | 10.9 | |
| 200 Breaststroke | M | 1.2 | 10.7 | 5.6 | 10.0 | 2.0 | 11.1 | 5.8 | 9.8 |
| W | 1.2 | 11.1 | 5.4 | - | 1.4 | 11.2 | 5.6 | - | |
| 200 Freestyle | M | 0.8 | 2.1 | 6.9 | 5.9 | 1.4 | 2.6 | 7.8 | 6.3 |
| W | 1.4 | 2.9 | 5.2 | 5.7 | 1.7 | 3.3 | 5.8 | 6.2 | |
| 400 Freestyle | M | 0.7 | 1.5 | 7.5 | 5.6 | 1.2 | 2.4 | 8.1 | 6.0 |
| W | 1.5 | 5.4 | 6.1 | 7.2 | 1.8 | 5.7 | 6.7 | 7.5 | |
| 800 Freestyle | M | 1.3 | 3.2 | 12.3 | 9.9 | 1.5 | 3.7 | 12.4 | 10.1 |
| W | 1.2 | 13.0 | 9.3 | 5.0 | 11.6 | 19.3 | 18.3 | 15.8 | |
| 800 Freestyle | M | 1.3 | 3.2 | 12.3 | 9.9 | 1.5 | 3.7 | 12.4 | 10.1 |
| W | 1.2 | 13.0 | 9.3 | 5.0 | 11.6 | 19.3 | 18.3 | 15.8 | |
| 1500 Freestyle | M | 2.2 | 8.1 | - | 3.7 | 1.4 | 7.3 | - | 3.7 |
| W | 1.3 | 12.9 | 18.5 | 7.4 | 1.5 | 13.0 | 18.6 | 7.7 | |
Disclaimer/Publisher’s Note: The statements, opinions and data contained in all publications are solely those of the individual author(s) and contributor(s) and not of MDPI and/or the editor(s). MDPI and/or the editor(s) disclaim responsibility for any injury to people or property resulting from any ideas, methods, instructions or products referred to in the content. |
© 2024 by the authors. Licensee MDPI, Basel, Switzerland. This article is an open access article distributed under the terms and conditions of the Creative Commons Attribution (CC BY) license (https://creativecommons.org/licenses/by/4.0/).
Share and Cite
Puce, L.; Zmijewsk, P.; Bragazzi, N.L.; Trompetto, C. Comparative Pacing Profile and Chronometric Performance in Elite Swimmers with Intellectual Impairments and Able-Bodied Athletes. Life 2024, 14, 1623. https://doi.org/10.3390/life14121623
Puce L, Zmijewsk P, Bragazzi NL, Trompetto C. Comparative Pacing Profile and Chronometric Performance in Elite Swimmers with Intellectual Impairments and Able-Bodied Athletes. Life. 2024; 14(12):1623. https://doi.org/10.3390/life14121623
Chicago/Turabian StylePuce, Luca, Piotr Zmijewsk, Nicola Luigi Bragazzi, and Carlo Trompetto. 2024. "Comparative Pacing Profile and Chronometric Performance in Elite Swimmers with Intellectual Impairments and Able-Bodied Athletes" Life 14, no. 12: 1623. https://doi.org/10.3390/life14121623
APA StylePuce, L., Zmijewsk, P., Bragazzi, N. L., & Trompetto, C. (2024). Comparative Pacing Profile and Chronometric Performance in Elite Swimmers with Intellectual Impairments and Able-Bodied Athletes. Life, 14(12), 1623. https://doi.org/10.3390/life14121623

