Changes in Secondary Metabolites Content and Antioxidant Enzymes Activity in Leaves of Two Prunus avium L. Genotypes During Various Phenological Phases
Abstract
1. Introduction
2. Materials and Methods
2.1. Orchard Growing Conditions
2.2. Harvesting of Plant Material
2.3. Extract Preparation and Estimation of Malondialdehyde
2.4. Estimation of Secondary Metabolites and Antioxidant Capacity
2.5. Estimation of Antioxidant Enzymes
2.6. Statistical Analysis
3. Results
3.1. Climatic Data
3.2. MDA Content
3.3. Secondary Metabolites Content and Antioxidant Capacity
3.3.1. Total Phenolic Content
3.3.2. Total Flavonoid Content
3.3.3. Phenolic Acids Content
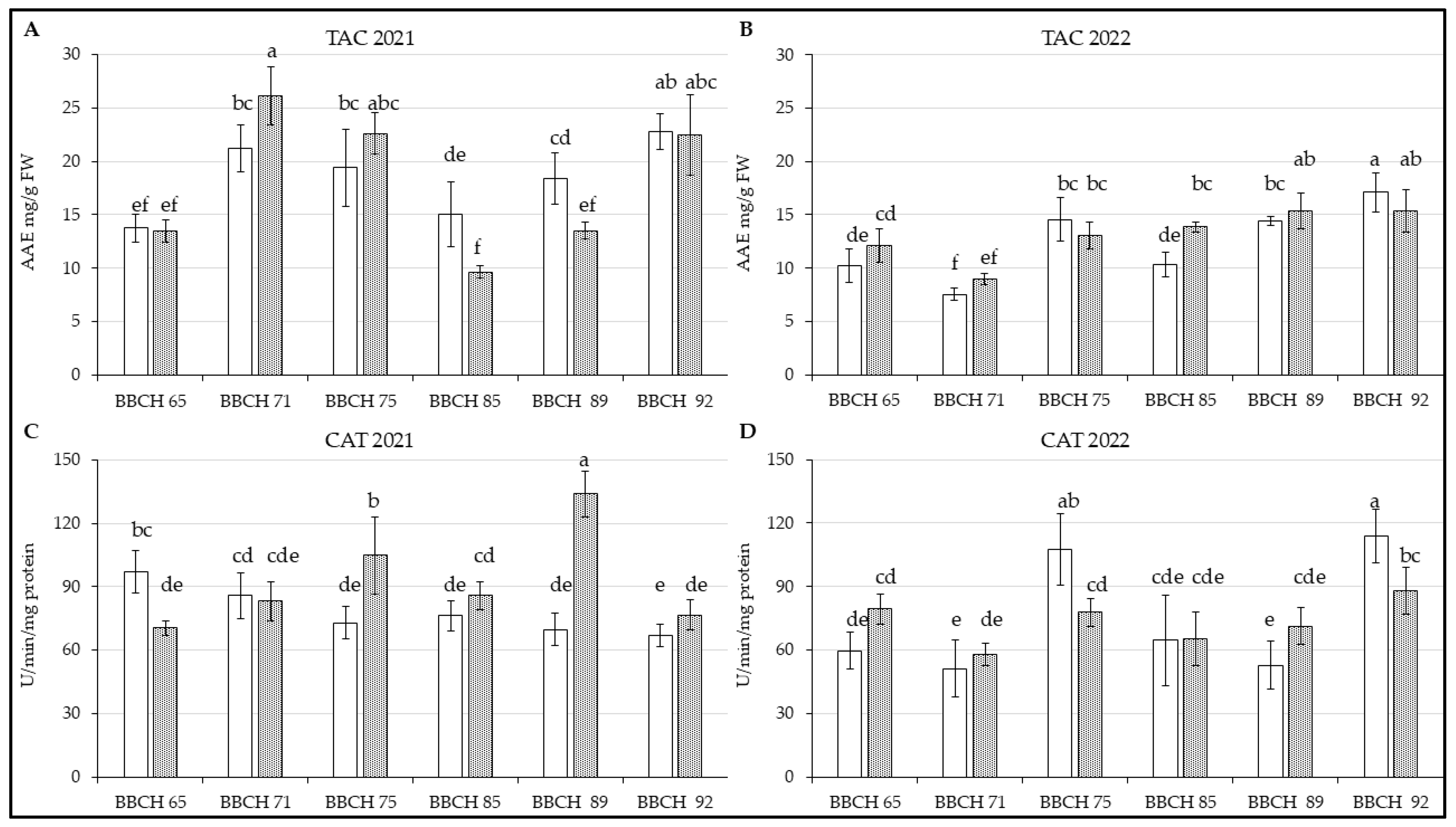
3.3.4. Total Antioxidant Capacity
3.4. Antioxidant Enzymes
3.4.1. Catalase
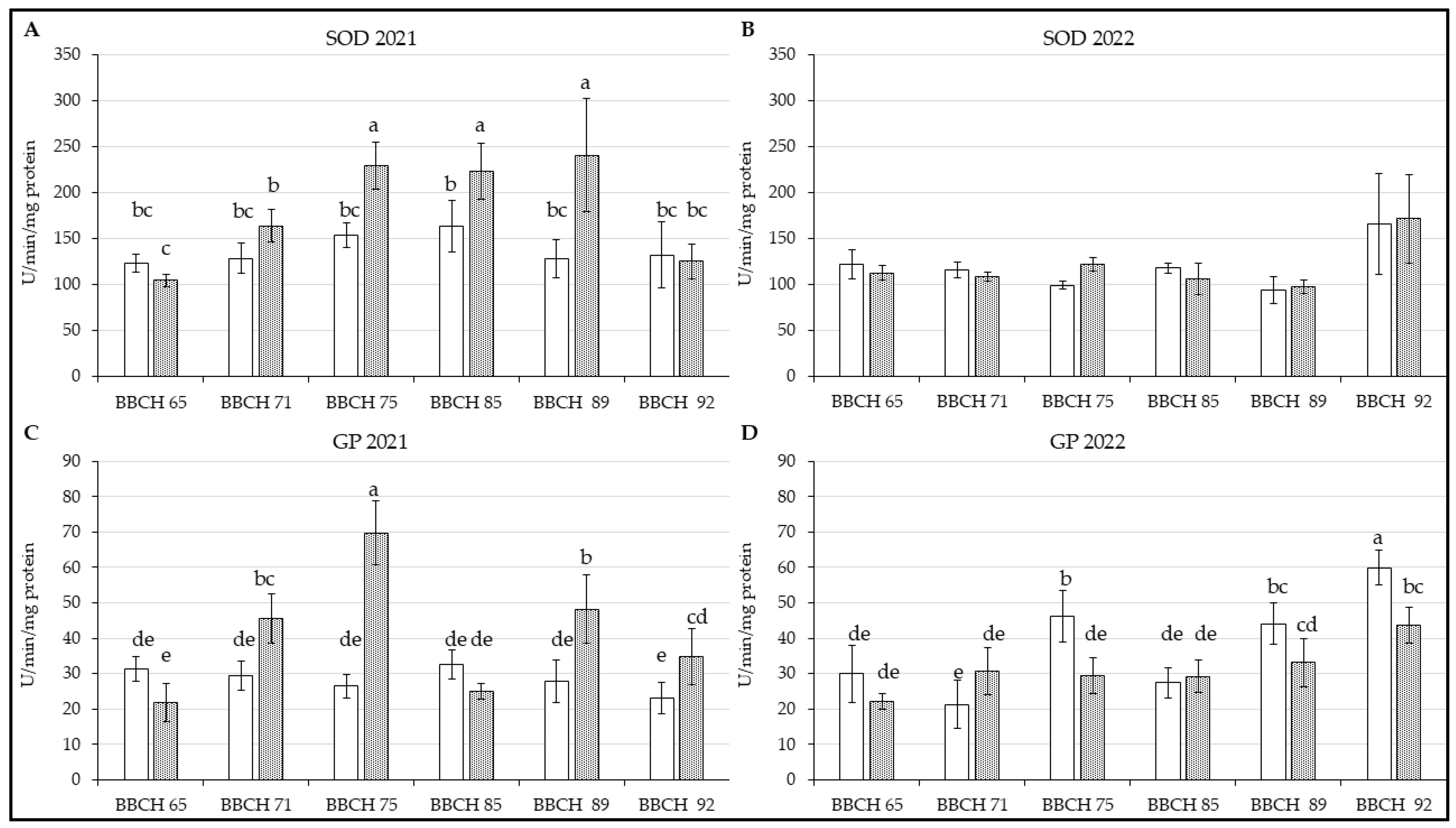
3.4.2. Superoxide Dismutase
3.4.3. Guaiacol Peroxidase
3.4.4. Ascorbate Peroxidase
4. Discussion
5. Conclusions
Supplementary Materials
Author Contributions
Funding
Institutional Review Board Statement
Informed Consent Statement
Data Availability Statement
Acknowledgments
Conflicts of Interest
References
- Nemcova, V.; Buchtova, I. Situační a Výhledová Zpráva: Ovoce 2023; Ministry of Agriculture: Prague, Czech Republic, 2023; pp. 61–64.
- Nunes, A.R.; Gonçalves, A.C.; Falcão, A.; Alves, G.; Silva, L.R. Prunus avium L. (Sweet Cherry) by-Products: A Source of Phenolic Compounds with Antioxidant and Anti-Hyperglycemic Properties—A Review. Appl. Sci. 2021, 11, 8516. [Google Scholar] [CrossRef]
- Vosnjak, M.; Mrzlic, D.; Hudina, M.; Usenik, V. The Effect of Water Supply on Sweet Cherry Phytochemicals in Bud, Leaf and Fruit. Plants 2021, 10, 1131. [Google Scholar] [CrossRef] [PubMed]
- Martini, S.; Conte, A.; Tagliazucchi, D. Phenolic Compounds Profile and Antioxidant Properties of Six Sweet Cherry (Prunus avium) Cultivars. Food Res. Int. 2017, 97, 15–26. [Google Scholar] [CrossRef] [PubMed]
- Paprstein Frantisek; Sedlak, J.; Polak, J.; Zidova, P. Certifikovaná Metodika Ozdravování Třešně Pomocí Chemoterapie In Vitro Kultur; Výzkumný a Šlechtitelský Ústav Ovocnářský Holovousy s.r.o.: Holovousy, Czech Republic, 2017. [Google Scholar]
- Russel, K. EUFORGEN Technical Guidelines for Genetic Conservation and Use for Wild Cherry (Prunus avium); International Plant Genetic Resources Institute: Rome, Italy, 2003; pp. 1–6. [Google Scholar]
- Donmez, A.; Yildirimli, S. Taxonomy of the Genus prunus L. (Rosaceae) in Turkey. Turk. J. Bot. 2000, 24, 187–202. [Google Scholar]
- Welk, E.; De Rigo, D.; Caudullo, G. Prunus Avium in Europe: Distribution, Habitat, Usage and Threats. In European Atlas of Forest Tree Species; Mubareka, S., Jonsson, R., Rinaldi, F., Azevedo, J., de Rigo, D., Sikkema, R., Eds.; Publication Office of the European Union: Luxembourg, 2016; pp. 140–141. [Google Scholar]
- Gonçalves, B.; Correia, C.M.; Silva, A.P.; Bacelar, E.A.; Santos, A.; Moutinho-Pereira, J.M. Leaf Structure and Function of Sweet Cherry Tree (Prunus avium L.) Cultivars with Open and Dense Canopies. Sci. Hortic. 2008, 116, 381–387. [Google Scholar] [CrossRef]
- Dziadek, K.; Kopeć, A.; Piątkowska, E. Intake of Fruit and Leaves of Sweet Cherry Beneficially Affects Lipid Metabolism, Oxidative Stress and Inflammation in Wistar Rats Fed with High Fat-Cholesterol Diet. J. Funct. Foods 2019, 57, 31–39. [Google Scholar] [CrossRef]
- Uysal, S. Comparative Antioxidant Capacity and Enzyme Inhibitory Effect of Extracts from Prunus avium Leaves. Kastamonu Univ. J. For. 2020, 20, 234–242. [Google Scholar] [CrossRef]
- Jaroszewska, A.; Telesiński, A.; Podsiadło, C. Pro-Health Potential of Prunus avium L. and Prunus domestica L. Leaves Cultivated in Different Water Conditions. J. Elem. 2023, 28, 295–305. [Google Scholar] [CrossRef]
- Hussain, S.; Javed, M.; Amin Abid, M.; Amjad Khan, M.; Khurram Syed, S.; Faizan, M.; Feroz, F. Prunus avium L.; Phytochemistry, Nutritional and Pharmacological Review. Adv. Life Sci. 2021, 8, 307–314. [Google Scholar] [CrossRef]
- Chezanoglou, E.; Mourtzinos, I.; Goula, A.M. Sweet Cherry and Its By-Products as Sources of Valuable Phenolic Compounds. Trends Food Sci. Technol. 2024, 145, 104367. [Google Scholar] [CrossRef]
- Wojdyło, A.; Nowicka, P.; Turkiewicz, I.P.; Tkacz, K. Profiling of Polyphenols by LC-QTOF/ESI-MS, Characteristics of Nutritional Compounds and In Vitro Effect on Pancreatic Lipase, α-Glucosidase, α-Amylase, Cholinesterase and Cyclooxygenase Activities of Sweet (Prunus avium) and Sour (P. cerasus) Cherries Leaves and Fruits. Ind. Crops Prod. 2021, 174, 114214. [Google Scholar] [CrossRef]
- Dziadek, K.; Kopeć, A.; Piątkowska, E.; Leszczyńska, T. High-Fructose Diet-Induced Metabolic Disorders Were Counteracted by the Intake of Fruit and Leaves of Sweet Cherry in Wistar Rats. Nutrients 2019, 11, 2638. [Google Scholar] [CrossRef]
- Nunes, A.R.; Flores-Félix, J.D.; Gonçalves, A.C.; Falcão, A.; Alves, G.; Silva, L.R. Anti-Inflammatory and Antimicrobial Activities of Portuguese Prunus avium L. (Sweet Cherry) By-Products Extracts. Nutrients 2022, 14, 4576. [Google Scholar] [CrossRef] [PubMed]
- Nunes, A.R.; Gonçalves, A.C.; Alves, G.; Falcão, A.; Garcia-Viguera, C.; Moreno, D.A.; Silva, L.R. Valorisation of Prunus avium L. By-Products: Phenolic Composition and Effect on Caco-2 Cells Viability. Foods 2021, 10, 1185. [Google Scholar] [CrossRef] [PubMed]
- Dziadek, K.; Kopeć, A.; Tabaszewska, M. Potential of Sweet Cherry (Prunus avium L.) by-Products: Bioactive Compounds and Antioxidant Activity of Leaves and Petioles. Eur. Food Res. Technol. 2019, 245, 763–772. [Google Scholar] [CrossRef]
- Correia, S.; Aires, A.; Queirós, F.; Carvalho, R.; Schouten, R.; Silva, A.P.; Gonçalves, B. Climate Conditions and Spray Treatments Induce Shifts in Health Promoting Compounds in Cherry (Prunus avium L.) Fruits. Sci. Hortic. 2020, 263, 109147. [Google Scholar] [CrossRef]
- Gerasko, T.; Pyda, S.; Pashchenko, Y.; Pokopceva, L.; Tymoshchuk, T. Biochemical Composition of Sweet Cherry Leaves Depending on the Method of Soil Maintenance in an Organic Garden. Sci. Horiz. 2022, 25, 75–88. [Google Scholar] [CrossRef]
- Mineață, I.; Murariu, O.C.; Sîrbu, S.; Tallarita, A.V.; Caruso, G.; Jităreanu, C.D. Effects of Ripening Phase and Cultivar Under Sustainable Management on Fruit Quality and Antioxidants of Sweet Cherry. Horticulturae 2024, 10, 720. [Google Scholar] [CrossRef]
- Serapicos, M.; Afonso, S.; Gonçalves, B.; Silva, A.P. Exogenous Application of Glycine Betaine on Sweet Cherry Tree (Prunus avium L.): Effects on Tree Physiology and Leaf Properties. Plants 2022, 11, 3470. [Google Scholar] [CrossRef]
- Zahradníček, P.; Brázdil, R.; Řehoř, J.; Trnka, M.; Bartošová, L.; Rožnovský, J. Past and Present Risk of Spring Frosts for Fruit Trees in the Czech Republic. Theor. Appl. Climatol. 2024, 155, 965–984. [Google Scholar] [CrossRef]
- Hájková, L.; Možný, M.; Oušková, V.; Bartošová, L.; Dížková, P.; Žalud, Z. Increasing Risk of Spring Frost Occurrence during the Cherry Tree Flowering in Times of Climate Change. Water 2023, 15, 497. [Google Scholar] [CrossRef]
- Demirsoy, H.; Demirsoy, L.; Lang, G.A. Research on Spring Frost Damage in Cherries. Hort. Sci. 2022, 49, 89–94. [Google Scholar] [CrossRef]
- Milinović, B.; Dragović-Uzelac, V.; Kazija, D.H.; Jelačić, T.; Vujević, P.; Čiček, D.; Biško, A.; Čmelik, Z. Influence of Four Different Dwarfing Rootstocks on Phenolic Acids and Anthocyanin Composition of Sweet Cherry (Prunus avium L.) Cvs. “Kordia” and “Regina”. J. Appl. Bot. Food Qual. 2016, 89, 29–37. [Google Scholar] [CrossRef]
- Hájková, L.; Voženílek, V.; Tolasz, R.; Kohut, M.; Možný, M.; Nekovář, J.; Novák, M.; Reitschläger, J.; Richterová, D.; Stříž, M.; et al. Atlas of the Phenological Conditions in Czechia; CHMI Prague-UP Olomouc: Prague, Czech Republic, 2012. [Google Scholar]
- Du, Z.; Bramlage, W.J. Modified Thiobarbituric Acid Assay for Measuring Lipid Oxidation in Sugar-Rich Plant Tissue Extracts. J. Agric. Food Chem. 1992, 40, 1566–1570. [Google Scholar] [CrossRef]
- Singleton, V.L.; Rossi, J.A. Colorimetry of Total Phenolics with Phosphomolybdic-Phosphotungstic Acid Reagents. Am. J. Enol. Vitic. 1965, 16, 144–158. [Google Scholar] [CrossRef]
- Tsanova-Savova, S.; Ribarova, F.; Petkov, V. Quercetin Content and Ratios to Total Flavonols and Total Flavonoids in Bulgarian Fruits and Vegetables. Bulg. Chem. Commun. 2018, 50, 69–73. [Google Scholar]
- Świeca, M.; Gawlik-Dziki, U.; Kowalczyk, D.; Złotek, U. Impact of Germination Time and Type of Illumination on the Antioxidant Compounds and Antioxidant Capacity of Lens Culinaris Sprouts. Sci. Hortic. 2012, 140, 87–95. [Google Scholar] [CrossRef]
- Prieto, P.; Pineda, M.; Aguilar, M. pectrophotometric quantitation of antioxidant capacity through the formation of a phosphomolybdenum complex: Specific application to the determination of vitamin E. Anal. Biochem. 1999, 269, 337–341. [Google Scholar] [CrossRef]
- Aebi, H. Catalase. In Methods of Enzymatic Analyses; Bergmeyer, H., Ed.; Academic Press: New York, NY, USA, 1974. [Google Scholar]
- Chance, B.; Maehly, A.C. Assay of Catalases and Peroxidases. Methods Enzymol. 1955, 2, 764–817. [Google Scholar]
- Nakano, Y.; Asada, K. Hydrogen Peroxide Is Scavenged by Ascorbate-Specific Peroxidase in Spinach Chloroplasts. Plant Cell Physiol. 1981, 22, 867–880. [Google Scholar] [CrossRef]
- Giannopolitis, C.N.; Ries, S.K. Superoxide Dismutases: I. Occurrence in Higher Plants. Plant Physiol. 1977, 59, 309–314. [Google Scholar] [CrossRef] [PubMed]
- Gupta, A.; Bharati, R.; Kubes, J.; Popelkova, D.; Praus, L.; Yang, X.; Severova, L.; Skalicky, M.; Brestic, M. Zinc Oxide Nanoparticles Application Alleviates Salinity Stress by Modulating Plant Growth, Biochemical Attributes and Nutrient Homeostasis in Phaseolus vulgaris L. Front. Plant Sci. 2024, 15, 1432258. [Google Scholar] [CrossRef] [PubMed]
- Šmilauer, P.; Lepš, J. Multivariate Analysis of Ecological Data Using Canoco 5; Cambridge University Press: Cambridge, UK, 2014. [Google Scholar]
- Czech Hydrometeorological Institute. Available online: https://www.chmi.cz/?l=en (accessed on 23 October 2024).
- Hasanuzzaman, M.; Nahar, K.; Alam, M.M.; Roychowdhury, R.; Fujita, M. Physiological, Biochemical, and Molecular Mechanisms of Heat Stress Tolerance in Plants. Int. J. Mol. Sci. 2013, 14, 9643–9684. [Google Scholar] [CrossRef] [PubMed]
- Tan, Y.; Wen, B.; Xu, L.; Zong, X.; Sun, Y.; Wei, G.; Wei, H. High Temperature Inhibited the Accumulation of Anthocyanin by Promoting ABA Catabolism in Sweet Cherry Fruits. Front. Plant Sci. 2023, 14, 1079292. [Google Scholar] [CrossRef]
- Mihaljević, I.; Vuletić, M.V.; Šimić, D.; Tomaš, V.; Horvat, D.; Josipović, M.; Zdunić, Z.; Dugalić, K.; Vuković, D. Comparative Study of Drought Stress Effects on Traditional and Modern Apple Cultivars. Plants 2021, 10, 561. [Google Scholar] [CrossRef] [PubMed]
- Geng, J.; Wei, T.; Wang, Y.; Huang, X.; Liu, J.H. Overexpression of PtrbHLH, a Basic Helix-Loop-Helix Transcription Factor from Poncirus trifoliata, Confers Enhanced Cold Tolerance in Pummelo (Citrus grandis) by Modulation of H2O2 Level via Regulating a CAT Gene. Tree Physiol. 2019, 39, 2045–2054. [Google Scholar] [CrossRef]
- Vosnjak, M.; Sircelj, H.; Vodnik, D.; Usenik, V. Physio-Biochemical Responses of Sweet Cherry Leaf to Natural Cold Conditions. Plants 2022, 11, 3507. [Google Scholar] [CrossRef]
- Vosnjak, M.; Kastelec, D.; Vodnik, D.; Hudina, M.; Usenik, V. The Physiological Response of the Sweet Cherry Leaf to Non-Freezing Low Temperatures. Hortic. Environ. Biotechnol. 2021, 62, 199–211. [Google Scholar] [CrossRef]
- Mattila, H.; Valev, D.; Havurinne, V.; Khorobrykh, S.; Virtanen, O.; Antinluoma, M.; Mishra, K.B.; Tyystjärvi, E. Degradation of Chlorophyll and Synthesis of Flavonols During Autumn Senescence-the Story Told by Individual Leaves. AoB Plants 2018, 10, ply028. [Google Scholar] [CrossRef]
- Idris, A.; Linatoc, A.C.; Fadzelly, M.; Bakar, A.; Takai, Z.I.; Audu, Y. Effect of Light Quality and Quantity on the Accumulation of Flavonoid in Plant Species. J. Sci. Technol. 2018, 10, 32–45. [Google Scholar] [CrossRef]
- Zoratti, L.; Karppinen, K.; Escobar, A.L.; Häggman, H.; Jaakola, L. Light-Controlled Flavonoid Biosynthesis in Fruits. Front. Plant Sci. 2014, 5, 534. [Google Scholar] [CrossRef] [PubMed]
- Bondarenko, P. Physiological Basics of Sweet Cherry Productivity Depending on Rootstocks, Interstems and Plant Density. Open Agric. 2019, 4, 267–274. [Google Scholar] [CrossRef]
- Ayala, M.; Lang, G. Current Season Photoassimilate Distribution in Sweet Cherry. J. Am. Soc. Hortic. Sci. 2018, 143, 110–117. [Google Scholar] [CrossRef]
- Araujo, R.D.C.; Da Costa, A.L.P.; Pinto, J.B.; Da Silva, L.M.A.; Da Silva, G.A. Seasonal and Pluviometric Effects on the Phenolic Compound Composition and Antioxidant Potential of Licania macrophylla Benth (Chrysobalanaceae), a Medicinal Plant from the Amazon Rainforest. Braz. J. Pharm. Sci. 2022, 58, e19558. [Google Scholar] [CrossRef]
- Srivastava, A.K.; Mishra, P.; Mishra, A.K. Effect of Climate Change on Plant Secondary Metabolism: An Ecological Perspective. In Evolutionary Diversity as a Source for Anticancer Molecules; Academic Press: Cambridge, MA, USA, 2020. [Google Scholar]
- Habibi, F.; Liu, T.; Shahid, M.A.; Schaffer, B.; Sarkhosh, A. Physiological, Biochemical, and Molecular Responses of Fruit Trees to Root Zone Hypoxia. Environ. Exp. Bot. 2023, 206, 105179. [Google Scholar] [CrossRef]
- Pimentel, P.; Almada, R.D.; Salvatierra, A.; Toro, G.; Arismendi, M.J.; Pino, M.T.; Sagredo, B.; Pinto, M. Physiological and Morphological Responses of Prunus Species with Different Degree of Tolerance to Long-Term Root Hypoxia. Sci. Hortic. 2014, 180, 14–23. [Google Scholar] [CrossRef]
- Pérez-Jiménez, M.; Hernández-Munuera, M.; Piñero, M.C.; López-Ortega, G.; del Amor, F.M. CO2 Effects on the Waterlogging Response of ‘Gisela 5’ and ‘Gisela 6’ (Prunus cerasus × Prunus canescens) Sweet Cherry (Prunus avium) Rootstocks. J. Plant Physiol. 2017, 213, 178–187. [Google Scholar] [CrossRef]
- Zhou, C.; Bai, T.; Wang, Y.; Wu, T.; Zhang, X.; Xu, X.; Han, Z. Morpholoical and Enzymatic Responses to Waterlogging in Three Prunus Species. Sci. Hortic. 2017, 221, 62–67. [Google Scholar] [CrossRef]
- Jia, L.; Qin, X.; Lyu, D.; Qin, S.; Zhang, P. ROS Production and Scavenging in Three Cherry Rootstocks under Short-Term Waterlogging Conditions. Sci. Hortic. 2019, 257, 108647. [Google Scholar] [CrossRef]
- Chia, S.Y.; Lim, M.W. A Critical Review on the Influence of Humidity for Plant Growth Forecasting. IOP Conf. Ser. Mater. Sci. Eng. 2022, 1257, 012001. [Google Scholar] [CrossRef]
- Sivritepe, N.; Erturk, U.; Yerlikaya, C.; Turkan, I.; Bor, M.; Ozdemir, F. Response of the Cherry Rootstock to Water Stress Induced In Vitro. Biol. Plant. 2008, 52, 573–576. [Google Scholar] [CrossRef]
- Cai, B.; Wang, H.; Liu, T.; Zhuang, W.; Wang, Z.; Qu, S.; Qin, Y. Effects of Gibberellins A4 on Budbreak, Antioxidant Enzymes’ Activity and Proline Content of Flower Buds in Sweet Cherry (Prunus avium). Acta Physiol. Plant. 2019, 41, 88. [Google Scholar] [CrossRef]
- Esitken, A. Use of Plant Growth Promoting Rhizobacteria in Horticultural Crops. In Bacteria in Agrobiology: Crop Ecosystems; Springer: Berlin/Heidelberg, Germany, 2011. [Google Scholar]
- Yao, S.; Merwin, I.A.; Bird, G.W.; Abawi, G.S.; Thies, J.E. Orchard Floor Management Practices That Maintain Vegetative or Biomass Groundcover Stimulate Soil Microbial Activity and Alter Soil Microbial Community Composition. Plant Soil 2005, 271, 377–389. [Google Scholar] [CrossRef]
- Morales-Olmedo, M.G.; Sellés, G.; Pinto, M.; Ortiz, M. Full-Field Characterization of Sweet Cherry Rootstocks: Responses to Soil with Different Air-Filled Porosities. Plant Soil 2021, 469, 457–473. [Google Scholar] [CrossRef]
- Vilkickyte, G.; Raudone, L.; Milella, L. Phenological and Geographical Effects on Phenolic and Triterpenoid Content in Vaccinium vitis-idaea L. Leaves. Plants 2021, 10, 1986. [Google Scholar] [CrossRef]
- Sivaci, A.; Duman, S. Evaluation of Seasonal Antioxidant Activity and Total Phenolic Compounds in Stems and Leaves of Some Almond (Prunus amygdalus L.) Varieties. Biol. Res. 2014, 47, 9. [Google Scholar] [CrossRef]
- Yeasmen, N.; Orsat, V. Phenolic Mapping and Associated Antioxidant Activities Through the Annual Growth Cycle of Sugar Maple Leaves. Food Chem. 2023, 428, 136882. [Google Scholar] [CrossRef]
- Stampar, F.; Usenik, V.; Stampar, F. Influence of Scion/Rootstock Interaction on Seasonal Changes of Phenols. Phyton 2002, 42, 279–289. [Google Scholar]
- Griskeviciene, U.; Dambrauskiene, J.; Marksa, M.; Mazeliene, Z.; Vainoriene, R.; Ivanauskas, L. Effect of the Phenological Stage on the Phenolic Composition, and Antioxidant and Antimicrobial Properties of Cirsium vulgare (Savi) Ten. Extracts. Life 2024, 14, 1191. [Google Scholar] [CrossRef]
- Al Foraih, M.; Hyatt, S.L.; Naumovski, N.; Alasmari, H.A. Seasonal Variations in Dietary Flavonoid Content of Edible Plants Abbreviations CC BY-SA 4.0. J. High Inst. Public Health 2023, 53, 38–45. [Google Scholar] [CrossRef]
- Ugur, Y.; Erdogan, S.; Yilmaz, I.; Basgel, S. Variation of Composition of Phenolic Compounds in the Apricot (Prunus armeniaca L.) Leaves by Seasons. J. Nat. Prod. Plant Resour. 2018, 8, 33–39. [Google Scholar]
- Szpadzik, E.; Krupa, T.; Niemiec, W.; Jadczuk-Tobjasz, E. Yielding and Fruit Quality of Selected Sweet Cherry (Prunus avium) Cultivars in the Conditions of Central Poland. Acta Sci. Pol. Hortorum Cultus 2019, 18, 117–126. [Google Scholar] [CrossRef]
- Mattila, H.; Khorobrykh, S.; Tyystjärvi, E. Flavonols Do Not Affect Aphid Load in Green or Senescing Birch Leaves but Coincide with a Decrease in Photosystem II Functionality. Biol. Open 2024, 13, bio060325. [Google Scholar] [CrossRef] [PubMed]
- Baldermann, S.; Homann, T.; Neugart, S.; Chmielewski, F.M.; Tz, K.P.G.; Deke, K.G.; Huschek, G.; Morlock, G.E.; Rawel, H.M. Selected Plant Metabolites Involved in Oxidation-Reduction Processes during Bud Dormancy and Ontogenetic Development in Sweet Cherry Buds (Prunus avium L.). Molecules 2018, 23, 1197. [Google Scholar] [CrossRef]






Disclaimer/Publisher’s Note: The statements, opinions and data contained in all publications are solely those of the individual author(s) and contributor(s) and not of MDPI and/or the editor(s). MDPI and/or the editor(s) disclaim responsibility for any injury to people or property resulting from any ideas, methods, instructions or products referred to in the content. |
© 2024 by the authors. Licensee MDPI, Basel, Switzerland. This article is an open access article distributed under the terms and conditions of the Creative Commons Attribution (CC BY) license (https://creativecommons.org/licenses/by/4.0/).
Share and Cite
Kubes, J.; Hnilicka, F.; Vachova, P.; Kudrna, J.; Tunklova, B.; Mrkacek, M.; Rygl, T. Changes in Secondary Metabolites Content and Antioxidant Enzymes Activity in Leaves of Two Prunus avium L. Genotypes During Various Phenological Phases. Life 2024, 14, 1567. https://doi.org/10.3390/life14121567
Kubes J, Hnilicka F, Vachova P, Kudrna J, Tunklova B, Mrkacek M, Rygl T. Changes in Secondary Metabolites Content and Antioxidant Enzymes Activity in Leaves of Two Prunus avium L. Genotypes During Various Phenological Phases. Life. 2024; 14(12):1567. https://doi.org/10.3390/life14121567
Chicago/Turabian StyleKubes, Jan, Frantisek Hnilicka, Pavla Vachova, Jiri Kudrna, Barbora Tunklova, Miloslav Mrkacek, and Tomas Rygl. 2024. "Changes in Secondary Metabolites Content and Antioxidant Enzymes Activity in Leaves of Two Prunus avium L. Genotypes During Various Phenological Phases" Life 14, no. 12: 1567. https://doi.org/10.3390/life14121567
APA StyleKubes, J., Hnilicka, F., Vachova, P., Kudrna, J., Tunklova, B., Mrkacek, M., & Rygl, T. (2024). Changes in Secondary Metabolites Content and Antioxidant Enzymes Activity in Leaves of Two Prunus avium L. Genotypes During Various Phenological Phases. Life, 14(12), 1567. https://doi.org/10.3390/life14121567

