Impacts of Partial Substitution of Chemical Fertilizer with Organic Fertilizer on Soil Organic Carbon Composition, Enzyme Activity, and Grain Yield in Wheat–Maize Rotation
Abstract
:1. Introduction
2. Materials and Methods
2.1. Characterization of the Research Area and Soil Properties
2.2. Experimental Design, Cropping Practices, and Treatments
2.3. Data Collection
2.3.1. Sample Collection
2.3.2. Determination of Soil Enzyme Activity
2.3.3. Determination of Soil Organic Carbon Composition and pH
2.3.4. Measurements of the Grain Yields
2.4. Statistical Analysis
3. Results
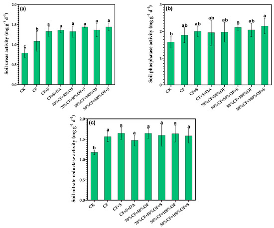
3.1. The Effect of a Partial Replacement of Chemical Fertilizer with Organic Manure on Soil Enzyme Activity
3.2. The Effect of a Partial Replacement of Chemical Fertilizer with Organic Manure on Soil pH and Soil Total Organic Carbon Content
3.3. The Effect of a Partial Replacement of Chemical Fertilizer with Organic Manure on Humus Carbon Fractions in Soil
3.4. The Effect of a Partial Replacement of Chemical Fertilizer with Organic Manure on Active Organic Carbon Fractions in Soil
3.5. The Effect of a Partial Replacement of Chemical Fertilizer with Organic Manure on Yields of Maize and Wheat
3.6. Correlation Analysis of Organic Carbon Components and Enzyme Activity in the Soil
4. Discussion
4.1. Soil Enzyme Activity
4.2. Soil Acidification
4.3. Total Organic Carbon and Humus Carbon Fractions in Soil
4.4. Grain Production of Maize and Wheat
5. Conclusions
Author Contributions
Funding
Institutional Review Board Statement
Informed Consent Statement
Data Availability Statement
Conflicts of Interest
References
- Cong, R.H.; Zhang, Z.; Lu, J.W.; Li, X.K.; Tao, R.E.N.; Wang, W.N. Evaluation of nitrogen requirement and efficiency of rice in the region of yangtze river valley based on large-scale field experiments. J. Integr. Agric. 2015, 14, 2090–2098. [Google Scholar] [CrossRef]
- Ghosh, B.; Singh, R.J.; Mishra, P. Retracted chapter: Soil and input management options for increasing nutrient use efficiency. In Nutrient Use EFFiciency: From Basics to Advances; Springer: Berlin/Heidelberg, Germany, 2015; pp. 17–27. [Google Scholar]
- Alhaj Hamoud, Y.; Guo, X.; Wang, Z.; Shaghaleh, H.; Chen, S.; Hassan, A.; Bakour, A. Effects of irrigation regime and soil clay content and their interaction on the biological yield, nitrogen uptake and nitrogen-use efficiency of rice grown in southern china. Agric. Water Manag. 2019, 213, 934–946. [Google Scholar] [CrossRef]
- Alhaj Hamoud, Y.; Shaghaleh, H.; Sheteiwy, M.; Guo, X.; Elshaikh, N.A.; Ullah Khan, N.; Oumarou, A.; Rahim, S.F. Impact of alternative wetting and soil drying and soil clay content on the morphological and physiological traits of rice roots and their relationships to yield and nutrient use-efficiency. Agric. Water Manag. 2019, 223, 105706. [Google Scholar] [CrossRef]
- Yingxin, X.; Haiyang, J.; Qingyang, M.; Yonghua, W.; Chenyang, W.; Dexian, H.; Tiancai, G. Deep tillage improving physical and chemical properties of soil and increasing grain yield of winter wheat in lime concretion black soil farmland. Trans. Chin. Soc. Agric. Eng. 2015, 31, 167–173. [Google Scholar]
- Xiang, G.; Yi, Z.; Congjun, Z.; Shiyon, C.; Jianfei, W.; Xiaoliang, L. Effects of organic materials and chemical fertilizer application on soil fertility and maize yield in lime concretion black soil. In Proceedings of the 12th Conference of China Soil Science Society of China, Sichuan, China, 20–22 August 2012; Electronic Science and Technology University Press: Chengdu, China, 2012; pp. 991–997. [Google Scholar]
- Prasad, R.; Shivay, Y.S.; Kumar, D. Current status, challenges, and opportunities in rice production. In Rice Production Worldwide; Springer: Berlin/Heidelberg, Germany, 2017; pp. 1–32. [Google Scholar]
- Peng, S.; Buresh, R.J.; Huang, J.; Zhong, X.; Zou, Y.; Yang, J.; Wang, G.; Liu, Y.; Hu, R.; Tang, Q. Improving nitrogen fertilization in rice by site-specific n management. A review. Agron. Sustain. Dev. 2010, 30, 649–656. [Google Scholar] [CrossRef]
- Cao, H.; Sun, H.; Yang, H. A review: Soil enzyme activity and its indication for soil quality. Chin. J. Appl. Environ. Biol. 2003, 9, 105–109. [Google Scholar]
- Park, J.H.; Meusburger, K.; Jang, I.; Kang, H.; Alewell, C. Erosion-induced changes in soil biogeochemical and microbiological properties in swiss alpine grasslands. Soil Biol. Biochem. 2014, 69, 382–392. [Google Scholar] [CrossRef]
- García, C.; Montero, G.; Coronado, M.; Torres, R.; Vázquez, A.; Ayala, J.; León, J.; Sagaste, C. Power generation estimation from wheat straw in mexico. Energy Sustain. VI WIT Trans. Ecol. Environ 2015, 195, 101–110. [Google Scholar]
- Shaghaleh, H.; Xu, X.; Liu, H.; Wang, S.; Hamoud, Y.A.; Dong, F.; Luo, J. The effect of atmospheric pressure plasma pretreatment with various gases on the structural characteristics and chemical composition of wheat straw and applications to enzymatic hydrolysis. Energy 2019, 176, 195–210. [Google Scholar] [CrossRef]
- Jin, X.; Zuo, Q.; Ma, W.; Li, S.; Shi, J.; Tao, Y.; Zhang, Y.; Liu, Y.; Liu, X.; Lin, S. Water consumption and water-saving characteristics of a ground cover rice production system. J. Hydrol. 2016, 540, 220–231. [Google Scholar] [CrossRef]
- Zhang, Y.; Liu, M.; Dannenmann, M.; Tao, Y.; Yao, Z.; Jing, R.; Zheng, X.; Butterbach-Bahl, K.; Lin, S. Benefit of using biodegradable film on rice grain yield and n use efficiency in ground cover rice production system. Field Crops Res. 2017, 201, 52–59. [Google Scholar] [CrossRef]
- Chen, S.; Wang, Z.; Guo, X.; Rasool, G.; Zhang, J.; Xie, Y.; Yousef, A.H.; Shao, G. Effects of vertically heterogeneous soil salinity on tomato photosynthesis and related physiological parameters. Sci. Hortic. 2019, 249, 120–130. [Google Scholar] [CrossRef]
- Kaur, J.; Bons, H.K. Mulching: A viable option to increase productivity of field and fruit crops. J. Appl. Nat. Sci. 2017, 9, 974–982. [Google Scholar] [CrossRef]
- Wu, L. Formation and evolution of vertisols in huaibei plain. Acta Pedol. Sin. 1991, 1, 13. [Google Scholar]
- Lu, R. Analysis of Soil Nutrients. In Analytical Methods of Soil & Agricultural Chemistry; China Agricultural Science and Technology Press: Beijing, China, 1999. [Google Scholar]
- Jiang, P.K.; Xu, Q.F.; Xu, Z.H.; Cao, Z.H. Seasonal changes in soil labile organic carbon pools within a phyllostachys praecox stand under high rate fertilization and winter mulch in subtropical china. For. Ecol. Manag. 2006, 236, 30–36. [Google Scholar] [CrossRef]
- Bankó, L.; Tóth, G.; Marton, C.L.; Hoffmann, S. Hot-water extractable c and n as indicators for 4p1000 goals in a temperate-climate long-term field experiment: A case study from hungary. Ecol. Indic. 2021, 126, 107364. [Google Scholar] [CrossRef]
- Shi-Qi, C.; Sheng, L.; Ming, G.; Rong, H. Characteristics of soil organic carbon and mineralization with different stands in jinyun mountain. Environ. Sci. 2019, 40, 953–960. [Google Scholar]
- Blair, G.; Lefroy, R.; Lisle, L. Soil carbon fractions based on their degree of oxidation, and the development of a carbon management index for agricultural systems. Aust. J. Agric. Res. 1995, 46, 1459–1466. [Google Scholar] [CrossRef]
- Wenshan, S.; Guoqi, L.I. Research progress of soil enzymes function and its determination method. Northern Hortic. 2016, 9, 188–193. [Google Scholar]
- Ed-Haun, C.; Ren-Shih, C.; Yuong-How, T. Effect of different application rates of organic fertilizer on soil enzyme activity and microbial population (soil biology). Soil Sci. Plant Nutr. 2007, 53, 132–140. [Google Scholar]
- Bai, X.; Zeng, Q.; Fakher, A.; Dong, Y.; An, S. Characteristics of soil enzyme activities and microbial biomass carbon and nitrogen under different vegetation zones on the loess plateau, china. Arid. Land Res. Manag. 2018, 32, 438–454. [Google Scholar] [CrossRef]
- Malhi, S.S.; Nyborg, M.; Solberg, E.D.; Mcconkey, B.; Dyck, M.; Puurveen, D. Long-term straw management and n fertilizer rate effects on quantity and quality of organic c and n and some chemical properties in two contrasting soils in western canada. Biol. Fertil. Soils 2011, 47, 785–800. [Google Scholar] [CrossRef]
- Wang, J.; Mao, X.; Wu, M.; Li, D.; Zhang, P.; Wang, S. Effects of different nitrogen application rates on rice straw decomposition, rice-after wheat yield and soil nutrient. Acta Agric. Jiangxi 2017, 29, 54–57. [Google Scholar]
- Hamoud, Y.A.; Shaghaleh, H.; Wang, R.; Gouertoumbo, W.F.; Hamad, A.A.A.; Sheteiwy, M.S.; Wang, Z.; Xiangping, G. Wheat straw burial improves physiological traits, yield and grain quality of rice by regulating antioxidant system and nitrogen assimilation enzymes under alternate wetting and drying irrigation. Rice Sci. 2022, 29, 473–488. [Google Scholar] [CrossRef]
- Guo, J.H.; Liu, X.J.; Zhang, Y.; Shen, J.L.; Han, W.X.; Zhang, W.F.; Christie, P.; Goulding, K.W.T.; Vitousek, P.M.; Zhang, F.S. Significant acidification in major chinese croplands. Science 2010, 327, 1008–1010. [Google Scholar] [CrossRef] [PubMed]
- Hornung, M.; Rengel, Z. (Eds.) Handbook of Soil Acidity; Marcel Dekker: New York, NY, USA, 2003; Volume 56, pp. 276–277. ISBN 0-8247-0890-3. [Google Scholar]
- Zhang, J.J.; Dou, S.; Zhu, P.; Gao, H.J.; Wang, L.C. Effect of long-term application of organic fertilizer on structural characteristics of humin in black soil-a solid-state 13c nmr study. Sci. Agric. Sin. 2009, 42, 2223–2228. [Google Scholar]
- Liu, Y.X.; Wang, Y.F.; Lü, H.-H.; Chen, Y.; Yang, S.M. Effects of biochar application on greenhouse gas emission from paddy soil and its physical and chemical properties. Ying Yong Sheng Tai Xue Bao 2013, 24, 2166–2172. [Google Scholar] [PubMed]
- Ji-Dong, W.; Hui, Z.; Yong-Chun, Z.; Xian-Ju, X.U.; Yun-Wang, N.; Hong-Bo, M.A.; Jie, C. Effect of different ratios of chicken manure n on organic matter accumulation and acidification of paddy soils. J. Plant Nutr. Fertil. 2014, 20, 1178–1185. [Google Scholar]
- Fan, W.; Wu, J.; Li, J.; He, R.; Wang, C. Effects of straw return on soil physico-chemical properties of chernozem in northeast china and maize yield therein. Acta Pedol. Sin. 2018, 55, 835–846. [Google Scholar]
- Šimon, T. Quantitative and qualitative characterization of soil organic matter in the long-term fallow experiment with different fertilization and tillage. Arch. Agron. Soil Sci. 2007, 53, 241–251. [Google Scholar] [CrossRef]
- Xiaodong, C.; Jinggui, W.U.; Wei, F.; Wenyue, Z.; Xiaohang, L.I. Effects of different organic materials on the morphology and composition of soil humus binding in primary saline and alkaline land. J. Soil Water Conserv. 2019, 33, 200–205. [Google Scholar]
- Huang, R.; Lan, T.; Song, X.; Li, J.; Zeng, M. Soil labile organic carbon impacts c:N:P stoichiometry in urban park green spaces depending on vegetation types and time after planting. Appl. Soil Ecol. 2021, 163, 103926. [Google Scholar] [CrossRef]
- Wan, H.; Jian-Fu, W.U.; Xiao-Hua, P.; Xue-Ming, T.; Yong-Jun, Z.; Qing-Hua, S.; Tao-Ju, L.; Yan-Hua, Z. Effects of long-term straw return on soil organic carbon fractions and enzyme activities in a double-cropped rice paddy in south china. J. Integr. Agric. 2021, 20, 236–247. [Google Scholar]
- Dou, F.; Soriano, J.; Tabien, R.E.; Chen, K. Soil texture and cultivar effects on rice (Oryza sativa L.) grain yield, yield components and water productivity in three water regimes. PLoS ONE 2016, 11, e0150549. [Google Scholar] [CrossRef]
- Alfadil, A.A.; Xia, J.; Shaghaleh, H.; Alhaj Hamoud, Y.; Ibrahim, J.N.; Hamad, A.A.A.; Fahad Rahim, S.; Sheteiwy, M.S.; Wu, T. Wheat straw biochar application improves the morphological, physiological, and yield attributes of maize and the physicochemical properties of soil under deficit irrigation and salinity stress. J. Plant Nutr. 2021, 44, 2399–2420. [Google Scholar] [CrossRef]
- Alfadil, A.A.; Shaghaleh, H.; Alhaj Hamoud, Y.; Xia, J.; Wu, T.; Hamad, A.A.A.; Wang, Y.; Oumarou Abdoulaye, A.; Sheteiwy, M.S. Straw biochar-induced modification of the soil physical properties enhances growth, yield and water productivity of maize under deficit irrigation. Commun. Soil Sci. Plant Anal. 2021, 52, 1954–1970. [Google Scholar] [CrossRef]





| Abbrev. | Treatment | Type and Dosage of Fertilizer (kg·hm−2) | |||||
|---|---|---|---|---|---|---|---|
| N | P2O5 | K2O | Straw Return | Organic Fertilizer | Straw Decay Agent | ||
| CK | Check | 0 | 0 | 0 | 0 | 0 | 0 |
| CF | Chemical fertilizer | 652.17 | 750 | 200 | 0 | ||
| CF + S | Chemical fertilizer + straw returning | 652.17 | 750 | 200 | Full dose | 0 | 0 |
| CF + S + DA | Chemical fertilizer + straw returning + straw decay agent | 652.17 | 750 | 200 | Full dose | 0 | 150 |
| 70% CF + 50% OF | 70% chemical fertilizer + 200 organic fertilizer | 456.52 | 525 | 140 | 0 | 3000 | 0 |
| 70% CF + 50% OF + S | 70% chemical fertilizer + 200 organic fertilizer + straw returning | 456.52 | 525 | 140 | Full dose | 3000 | 0 |
| 50% CF + 100% OF | 50% chemical fertilizer + 400 organic fertilizer | 326.09 | 375 | 100 | 0 | 6000 | 0 |
| 50% CF + 100% OF + S | 50% chemical fertilizer + 400 organic fertilizer + straw returning | 326.09 | 375 | 100 | Full dose | 6000 | 0 |
| Treatment | Humic/Fulvic Acid (HA/FA, %) | Humic Acid/TOC (HA/TOC, %) | Fulvic Acid/TOC (FA/TOC, %) | Humin/TOC (HM/TOC, %) |
|---|---|---|---|---|
| CK | 51.85% ± 0.03 d | 15.32% ± 0.02 b | 29.52% ± 0.02 a | 55.17% ± 0.04 a |
| CF | 55.47% ± 0.02 c | 16.60% ± 0.01 ab | 29.92% ± 0.02 a | 53.48% ± 0.03 a |
| CF + S | 58.80% ± 0.01 b | 18.05% ± 0.02 a | 30.66% ± 0.04 a | 51.29% ± 0.06 a |
| CF + S + DA | 58.17% ± 0.01 b | 17.74% ± 0.01 a | 30.48% ± 0.01 a | 51.79% ± 0.02 a |
| 70% CF + 50% OF | 57.98% ± 0.02 b | 17.39% ± 0.01 a | 29.97% ± 0.01 a | 52.64% ± 0.02 a |
| 70% CF + 50% OF + S | 59.85% ± 0.01 ab | 17.62% ± 0.01 a | 29.44% ± 0.01 a | 52.95% ± 0.01 a |
| 50% CF + 100% OF | 59.65% ± 0.01 ab | 18.42% ± 0.00 a | 30.88% ± 0.01 a | 50.70% ± 0.01 a |
| 50% CF + 100% OF + S | 61.45% ± 0.01 a | 17.65% ± 0.01 a | 28.71% ± 0.02 a | 53.64% ± 0.03 a |
| Soil Indicator | Urease Activity | Phosphatase Activity | NR Activity | pH | TOC | HA | FA | HM | DOC | POC | EOC | HA/FA | HA/TOC | FA/TOC | HM/TOC |
|---|---|---|---|---|---|---|---|---|---|---|---|---|---|---|---|
| Urease | 1 | ||||||||||||||
| Phosphatase | 0.411 * | 1 | |||||||||||||
| NR | 0.445 * | 0.335 | 1 | ||||||||||||
| pH | −0.534 ** | −0.356 * | −0.381 * | 1 | |||||||||||
| TOC | 0.841 ** | 0.455 ** | 0.410 * | −0.423 * | 1 | ||||||||||
| HA | 0.823 ** | 0.553 ** | 0.490 ** | −0.440 * | 0.949 ** | 1 | |||||||||
| FA | 0.825 ** | 0.556 ** | 0.492 ** | −0.440 * | 0.948 ** | 1.000 ** | 1 | ||||||||
| HM | 0.783 ** | 0.329 | 0.303 | −0.372 * | 0.960 ** | 0.822 ** | 0.820 ** | 1 | |||||||
| DOC | 0.207 | 0.330 | 0.020 | 0.042 | 0.520 ** | 0.552 ** | 0.548 ** | 0.451 ** | 1 | ||||||
| POC | 0.786 ** | 0.451 ** | 0.364 * | −0.459 ** | 0.946 ** | 0.894 ** | 0.893 ** | 0.911 ** | 0.513 ** | 1 | |||||
| EOC | 0.516 ** | 0.178 | 0.300 | −0.417 * | 0.496 ** | 0.546 ** | 0.549 ** | 0.408 * | 0.232 | 0.501 ** | 1 | ||||
| HA/FA | 0.854 ** | 0.576 ** | 0.520 ** | −0.526 ** | 0.913 ** | 0.976 ** | 0.976 ** | 0.779 ** | 0.452 ** | 0.866 ** | 0.555 ** | 1 | |||
| HA/TOC | 0.438 * | 0.542 ** | 0.449 ** | −0.348 | 0.398 * | 0.662 ** | 0.665 ** | 0.130 | 0.332 | 0.381 * | 0.436 * | 0.707 ** | 1 | ||
| FA/TOC | −0.147 | 0.246 | 0.161 | −0.0219 | −0.251 | 0.063 | 0.066 | −0.507 ** | 0.068 | −0.229 | 0.111 | 0.103 | 0.776 ** | 1 | |
| HM/TOC | −0.122 | 0-.401 * | −0.307 | 0.178 | −0.043 | −0.352 * | −0.355 * | 0.235 | −0.198 | −0.047 | −0.272 | −0.396 * | −0.929 ** | −0.954 ** | 1 |
Disclaimer/Publisher’s Note: The statements, opinions and data contained in all publications are solely those of the individual author(s) and contributor(s) and not of MDPI and/or the editor(s). MDPI and/or the editor(s) disclaim responsibility for any injury to people or property resulting from any ideas, methods, instructions or products referred to in the content. |
© 2023 by the authors. Licensee MDPI, Basel, Switzerland. This article is an open access article distributed under the terms and conditions of the Creative Commons Attribution (CC BY) license (https://creativecommons.org/licenses/by/4.0/).
Share and Cite
Li, X.; Fang, J.; Shagahaleh, H.; Wang, J.; Hamad, A.A.A.; Alhaj Hamoud, Y. Impacts of Partial Substitution of Chemical Fertilizer with Organic Fertilizer on Soil Organic Carbon Composition, Enzyme Activity, and Grain Yield in Wheat–Maize Rotation. Life 2023, 13, 1929. https://doi.org/10.3390/life13091929
Li X, Fang J, Shagahaleh H, Wang J, Hamad AAA, Alhaj Hamoud Y. Impacts of Partial Substitution of Chemical Fertilizer with Organic Fertilizer on Soil Organic Carbon Composition, Enzyme Activity, and Grain Yield in Wheat–Maize Rotation. Life. 2023; 13(9):1929. https://doi.org/10.3390/life13091929
Chicago/Turabian StyleLi, Xiaoliang, Junchao Fang, Hiba Shagahaleh, Jianfei Wang, Amar Ali Adam Hamad, and Yousef Alhaj Hamoud. 2023. "Impacts of Partial Substitution of Chemical Fertilizer with Organic Fertilizer on Soil Organic Carbon Composition, Enzyme Activity, and Grain Yield in Wheat–Maize Rotation" Life 13, no. 9: 1929. https://doi.org/10.3390/life13091929
APA StyleLi, X., Fang, J., Shagahaleh, H., Wang, J., Hamad, A. A. A., & Alhaj Hamoud, Y. (2023). Impacts of Partial Substitution of Chemical Fertilizer with Organic Fertilizer on Soil Organic Carbon Composition, Enzyme Activity, and Grain Yield in Wheat–Maize Rotation. Life, 13(9), 1929. https://doi.org/10.3390/life13091929

