Catecholamine Involvement in the Bioluminescence Control of Two Species of Anthozoans
Abstract
1. Introduction
2. Materials and Methods
2.1. Specimen Collection
2.2. Dissection
2.3. Evaluation of Luminescence Capability
2.4. KCl and Pharmacological Assays
2.5. Statistical Analysis
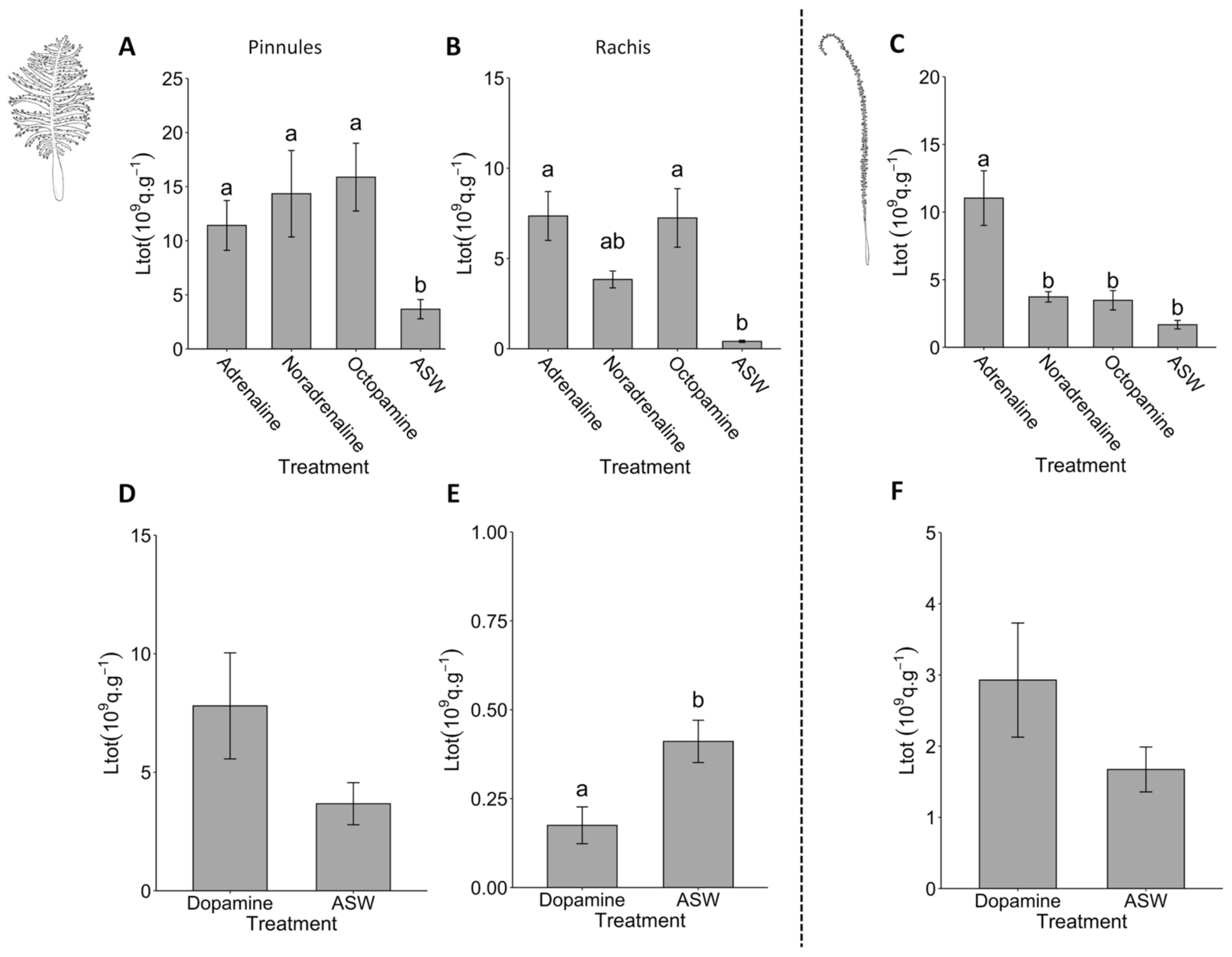
3. Results
3.1. Bioluminescence Characterization
3.2. Effects of 6-OHDA
3.3. Effects of Catecholamines
4. Discussion
Supplementary Materials
Author Contributions
Funding
Institutional Review Board Statement
Informed Consent Statement
Data Availability Statement
Acknowledgments
Conflicts of Interest
References
- Haddock, S.H.D.; Moline, M.A.; Case, J.F. Bioluminescence in the sea. Annu. Rev. Mar. Sci. 2010, 2, 443–493. [Google Scholar] [CrossRef]
- Martini, S.; Haddock, S.H.D. Quantification of bioluminescence from the surface to the deep sea demonstrates its predominance as an ecological trait. Sci. Rep. 2017, 7, 45750. [Google Scholar] [CrossRef]
- Bessho-Uehara, M.; Francis, W.R.; Haddock, S.H.D. Biochemical characterization of diverse deep-sea anthozoan bioluminescence systems. Mar. Biol. 2020, 167, 114. [Google Scholar] [CrossRef]
- Cormier, M.J. Studies of the bioluminescence of Renilla reniformis: I. Requirements for luminescence in extracts and characteristics of the system. Biochim. Biophys. Acta 1960, 42, 333–343. [Google Scholar] [CrossRef] [PubMed]
- Matthews, J.C.; Hori, K.; Cormier, M.J. Purification and properties of Renilla reniformis luciferase. Biochemistry 1977, 16, 85–91. [Google Scholar] [CrossRef] [PubMed]
- Lorenz, W.W.; McCann, R.O.; Longiaru, M.; Cormier, M.J. Isolation and expression of a cDNA encoding Renilla reniformis luciferase. Proc. Natl. Acad. Sci. USA 1991, 88, 4438–4442. [Google Scholar] [CrossRef] [PubMed]
- Loening, A.M.; Fenn, T.D.; Gambhir, S.S. Crystal structures of the luciferase and green fluorescent protein from Renilla reniformis. J. Mol. Biol. 2007, 374, 1017–1028. [Google Scholar] [CrossRef] [PubMed]
- Schenkmayerova, A.; Toul, M.; Pluskal, D.; Baatallah, R.; Gagnot, G.; Pinto, G.P.; Santana, V.T.; Stuchla, M.; Neugebauer, P.; Chaiyen, P.; et al. Catalytic mechanism for Renilla-type luciferases. Nat. Catal. 2023, 6, 23–38. [Google Scholar] [CrossRef]
- Titushin, M.S.; Markova, S.V.; Frank, L.A.; Malikova, N.P.; Stepanyuk, G.A.; Lee, J.; Vysotski, E.S. Coelenterazine-binding protein of Renilla muelleri: cDNA cloning, overexpression, and characterization as a substrate of luciferase. Photochem. Photobiol. Sci. 2008, 7, 189–196. [Google Scholar] [CrossRef]
- Hastings, J.W.; Morin, J.G. Calcium-triggered light emission in Renilla. A unitary biochemical scheme for coelenterate bioluminescence. Biochem. Biophys. Res. Commun. 1969, 37, 493–498. [Google Scholar] [CrossRef]
- Nicol, J.A.C. Observations on luminescence in Renilla (Pennatulacea). J. Exp. Biol. 1955, 32, 299–320. [Google Scholar] [CrossRef]
- Davenport, D.; Nicol, J.A.C. Observations on luminescence in sea pens (Pennatulacea). Proc. R. Soc. B 1956, 144, 480–496. [Google Scholar] [CrossRef]
- Wampler, J.E.; Karkhanis, Y.D.; Morin, J.G.; Cormier, M.J. Similarities in the bioluminescence from the Pennatulacea. Biochim. Biophys. Acta 1973, 314, 104–109. [Google Scholar] [CrossRef] [PubMed]
- Shimomura, O. Bioluminescence: Chemical Principles and Methods; World Scientific: Singapore, 2012. [Google Scholar]
- Delroisse, J.; Duchatelet, L.; Flammang, P.; Mallefet, J. Leaving the dark side? Insights into the evolution of luciferases. Front. Mar. Sci. 2021, 8, 673620. [Google Scholar] [CrossRef]
- Delroisse, J.; Ullrich-Lüter, E.; Blaue, S.; Ortega-Martinez, O.; Eeckhaut, I.; Flammang, P.; Mallefet, J. A puzzling homology: A brittle star using a putative cnidarian-type luciferase for bioluminescence. Open Biol. 2017, 7, 160300. [Google Scholar] [CrossRef] [PubMed]
- Tessler, M.; Gaffney, J.P.; Oliveira, A.G.; Guarnaccia, A.; Dobi, K.C.; Gujarati, N.A.; Galbraith, M.; Mirza, J.D.; Sparks, J.S.; Pieribone, V.A.; et al. A putative chordate luciferase from a cosmopolitan tunicate indicates convergent bioluminescence evolution across phyla. Sci. Rep. 2020, 10, 17724. [Google Scholar] [CrossRef] [PubMed]
- Cormier, M.J.; Hori, K.; Karkhanis, Y.D.; Anderson, J.M.; Wampler, J.E.; Morin, J.G.; Hastings, J.W. Evidence for similar biochemical requirements for bioluminescence among coelenterates. J. Cell. Physiol. 1973, 81, 291–297. [Google Scholar] [CrossRef]
- Inoue, S.; Kakoi, H.; Murata, M.; Goto, T.; Shimomura, O. Complete structure of Renilla luciferin and luciferyl sulfate. Tetrahedron Lett. 1977, 18, 2685–2688. [Google Scholar] [CrossRef]
- Ward, W.W.; Cormier, M.J. Energy transfer protein in coelenterate bioluminescence. J. Biol. Chem. 1979, 254, 781–788. [Google Scholar] [CrossRef]
- Inouye, S. Expression, purification and characterization of calcium-triggered luciferin-binding protein of Renilla reniformis. Protein Expr. Purif. 2007, 52, 66–73. [Google Scholar] [CrossRef]
- Ogoh, K.; Kinebuchi, T.; Murai, M.; Takahashi, T.; Ohmiya, Y.; Suzuki, H. Dual-color-emitting green fluorescent protein from the sea cactus Cavernularia obesa and its use as a pH indicator for fluorescent microscopy. Luminescence 2013, 28, 582–591. [Google Scholar] [CrossRef] [PubMed]
- Kumar, J.S.Y.; Raghunathan, C.; Venkataraman, K. New records of octocorallia (order: Pennatulacea) from Indian waters. Int. J. Appl. Biol. Pharm. Technol. 2014, 5, 52–56. [Google Scholar]
- Kudryavtsev, A.N.; Krasitskaya, V.V.; Efremov, M.K.; Zangeeva, S.V.; Rogova, A.V.; Tomilin, F.X.; Frank, L.A. Ca2+-triggered coelenterazine-binding protein Renilla: Expected and unexpected features. Int. J. Mol. Sci. 2023, 24, 2144. [Google Scholar] [CrossRef] [PubMed]
- Case, J.F.; Strause, L.G. Neurally controlled luminescent systems. In Bioluminescence in Action; Herring, P.J., Ed.; Academic Press: London, UK, 1978; pp. 331–366. [Google Scholar]
- Duchatelet, L.; Claes, J.M.; Delroisse, J.; Flammang, P.; Mallefet, J. Glow on sharks: State of the art on bioluminescence research. Oceans 2021, 2, 822–842. [Google Scholar] [CrossRef]
- Nicol, J.A.C. Observations on photophores and luminescence in the teleost. Porichthys. J. Cell Sci. 1957, 3, 179–188. [Google Scholar] [CrossRef]
- Baguet, F.; Case, J.F. Luminescence control in Porichthys (Teleostei): Excitation of isolated photophores. Biol. Bull. 1971, 140, 15–27. [Google Scholar] [CrossRef]
- Anctil, M.; Case, J.F. Pharmacomorphological study of denervation induced by 6-hydroxydopamine in Porichthys photophores. Cell Tiss. Res. 1976, 166, 365–388. [Google Scholar] [CrossRef]
- Christophe, B.; Baguet, F. Luminescence of isolated photocytes from Porichthys photophores: Adrenergic stimulation. J. Exp. Biol. 1983, 104, 183–192. [Google Scholar] [CrossRef]
- Lariviére, L.; Anctil, M. A comparative analysis of noradrenaline and adrenaline uptake in photophores of the midshipman fish, Porichthys notatus: Kinetics and pharmacology. Comp. Biochem. Physiol. C 1986, 85, 335–339. [Google Scholar] [CrossRef]
- Hashemzadeh, H.; Hollingworth, R.M.; Voliva, A. Receptor for 3H-octopamine in the adult firefly light organ. Life Sci. 1985, 37, 433–440. [Google Scholar] [CrossRef]
- Trimmer, B.A.; Aprille, J.R.; Dudzinski, D.M.; Lagace, C.J.; Lewis, S.M.; Michel, T.; Qazi, S.; Zayas, R.M. Nitric oxide and the control of firefly flashing. Science 2001, 292, 2486–2488. [Google Scholar] [CrossRef] [PubMed]
- Krönström, J.; Dupont, S.; Mallefet, J.; Thorndyke, M.; Holmgren, S. Serotonin and nitric oxide interaction in the control of bioluminescence in northern krill, Meganyctiphanes norvegica (M. Sars). J. Exp. Biol. 2007, 210, 3179–3187. [Google Scholar] [CrossRef]
- Awad, E.W.; Anctil, M. Identification of β-like adrenoceptors associated with bioluminescence in the sea pansy Renilla Koellikeri. J. Exp. Biol. 1993, 177, 181–200. [Google Scholar] [CrossRef]
- Vanderlinden, C.; Mallefet, J. Synergic effects of tryptamine and octopamine on ophiuroid luminescence (Echinodermata). J. Exp. Biol. 2004, 207, 3749–3756. [Google Scholar] [CrossRef]
- De Bremaeker, N.; Baguet, F.; Thorndyke, M.C.; Mallefet, J. Modulatory effects of some amino acids and neuropeptides on luminescence in the brittlestar Amphipholis squamata. J. Exp. Biol. 1999, 202, 1785–1791. [Google Scholar] [CrossRef] [PubMed]
- De Bremaeker, N.; Baguet, F.; Mallefet, J. Effects of catecholamines and purines on luminescence in the brittlestar Amphipholis squamata (Echinodermata). J. Exp. Biol. 2000, 203, 2015–2023. [Google Scholar] [CrossRef]
- Dupont, S.; Mallefet, J.; Vanderlinden, C. Effect of b-adrenergic antagonists on bioluminescence control in three species of brittlestars (Echinodermata: Ophiuroidea). Comp. Biochem. Physiol. C 2004, 138, 59–66. [Google Scholar] [CrossRef] [PubMed]
- Baguet, F.; Marechal, G. The stimulation of isolated photophores (Argyropelecus) by epinephrine and norepinephrine. Comp. Biochem. Physiol. C. 1978, 60, 137–143. [Google Scholar] [CrossRef]
- Baguet, F.; Christophe, B. Adrenergic stimulation of isolated photophores of Maurolicus muelleri. Comp. Biochem. Physiol. C 1983, 75, 79–84. [Google Scholar] [CrossRef]
- Mallefet, J.; Duchatelet, L.; Hermans, C.; Baguet, F. Luminescence control of Stomiidae photophores. Acta Histochem. 2019, 121, 7–15. [Google Scholar] [CrossRef]
- Gouveneaux, A.; Mallefet, J. Physiological control of bioluminescence in a deep-sea planktonic worm, Tomopteris helgolandica. J. Exp. Biol. 2013, 216, 4285–4289. [Google Scholar] [CrossRef] [PubMed]
- Dewael, Y.; Mallefet, J. Luminescence in ophiuroids (Echinodermata) does not share common nervous control in all species. J. Exp. Biol. 2002, 205, 799–806. [Google Scholar] [CrossRef]
- Anctil, M. Stimulation of bioluminescence in lanternfishes (Myctophidae). II. Can. J. Zool. 1972, 50, 233–237. [Google Scholar] [CrossRef]
- Krönström, J.; Mallefet, J. Evidence for a widespread involvement of NO in control of photogenesis in bioluminescent fishes. Acta Zool. 2010, 91, 474–483. [Google Scholar] [CrossRef]
- Hastings, J.W.; Morin, J.G. Bioluminescence. In Neural and Integrative Animal Physiology; Prosser, C.L., Ed.; Wiley-Liss: New York, NY, USA, 1991; pp. 131–170. [Google Scholar]
- Paitio, J.; Oba, Y. Luminous fishes: Endocrine and neuronal regulation of bioluminescence. Fish. Aquac. J. 2023. [Google Scholar] [CrossRef]
- Anctil, M.; Boulay, D.; Larivière, L. Monoaminergic mechanisms associated with control of luminescence and contractile activities in the coelenterate, Renilla köllikeri. J. Exp. Zool. 1982, 223, 11–24. [Google Scholar] [CrossRef]
- Henry, J.-P.; Ninio, M. Control of the Ca2+-triggered bioluminescence of Veretillum cynomorium lumisomes. Biochim. Biophys. Acta 1978, 504, 40–59. [Google Scholar] [CrossRef]
- Charbonneau, H.; Cormier, M.J. Ca2+-induced bioluminescence in Renilla reniformis. Purification and characterization of a calcium-triggered luciferin-binding protein. J. Biol. Chem. 1979, 254, 769–780. [Google Scholar] [CrossRef]
- Williams, G.C. Living genera of sea pens (Coelenterata: Octocorallia: Pennatulacea): Illustrated key and synopses. Zool. J. Linn. Soc. 1995, 113, 93–140. [Google Scholar] [CrossRef]
- Edwards, D.C.B.; Moore, C.G. Reproduction in the sea pen Pennatula phosphorea (Anthozoa: Pennatulacea) from the west coast of Scotland. Mar. Biol. 2008, 155, 303–314. [Google Scholar] [CrossRef]
- Panceri, P. Gli organi luminosi e la luce delle Pennatule. R. C. Accad. Napoli 1871, 10, 204–211. [Google Scholar]
- Panceri, P. The luminous organs and light of the Pennatulae. Quart. J. Micr. Sci. 1872, 12, 248–254. [Google Scholar]
- Nicol, J.A.C. Observations on the luminescence of Pennatula phosphorea, with a note on the luminescence of Virgularia mirabilis. J. Mar. Biol. Assoc. UK 1958, 37, 551–563. [Google Scholar] [CrossRef][Green Version]
- Nicol, J.A.C. Nervous regulation of luminescence in the sea pansy Renilla köllikeri. J. Exp. Biol. 1955, 32, 619–635. [Google Scholar] [CrossRef]
- Nicol, J.A.C. Physiological control of luminescence in animals. In The Luminescence of Biological Systems; Johnson, F.H., Ed.; American Society for the Advancement of Science: Washington, DC, USA, 1955; pp. 299–319. [Google Scholar]
- Greathead, C.F.; Donnan, D.W.; Mair, J.M.; Saunders, G.R. The sea pens Virgularia mirabilis, Pennatula phosphorea and Funiculina quadrangularis: Distribution and conservation issues in Scottish waters. J. Mar. Biol. Assoc. 2007, 87, 1095–1103. [Google Scholar] [CrossRef]
- Herring, P.J. Observations on bioluminescence in some deep-water anthozoans. In Coelenterate Biology: Recent Research on Cnidaria and Ctenophora, Proceedings of the Fifth International Conference on Coelenterate Biology, Southampton, UK, 10–14 July 1989; Springer: Dordrecht, The Netherlands, 1991; pp. 573–579. [Google Scholar]
- Mallefet, J.; Duchatelet, L.; Coubris, C. Bioluminescence induction in the ophiuroid Amphiura filiformis (Echinodermata). J. Exp. Biol. 2020, 223, jeb218719. [Google Scholar] [CrossRef]
- Awad, E.W.; Anctil, M. Positive coupling of β-like adrenergic receptors with adenylate cyclase in the cnidarian Renilla Koellikeri. J. Exp. Biol. 1993, 182, 131–146. [Google Scholar] [CrossRef]
- Pani, A.K.; Anctil, M.; Umbriaco, D. Neuronal localization and evoked release of norepinephrine in the cnidarian Renilla Koellikeri. J. Exp. Zool. 1995, 272, 1–12. [Google Scholar] [CrossRef]
- Caron, M.G.; Lefkowitz, R.J. Catecholamine receptors: Structure, function, and regulation. Recent Prog. Horm. Res. 1993, 1993, 277–290. [Google Scholar] [CrossRef]
- David, J.-C.; Coulon, J.-F. Octopamine in invertebrates and vertebrates. A review. Prog. Neurobiol. 1985, 24, 141–185. [Google Scholar] [CrossRef]
- Carlson, A.D. Effect of adrenergic drugs on the lantern of the larval Photuris firefly. J. Exp. Biol. 1968, 48, 381–387. [Google Scholar] [CrossRef] [PubMed]
- Carlson, A.D. Effect of drugs on luminescence in larval fireflies. J. Exp. Biol. 1968, 49, 195–199. [Google Scholar] [CrossRef] [PubMed]
- Carlson, A.D. Neural control of firefly luminescence. Advances in Insect Physiol. 1970, 6, 51–96. [Google Scholar] [CrossRef]
- Pflüger, H.-J.; Stevenson, P.A. Evolutionary aspects of octopaminergic systems with emphasis on arthropods. Arthropod Struct. Dev. 2005, 34, 379–396. [Google Scholar] [CrossRef]
- Bouchard, C.; Ribeiro, P.; Dubé, F.; Anctil, M. A new G protein-coupled receptor from a primitive metazoan shows homology with vertebrate aminergic receptors and displays constitutive activity in mammalian cells. J. Neurochem. 2003, 86, 1149–1161. [Google Scholar] [CrossRef]
- Bouchard, C.; Ribeiro, P.; Dubé, F.; Demers, C.; Anctil, M. Identification of a novel aminergic-like G protein-coupled receptor in the cnidarian Renilla koellikeri. Gene 2004, 341, 67–75. [Google Scholar] [CrossRef]
- Guariépy, P.; Anctil, M. A pharmacological study of adrenergic and serotonergic mechanisms in the photophores of the midshipman fish, Porichthys notatus. Comp. Biochem. Physiol. C. 1983, 74, 341–347. [Google Scholar] [CrossRef]
- Gallo, V.P.; Accordi, F.; Chimenti, C.; Civinini, A.; Crivellato, E. Catecholaminergic system of invertebrates: Comparative and evolutionary aspects in comparison with the octopaminergic system. Int. Rev. Cell Mol. Biol. 2016, 322, 363–394. [Google Scholar] [CrossRef]
- Anctil, M. Cholinergic and monoaminergic mechanisms associated with control of bioluminescence in the ctenophore Mnemiopsis leidyi. J. Exp. Biol. 1985, 119, 225–238. [Google Scholar] [CrossRef]
- Rigby, L.M.; Merritt, D.J. Roles of biogenic amines in regulating bioluminescence in the Australian glowworm Arachnocampa flava. J. Exp. Biol. 2011, 214, 3286–3293. [Google Scholar] [CrossRef]





Disclaimer/Publisher’s Note: The statements, opinions and data contained in all publications are solely those of the individual author(s) and contributor(s) and not of MDPI and/or the editor(s). MDPI and/or the editor(s) disclaim responsibility for any injury to people or property resulting from any ideas, methods, instructions or products referred to in the content. |
© 2023 by the authors. Licensee MDPI, Basel, Switzerland. This article is an open access article distributed under the terms and conditions of the Creative Commons Attribution (CC BY) license (https://creativecommons.org/licenses/by/4.0/).
Share and Cite
Duchatelet, L.; Coubris, C.; Pels, C.; Dupont, S.T.; Mallefet, J. Catecholamine Involvement in the Bioluminescence Control of Two Species of Anthozoans. Life 2023, 13, 1798. https://doi.org/10.3390/life13091798
Duchatelet L, Coubris C, Pels C, Dupont ST, Mallefet J. Catecholamine Involvement in the Bioluminescence Control of Two Species of Anthozoans. Life. 2023; 13(9):1798. https://doi.org/10.3390/life13091798
Chicago/Turabian StyleDuchatelet, Laurent, Constance Coubris, Christopher Pels, Sam T. Dupont, and Jérôme Mallefet. 2023. "Catecholamine Involvement in the Bioluminescence Control of Two Species of Anthozoans" Life 13, no. 9: 1798. https://doi.org/10.3390/life13091798
APA StyleDuchatelet, L., Coubris, C., Pels, C., Dupont, S. T., & Mallefet, J. (2023). Catecholamine Involvement in the Bioluminescence Control of Two Species of Anthozoans. Life, 13(9), 1798. https://doi.org/10.3390/life13091798

