One-Year Handgrip Strength Change in Kindergarteners Depends upon Physical Activity Status
Abstract
1. Introduction
2. Materials and Methods
2.1. Study Design
2.2. Participants
2.3. Handgrip Strength Measurements
2.4. Forearm Muscle Thickness Measurements
2.5. Physical Activity Assessments
2.6. Statistical Analysis
3. Results
3.1. Overall Change in Handgrip Strength and Muscle Size
3.2. Comparison between Boys and Girls
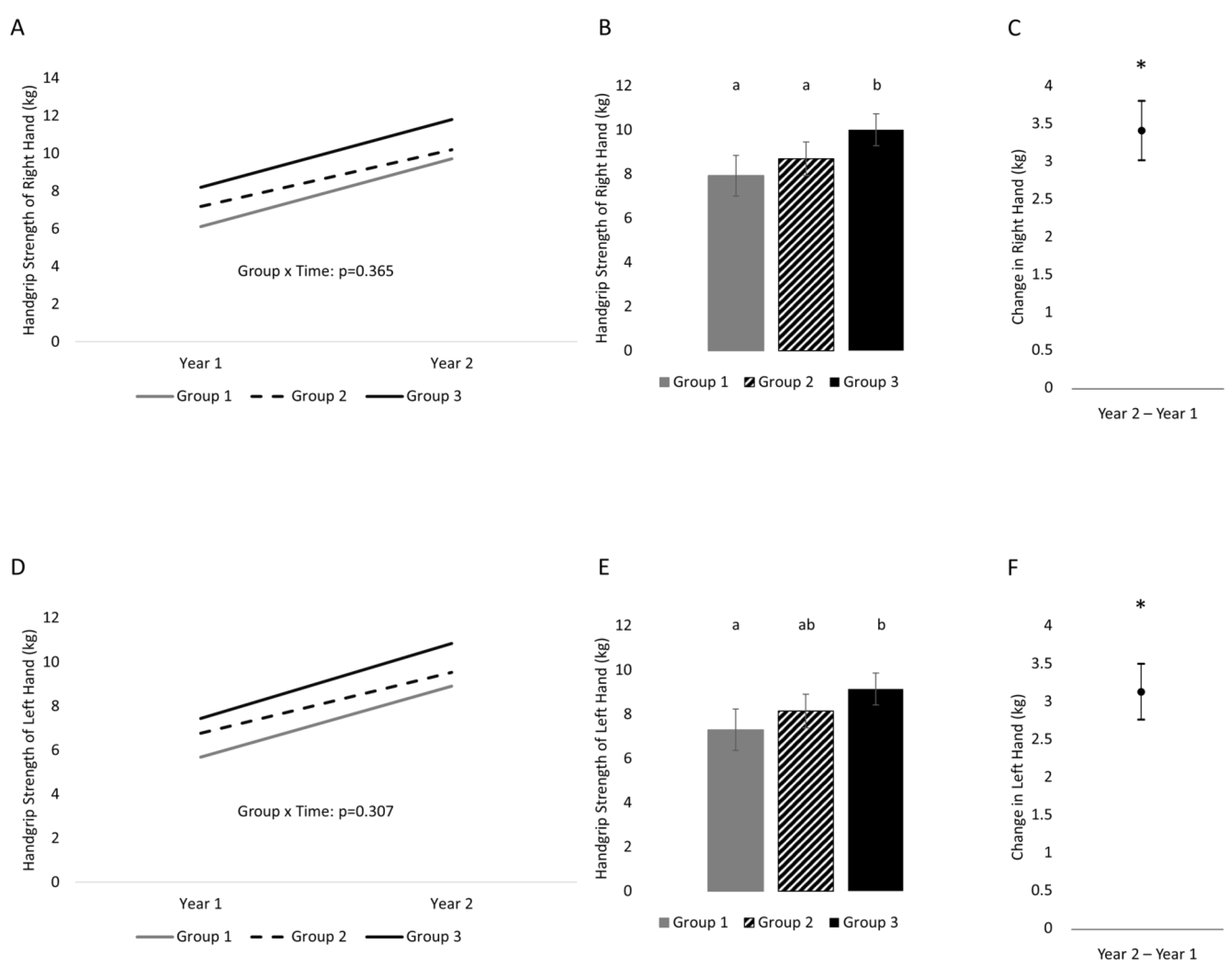
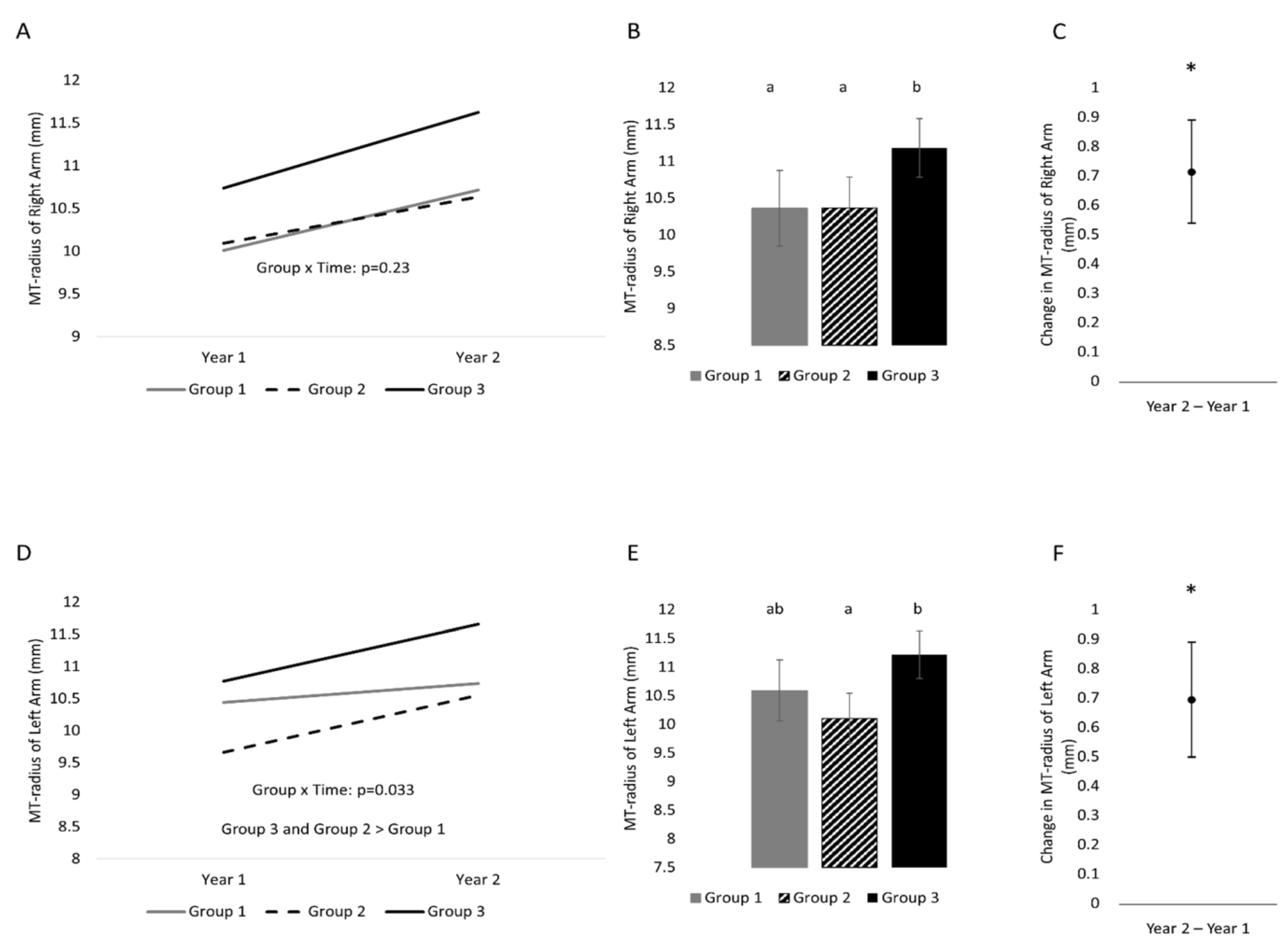
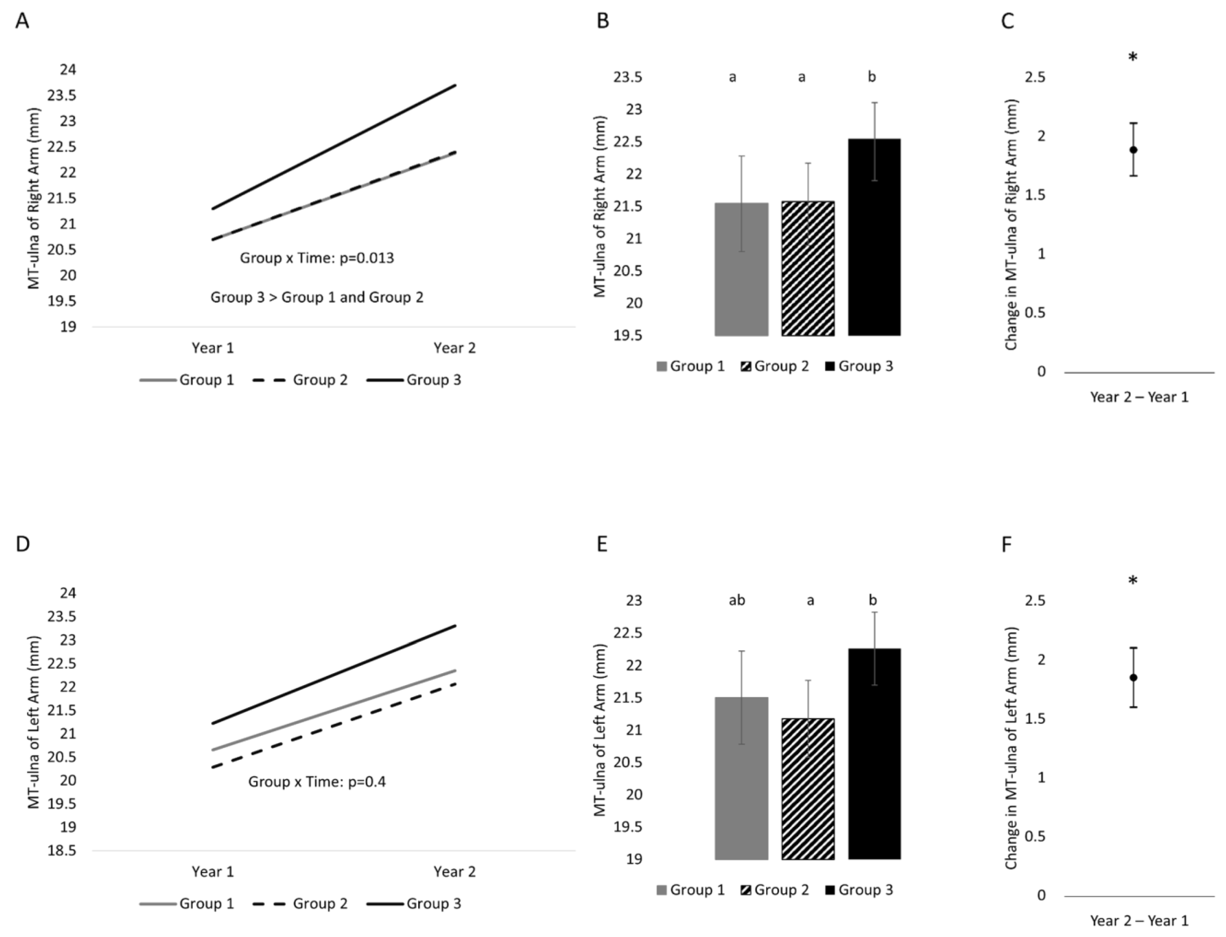
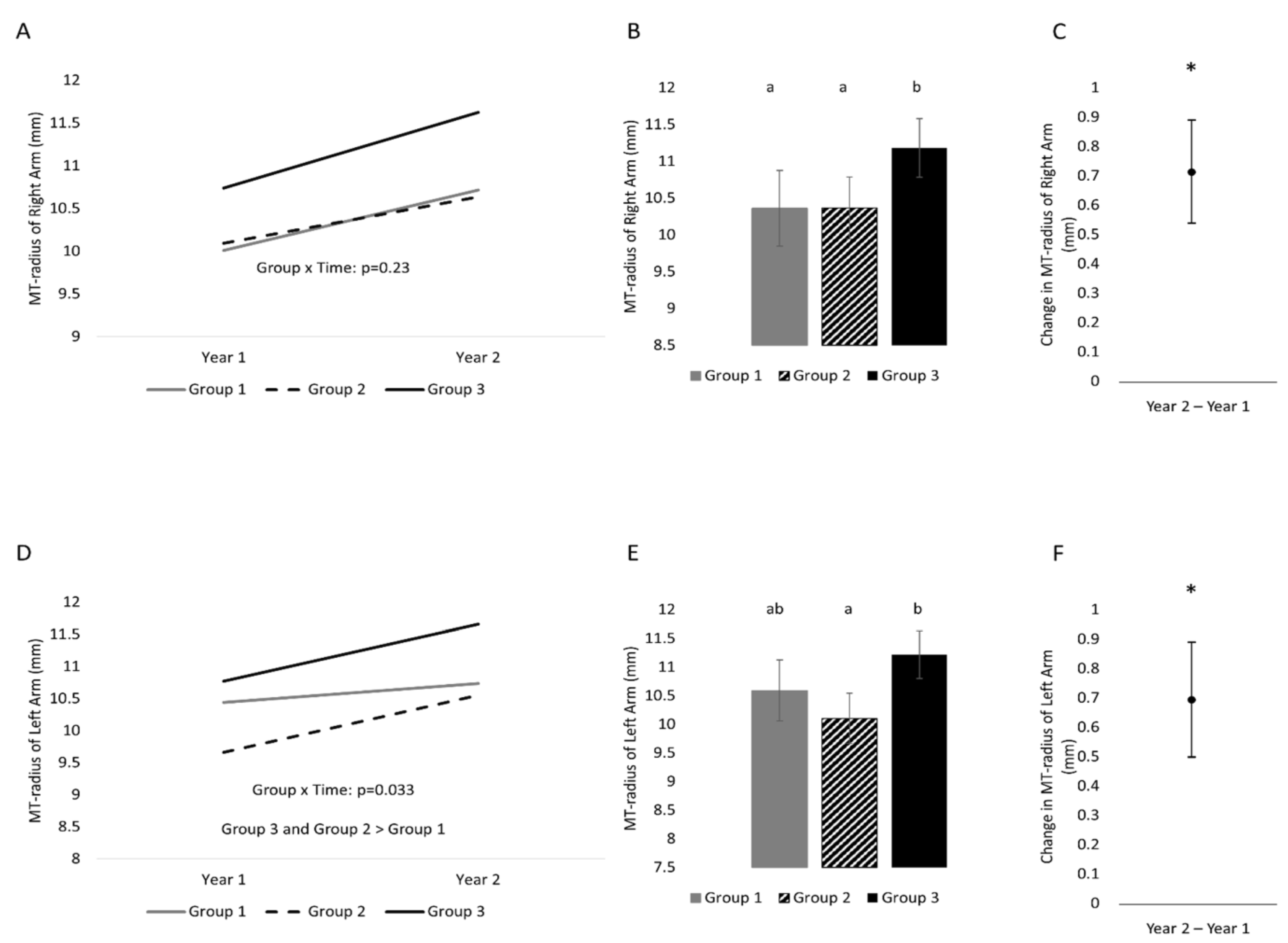
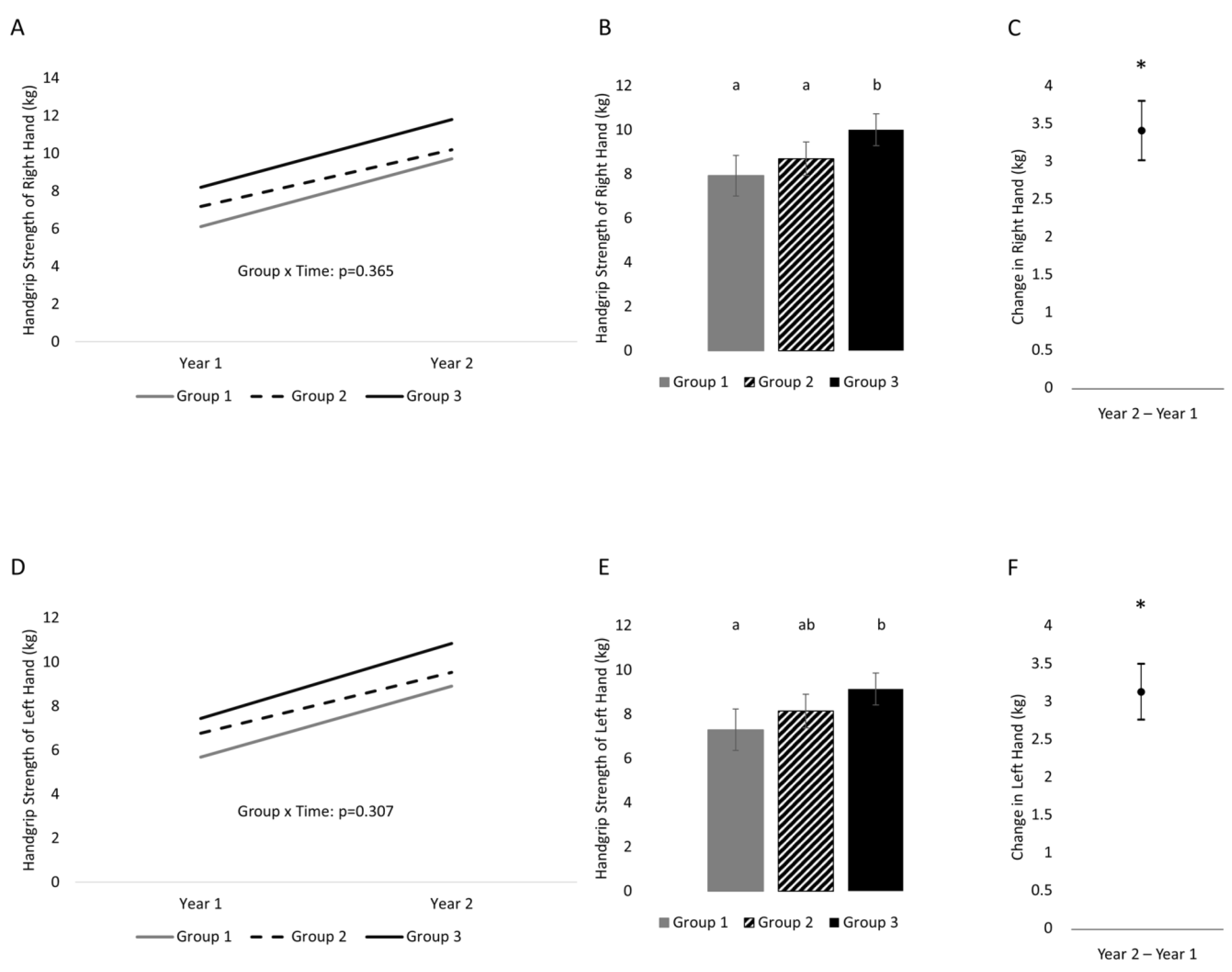
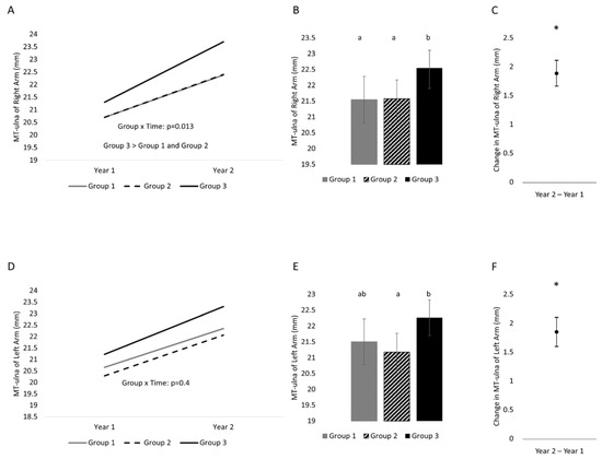
3.3. Comparison among Three Physical Activity Groups
4. Discussion
4.1. One-Year Change in Handgrip Strength
4.2. One-Year Change in Forearm Muscle Thickness
4.3. Physical Activity Assessment
5. Conclusions
Author Contributions
Funding
Institutional Review Board Statement
Informed Consent Statement
Data Availability Statement
Acknowledgments
Conflicts of Interest
References
- Bohannon, R.W. Grip strength: An indispensable biomarker for older adults. Clin. Interv. Aging 2019, 14, 1681–1691. [Google Scholar] [CrossRef] [PubMed]
- Peralta, M.; Dias, C.M.; Marques, A.; Henriques-Neto, D.; Sousa-Uva, M. Longitudinal association between grip strength and the risk of heart diseases among European middle-aged and older adults. Exp. Gerontol. 2023, 171, 112014. [Google Scholar] [CrossRef] [PubMed]
- Boonpor, J.; Parra-Soto, S.; Petermann-Rocha, F.; Ferrari, G.; Welsh, P.; Pell, J.P.; Sattar, N.; Gill, J.M.R.; Ho, F.K.; Gray, S.R.; et al. Associations between grip strength and incident type 2 diabetes: Findings from the UK Biobank prospective cohort study. BMJ Open Diabetes Res. Care 2021, 9, e001865. [Google Scholar] [CrossRef] [PubMed]
- Parra-Soto, S.; Pell, J.P.; Celis-Morales, C.; Ho, F.K. Absolute and relative grip strength as predictors of cancer: Prospective cohort study of 445552 participants in UK Biobank. J. Cachexia Sarcopenia Muscle 2022, 13, 325–332. [Google Scholar] [CrossRef]
- Esteban-Cornejo, I.; Ho, F.K.; Petermann-Rocha, F.; Lyall, D.M.; Martinez-Gomez, D.; Cabanas-Sanchez, V.; Ortega, F.B.; Hillman, C.H.; Gill, J.M.; Quinn, T.J.; et al. Handgrip strength and all-cause dementia incidence and mortality: Findings from the UK Biobank prospective cohort study. J. Cachexia Sarcopenia Muscle 2022, 13, 1514–1525. [Google Scholar] [CrossRef]
- Laukkanen, P.; Heikkinen, E.; Kauppinen, M. Muscle strength and mobility as predictors of survival in 75-84-year-old people. Age Ageing 1995, 24, 468–473. [Google Scholar] [CrossRef]
- Giampaoli, S.; Ferrucci, L.; Cecchi, F.; Lo Noce, C.; Poce, A.; Dima, F.; Santaquilani, A.; Vescio, M.F.; Menotti, A. Hand-grip strength predicts incident disability in non-disabled older men. Age Ageing 1999, 28, 283–288. [Google Scholar] [CrossRef]
- Metter, E.J.; Talbot, L.A.; Schrager, M.; Conwit, R. Skeletal muscle strength as a predictor of all-cause mortality in healthy men. J. Gerontol. A Biol. Sci. Med. Sci. 2002, 57, B359–B365. [Google Scholar] [CrossRef]
- Al Snih, S.; Markides, K.S.; Ray, L.; Ostir, G.V.; Goodwin, J.S. Handgrip strength and mortality in older Mexican Americans. J. Am. Geriatr. Soc. 2002, 50, 1250–1256. [Google Scholar] [CrossRef]
- Rantanen, T.; Volpato, S.; Ferrucci, L.; Heikkinen, E.; Fried, L.P.; Guralnik, J.M. Handgrip strength and cause-specific and total mortality in older disabled women: Exploring the mechanism. J. Am. Geriatr. Soc. 2003, 51, 636–641. [Google Scholar] [CrossRef]
- Sasaki, H.; Kasagi, F.; Yamada, M.; Fujita, S. Grip strength predicts cause-specific mortality in middle-aged and elderly persons. Am. J. Med. 2007, 120, 337–342. [Google Scholar] [CrossRef]
- Leong, D.P.; Teo, K.K.; Rangarajan, S.; Lopez-Jaramillo, P.; Avezum Jr, A.; Orlandini, A.; Seron, P.; Ahmed, S.H.; Rosengren, A.; Kelishadi, R.; et al. Prognostic value of grip strength: Findings from the prospective urban rural epidemiology (PURE) study. Lancet 2015, 386, 266–273. [Google Scholar] [CrossRef]
- Jeong, W.; Moon, J.Y.; Kim, J.-H. Association of absolute and relative hand grip strength with all-cause mortality among middle-aged and old-aged people. BMC Geriatr. 2023, 23, 321. [Google Scholar] [CrossRef] [PubMed]
- Duchowny, K.A.; Ackley, S.F.; Brenowitz, W.D.; Wang, J.; Zimmerman, S.C.; Caunca, M.R.; Glymour, M.M. Assoaciations between handgrip strength and dementia risk, cognition, and neuroimaging outcomes in UK Biobank cohort study. JAMA Netw. Open 2022, 5, e2218314. [Google Scholar] [CrossRef] [PubMed]
- Lopez-Bueno, R.; Anderson, L.L.; Calatayud, J.; Casana, J.; Grabovac, I.; Oberndorfer, M.; Cruz, B.D.P. Associations of handgrip strength with all-cause and cancer mortality in older adults: A prospective cohort study in 28 countries. Age Ageing 2022, 51, afac117. [Google Scholar] [CrossRef]
- Lopez-Bueno, R.; Anderson, L.L.; Calatayud, J.; Casana, J.; Smith, L.; Jacob, L.; Koyanagi, A.; Lopez-Gil, J.F.; Cruz, B.D.P. Longitudinal association of handgrip strength with all-cause and cardiovascular mortality from a causal framework. Exp. Gerontol. 2022, 168, 111951. [Google Scholar] [CrossRef] [PubMed]
- Li, G.; Qiao, Y.; Lu, Y.; Liu, S.; Ding, Y.; Chen, X.; Ke, C. Role of handgrip strength in predicting new-onset diabetes: Findings from the survey of health, ageing and retirement in Europe. BMC Geriatr. 2021, 21, 445. [Google Scholar] [CrossRef] [PubMed]
- McGrath, R.P.; Vincent, B.M.; Lee, I.-M.; Kraemer, W.J.; Peterson, M.D. Handgrip strength, function, and mortality in older adults: A time-varying approach. Med. Sci. Sports Exerc. 2018, 50, 2259–2266. [Google Scholar] [CrossRef]
- Celis-Morales, C.A.; Welsh, P.; Lyall, D.M.; Steell, L.; Petermann, F.; Anderson, J.; Iliodromiti, S.; Sillars, A.; Graham, N.; Mackay, D.F.; et al. Associations of grip strength with cardiovascular, respiratory, and cancer outcomes and all cause mortality: Prospective cohort study of half a million UK Biobank participants. BMJ 2018, 361, k1651. [Google Scholar] [CrossRef]
- Strand, B.H.; Cooper, R.; Bergland, A.; Jorgensen, L.; Schirmer, H.; Skirbekk, V.; Emaus, N. The association of grip strength from midlife onwards with all- cause and cause-specific mortality over 17 years of follow-up in the Tromsø Study. J. Epidemiol. Community Health 2016, 70, 1214–1221. [Google Scholar] [CrossRef]
- Mainous, A.G., 3rd; Tanner, R.J.; Anton, S.; Jo, A. Grip strength as a marker of hypertension and diabetes in healthy weight adults. Am. J. Prev. Med. 2015, 49, 850–858. [Google Scholar] [CrossRef] [PubMed]
- Kishimoto, H.; Hata, J.; Ninomiya, T.; Nemeth, H.; Hirakawa, Y.; Yoshida, D.; Kumagai, S.; Kitazono, T.; Kiyohara, Y. Midlife and late-life handgrip strength and risk of cause-specific death in a general Japanese population: The Hisayama Study. J. Epidemiol. Community Health 2014, 68, 663–668. [Google Scholar] [CrossRef]
- Newman, A.B.; Kupelian, V.; Visser, M.; Simonsick, E.M.; Goodpaster, B.H.; Kritchevsky, S.B.; Tylavsky, F.A.; Rubin, S.M.; Harris, T.B. Strength, but not muscle mass, is associated with mortality in the health, aging and body composition study cohort. J. Gerontol. A Biol. Sci. Med. Sci. 2006, 61A, 72–77. [Google Scholar] [CrossRef]
- Rantanen, T.; Guraink, J.M.; Foley, D.; Masaki, K.; Leveille, S.; Curb, J.D.; White, L. Midlife hand grip strength as a predictor of old age disability. JAMA 1999, 281, 558–560. [Google Scholar] [CrossRef] [PubMed]
- Fujita, Y.; Nakamura, Y.; Hiraoka, J.; Kobayashi, K.; Sakata, K.; Nagai, M.; Yanagawa, H. Physical-strength tests and mortality among visitors to health-promotion centers in Japan. J. Clin. Epidemiol. 1995, 48, 1349–1359. [Google Scholar] [CrossRef] [PubMed]
- Buckner, S.L.; Dankel, S.J.; Bell, Z.W.; Abe, T.; Loenneke, J.P. The association of handgrip strength and mortality: What does it tell us and what can we do with it? Rejuvenat. Res. 2019, 22, 230–234. [Google Scholar] [CrossRef]
- Abe, T.; Thiebaud, S.R.; Ozaki, H.; Yamasaki, S.; Loenneke, J.P. Children with low handgrip strength: A narrative review of possible exercise strategies to improve its development. Children 2022, 9, 1616. [Google Scholar] [CrossRef] [PubMed]
- Abe, T.; Kohmura, Y.; Suzuki, K.; Someya, Y.; Loenneke, J.P.; Machida, S.; Naito, H. Athletes in sporting events with upper-body gripping movements have greater handgrip strength than those in sporting events that prioritize the lower body. Am. J. Hum. Biol. 2023, 35, e23891. [Google Scholar] [CrossRef]
- Abe, T.; Kohmura, Y.; Suzuki, K.; Someya, Y.; Loenneke, J.P.; Machida, S.; Naito, H. Handgrip strength and Healthspan: Impact of sports during the developmental period on handgrip strength (Juntendo Fitness Plus Study). Juntendo Med. J. 2023, in press. [Google Scholar] [CrossRef]
- Bogataj, S.; Trajkovic, N.; Cadenas-Sanchez, C.; Sember, V. Effects of school-based exercise and nutrition intervention on body composition and physical fitness in overweight adolescent girls. Nutrients 2021, 13, 238. [Google Scholar] [CrossRef]
- Labayen, I.; Medrano, M.; Arenaza, L.; Maiz, E.; Oses, M.; Martinez-Vizcaino, V.; Ruiz, J.R.; Ortega, F.B. Effects of exercise in addition to a family-based lifestyle intervention program on hepatic fat in children with overweight. Diabetes Care 2020, 43, 306–313. [Google Scholar] [CrossRef] [PubMed]
- Rexen, C.T.; Ersboll, A.K.; Moller, N.C.; Klakk, H.; Wedderkopp, N.; Andersen, L.B. Effects of extra school based physical education on overall physical fitness development—The CHAMPS study DK. Scand. J. Med. Sci. Sport. 2015, 25, 706–715. [Google Scholar] [CrossRef]
- Macak, D.; Popovic, B.; Cadenas-Sanchez, C.; Madic, D.M.; Trajkovic, N. The effects of daily physical activity intervention on physical fitness in preschool children. J. Sports. Sci. 2022, 40, 146–155. [Google Scholar] [CrossRef] [PubMed]
- Wick, K.; Kriemler, S.; Granacher, U. Effects of a strength-dominated exercise program on physical fitness and cognitive performance in preschool children. J. Strength Cond. Res. 2021, 35, 983–990. [Google Scholar] [CrossRef]
- Abe, A.; Yamasaki, S.; Tahara, R.; Loenneke, J.P.; Abe, T. Comparison of handgrip strength values of young children when using two different types of dynamometers. Am. J. Hum. Biol. 2022, 34, e23771. [Google Scholar] [CrossRef]
- Sanchez-Delgado, G.; Cadenas-Sanchez, C.; Mora-Gonzalez, J.; Martinez-Tellez, B.; Chillon, P.; Lof, M.; Ortega, F.B.; Ruiz, J.R. Assessment of Handgrip Strength in Preschool Children Aged 3 to 5 Years. J. Hand Surg. 2015, 40, 966–972. [Google Scholar] [CrossRef]
- Abe, T.; Sanui, R.; Sasaki, A.; Ishibashi, A.; Daikai, N.; Shindo, Y.; Abe, A.; Loenneke, J.P. Optimal grip span for measuring maximum handgrip strength in preschool children. Int. J. Clin. Med. 2022, 13, 479–488. [Google Scholar] [CrossRef]
- Ozaki, H.; Abe, T.; Dankel, S.J.; Loenneke, J.P.; Natsume, T.; Deng, P.; Haito, H. The measurement of handgrip strength in children: Is the peak value truly maximal? Children 2020, 8, 9. [Google Scholar] [CrossRef]
- Abe, A.; Sanui, R.; Loenneke, J.P.; Abe, T. Is the peak value truly maximal when measuring strength in young children? An Updated study. J. Trainol. 2022, 11, 17–21. [Google Scholar] [CrossRef]
- Abe, T.; Ozaki, H.; Abe, A.; Loenneke, J.P. Impact of forearm pronation on ultrasound-measured forearm muscle thickness in children and adolescents. Imaging 2022, 14, 104–108. [Google Scholar] [CrossRef]
- Ben Othman, A.; Behm, D.G.; Chaouachi, A. Evidence of homologous and heterologous effects after unilateral leg training in youth. Appl. Physiol. Nutr. Metab. 2018, 43, 282–291. [Google Scholar] [CrossRef] [PubMed]
- Magdi, H.R.; Maroto-Izquierdo, S.; de Paz, J.A. Ipsilateral lower-to-upper limb cross-transfer effect on muscle strength, mechanical power, and lean tissue mass after accentuated eccentric loading. Medicina 2021, 57, 445. [Google Scholar] [CrossRef] [PubMed]
- Rule, A.C.; Stewart, R.A. Effects of practical life materials on kindergartner’s fine motor skills. Early Child. Educ. J. 2002, 30, 9–13. [Google Scholar] [CrossRef]
- Siegel, J.A.; Camaione, D.N.; Manfredi, T.G. The effects of upper body resistance training on prepubescent children. Pediatr. Exerc. Sci. 1989, 1, 145–154. [Google Scholar] [CrossRef]
- Abe, T.; Ozaki, H.; Abe, A.; Machida, S.; Naito, H.; Loenneke, J.P. Longitudinal changes of grip strength and forearm muscle thickness in young children. Physiol. Int. 2023; in press. [Google Scholar] [CrossRef]
- Loenneke, J.P.; Buckner, S.L.; Dankel, S.J.; Abe, T. Exercise-induced changes in muscle size do not contribute to exercise-induced changes in muscle strength. Sports Med. 2019, 49, 987–991. [Google Scholar] [CrossRef]
- Saladin, K.S. Anatomy & Physiology. In the Unity of Form and Function, 3rd ed.; McGraw-Hill: New York, NY, USA, 2004; pp. 345–354. [Google Scholar]
- Chen, X.; Sekine, M.; Hamanishi, S.; Wang, H.; Hayashikawa, Y.; Yamagami, T.; Kagamimori, S. The validity of nursery teachers’ report on the physical activity of young children. J. Epidemiol. 2002, 12, 367–374. [Google Scholar] [CrossRef]
- Phillips, S.M.; Summerbell, C.; Hobbs, M.; Hesketh, K.R.; Saxena, S.; Muir, C.; Hillier-Brown, F.C. A systematic review of the validity, reliability, and feasibility of measurement tools used to assess the physical activity and sedentary behaviour of pre-school aged children. Int. J. Behav. Nutr. Phys. Act. 2021, 18, 141. [Google Scholar] [CrossRef]



| Boys | Girls | |
|---|---|---|
| N | 49 | 46 | 
| Age (yr) | ||
| Test 1 | 4.5 ± 0.6 | 4.6 ± 0.5 | 
| Test 2 | 5.5 ± 0.6 | 5.6 ± 0.5 | 
| Height (cm) | ||
| Test 1 | 103.9 ± 5.5 | 103.1 ± 5.0 | 
| Test 2 | 109.9 ± 5.6 | 109.3 ± 5.4 | 
| Change | 6.0 ± 0.8 | 6.2 ± 0.9 | 
| Body mass (kg) | ||
| Test 1 | 17.0 ± 1.9 | 16.4 ± 2.1 | 
| Test 2 | 18.8 ± 2.4 | 18.3 ± 2.7 | 
| Change | 1.8 ± 0.9 | 1.9 ± 0.9 | 
| Muscle thickness ulna, right hand (mm) | ||
| Test 1 | 21.2 ± 1.7 | 20.8 ± 2.0 | 
| Test 2 | 23.3 ± 1.7 | 22.6 ± 2.1 | 
| Change | 2.0 ± 0.9 | 1.8 ± 1.3 | 
| Muscle thickness radius, right hand (mm) | ||
| Test 1 | 10.6 ± 1.3 | 10.1 ± 1.3 | 
| Test 2 | 11.3 ± 1.3 | 10.8 ± 1.5 | 
| Change | 0.7 ± 0.8 | 0.7 ± 0.9 | 
| Handgrip strength, right hand (kg) | ||
| Test 1 | 8.1 ± 2.7 | 6.6 ± 2.4 | 
| Test 2 | 11.6 ± 2.3 | 9.8 ± 2.3 | 
| Change | 3.5 ± 1.6 | 3.3 ± 2.1 | 
| Group 1 | Group 2 | Group 3 | |
|---|---|---|---|
| N | 23 (9 boys, 14 girls) | 34 (15 boys, 19 girls) | 38 (25 boys, 13 girls) | 
| Age (yr) | |||
| Test 1 | 4.4 ± 0.6 | 4.6 ± 0.5 | 4.7 ± 0.6 | 
| Test 2 | 5.4 ± 0.6 | 5.6 ± 0.5 | 5.7 ± 0.5 | 
| Height (cm) | |||
| Test 1 | 101.9 ± 4.8 | 103.1 ±5.0 | 104.9 ± 5.5 | 
| Test 2 | 108.1 ± 5.4 | 109.1 ± 5.2 | 110.9 ± 5.5 | 
| Body mass (kg) | |||
| Test 1 | 16.6 ± 2.4 | 16.1 ± 1.7 | 17.3 ± 2.0 | 
| Test 2 | 18.4 ± 3.0 | 17.9 ± 2.2 | 19.3 ± 2.5 | 
| Muscle thickness ulna, right hand (mm) | |||
| Test 1 | 20.7 ± 2.2 | 20.7 ± 1.8 | 21.4 ± 1.6 | 
| Test 2 | 22.4 ± 2.3 | 22.4 ± 1.7 | 23.7 ± 1.6 | 
| Change | 1.7 ± 1.2 | 1.7 ± 1.1 | 2.3 ± 1.0 | 
| Muscle thickness ulna, left hand (mm) | |||
| Test 1 | 20.7 ± 2.2 | 20.3 ± 1.5 | 21.2 ± 1.7 | 
| Test 2 | 22.4 ± 2.4 | 22.1 ± 1.8 | 23.3 ± 1.7 | 
| Change | 1.7 ± 1.1 | 1.8 ± 1.0 | 2.1 ± 1.4 | 
| Muscle thickness radius, right hand (mm) | |||
| Test 1 | 10.0 ± 1.4 | 10.1 ± 1.4 | 10.7 ± 1.0 | 
| Test 2 | 10.7 ± 1.8 | 10.6 ± 1.4 | 11.6 ± 1.0 | 
| Change | 0.7 ± 1.0 | 0.5 ± 0.7 | 0.9 ± 0.9 | 
| Muscle thickness radius, left hand (mm) | |||
| Test 1 | 10.4 ± 1.5 | 9.7 ± 1.5 | 10.8 ± 1.1 | 
| Test 2 | 10.7 ± 1.6 | 10.6 ± 1.4 | 11.7 ± 1.2 | 
| Change | 0.3 ± 1.0 | 0.9 ± 0.9 | 0.9 ± 0.9 | 
| Handgrip strength, right hand (kg) | |||
| Test 1 | 6.1 ± 2.2 | 7.2 ± 2.8 | 8.2 ± 2.5 | 
| Test 2 | 9.7 ± 2.6 | 10.2 ± 2.5 | 11.8 ± 1.9 | 
| Change | 3.6 ± 2.0 | 3.0 ± 1.7 | 3.6 ± 2.0 | 
| Handgrip strength, left hand (kg) | |||
| Test 1 | 5.7 ± 2.4 | 6.8 ± 2.6 | 7.5 ± 2.5 | 
| Test 2 | 8.9 ± 2.8 | 9.5 ± 2.3 | 10.8 ± 1.8 | 
| Change | 3.2 ± 2.0 | 2.7 ± 1.5 | 3.4 ± 1.8 | 
| Disclaimer/Publisher’s Note: The statements, opinions and data contained in all publications are solely those of the individual author(s) and contributor(s) and not of MDPI and/or the editor(s). MDPI and/or the editor(s) disclaim responsibility for any injury to people or property resulting from any ideas, methods, instructions or products referred to in the content. | 
© 2023 by the authors. Licensee MDPI, Basel, Switzerland. This article is an open access article distributed under the terms and conditions of the Creative Commons Attribution (CC BY) license (https://creativecommons.org/licenses/by/4.0/).
Share and Cite
Abe, A.; Sanui, R.; Loenneke, J.P.; Abe, T. One-Year Handgrip Strength Change in Kindergarteners Depends upon Physical Activity Status. Life 2023, 13, 1665. https://doi.org/10.3390/life13081665
Abe A, Sanui R, Loenneke JP, Abe T. One-Year Handgrip Strength Change in Kindergarteners Depends upon Physical Activity Status. Life. 2023; 13(8):1665. https://doi.org/10.3390/life13081665
Chicago/Turabian StyleAbe, Akemi, Rika Sanui, Jeremy P. Loenneke, and Takashi Abe. 2023. "One-Year Handgrip Strength Change in Kindergarteners Depends upon Physical Activity Status" Life 13, no. 8: 1665. https://doi.org/10.3390/life13081665
APA StyleAbe, A., Sanui, R., Loenneke, J. P., & Abe, T. (2023). One-Year Handgrip Strength Change in Kindergarteners Depends upon Physical Activity Status. Life, 13(8), 1665. https://doi.org/10.3390/life13081665
 
         
                                                


 
       