Preparation and Evaluation of Nanofibrous and Film-Structured Ciprofloxacin Hydrochloride Inserts for Sustained Ocular Delivery: Pharmacokinetic Study in Rabbit’s Eye
Abstract
1. Introduction
2. Materials and Methods
2.1. Materials
2.2. Preparation of Ocular Inserts
2.2.1. Film Formulation
2.2.2. Nanofibrous Formulations
CIP-O
CIP-OG
CIP-S
2.3. High-Performance Liquid Chromatography (HPLC)
2.4. Physicochemical Characterization of Ocular Inserts
2.4.1. Weight, Thickness, and Drug Content Uniformity
2.4.2. Folding Endurance and Tensile Strength Testing
2.4.3. Swelling, Moisture Loss, and Uptake Tests
2.5. Antibacterial Efficacy
2.6. Fourier-Transform Infrared (FTIR) Spectroscopy
2.7. Morphology Characterization
2.8. In Vitro Release Study
2.9. Release Mechanism
2.10. In Vitro Cytotoxicity
2.11. Irritancy Test and In Vivo Study in Rabbits
2.12. Statistical Analysis
3. Results
3.1. Preparation of Ocular Inserts
3.2. Characterization of Ocular Inserts
3.2.1. Weight, Thickness, and Drug Content Uniformity
3.2.2. Folding Endurance and Tensile Strength Testing
3.2.3. Swelling, Moisture Loss, and Uptake Tests
3.3. Antibacterial Efficacy of Ocular Inserts
3.4. FTIR Spectroscopy
3.5. Morphology of Ocular Inserts
3.6. In Vitro Release Study
3.7. Release Mechanism
3.8. In Vitro Cytotoxicity
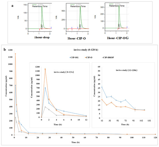
3.9. Irritancy Test and In Vivo Study in Rabbits
4. Discussion
5. Conclusions
Author Contributions
Funding
Institutional Review Board Statement
Informed Consent Statement
Data Availability Statement
Acknowledgments
Conflicts of Interest
References
- Flanagan, J.L.; Willcox, M.D. Role of lactoferrin in the tear film. Biochimie 2009, 91, 35–43. [Google Scholar] [CrossRef] [PubMed]
- Rolando, M.; Zierhut, M. The ocular surface and tear film and their dysfunction in dry eye disease. Surv. Ophthalmol. 2001, 45, S203–S210. [Google Scholar] [CrossRef] [PubMed]
- Achouri, D.; Alhanout, K.; Piccerelle, P.; Andrieu, V. Recent advances in ocular drug delivery. Drug Dev. Ind. Pharm. 2013, 39, 1599–1617. [Google Scholar] [CrossRef]
- Del Amo, E.M.; Urtti, A. Current and future ophthalmic drug delivery systems. A shift to the posterior segment. Drug Discov. Today 2008, 13, 135–143. [Google Scholar] [CrossRef]
- Singla, J.; Bajaj, T.; Goyal, A.K.; Rath, G. Development of Nanofibrous Ocular Insert for Retinal Delivery of Fluocinolone Acetonide. Curr. Eye Res. 2019, 44, 541–550. [Google Scholar] [CrossRef]
- Taghe, S.; Mirzaeei, S.; Alany, R.G.; Nokhodchi, A.J.B. Polymeric inserts containing Eudragit® L100 nanoparticle for improved ocular delivery of azithromycin. Biomedicines 2020, 8, 466. [Google Scholar] [CrossRef] [PubMed]
- Taghe, S.; Mirzaeei, S. Preparation and characterization of novel, mucoadhesive ofloxacin nanoparticles for ocular drug delivery. Braz. J. Pharm. Sci. 2019, 55, 1–12. [Google Scholar] [CrossRef]
- Taghe, S.; Mehrandish, S.; Mirzaeei, S. Preparation of Azithromycin Nanofibers as Controlled Release Ophthalmic Drug Carriers Using Electrospinning Technique: In-Vitro and In-Vivo Characterization. Adv. Pharm. Bull. 2021, 12, 346–355. [Google Scholar] [CrossRef]
- Kamble, P.; Sadarani, B.; Majumdar, A.; Bhullar, S. Nanofiber based drug delivery systems for skin: A promising therapeutic approach. J. Drug Deliv. Sci. Technol. 2017, 41, 124–133. [Google Scholar] [CrossRef]
- Lyoo, W.S.; Yeum, J.H.; Park, J.M.; Kwak, J.W.; Kim, J.H.; Kim, S.S.; Ji, B.C.; Noh, S.K. Role of molecular weight of atactic poly (vinyl alcohol) (PVA) in the polarizing efficiency of PVA/azo dye complex film with high durability. J. Appl. Polym. Sci. 2005, 96, 967–974. [Google Scholar] [CrossRef]
- Yan, E.; Jiang, J.; Yang, X.; Fan, L.; Wang, Y.; An, Q.; Zhang, Z.; Lu, B.; Wang, D.; Zhang, D. pH-sensitive core-shell electrospun nanofibers based on polyvinyl alcohol/polycaprolactone as a potential drug delivery system for the chemotherapy against cervical cancer. J. Drug Deliv. Sci. Technol. 2020, 55, 1014–1055. [Google Scholar] [CrossRef]
- Haque, R.I.; Farine, P.-A.; Briand, D. Soft triboelectric generators by use of cost-effective elastomers and simple casting process. Sens. Actuator A Phys. 2018, 271, 88–95. [Google Scholar] [CrossRef]
- Choi, J.; Lee, K.M.; Wycisk, R.; Pintauro, P.N.; Mather, P.T. Nanofiber Network Ion-Exchange Membranes. Macromolecules 2008, 41, 4569–4572. [Google Scholar] [CrossRef]
- Kim, S.H.; Jeon, S.Y.; Yoo, P.J.; Pu, L.S.; Lee, J.Y. Metal oxide/polymer hybrid nanofiber as flexible moisture absorbent. Fibers Polym. 2013, 14, 1975–1980. [Google Scholar] [CrossRef]
- AdeAdebayo, A.; Parikh, J.G.; McCormick, S.A.; Shah, M.K.; Huerto, R.S.; Yu, G.; Milman, T. Shifting trends in in vitro antibiotic susceptibilities for common bacterial conjunctival isolates in the last decade at the New York Eye and Ear Infirmary. Graefe’s Arch. Clin. Exp. Ophthalmol. 2010, 249, 111–119. [Google Scholar] [CrossRef] [PubMed]
- Han, X.; Huo, P.; Ding, Z.; Kumar, P.; Liu, B. Preparation of lutein-loaded PVA/sodium alginate nanofibers and investigation of its release behavior. Pharmaceutics 2019, 11, 449. [Google Scholar] [CrossRef] [PubMed]
- Cui, Z.; Zheng, Z.; Lin, L.; Si, J.; Wang, Q.; Peng, X.; Chen, W. Electrospinning and crosslinking of polyvinyl alcohol/chitosan composite nanofiber for transdermal drug delivery. Adv. Polym. Technol. 2017, 37, 1917–1928. [Google Scholar] [CrossRef]
- Rudra, R.; Kumar, V.; Kundu, P.P. Acid catalysed cross-linking of poly vinyl alcohol (PVA) by glutaraldehyde: Effect of crosslink density on the characteristics of PVA membranes used in single chambered microbial fuel cells. RSC Adv. 2015, 5, 83436–83447. [Google Scholar] [CrossRef]
- Mundada, A.S.; Shrikhande, B.K. Design and evaluation of soluble ocular drug insert for controlled release of ciprofloxacin hydrochloride. Drug Dev. Ind. Pharm. 2006, 32, 443–448. [Google Scholar] [CrossRef]
- Attia, M.A.; Al-Azizi, M.; Hashish, M.S. Design and evaluation of ciprofloxacin hydrochloride ocular inserts. Int. J. PharmTech Res. 2011, 3, 1750–1763. [Google Scholar]
- Mehrandish, S.; Mohammadi, G.; Mirzaeei, S. Preparation and Functional Evaluation of Electrospun Polymeric Nanofibers as a New System for Sustained Topical Ocular Delivery of Itraconazole. Pharm. Dev. Technol. 2021, 27, 25–39. [Google Scholar] [CrossRef] [PubMed]
- Patel, U.L.; Chotai, N.P.; Nagda, C.D. Design and evaluation of ocular drug delivery system for controlled delivery of gatifloxacin sesquehydrate: In vitro and in vivo evaluation. Pharm. Dev. Technol. 2010, 17, 15–22. [Google Scholar] [CrossRef] [PubMed]
- Charlier, A.; Leclerc, B.; Couarraze, G. Release of mifepristone from biodegradable matrices: Experimental and theoretical evaluations. Int. J. Pharm. 2000, 200, 115–120. [Google Scholar] [CrossRef]
- Wang, Q.; Zhang, A.; Zhu, L.; Yang, X.; Fang, G.; Tang, B. Cyclodextrin-based ocular drug delivery system: A comprehensive review. Coord. Chem. Rev. 2023, 476, 214919. [Google Scholar] [CrossRef]
- ISO 10993-5:2009; Biological Evaluation of Medical Devices—Part 5: Tests for In Vitro Cytotoxicity. ISO: Geneva, Switzerland, 2009.
- Bhattarai, R.S.; Das, A.; Alzhrani, R.M.; Kang, D.; Bhaduri, S.B.; Boddu, S.H. Comparison of electrospun and solvent cast polylactic acid (PLA)/poly (vinyl alcohol) (PVA) inserts as potential ocular drug delivery vehicles. Mater. Sci. Eng. C Mater. Biol. Appl. 2017, 77, 895–903. [Google Scholar] [CrossRef]
- Destaye, A.G.; Lin, C.-K.; Lee, C.-K. Glutaraldehyde vapor cross-linked nanofibrous PVA mat with in situ formed silver nanoparticles. ACS Appl. Mater. Interfaces 2013, 5, 4745–4752. [Google Scholar] [CrossRef] [PubMed]
- Qassim, A.W. Spectrophotometric Determination of Ciprofloxacin Hydrochloride in Pharmaceutical Formulation Ciproxin. Int. J. Adv. Sci. Tech. Res. 2015, 3, 135. [Google Scholar]
- Pal, D.; Srivastava, P.; Mishra, A.; Giri, D.; Srivastava, K.; Singh, P.; Awasthi, S.; Kumari, L.; Mishra, P. Synthesis and characterization of bio-composite nanofiber for controlled drug release. J. Environ. Chem. Eng. 2017, 5, 5843–5849. [Google Scholar] [CrossRef]
- Shankhwar, N.; Kumar, M.; Mandal, B.B.; Robi, P.S.; Srinivasan, A. Electrospun polyvinyl alcohol-polyvinyl pyrrolidone nanofibrous membranes for interactive wound dressing application. J. Biomater. Sci. Polym. Ed. 2016, 27, 247–262. [Google Scholar] [CrossRef]
- Liu, S.-J.; Chen, D.W.-C.; Liao, J.-Y.; Chan, E.-C. Novel biodegradable sandwich-structured nanofibrous drug-eluting membranes for repair of infected wounds: An in vitro and in vivo study. Int. J. Nanomed. 2012, 7, 763–771. [Google Scholar] [CrossRef]
- Mirzaeei, S.; Taghe, S.; Asare-Addo, K.; Nokhodchi, A.J.A.P. Polyvinyl Alcohol/Chitosan Single-Layered and Polyvinyl Alcohol/Chitosan/Eudragit RL100 Multi-layered Electrospun Nanofibers as an Ocular Matrix for the Controlled Release of Ofloxacin: An In Vitro and In Vivo Evaluation. AAPS PharmSciTech 2021, 22, 170. [Google Scholar] [CrossRef] [PubMed]
- Saha, K.; Butola, B.S.; Joshi, M. Drug release behavior of polyurethane/clay nanocomposite: Film vs. nanofibrous web. J. Appl. Polym. Sci. 2014, 131, 40824. [Google Scholar] [CrossRef]
- Charoo, N.A.; Kohli, K.; Ali, A.; Anwer, A. Ophthalmic delivery of ciprofloxacin hydrochloride from different polymer formulations: In vitro and in vivo studies. Drug Dev. Ind. Pharm. 2003, 29, 215–221. [Google Scholar] [CrossRef] [PubMed]
- Ke, T.-L.; Cagle, G.; Schlech, B.; Lorenzetti, O.; Mattern, J. Ocular bioavailability of ciprofloxacin in sustained release formulations. J. Ocul. Pharmacol. Ther. 2001, 17, 555–563. [Google Scholar] [CrossRef]
- Sultana, Y.; Aqil, M.; Ali, A.; Zafar, S. Evaluation of carbopol-methyl cellulose based sustained-release ocular delivery system for pefloxacin mesylate using rabbit eye model. Pharm. Dev. Technol. 2006, 11, 313–319. [Google Scholar] [CrossRef]







| Score | Clinical Observations |
|---|---|
| 0 | No sign of redness or cornea turbidity; conjunctival blood vessels look normal; no swelling; normal blinking; no tearing |
| 1 | The cornea has scattered areas of turbidity; some conjunctival blood vessels look hyperemic; any higher-than-normal swelling; slight tremors; any abnormal tearing |
| 2 | Details of the iris are slightly blurred; ocular hemorrhage; ocular aberration; iris shows no reaction to light; swelling, with slight dilation of the eyelid |
| 3 | Glossy areas are detectable; iris details are not recognizable; pupil is difficult to detect; scattered dark red spots are detectable; swelling, with the eyelid half-closed |
| 4 | Opaque cornea; iris is not recognizable due to high turbidity; swelling, with the eyelid almost closed |
| Formulation | Weight Uniformity (mg) | Thickness (mm) | Folding Endurance (Times) | Drug Content Efficiency (%) | Elongation at Break (%) | Time to Break (Min) | Tensile Strength (MPa) |
|---|---|---|---|---|---|---|---|
| CIP-F | 22.77 ± 0.20 | 0.210 ± 0.009 | 203 ± 5 | 98.1 ± 0.7 | 27.01 | 4.06 | 1.15 ± 0.11 |
| CIP-O | 19.50 ± 0.12 | 0.106 ± 0.002 | 213 ± 3 | 96.2 ± 1.5 | 29.70 | 6.25 | 1.96 ± 0.03 |
| CIP-OG | 20.15 ± 0.18 | 0.108 ± 0.004 | 210 ± 1 | 97.9 ± 1.6 | 48.12 | 10.13 | 2.43 ± 0.02 |
| CIP-S | 21.77 ± 0.25 | 0.178 ± 0.007 | 224 ± 8 | 98.4 ± 0.8 | 71.69 | 12.20 | 2.62 ± 0.13 |
| Formulation | Moisture Loss (%) | Moisture Uptake (%) | Swelling (%) 3 h | Swelling (%) 6 h | Swelling (%) 12 h |
|---|---|---|---|---|---|
| CIP-F | 1.08 ± 0.05 | 1.28 ± 0.11 | 190.2 ± 2.5 | 207.6 ± 3.1 | 232.2 ± 2.8 |
| CIP-O | 0.93 ± 0.01 | 1.04 ± 0.03 | 139.1 ± 2.5 | 154.6 ± 3.3 | 172.2 ± 3.7 |
| CIP-OG | 0.82 ± 0.03 | 0.94 ± 0.01 | 129.1 ± 1.6 | 143.9 ± 3.4 | 161.3 ± 2.2 |
| CIP-S | 0.68 ± 0.01 | 0.72 ± 0.01 | 117.6 ± 2.4 | 133.4 ± 4.3 | 137.1 ± 6.6 |
| Formulation | Diameter of Inhibited Growth Zone (mm) Against | |
|---|---|---|
| E. coli | S. aureus | |
| CIP-F | 4.8 ± 0.1 | 3.3 ± 0.1 |
| CIP-O | 4.7 ± 0.1 | 3.5 ± 0.1 |
| CIP-OG | 4.5 ± 0.2 | 3.7 ± 0.2 |
| CIP-S | 4.8 ± 0.1 | 3.5 ± 0.1 |
| Formulation | Cmax (μg/mL) | AUC0-120 | MRT (h) |
|---|---|---|---|
| CIP-OG | 702.31 ± 12.13 | 4314.99 ± 1.41 | 27.61 ± 0.97 |
| CIP-O | 1146.11 ± 32.35 | 3884.09 ± 15.97 | 23.30 ± 0.50 |
| CIP-DROP | 247.70 ± 10.40 | 859.11 ± 16.60 | 3.30 ± 0.02 |
Disclaimer/Publisher’s Note: The statements, opinions and data contained in all publications are solely those of the individual author(s) and contributor(s) and not of MDPI and/or the editor(s). MDPI and/or the editor(s) disclaim responsibility for any injury to people or property resulting from any ideas, methods, instructions or products referred to in the content. |
© 2023 by the authors. Licensee MDPI, Basel, Switzerland. This article is an open access article distributed under the terms and conditions of the Creative Commons Attribution (CC BY) license (https://creativecommons.org/licenses/by/4.0/).
Share and Cite
Taghe, S.; Mirzaeei, S.; Ahmadi, A. Preparation and Evaluation of Nanofibrous and Film-Structured Ciprofloxacin Hydrochloride Inserts for Sustained Ocular Delivery: Pharmacokinetic Study in Rabbit’s Eye. Life 2023, 13, 913. https://doi.org/10.3390/life13040913
Taghe S, Mirzaeei S, Ahmadi A. Preparation and Evaluation of Nanofibrous and Film-Structured Ciprofloxacin Hydrochloride Inserts for Sustained Ocular Delivery: Pharmacokinetic Study in Rabbit’s Eye. Life. 2023; 13(4):913. https://doi.org/10.3390/life13040913
Chicago/Turabian StyleTaghe, Shiva, Shahla Mirzaeei, and Arian Ahmadi. 2023. "Preparation and Evaluation of Nanofibrous and Film-Structured Ciprofloxacin Hydrochloride Inserts for Sustained Ocular Delivery: Pharmacokinetic Study in Rabbit’s Eye" Life 13, no. 4: 913. https://doi.org/10.3390/life13040913
APA StyleTaghe, S., Mirzaeei, S., & Ahmadi, A. (2023). Preparation and Evaluation of Nanofibrous and Film-Structured Ciprofloxacin Hydrochloride Inserts for Sustained Ocular Delivery: Pharmacokinetic Study in Rabbit’s Eye. Life, 13(4), 913. https://doi.org/10.3390/life13040913

