Predicting the Efficacy of SBRT for Lung Cancer with 18F-FDG PET/CT Radiogenomics
Abstract
1. Introduction
2. Materials and Methods
2.1. Patients and Inclusion Criteria
2.2. Imaging Protocol for 18F-FDG PET/CT
2.3. Stereotactic Body Radiation Therapy (SBRT)
2.4. Segmentation, and Feature Extraction and Selection
2.4.1. Segmentation
2.4.2. Feature Extraction
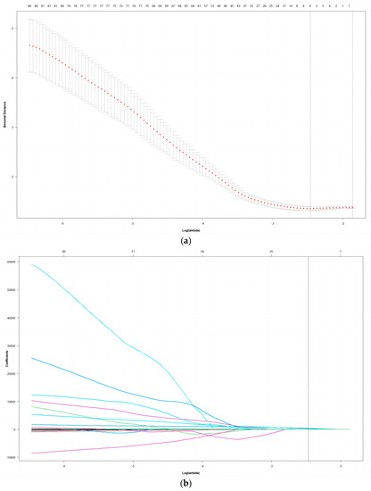
2.4.3. Feature Selection and Model Construction
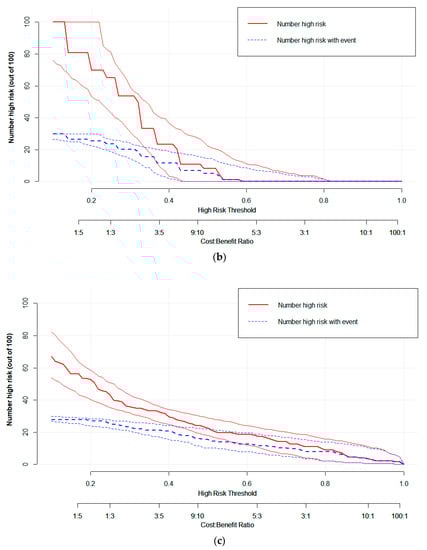
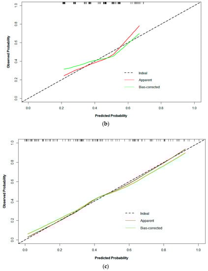
2.5. Model Evaluation and Validation
2.6. Statistical Analysis
3. Results
3.1. Clinical Characteristics
3.2. Extraction and Selection of Radiomic Features
3.3. Model Performance
3.4. Bootstrap Validation
4. Discussion
5. Conclusions
Author Contributions
Funding
Institutional Review Board Statement
Informed Consent Statement
Data Availability Statement
Acknowledgments
Conflicts of Interest
References
- Sung, H.; Ferlay, J.; Siegel, R.L.; Laversanne, M.; Soerjomataram, I.; Jemal, A.; Bray, F. Global Cancer Statistics 2020: GLOBOCAN Estimates of Incidence and Mortality Worldwide for 36 Cancers in 185 Countries. CA Cancer J. Clin. 2021, 71, 209–249. [Google Scholar] [CrossRef]
- Chang, J.Y.; Senan, S.; Paul, M.A.; Mehran, R.J.; Louie, A.V.; Balter, P.; Groen, H.J.M.; McRae, S.E.; Widder, J.; Feng, L.; et al. Stereotactic ablative radiotherapy versus lobectomy for operable stage I non-small-cell lung cancer: A pooled analysis of two randomised trials. Lancet Oncol. 2015, 16, 630–637. [Google Scholar] [CrossRef]
- Ball, D.; Mai, G.T.; Vinod, S.; Babington, S.; Ruben, J.; Kron, T.; Chesson, B.; Herschtal, A.; Vanevski, M.; Rezo, A.; et al. Stereotactic ablative radiotherapy versus standard radiotherapy in stage 1 non-small-cell lung cancer (TROG 09.02 CHISEL): A phase 3, open-label, randomised controlled trial. Lancet Oncol. 2019, 20, 494–503. [Google Scholar] [CrossRef] [PubMed]
- Chang, J.Y.; Mehran, R.J.; Feng, L.; Verma, V.; Liao, Z.; Welsh, J.W.; Lin, S.H.; O’Reilly, M.S.; Jeter, M.D.; Balter, P.A.; et al. Stereotactic ablative radiotherapy for operable stage I non-small-cell lung cancer (revised STARS): Long-term results of a single-arm, prospective trial with prespecified comparison to surgery. Lancet Oncol. 2021, 22, 1448–1457. [Google Scholar] [CrossRef] [PubMed]
- Sun, B.; Brooks, E.D.; Komaki, R.U.; Liao, Z.; Jeter, M.D.; McAleer, M.F.; Allen, P.K.; Balter, P.A.; Welsh, J.D.; O’Reilly, M.S.; et al. 7-year follow-up after stereotactic ablative radiotherapy for patients with stage I non-small cell lung cancer: Results of a phase 2 clinical trial. Cancer 2017, 123, 3031–3039. [Google Scholar] [CrossRef] [PubMed]
- Schneider, B.J.; Daly, M.E.; Kennedy, E.B.; Antonoff, M.B.; Broderick, S.; Feldman, J.; Jolly, S.; Meyers, B.; Rocco, G.; Rusthoven, C.; et al. Stereotactic Body Radiotherapy for Early-Stage Non-Small-Cell Lung Cancer: American Society of Clinical Oncology Endorsement of the American Society for Radiation Oncology Evidence-Based Guideline. J. Clin. Oncol. 2018, 36, 710–719. [Google Scholar] [CrossRef]
- Collen, C.; Christian, N.; Schallier, D.; Meysman, M.; Duchateau, M.; Storme, G.; De Ridder, M. Phase II study of stereotactic body radiotherapy to primary tumor and metastatic locations in oligometastatic nonsmall-cell lung cancer patients. Ann. Oncol. 2014, 25, 1954–1959. [Google Scholar] [CrossRef]
- Chen, M.; Chen, K.; Li, S.; Meng, Y.; Shi, Y.; Chen, X.; Yang, H. The prognostic value of circulating lymphocyte counts and ABO blood group in lung cancer stereotactic body radiation therapy: A retrospective study. J. Thorac. Dis. 2022, 14, 494–506. [Google Scholar] [CrossRef] [PubMed]
- Chang, C.; Zhou, S.; Yu, H.; Zhao, W.; Ge, Y.; Duan, S.; Wang, R.; Qian, X.; Lei, B.; Wang, L.; et al. A clinically practical radiomics-clinical combined model based on PET/CT data and nomogram predicts EGFR mutation in lung adenocarcinoma. Eur. Radiol. 2021, 31, 6259–6268. [Google Scholar] [CrossRef]
- Lindeman, N.I.; Cagle, P.T.; Aisner, D.L.; Arcila, M.E.; Beasley, M.B.; Bernicker, E.H.; Colasacco, C.; Dacic, S.; Hirsch, F.R.; Kerr, K.; et al. Updated Molecular Testing Guideline for the Selection of Lung Cancer Patients for Treatment With Targeted Tyrosine Kinase Inhibitors: Guideline From the College of American Pathologists, the International Association for the Study of Lung Cancer, and the Association for Molecular Pathology. Arch. Pathol. Lab. Med. 2018, 142, 321–346. [Google Scholar] [CrossRef]
- Iyengar, P.; Kavanagh, B.D.; Wardak, Z.; Smith, I.; Ahn, C.; Gerber, D.E.; Dowell, J.; Hughes, R.; Abdulrahman, R.; Camidge, D.R.; et al. Phase II trial of stereotactic body radiation therapy combined with erlotinib for patients with limited but progressive metastatic non-small-cell lung cancer. J. Clin. Oncol. 2014, 32, 3824–3830. [Google Scholar] [CrossRef]
- Al-Halabi, H.; Sayegh, K.; Digamurthy, S.R.; Niemierko, A.; Piotrowska, Z.; Willers, H.; Sequist, L.V. Pattern of Failure Analysis in Metastatic EGFR-Mutant Lung Cancer Treated with Tyrosine Kinase Inhibitors to Identify Candidates for Consolidation Stereotactic Body Radiation Therapy. J. Thorac. Oncol. 2015, 10, 1601–1607. [Google Scholar] [CrossRef] [PubMed]
- Schmid, S.; Klingbiel, D.; Aeppli, S.; Britschgi, C.; Gautschi, O.; Pless, M.; Rothschild, S.; Wannesson, L.; Janthur, W.; Foerbs, D.; et al. Patterns of progression on osimertinib in EGFR T790M positive NSCLC: A Swiss cohort study. Lung Cancer 2019, 130, 149–155. [Google Scholar] [CrossRef]
- Chen, Y.H.; Wang, T.F.; Chu, S.C.; Lin, C.B.; Wang, L.Y.; Lue, K.H.; Liu, S.H.; Chan, S.C. Incorporating radiomic feature of pretreatment 18F-FDG PET improves survival stratification in patients with EGFR-mutated lung adenocarcinoma. PLoS ONE 2020, 15, e0244502. [Google Scholar] [CrossRef]
- Sollini, M.; Cozzi, L.; Antunovic, L.; Chiti, A.; Kirienko, M. PET Radiomics in NSCLC: State of the art and a proposal for harmonization of methodology. Sci. Rep. 2017, 7, 358. [Google Scholar] [CrossRef] [PubMed]
- Desseroit, M.C.; Visvikis, D.; Tixier, F.; Majdoub, M.; Perdrisot, R.; Guillevin, R.; Cheze Le Rest, C.; Hatt, M. Development of a nomogram combining clinical staging with (18)F-FDG PET/CT image features in non-small-cell lung cancer stage I-III. Eur. J. Nuclear Med. Mol. Imaging 2016, 43, 1477–1485. [Google Scholar] [CrossRef] [PubMed]
- Yuan, M.; Zhang, Y.D.; Pu, X.H.; Zhong, Y.; Li, H.; Wu, J.F.; Yu, T.F. Comparison of a radiomic biomarker with volumetric analysis for decoding tumour phenotypes of lung adenocarcinoma with different disease-specific survival. Eur. Radiol. 2017, 27, 4857–4865. [Google Scholar] [CrossRef]
- Flechsig, P.; Frank, P.; Kratochwil, C.; Antoch, G.; Rath, D.; Moltz, J.; Rieser, M.; Warth, A.; Kauczor, H.U.; Schwartz, L.H.; et al. Radiomic Analysis using Density Threshold for FDG-PET/CT-Based N-Staging in Lung Cancer Patients. Mol. Imaging Biol. 2017, 19, 315–322. [Google Scholar] [CrossRef]
- Yu, W.; Tang, C.; Hobbs, B.P.; Li, X.; Koay, E.J.; Wistuba, I.I.; Sepesi, B.; Behrens, C.; Rodriguez Canales, J.; Parra Cuentas, E.R.; et al. Development and Validation of a Predictive Radiomics Model for Clinical Outcomes in Stage I Non-small Cell Lung Cancer. Int. J. Radiat. Oncol. Biol. Phys. 2018, 102, 1090–1097. [Google Scholar] [CrossRef]
- Kirienko, M.; Sollini, M.; Corbetta, M.; Voulaz, E.; Gozzi, N.; Interlenghi, M.; Gallivanone, F.; Castiglioni, I.; Asselta, R.; Duga, S.; et al. Radiomics and gene expression profile to characterise the disease and predict outcome in patients with lung cancer. Eur. J. Nuclear Med. Mol. Imaging 2021, 48, 3643–3655. [Google Scholar] [CrossRef]
- Detterbeck, F.C.; Boffa, D.J.; Kim, A.W.; Tanoue, L.T. The Eighth Edition Lung Cancer Stage Classification. Chest 2017, 151, 193–203. [Google Scholar] [CrossRef]
- Boellaard, R.; O’Doherty, M.J.; Weber, W.A.; Mottaghy, F.M.; Lonsdale, M.N.; Stroobants, S.G.; Oyen, W.J.; Kotzerke, J.; Hoekstra, O.S.; Pruim, J.; et al. FDG PET and PET/CT: EANM procedure guidelines for tumour PET imaging: Version 1.0. Eur. J. Nuclear Med. Mol. Imaging 2010, 37, 181–200. [Google Scholar] [CrossRef] [PubMed]
- Kumar, V.; Gu, Y.; Basu, S.; Berglund, A.; Eschrich, S.A.; Schabath, M.B.; Forster, K.; Aerts, H.J.; Dekker, A.; Fenstermacher, D.; et al. Radiomics: The process and the challenges. Magn. Reson. Imaging 2012, 30, 1234–1248. [Google Scholar] [CrossRef]
- Lambin, P.; Rios-Velazquez, E.; Leijenaar, R.; Carvalho, S.; van Stiphout, R.G.; Granton, P.; Zegers, C.M.; Gillies, R.; Boellard, R.; Dekker, A.; et al. Radiomics: Extracting more information from medical images using advanced feature analysis. Eur. J. Cancer 2012, 48, 441–446. [Google Scholar] [CrossRef] [PubMed]
- Yushkevich, P.A.; Piven, J.; Hazlett, H.C.; Smith, R.G.; Ho, S.; Gee, J.C.; Gerig, G. User-guided 3D active contour segmentation of anatomical structures: Significantly improved efficiency and reliability. Neuroimage 2006, 31, 1116–1128. [Google Scholar] [CrossRef]
- van Griethuysen, J.J.M.; Fedorov, A.; Parmar, C.; Hosny, A.; Aucoin, N.; Narayan, V.; Beets-Tan, R.G.H.; Fillion-Robin, J.C.; Pieper, S.; Aerts, H. Computational Radiomics System to Decode the Radiographic Phenotype. Cancer Res. 2017, 77, e104–e107. [Google Scholar] [CrossRef] [PubMed]
- Zwanenburg, A.; Vallieres, M.; Abdalah, M.A.; Aerts, H.; Andrearczyk, V.; Apte, A.; Ashrafinia, S.; Bakas, S.; Beukinga, R.J.; Boellaard, R.; et al. The Image Biomarker Standardization Initiative: Standardized Quantitative Radiomics for High-Throughput Image-based Phenotyping. Radiology 2020, 295, 328–338. [Google Scholar] [CrossRef]
- Moons, K.G.; Altman, D.G.; Reitsma, J.B.; Ioannidis, J.P.; Macaskill, P.; Steyerberg, E.W.; Vickers, A.J.; Ransohoff, D.F.; Collins, G.S. Transparent Reporting of a multivariable prediction model for Individual Prognosis or Diagnosis (TRIPOD): Explanation and elaboration. Ann. Intern Med. 2015, 162, W1–W73. [Google Scholar] [CrossRef]
- Tixier, F.; Le Rest, C.C.; Hatt, M.; Albarghach, N.; Pradier, O.; Metges, J.P.; Corcos, L.; Visvikis, D. Intratumor heterogeneity characterized by textural features on baseline 18F-FDG PET images predicts response to concomitant radiochemotherapy in esophageal cancer. J. Nuclear Med. 2011, 52, 369–378. [Google Scholar] [CrossRef]
- Ahn, H.K.; Lee, H.; Kim, S.G.; Hyun, S.H. Pre-treatment (18)F-FDG PET-based radiomics predict survival in resected non-small cell lung cancer. Clin. Radiol. 2019, 74, 467–473. [Google Scholar] [CrossRef]
- Ohri, N.; Duan, F.; Snyder, B.S.; Wei, B.; Machtay, M.; Alavi, A.; Siegel, B.A.; Johnson, D.W.; Bradley, J.D.; DeNittis, A.; et al. Pretreatment 18F-FDG PET Textural Features in Locally Advanced Non-Small Cell Lung Cancer: Secondary Analysis of ACRIN 6668/RTOG 0235. J. Nuclear Med. 2016, 57, 842–848. [Google Scholar] [CrossRef]
- Antunovic, L.; De Sanctis, R.; Cozzi, L.; Kirienko, M.; Sagona, A.; Torrisi, R.; Tinterri, C.; Santoro, A.; Chiti, A.; Zelic, R.; et al. PET/CT radiomics in breast cancer: Promising tool for prediction of pathological response to neoadjuvant chemotherapy. Eur. J. Nuclear Med. Mol Imaging 2019, 46, 1468–1477. [Google Scholar] [CrossRef] [PubMed]
- Cui, Y.; Song, J.; Pollom, E.; Alagappan, M.; Shirato, H.; Chang, D.T.; Koong, A.C.; Li, R. Quantitative Analysis of (18)F-Fluorodeoxyglucose Positron Emission Tomography Identifies Novel Prognostic Imaging Biomarkers in Locally Advanced Pancreatic Cancer Patients Treated with Stereotactic Body Radiation Therapy. Int. J. Radiat. Oncol. Biol. Phys. 2016, 96, 102–109. [Google Scholar] [CrossRef] [PubMed]
- Peng, H.; Dong, D.; Fang, M.J.; Li, L.; Tang, L.L.; Chen, L.; Li, W.F.; Mao, Y.P.; Fan, W.; Liu, L.Z.; et al. Prognostic Value of Deep Learning PET/CT-Based Radiomics: Potential Role for Future Individual Induction Chemotherapy in Advanced Nasopharyngeal Carcinoma. Clin. Cancer Res. 2019, 25, 4271–4279. [Google Scholar] [CrossRef]
- Giannini, V.; Mazzetti, S.; Bertotto, I.; Chiarenza, C.; Cauda, S.; Delmastro, E.; Bracco, C.; Di Dia, A.; Leone, F.; Medico, E.; et al. Predicting locally advanced rectal cancer response to neoadjuvant therapy with (18)F-FDG PET and MRI radiomics features. Eur. J. Nuclear Med. Mol Imaging 2019, 46, 878–888. [Google Scholar] [CrossRef] [PubMed]
- Sollini, M.; Antunovic, L.; Chiti, A.; Kirienko, M. Towards clinical application of image mining: A systematic review on artificial intelligence and radiomics. Eur. J. Nuclear Med. Mol. Imaging 2019, 46, 2656–2672. [Google Scholar] [CrossRef] [PubMed]
- Lee, S.H.; Kao, G.D.; Feigenberg, S.J.; Dorsey, J.F.; Frick, M.A.; Jean-Baptiste, S.; Uche, C.Z.; Cengel, K.A.; Levin, W.P.; Berman, A.T.; et al. Multiblock Discriminant Analysis of Integrative 18F-FDG-PET/CT Radiomics for Predicting Circulating Tumor Cells in Early-Stage Non-small Cell Lung Cancer Treated with Stereotactic Body Radiation Therapy. Int. J. Radiat. Oncol. Biol. Phys. 2021, 110, 1451–1465. [Google Scholar] [CrossRef]
- Dissaux, G.; Visvikis, D.; Da-Ano, R.; Pradier, O.; Chajon, E.; Barillot, I.; Duverge, L.; Masson, I.; Abgral, R.; Santiago Ribeiro, M.J.; et al. Pretreatment (18)F-FDG PET/CT Radiomics Predict Local Recurrence in Patients Treated with Stereotactic Body Radiotherapy for Early-Stage Non-Small Cell Lung Cancer: A Multicentric Study. J. Nuclear Med. 2020, 61, 814–820. [Google Scholar] [CrossRef]
- Lasnon, C.; Majdoub, M.; Lavigne, B.; Do, P.; Madelaine, J.; Visvikis, D.; Hatt, M.; Aide, N. (18)F-FDG PET/CT heterogeneity quantification through textural features in the era of harmonisation programs: A focus on lung cancer. Eur. J. Nuclear Med. Mol. Imaging 2016, 43, 2324–2335. [Google Scholar] [CrossRef]
- Westover, D.; Zugazagoitia, J.; Cho, B.C.; Lovly, C.M.; Paz-Ares, L. Mechanisms of acquired resistance to first- and second-generation EGFR tyrosine kinase inhibitors. Ann. Oncol. 2018, 29 (Suppl. 1), i10–i19. [Google Scholar] [CrossRef]
- Remon, J.; Steuer, C.E.; Ramalingam, S.S.; Felip, E. Osimertinib and other third-generation EGFR TKI in EGFR-mutant NSCLC patients. Ann. Oncol. 2018, 29 (Suppl. 1), i20–i27. [Google Scholar] [CrossRef] [PubMed]
- Soria, J.C.; Ohe, Y.; Vansteenkiste, J.; Reungwetwattana, T.; Chewaskulyong, B.; Lee, K.H.; Dechaphunkul, A.; Imamura, F.; Nogami, N.; Kurata, T.; et al. Osimertinib in Untreated EGFR-Mutated Advanced Non-Small-Cell Lung Cancer. N. Engl. J. Med. 2018, 378, 113–125. [Google Scholar] [CrossRef] [PubMed]
- Wei, H.; Zhou, X.; Yang, H.; Gong, Y.; Wang, J.; Xu, Y.; Zhou, L.; Xue, J.; Zou, B.; Zhang, Y.; et al. Stereotactic body radiotherapy to the primary lung lesion improves the survival of the selected patients with non-oligometastatic NSCLC harboring EGFR activating mutation with first-line EGFR-TKIs: A real-world study. J. Cancer Res. Clin. Oncol. 2022, 148, 2589–2598. [Google Scholar] [CrossRef] [PubMed]
- Wang, X.; Lu, Z.; Zeng, Z.; Cai, J.; Xu, P.; Liu, A. Thoracic stereotactic body radiation therapy plus first-line tyrosine kinase inhibitors for patients with epidermal growth factor receptor-mutant polymetastatic non-small-cell lung cancer. Medicine 2021, 100, 27279. [Google Scholar] [CrossRef]
- Shi, Y.; Xu, H.; Raynor, W.Y.; Ding, J.; Lin, L.; Zhou, C.; Wang, W.; Meng, Y.; Wu, X.; Chen, X.; et al. Efficacy and Failure Patterns of Early SBRT to the Primary Tumor in Advanced EGFR-Mutation-Positive Lung Cancer with EFGR-TKI Treatment: A Prospective, Single Arm, Phase II Study. Life 2022, 12, 1954. [Google Scholar] [CrossRef]
- Tang, X.; Shen, Y.; Meng, Y.; Hou, L.; Zhou, C.; Yu, C.; Jia, H.; Wang, W.; Ren, G.; Cai, J.; et al. Radiation-induced lung damage in patients treated with stereotactic body radiotherapy after EGFR-TKIs: Is there any difference from stereotactic body radiotherapy alone? Ann. Palliat. Med. 2021, 10, 2832–2842. [Google Scholar] [CrossRef]
- Birim, O.; Kappetein, A.P.; van Klaveren, R.J.; Bogers, A.J. Prognostic factors in non-small cell lung cancer surgery. Eur. J. Surg. Oncol. 2006, 32, 12–23. [Google Scholar] [CrossRef]
- Wang, G.; He, L.; Yuan, C.; Huang, Y.; Liu, Z.; Liang, C. Pretreatment MR imaging radiomics signatures for response prediction to induction chemotherapy in patients with nasopharyngeal carcinoma. Eur. J. Radiol. 2018, 98, 100–106. [Google Scholar] [CrossRef]










| Characteristics | Numbers of Cases (n) | Constituent Ratio (%) |
|---|---|---|
| Age, years (≤70 y/>70 y) | 63/60 | 51.22/48.78 |
| Sex (male/female) | 103/20 | 83.74/16.26 |
| KPS (100/90/80/70) | 2/40/78/3 | 1.63/32.52/63.41/2.44 |
| ECOG performance status (0/1/2) | 47/74/2 | 38.21/60.16/1.63 |
| Cigarette smoking (ever been smoker/never smoker) | 40/83 | 32.52/67.48 |
| Tumor location (central/peripheral) | 62/61 | 50.41/49.59 |
| Pathological type (adenocarcinoma/squamous cell carcinoma/unknown) | 37/52/34 | 30.08/42.28/27.64 |
| Source of tumor (primary/metastatic) | 94/29 | 76.42/23.58 |
| EGFR mutation (positive/negative) | 25/98 | 20.33/79.67 |
| T classification (T1–T4) | 51/32/22/18 | 41.46/26.02/17.89/14.63 |
| Overall stage (I–II/III–IV) | 43/80 | 34.96/65.04 |
| Maximal SUV (≤9.6/>9.6) | 63/60 | 51.22/48.78 |
| BED (≤100/>100) | 74/49 | 60.16/39.84 |
| Characteristics | Long PFS (n = 52) | Short PFS (n = 71) | p |
|---|---|---|---|
| Age (≤70 y/>70 y) | 24/28 | 39/32 | 0.34 |
| Sex (female/male) | 9/43 | 11/60 | 0.81 |
| KPS (100/90/80/70) | 1/20/29/2 | 1/20/49/1 | 0.43 |
| ECOG performance status (0/1/2) | 22/28/2 | 25/46/0 | 0.15 |
| Cigarette smoking (ever/never) | 36/16 | 47/24 | 0.85 |
| Tumor location (central/peripheral) | 29/23 | 55/16 | 0.36 |
| Pathology (adenocarcinoma/squamous cell carcinoma/unknown) | 18/21/13 | 19/31/21 | 0.68 |
| Source of tumor (primary/metastatic) | 39/13 | 55/16 | 0.83 |
| T classification (1–4) | 18/14/10/10 | 33/18/12/8 | 0.49 |
| Overall stage (I–II/III–IV) | 23/29 | 20/51 | 0.07 |
| Maximal SUV (≤9.6/>9.6) | 28/24 | 35/36 | 0.62 |
| BED (≤100/>100) | 36/16 | 38/33 | 0.08 |
| Models | AUC | ACC | SEN | SPE | PPV | NPV | Delong’s P |
|---|---|---|---|---|---|---|---|
| Radiogenomic model | 0.86 | 0.78 | 0.71 | 0.83 | 0.76 | 0.80 | |
| Radiomic model | 0.84 | 0.77 | 0.71 | 0.82 | 0.74 | 0.79 | >0.05 |
| Clinical EGFR model | 0.67 | 0.65 | 0.52 | 0.75 | 0.60 | 0.68 | <0.05 |
Disclaimer/Publisher’s Note: The statements, opinions and data contained in all publications are solely those of the individual author(s) and contributor(s) and not of MDPI and/or the editor(s). MDPI and/or the editor(s) disclaim responsibility for any injury to people or property resulting from any ideas, methods, instructions or products referred to in the content. |
© 2023 by the authors. Licensee MDPI, Basel, Switzerland. This article is an open access article distributed under the terms and conditions of the Creative Commons Attribution (CC BY) license (https://creativecommons.org/licenses/by/4.0/).
Share and Cite
Chen, K.; Hou, L.; Chen, M.; Li, S.; Shi, Y.; Raynor, W.Y.; Yang, H. Predicting the Efficacy of SBRT for Lung Cancer with 18F-FDG PET/CT Radiogenomics. Life 2023, 13, 884. https://doi.org/10.3390/life13040884
Chen K, Hou L, Chen M, Li S, Shi Y, Raynor WY, Yang H. Predicting the Efficacy of SBRT for Lung Cancer with 18F-FDG PET/CT Radiogenomics. Life. 2023; 13(4):884. https://doi.org/10.3390/life13040884
Chicago/Turabian StyleChen, Kuifei, Liqiao Hou, Meng Chen, Shuling Li, Yangyang Shi, William Y. Raynor, and Haihua Yang. 2023. "Predicting the Efficacy of SBRT for Lung Cancer with 18F-FDG PET/CT Radiogenomics" Life 13, no. 4: 884. https://doi.org/10.3390/life13040884
APA StyleChen, K., Hou, L., Chen, M., Li, S., Shi, Y., Raynor, W. Y., & Yang, H. (2023). Predicting the Efficacy of SBRT for Lung Cancer with 18F-FDG PET/CT Radiogenomics. Life, 13(4), 884. https://doi.org/10.3390/life13040884

