Radioprotection for Astronauts’ Missions: Numerical Results on the Nomex Shielding Effectiveness
Abstract
1. Introduction
2. Materials and Methods
2.1. GCR
2.2. Radiation Shielding
2.3. Radiation–Matter Interaction
2.4. Monte Carlo Simulation—Geant4
2.5. The Physical Models Implemented in Dose Code
2.6. Geometry Used in the Calculations for the Dose Evaluation
3. Results
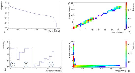
3.1. Secondary Radiation Produced in the Target
3.2. Transport of Primary and Secondary Radiation behind the Target
3.3. Estimate of the Dose
4. Summary and Conclusions
Author Contributions
Funding
Institutional Review Board Statement
Informed Consent Statement
Data Availability Statement
Conflicts of Interest
References
- Sihver, L.; Barghouty, F.Y.; Falconer, D. Space Radiation Risk Reduction through Prediction, Detection and Protection. In Proceedings of the IEEE 42th IEEE Aerospace Conference (IEEEAC), Big Sky, MT, USA, 6–13 March 2021. [Google Scholar]
- Siddiqui, R.; Akbar, N.; Khan, N.A. Gut microbiome and human health under the space environment. J. Appl. Microbiol. 2021, 130, 14–24. [Google Scholar] [CrossRef] [PubMed]
- Sihver, L.; Mortazavi, S.M.J. Radiation Risks and Countermeasures for Humans on Deep Space Missions. In Proceedings of the IEEE 40th IEEE Aerospace Conference (IEEEAC) Paper, Big Sky, MT, USA, 2–9 March 2019. [Google Scholar]
- Sihver, L.; Mortazavi, S.M.J. Biological Protection in Deep Space Missions. J. Biomed. Physics Eng. 2020, 11, 663. [Google Scholar] [CrossRef]
- DeWitt, J.M.; Benton, E.R. Shielding effectiveness: A weighted figure of merit for space radiation shielding. Appl. Radiat. Isot. 2020, 161, 109141. [Google Scholar] [CrossRef]
- Stewart, F.A.; Akleyev, A.V.; Hauer-Jensen, M.; Hendry, J.H.; Kleiman, N.J.; Macvittie, T.J.; Aleman, B.M.; Edgar, A.B.; Mabuchi, K.; Muirhead, C.R.; et al. ICRP publication 118: ICRP statement on tissue reactions and early and late effects of radiation in normal tissues and organs--threshold doses for tissue reactions in a radiation protection context. Ann. ICRP 2012, 41, 1–322. [Google Scholar] [CrossRef] [PubMed]
- Loffredo, F.; Scala, A.; Adinolfi, G.M.; Savino, F.; Quarto, M. A new geostatistical tool for the analysis of the geographical variability of the indoor radon activity. Nukleonika 2020, 65, 99–104. [Google Scholar] [CrossRef]
- Shapiro, J.R.; Schneider, V. Countermeasure development: Future research targets. J. Gravit. Physiol. 2000, 7, P1-4. [Google Scholar]
- Shapiro, J.R. Microgravity and drug effects on bone. J. Musculoskelet. Neuronal Interact. 2006, 6, 322–323. [Google Scholar]
- Cucinotta, F.A.; Hu, S.; Schwadron, N.A.; Kozarev, K.; Townsend, L.W.; Kim, M.-H.Y. Space radiation risk limits and Earth-Moon-Mars environmental models. Space Weather 2010, 8, S00E09. [Google Scholar] [CrossRef]
- Straube, U.; Berger, T.; Reitz, G.; Facius, R.; Fuglesang, C.; Reiter, T.; Damann, V.; Tognini, M. Operational radiation protection for astronauts and cosmonauts and correlated activities of ESA medical operations. Acta Astronaut. 2010, 66, 963–973. [Google Scholar] [CrossRef]
- Durante, M.; Cucinotta, F.A. Physical basis of radiation protection in space travel. Rev. Mod. Phys. 2011, 83, 1245. [Google Scholar] [CrossRef]
- Thomas, S.R.; Owens, M.J.; Lockwood, M. Galactic cosmic rays in the heliosphere. Astron. Geophys. 2014, 55, 5.23–5.25. [Google Scholar] [CrossRef]
- Nymmik, R. Initial conditions for radiation analysis: Models of galactic cosmic rays and solar particle events. Adv. Space Res. 2006, 38, 1182–1190. [Google Scholar] [CrossRef]
- Tylka, A.J.; Adams, J.H.; Boberg, P.R.; Brownstein, B.; Dietrich, W.F.; Flueckiger, E.O.; Petersen, E.L.; Shea, M.A.; Smart, D.F.; Smith, E.C. CREME96: A Revision of the Cosmic Ray Effects on Micro-Electronics Code. IEEE Trans. Nucl. Sci. 1997, 44, 2150–2160. [Google Scholar] [CrossRef]
- Nymmik, R.A.; Panasyuk, M.I.; Pervaja, T.I.; Suslov, A.A. A Model of Galactic Cosmic Ray Fluxes. Nucl. Tracks Radiat. Meas. 1992, 20, 427–429. [Google Scholar] [CrossRef]
- Nymmik, R.A.; Panasyuk, M.I.; Suslov, A.A. Galactic cosmic ray flux simulation and prediction. Adv. Space Res. 1996, 17, 2. [Google Scholar] [CrossRef] [PubMed]
- Loffredo, F.; Vardaci, E.; Bianco, D.; Di Nitto, A.; Quarto, M. Protons interaction with Nomex target: Secondary Radiation from a Monte Carlo simulation with Geant4. Appl. Sci. 2022, 12, 2643. [Google Scholar] [CrossRef]
- Loffredo, F.; Vardaci, E.; Quarto, M.; Roca, V.; Pugliese, M. Validation of electromagnetic and hadronic physical processes in the interaction of a proton beam with matter: A Solar Particle Events case study with an Al slab. Adv. Space Res. 2017, 59, 393. [Google Scholar] [CrossRef]
- Loffredo, F.; Vardaci, E.; Roca, V.; Pugliese, M. Space missions: Comparison of shielding effectiveness among different materials using 1 GeV protons. Mater. Res. Express 2019, 6, 016544. [Google Scholar] [CrossRef]
- Foo, C.C.; Chai, G.B.; Seah, L.K. Mechanical properties of Nomex material and Nomex honeycomb structure. Compos. Struct. 2007, 80, 588–594. [Google Scholar] [CrossRef]
- Zeitlin, C. Space Radiation Shielding. In Handbook of Bioastronautics; Young, L.R., Sutton, J.P., Eds.; Springer: Cham, Switzerland, 2021; pp. 353–375. [Google Scholar]
- Durante, M.; Cucinotta, F.A. Heavy ion carcinogenesis and human space exploration. Nat. Rev. Cancer 2008, 8, 465–472. [Google Scholar] [CrossRef]
- Bhattacharjee, P.; Sigl, G. Origin and propagation of extremely high-energy cosmic rays. Phys. Rept. 2000, 327, 109–247. [Google Scholar] [CrossRef]
- The National Council on Radiation Protection and Measurements (NCRP). Report No. 132—Radiation Protection Guidance for Activities in Low-Earth Orbit; The National Council on Radiation Protection and Measurements (NCRP): Bethesda, MD, USA, 2000. [Google Scholar]
- Borak, T.B.; Heilbronn, L.H.; Townsend, L.W.; McBeth, R.A.; de Wet, W. Quality factors for space radiation: A new approach. Life Sci. Space Res. 2014, 1, 96–102. [Google Scholar] [CrossRef] [PubMed]
- Veretenenko, S. Stratospheric Polar Vortex as an Important Link between the Lower Atmosphere Circulation and Solar Activity. Atmosphere 2022, 13, 1132. [Google Scholar] [CrossRef]
- Veretenenko, S.; Thejll, P. Effects of energetic Solar Proton Events on the cyclone development in the North Atlantic. J. Atmos. Sol. Terr. Phys. 2004, 66, 393–405. [Google Scholar] [CrossRef]
- Veretenenko, S.; Thejll, P. Cyclone regeneration in the North Atlantic intensified by energetic solar proton events. Adv. Space Res. 2005, 35, 470–475. [Google Scholar] [CrossRef]
- Artamonova, I.; Veretenenko, S. Galactic cosmic ray variation influence on baric system dynamics at middle latitudes. J. Atmos. Sol. Terr. Phys. 2011, 73, 366–370. [Google Scholar] [CrossRef]
- Naito, M.; Kodaira, S.; Ogawara, R.; Tobita, K.; Someya, Y.; Kusumoto, T.; Kusano, H.; Kitamura, H.; Koike, M.; Uchihori, Y.; et al. Investigation of shielding material properties for effective space radiation protection. Life Sci. Space Res. 2020, 26, 69–76. [Google Scholar] [CrossRef]
- Salter, B.; Owens, J.; Hayn, R.; McDonald, R.; Shannon, E. N-chloramide modified Nomex_ as a regenerable self-decontaminating material for protection against chemical warfare agents. J. Mater. Sci. 2009, 44, 2069–2078. [Google Scholar] [CrossRef]
- Agostinelli, S.; Allison, J.; Amako, K.A.; Apostolakis, J.; Araujo, H.; Arce, P.; Asai, M.; Axen, D.; Banerjee, S.; Barrand, G.J.N.I.; et al. Geant4—A Simulation Toolkit. Nucl. Instrum. Methods A 2003, 506, 250–303. [Google Scholar] [CrossRef]
- Allison, J.; Amako, K.; Apostolakis, J.; Araujo, H.; Arce Dubois, P.; Asai, M.; Barrand, G.; Capra, R.; Chauvie, S.; Chytracek, R.; et al. Geant4 Developments and Applications. IEEE Trans. Nucl. Sci. 2006, 53, 270–278. [Google Scholar] [CrossRef]
- Allison, J.; Amako, K.; Apostolakis, J.; Arce, P.; Asai, M.; Aso, T.; Bagli, E.; Bagulya, A.; Banerjee, S.; Barrand, G.; et al. Recent Developments in Geant4. Nucl. Instrum. Methods A 2016, 835, 186–225. [Google Scholar] [CrossRef]
- Mancusi, D.; Bertucci, A.; Gialanella, G.; Grossi, G.; Manti, L.; Pugliese, M.; Rusek, A.; Scampoli, P.; Sihver, L.; Durante, M. Comparison of aluminum and lucite for shielding against 1 GeV protons. Adv. Space Res. 2007, 40, 581–585. [Google Scholar] [CrossRef]
- Loffredo, F.; Vardaci, E.; Pugliese, M.; Serra, M.; Quarto, M. Dosimetry in Space: The shielding effectiveness for the radioprotection of astronauts against 1 GeV protons. Il Nuovo Cimento C 2020, 43, 133. [Google Scholar]
- Restier-Verlet, J.; El-Nachef, L.; Ferlazzo, M.L.; Al-Choboq, J.; Granzotto, A.; Bouchet, A.; Foray, N. Radiation on Earth or in Space: What Does It Change? Int. J. Mol. Sci. 2021, 22, 3739. [Google Scholar] [CrossRef] [PubMed]





| Materials Shield | Thickness (cm) | ρ (g/cm3) | Composition | Dose Increase |
|---|---|---|---|---|
| Nomex | 17.4 | 1.15 | [C(54%) H(4%) O(10%)N(9%) Cl(23%)]45%+ [N(70%) O(30%)]55% | 14% |
| Secondary | % |
|---|---|
| Protons | 95 |
| Neutrons | 3 |
| He | 0.05 |
| Li | 0.02 |
Disclaimer/Publisher’s Note: The statements, opinions and data contained in all publications are solely those of the individual author(s) and contributor(s) and not of MDPI and/or the editor(s). MDPI and/or the editor(s) disclaim responsibility for any injury to people or property resulting from any ideas, methods, instructions or products referred to in the content. |
© 2023 by the authors. Licensee MDPI, Basel, Switzerland. This article is an open access article distributed under the terms and conditions of the Creative Commons Attribution (CC BY) license (https://creativecommons.org/licenses/by/4.0/).
Share and Cite
Loffredo, F.; Vardaci, E.; Bianco, D.; Di Nitto, A.; Quarto, M. Radioprotection for Astronauts’ Missions: Numerical Results on the Nomex Shielding Effectiveness. Life 2023, 13, 790. https://doi.org/10.3390/life13030790
Loffredo F, Vardaci E, Bianco D, Di Nitto A, Quarto M. Radioprotection for Astronauts’ Missions: Numerical Results on the Nomex Shielding Effectiveness. Life. 2023; 13(3):790. https://doi.org/10.3390/life13030790
Chicago/Turabian StyleLoffredo, Filomena, Emanuele Vardaci, Davide Bianco, Antonio Di Nitto, and Maria Quarto. 2023. "Radioprotection for Astronauts’ Missions: Numerical Results on the Nomex Shielding Effectiveness" Life 13, no. 3: 790. https://doi.org/10.3390/life13030790
APA StyleLoffredo, F., Vardaci, E., Bianco, D., Di Nitto, A., & Quarto, M. (2023). Radioprotection for Astronauts’ Missions: Numerical Results on the Nomex Shielding Effectiveness. Life, 13(3), 790. https://doi.org/10.3390/life13030790

