Abstract
Background: The serological tests using blood stage antigens might be helpful for detecting recent exposure to Plasmodium parasites, and seroepidemiological studies would aid in the elimination of malaria. This work produced recombinant proteins of PvMSP142 variants and evaluated their capacity to detect IgG antibodies in symptomatic patients from Mesoamerica. Methods: Three variant Pvmsp142 genes were cloned in the pHL-sec plasmid, expressed in the Expi293F™ eukaryotic system, and the recombinant proteins were purified by affinity chromatography. Using an ELISA, 174 plasma or eluted samples from patients infected with different P. vivax haplotypes were evaluated against PvMSP142 proteins and to a native blood stage antigen (NBSA). Results: The antibody IgG OD values toward PvMSP142 variants (v88, v21, and v274) were heterogeneous (n = 178; median = 0.84 IQR 0.28–1.64). The correlation of IgG levels among all proteins was very high (spearman’s rho = 0.96–0.98; p < 0.0001), but was lower between them and the NBSA (rho = 0.771; p < 0.0001). In only a few samples, higher reactivity to the homologous protein was evident. Patients with a past infection who were seropositive had higher IgG levels and lower parasitemia levels than those who did not (p < 0.0001). Conclusions: The PvMSP142 variants were similarly efficient in detecting specific IgG antibodies in P. vivax patients from Mesoamerica, regardless of the infecting parasite’s haplotype, and might be good candidates for malaria surveillance and epidemiological studies in the region.
1. Introduction
Malaria is a disease caused by protozoan parasites of the genus Plasmodium, and Plasmodium vivax and Plasmodium falciparum stand out as the most prevalent species, which are transmitted by Anopheline mosquitoes. In the Americas, P. vivax causes high mobility, causing 71.5% of the 596 and 552 cases reported in 2021 [1]. In Mexico, the number of malaria cases has shown a downward trend in the last 20 years, and between 2015 and 2020, a reduction of about 25% of cases was shown. Mexico shares borders with Guatemala, and this country has not reported P. falciparum cases since 2017. However, the Mesoamerican region face instability in the transmission of malaria. Belize, Guatemala, and Honduras reported a reduction of ≥40% of malaria cases until 2019. However, in Honduras, the malaria cases increased in the years 2020–2021, and the P. vivax cases represented a higher proportion. Likewise, Nicaragua, Costa Rica, and Panama showed notable and constant increases in malaria cases caused mainly by P. vivax and P. falciparum (>40%) [1].
Many countries are integrating efforts towards the elimination of malaria; however, the high burden of asymptomatic infections, low parasitemia level, hypnozoite carriers, drug resistance, and limited knowledge of the insecticide–resistance vector, among other factors [2,3], require additional efforts toward detecting and monitoring the temporal and geographic distribution of the parasite burden. P. vivax is difficult to eliminate and persists in affected areas after P. falciparum has been eliminated, in part attributed to its higher diversity [4,5]. In the initial stage of the blood infection with this species, gametocytes are produced and can be transmitted by several mosquito species [6]. More exceptional is the lodging of hypnozoites in the liver, which causes relapse episodes after weeks, months, or years after the primary blood infection, and its pattern depends on the strain and geographic region [7]. To date, no treatment regimen with PQ is completely effective in eliminating P. vivax hypnozoites in all treated individuals [8].
Serological tools are highly sensitive for detecting most individuals recently exposed to the parasite, especially when the malaria cases are significantly reduced [1]. These tools might be capable of delineating clusters of infection, targeting treatments, monitoring the effect of anti-malarial interventions, and certifying the interruption of transmission, among other factors [2,9,10,11,12]. Malarial blood infection induces specific antibody responses that are short-lived and might be boosted by subsequent infections [13,14], and these responses can be detected using laboratory methods. The use of a native antigen from blood stages allowed the efficient detection of specific IgG antibodies in naturally infected patients [15]. These antibodies fade out after a few months, although only if the malaria infection is cured [13,14], suggesting that seropositivity might be linked to a persistent infection or a re-infection in patients from southern Mexico [14]. Previous studies have suggested that serological tools might be useful in predicting P. vivax transmission risks, as the annual seropositivity rate was related to the annual parasite rate in the following year [16].
Sustainable and reproducible immunoassays using immunogenic proteins of P. vivax have recently been used for seroepidemiological studies and surveillance, and to evaluate protective immunity [2,17,18]. P. vivax MSP1-42 kD (PvMSP142) is the C-terminal fragment participating in the first contact of the reticulocyte prior merozoite invasion, and consists of two fragments of 33 kD (PvMSP133) and 19 kD (PvMSP119). In the Mesoamerican region, PvMSP133 has a polymorphic segment and PvMSP119 is highly conserved [19,20]. PvMSP119 has been shown to be highly immunogenic and successful in monitoring the transmission of malaria in some countries [6,21]. A meta-analysis using data from cross-sectional studies revealed significant heterogeneity in the association of IgG responses to PvMSP119 and P. vivax infection [12], making it suitable as a serological marker of P. vivax exposure. This study also uncovered the lack of studies in other regions of the Americas outside Brazil. Furthermore, the evaluation of 300 P. vivax molecules identified PvMSP119 as one of the eight most reactive proteins [22], with appropriate characteristics for seroepidemiological surveillance [23].
In this work, three recombinant PvMSP142 proteins that are highly frequent in P. vivax variants from southern Mexico were produced in a highly efficient eukaryotic system, Expi293. They were used to evaluate their ability to detect specific IgG antibodies in plasma and eluted samples from symptomatic individuals diagnosed with P. vivax infection from Mesoamerica.
2. Materials and Methods
The Ethics Committees of the National Institute of Public Health of Mexico (CI1718) approved the study. The patients’ personal information was encrypted.
2.1. P. vivax Parasites
P. vivax-infected blood samples displaying different PvMSP142 haplotypes from southern Mexico [20] were used to produce three recombinant proteins (Figure S1). These variant proteins mirror the most frequent and divergent haplotypes from different haplogroups (HgA, HgB, and HgD) previously reported for Southern Mexico, which have fluctuated over time [20]. The diagnosis of P. vivax infection was made in symptomatic patients via a microscopy examination of a thick blood smear stained with Giemsa, as reported previously [19,20].
2.2. PCR Amplification
Genomic DNA was extracted using a QIAamp DNA Blood Mini Kit (Qiagen, Valencia, CA, USA) using the manufacturer’s procedure. Pvmsp1 gene sequences were amplified by nested PCR, using primers containing the restriction sites of Agle1 and Kpn1: Pvmsp142FAge1 5′ attaccggtGCCGAGGACTACGACAAAG 3′, Pvmsp142R1 5′ CAAGCTTAGGAAGCTGGAGG 3′, and Msp142R2Kpn1 5′ gataggtaccCTCAAAGAGTGGCTCAGA 3′. For the PCR1 and PCR2 reactions, 20 μL of Pvmsp142FAge1 and Pvmsp142R1 and 40 μL of Pvmsp142FAge1 and Msp142R2Kpn1 were prepared, respectively. AccuPrime™ Pfx DNA Polymerase (Thermo Fisher Scientific Inc., Waltham, MA, USA) samples at 0.5 μM and 1 μL of the template DNA were added (for PCR2, 2 μL of PCR1). The PCR conditions were similar for PCR1 and PCR2: denaturation at 95 °C for 5 min; 35 cycles: denaturation at 94 °C for 1 min, melting temperature 59 °C for 1 min and extension at 72 °C for 75 s. The final extension phase was at 72 °C for 10 min. Amplification reactions were run in the ProFlex™ PCR System (Invitrogen, Carlsbad, CA, USA). To verify that the PCR products were of the expected molecular size, samples were run in agarose gels at 1% using SYBR Safe (Invitrogen, Carlsbad, CA, USA) at 120 V for 30 min. The molecular marker 1 kb plus ladder (Invitrogen, Carlsbad, CA, USA) was loaded as reference.
2.3. Cloning of DNA Fragments in the Expression Vector and Production of Plasmids with Pvmsp142 Variant Genes
The pHL-sec plasmid (Addgene https://www.addgene.org/ (accessed on 3 March 2023)) was used [24]. Target DNA samples were recovered from agarose gels and purified using a QIAquick® Gel Extraction Kit (Qiagen, Valencia, CA, USA) following the manufacturer’s instructions. The DNA fragments and the expression vector pHLsec were treated with the restriction enzymes AgleI and kpnI (New England Biolabs, Ipswich, MA, USA). In addition, the vector DNA was treated with alkaline phosphate to delete any phosphate group and avoid self-ligation. After treatment, the DNA samples were resolved in 1% agarose gels and a single DNA band was cut out and purified using a gel purification kit (Qiagen, Valencia, CA, USA), as indicated above. Each variant gene was used to ligate to pHLsec vector in a 20uL reaction.
The plasmids were inserted in highly efficient NEB® 5-alpha competent Escherichia coli following the manufacturer´s instructions (New England Biolabs, Ipswich, MA, USA). Different dilutions of the transformed bacteria were spread on LB agar plates prepared with carbenicillin at 100 ug/mL and incubated overnight at 37 °C. For each plasmid variant, 10 individual colonies were picked up; each colony was inoculated on LB agar medium with added carbenicillin and incubated overnight at 37 °C under shaking for 12 h. The DNA plasmids were purified using a Qiagen Plasmid Midi Kit DNA plasmid extraction kit or QIAGEN Plasmid Plus Mega kit (Qiagen, Valencia, CA, USA) following the manufacturer´s instructions. The purified plasmids were kept at −20 °C.
The selected plasmid clones were sequenced using forward and reverse primers of the vector, with 5 μL per reaction of plasmid DNA at 100 ng/μL and 3.2 pmol/μL of each primer/reaction. Primers PHLsec-F 50 µM Pcag-F 5′GCAACGTGCTGGTTATTGTG 3′; PHLsec-R 50 µM Pglob-Pa-R 5′AGAAAAAGGGAGACGGTTTT 3′. Amplified DNA samples were sequenced at Biosciences, Oxford, UK (www.sourcebioscience.com (accessed on 3 March 2023)) and it was verified that the sequences matched the expected proteins.
2.4. High-Yield Protein Expression of PvMSP142 Variants in Expi293 Eukaryotic System
Expi293F™ cells (Thermo Fisher Scientific Inc., Waltham, MA, USA) were thawed and growth in Expi293™ expression medium for 3 weeks prior to transfection, following the manufacturer’s protocols (Thermo Fisher Scientific Inc., Waltham, MA, USA). These cells expressed peptides of N-linked glycosylated. The asparagine (Asn) residues ranged 6.8–7.3% in the expressed haplotypes. The suspended cells were grown in an orbital incubator at 120 RPMI, 37 °C, 8% CO2, and 80% humidity (Minitron™ CO2 orbital shaker; Infors HT, Bottmingen, Switzerland) in plastic flasks with ventilated caps (Corning® Erlenmeyer sterile polycarbonate with 0.2 μm ventilated caps), as indicated by the manufacturers. For transfection, Expi293 cells at the exponential growth rate were adjusted to 3 × 106 cells/mL in 60 mL of expression medium. Here, 1 μg of plasmid DNA was used to transfect 1 mL of the above culture. The plasmid DNA samples and ExpiFectamineTM were prepared in Opti-MEM following the manufacturer’s protocol (Thermo Fisher Scientific Inc., Waltham, MA, USA). The transfected cells were incubated for 16–20 h, and prior enhancers were added dropwise with gentle shaking. The transfected cultures (cell density and viability) were monitored for the optimal expression of proteins and the supernatants were harvested at days ~4–4.5 (optimal density and viability of 83–90%). After centrifugation of the cell cultures, the supernatants were filtered to 0.2 μm and frozen at −20 °C until achieving protein purification.
2.5. Affinity Purification of Recombinant Proteins from the Eukaryotic System and the Analysis of Their Characteristics
Protein purification was carried out using affinity chromatography (AC) in AKTATM-start (GE Healthcare, Chicago, IL, USA) using 1 mL HiTrap TALON Crude columns (Merk KGaA, Darmstadt, Germany). Prior to the protein purification, cell culture supernatants were dialyzed 3× against 1× PBS pH 7.4 at 4 °C, and one TALON column per variant protein was used. The columns were washed with dH2O Milli-Q water. The program to run a sample was as follows: pre-column pressure of 0.5 Mpa, maximum delta column pressure of 0.3 Mpa, default flow rate of 0.8 mL/min, max flow rate of 4 mL/min, default linear flow rate of 155.91 cm/h, maximum linear flow rate of 623.63 cm/h, minimum pH value (short-term) of 2, maximum pH value (short-term) of 14, minimum pH value (long-term) of 4, minimum pH value (long-term) of 12. The run protocol was as follows: prime and equilibration method equilibration volume (10 column volumes), sample application, wash-out unbound (10 mL), and elution and fractionation. The last prime-and equilibration volume was of 5 mL. The sample flow was standard at a rate of 0.8 mL/min. The binding buffer contained 150 mM of NaCl, 10 mM of TRIS, and 5% glycerol, and for the elution 200 mM of imidazole was added to the previous buffer. About 10 fractions of ~700 µL were obtained. The protein concentration was measured in a NanoDrop™ 1000 Spectrophotometer (Marshall Scientific, Hampton, NH, USA). Polyacrylamide gel electrophoresis (PAGE) results and Western blots were used to examine the protein purification. The protein parameters were obtained at https://web.expasy.org/cgi-bin/protparam/protparam (accessed on 3 March 2023).
2.6. PAGE and Western Blot Analysis
Here, 5 to 12 µL of supernatants or 1 µL of purified protein was prepared in Laemmli sample buffer (Bio-Rad Inc., Walford, UK), with or without 2-mercaptoethanol at 10%, and incubated at 95 °C for 5 min. The Mini-PROTEAN® TGXTM pre-cast gels of the 5–20% gradient (Bio-Rad Inc., Watford, UK) and the molecular weight marker Precision Plus Protein™ Western™ standards (Bio-Rad Inc., Walford, UK). The samples were run in 1× Tris/Glycine/SDS buffer for 75 min at 120 volts in a Mini-PROTEAN® Tetra Vertical Electrophoresis Cell (Bio-Rad Inc., Walford, UK), and the gels were stained with Coomasie blue. For the Western blots, proteins resolved in PAGE were transferred to PDF membranes and 25 mM Tris, 192 mM glycine, and 0.1% sodium dodecyl sulfate, using a Bio-Rad Trans-Blot® Semi-Dry System (Bio-Rad Inc., Walford, UK). The membrane was blocked with 5% non-fat dried bovine milk (Sigma Aldrich, Saint Louis, MO, USA) in PBS 1× at pH 7.4 under shaking. Then, one blot was incubated with (a) mouse anti-6His mAb IgG (Invitrogen, Carlsbad, CA, USA), diluted at 1:2000 in 1× PBS −2.5% non-fat milk and 0.05% tween, and incubated overnight at 4 °C. After, the membranes were intensively washed 3 times. The goat anti-mouse IgG (H + L)-HRP (Bio-Rad) at 1:2000 was incubated for 1 h at RT. After intensive washing, the reactions were developed using the Clarity Western ECL substrate (Bio-Rad Inc., Walford, UK), and the images were recorded in ChemiDoc XRS+ (Bio-Rad Inc., Walford, UK) at different exposition times. Other blots were incubated with immune and non-immune serum malaria samples followed by an antibody anti-human IgG-HRP at 1:3000.
2.7. Samples to Test
One-hundred and fourteen plasma samples and 64 blood samples impregnated onto filter paper from P. vivax patients were obtained from two sites of the Mesoamerican region, in southern Mexico (2002–2009) and Nicaragua (2012–2013) [19,20], respectively. All samples were preserved at −80 °C until use. The PvMSP142 phenotypes of the parasites from those infected individuals were previously published [19,20]. A group of 36 plasma samples from individuals with no history of P. vivax infection were also evaluated and used to estimate the cut-off value. From each filter paper dried blood sample, two circles of approximately 5 mm each were cut out and placed in an Eppendorf tube, and 250 µL of 1× PBS − 0.01% thimerosal—5% glycerol was added to obtain a dilution of ~1:50. The antibodies were eluted at 4 °C overnight, and the next day the samples were vortexed gently before the remaining filter papers were discarded. The plasma samples were also pre-diluted to 1:50 in PBS–thimerosal–glycerol.
2.8. ELISA Tests
A crude extract of the blood stages (NBSA) was previously prepared and preserved in liquid nitrogen. Plasma samples and eluates from the filter paper were tested at a 1:500 dilution, and the ELISA procedure was similar to that reported previously [14]. To monitor the inter-plate consistency, a previously prepared pool of immune plasma and a pool of non-immune plasma were used as the controls, at 1:2000 and 1:500 dilutions, respectively [14].
Other ELISAs were standardized to detect IgG antibodies against three recombinant proteins as follows. Flat-bottom 96-well Maxisorb plates were coated with 50 µL of different PvMSP142 proteins (v88 or v21 or v274) diluted in 1× PBS pH 7.4 at 1 µg/mL and incubated overnight at room temperature (~25 °C). After the unbound protein was removed, the wells were blocked using 5% non-fat dried milk in 1× PBS for 1 h. The plasma samples or eluates of filter paper at 1:1000 dilution and controls in a pool of immune plasma samples at 1:4000 and non-immune plasma samples at 1:1000 (similar to the tested samples) were diluted in 2.5% non-fat milk and 0.05% Tween in 1× PBS, added in duplicate, and incubated for 2h at R.T. The plates were washed 3 times with 0.05% Tween in 1× PBS, then a goat anti-human IgG–HRP (Merck, KGaA, Darmstadt, Germany) solution diluted to 1:3000 in a diluent buffer was added and incubated for 1 h. Once again, the plates were washed as before. The reaction was developed using a TMB ultrasensitive substrate (Merck, KGaA, Darmstadt, Alemania) and incubated for 20 min. The reaction was read at 630 in a spectrophotometer (Agilent, Santa Clara, CA, USA). The OD values of the reagents (or PBS) were consistently below 0.05 for recombinant proteins using the TMB substrate, whereas it was ~0.3 for the NBSA using ABTS as the substrate. The average optical density (OD) of the duplicates was calculated per sample and the OD values from the PBS (per plate) were subtracted. The ELISAs were run blinded, as the specialized technician who ran the tests had no access to the sample information.
2.9. Data Analysis
The statistical analysis results and graphs were prepared in Stata v12.1 (StataCorp LLC Lakeway, College Station, TA, USA) and R v4.2.1 (https://www.r-project.org/ (accessed on 15 August 2022)), respectively. The cut-off values were defined using the samples from non-immune patients as the mean +3 SD for each type of coating antigen. Differences in proportions were evaluated using the chi-square (χ2) test. Differences in numeric variables were calculated using two-sample Wilcoxon rank-sum (Mann–Whitney) test or Kruskal–Wallis equality-of-populations rank test. The linear correlations between numeric variables, such as IgG OD values from recombinant proteins versus the NBSA and those versus age, parasitemia, and the number of days with symptoms, were determined using Spearman´s rho correlation coefficient. The correlation scale 0–0.19 “very weak”, 0.20–0.39 “weak”, 0.40–0.59 “moderate”, 0.60–0.79 “strong”, and 0.80–1.0 “very strong” was used as previously suggested (https://www.statstutor.ac.uk/resources/uploaded/spearmans.pdf (accessed on 3 March 2023)).
3. Results
3.1. Recombinant Protein Purification and Reactivity as Assessed by Western Blot
Three PvMSP142 variant proteins were successfully obtained: labelled v88, v274, and v21, corresponding to haplotypes h8, h1 and h2, respectively (Figure S1). These proteins were consistently obtained at high concentrations from 60 mL of culture supernatant at about 200–790 µg/mL in fractions f4 and f5. The protein variant v88 was obtained at a higher concentration than the other proteins. The amino acid polymorphism among the recombinant proteins is shown in Figure 1, and also Asn residues were observed; HgA (v88) similar to sal1 had Asn residues at positions 1515, 1517, and 1524; in HgB (v21), the residues were at different positions 1520 and 1527, with one residue at position 1493 in HgD (v274).
Figure 1.
Amino acid polymorphism of PvMSP1-42kD protein variants (v88, v21, and v274) comprising amino acid residues 1328–1724 (397 residues), using Sal-1 as the reference (XM_001614792). Amino acids are indicated by one letter code. The image was obtained from Bio Edit v7.2 (https://bioedit.software.informer.com/, accessed on 15 January 2023) and shows the main polymorphic segment. Two other amino acid changes were observed in all proteins: at 1347 residues G → W, and at 1361 residues A → E. Protein variant v88 was the most similar to the Sal-1 sequence. AA, amino acid position.
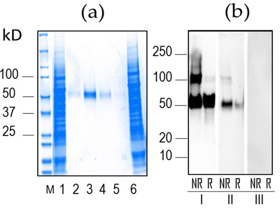
The histidine-tagged proteins comprised 437 amino acids (including the signal peptide), with a molecular weight of 49.5 kD and a theoretical isoelectric point of 5.46. The recombinant proteins were successfully purified by AC, showing a single band of ~50kDa on PAGE gels stained with Coomassie blue (Figure 2) and reacted with an anti-histidine mAb using Western blot assays (Figure 2). Specific reactivity with P. vivax immune plasma was also evident for proteins (e.g., v88) under reducing and non-reducing conditions. The reaction was most intense when the proteins were used under non-reducing conditions; this high reactivity made the proteins good candidates for immunoassays (ELISA).
Figure 2.
P. vivax MSP42 v88 protein purification and Western blot analysis. (a) PAGE 5–20% analysis using 1 µL of proteins purified by affinity chromatography fractions (f): f3, f4, f5, and f6 (lanes 2–5, respectively); culture supernatant (lane 1, 12 µL); flow-through (lane 6, 12 µL). (b) Purified proteins were run in PAGE gradient gels at 5–20% and transferred to PVD membranes. Blots were incubated with (I) mouse mAb IgG anti-histidine, followed by anti-mouse-HRP (5 s exposition), (II) P. vivax immune serum (20 s exposition), and (III) non-malaria immune serum (20 s exposition), followed by an anti-human IgG-HRP. Blots were developed using chemiluminescence. NR, non-reducing; R, reducing conditions. M, molecular marker.
3.2. IgG Antibody Levels to PvMSP142 Proteins and the NBSA as Assessed by ELISA
The IgG OD values toward the NBSA and toward PvMSP142 recombinant proteins v88, v21, and v274 were obtained for 114 plasma samples and 64 eluted samples from infected patients. The ELISA reads obtained at 20 min after adding the stop solution yielded highly polarized OD values (Figure S2) and high background noise (non-immune samples, mean + 3 SD ~0.5). Therefore, we preferred to use a low cut-off value for the TMB substrate and OD readings at 630 NM. A comparison of IgG OD values of (1) samples from patients, (2) non-immune individuals, and (3) pools of immune and non-immune controls run in different plates is shown in Figure S1. Due to the high consistency plate-to-plate of the OD values of the controls, the row data were not normalized to avoid erroneous adjustments.
The IgG OD levels were heterogeneous against all PvMSP142 proteins (OD630) and to the NBSA (OD405). Table 1 shows comparisons of IgG OD values and seropositivity rates using PvMSP142 proteins and the NBSA. Among the recombinant proteins, no differences in IgG OD values were observed (n = 178, X2 = 1.48, d.f. = 2, p = 0.477).
Table 1.
IgG OD values of plasma and eluted samples from P. vivax symptomatic patients, measured using an ELISA against three PvMSP142 protein variants and the NBSA.
Using 178 samples from P. vivax-infected patients, a very strong correlation was detected when comparing the IgG OD values for PvMSP142 variants v88 (Figure 3a), v274, and v21 (n = 178, spearman coefficient rho = 0.96–0.98, p < 0.0001). Likewise, a strong correlation was observed between the IgG OD values for the three PvMSP142 proteins (v88, v21, v274) and for the NBSA (rho = 0.77–0.78, p < 0.0001) (Figure 3b). If the IgG OD values were disaggregated by country (plasma vs. eluted samples), the correlation coefficients of IgG OD values remained similar among the recombinant proteins and between them and the NBSA. For Nicaraguan samples, IgG OD values: among recombinant proteins (rho = 0.722–0.741; p < 0.0001) or between them and the NBSA (rho = 0.98–0.99; p < 0.0001). For plasma samples (southern Mexico), IgG OD values: among recombinant proteins (rho = 0.971–0.979; p < 0.0001), or between them and the NBSA (rho = 0.772–0.805; p < 0.0001).
Figure 3.
Correlation between IgG OD values for P. vivax MSP142 proteins and the NBSA. (a) Correlation between IgG OD values for MSP142 proteins v88 and v274. Sample from patient P22 yielded a four-fold higher IgG OD value for the homologous protein v274 than for the heterologous v274. Samples P18 and P40 yielded two-fold higher IgG OD values for the homologous protein v88 than the heterologous ones v274 and v21. (b) Correlation between IgG OD values for the NBSA and MSP142 v88 protein. One-hundred and seventy-eight plasma and eluted samples were included.
In only a few samples the IgG OD values were affected by heterologous PvMSP142 proteins, producing lower OD values (Figure 3a), e.g., sample P22 yielded a four-fold higher IgG OD value with the homologous protein v274 (representing haplogroup HgD; OD value 1.132) than with heterologous v88 (HgA) or v21 (HgB), with OD values of 0.217 and 0.259, respectively. This sample was seropositive to the NBSA with an IgG OD value of 1.085. The samples from patients P18 and P40 yielded a two-fold higher IgG OD values with homologous protein v88 (the OD values for samples P18 and P40 were 1.565 and 0.972, respectively) than to the heterologous ones v274 and v21 (OD value for P18 of 0.768 (both proteins) and for P40 of 0.499/0.67, respectively), and were seropositive (OD values of 0.831 and 0.297, respectively) to the NBSA. Some samples with low IgG OD values for homologous haplotypes were seronegative to heterologous ones, as described in 3.4.
IgG OD values for plasma versus eluted samples to PvMSP142 v21 or v274 were not different (z = 1.158, p = 0.24; z = 0.382, p = 0.70, respectively). Only for PvMSP142 v88, IgG OD values were higher for plasma (Mexican) than eluted samples (Nicaragua) (z = 2.33; p = 0.019), and the difference in IgG OD values for the NBSA was marginal (z = 2.025; p = 0.043).
3.3. IgG Antibodies to MSP142 Proteins and Infecting Parasite’s Haplotype
Pvmsp142 sequences from the infecting parasites of the patients were used to prepare a haplotype network as previously described [20,25], and the genetic relationships of the parasites based on the pvmsp142 gene are shown in Figure S3. The plasma and eluted samples were grouped by their parasite´s haplotype found in the infected host.
No differences were detected between the IgG OD values of samples from patients infected with different haplogroups (HgA, B, C, D) (e.g., for PvMSP142 v88: X2 = 0.132, d.f. = 3, p = 0.98), similar to variants PvMSP142 v21 and v274. Likewise, no differences were observed for IgG OD values for the NBSA among haplogroups: X2 = 0.360, d.f. = 3, p = 0.948 (Figure 4). However, a difference between IgG OD values for PvMSP142 proteins (e.g., v88) and the NBSA between the haplogroups and the non-immune group (N) was evident (X2 = 80.08, d.f. = 4, p = 0.0001; X2 = 82.78, d.f. = 4, p = 0.0001, respectively) (Figure 4).
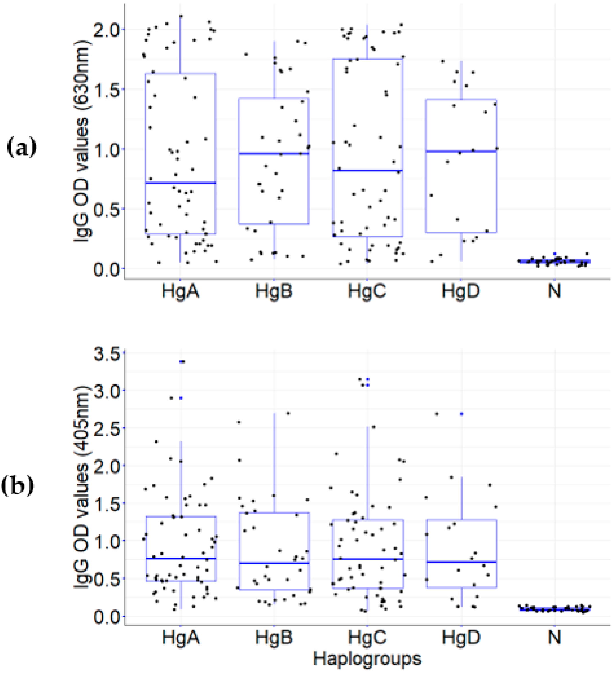
Figure 4.
IgG OD values against P. vivax in plasma and eluted samples from symptomatic individuals infected with different parasite haplotypes: (a) PvMSP142 v88 protein; (b) NBSA. Samples were grouped by the P. vivax haplotype (HgA, B, C, D) causing the acute infection. Group N corresponds to samples from individuals without previous malaria infection. Kruskal–Wallis equality-of-populations rank test: IgG OD405 to MSP142 v88 and to the NBSA among four haplogroups, X2 = 0.132, d.f. = 3, p = 0.98, and X2 = 0.360, 3 d.f., p = 0.948, respectively, among those groups and the non-immune group to PvMSP142 v88 (X2 = 80.08, d.f. = 4, p = 0.0001) and to the NBSA (X2 = 82.78, d.f. = 4, p = 0.0001). HgA, n = 62; HgC, n = 36; HgB, n = 60; 5; HgD, n = 20. N, non-immune samples (n = 36).
3.4. Discordances between IgG Antibodies to PvMSP142 Recombinant Proteins (v88, v21, and v274) and to the NBSA
One-hundred and sixty-two samples (91%) had IgG Od values above the cut-off value for at least one recombinant protein (OD values >0.15), at 87.6% for v88, 84.8% for v21, and 85.4% for v274 (Table 1). The sample from patient P87 (haplotype h8 (v88)) produced an OD value of 0.261 for the homologous protein v88, while being seronegative for the heterologous proteins v21 and v274 (OD 0.09). This sample had an IgG OD value of 0.785 for the NBSA, whereas the sample from patient P136 (h8) had an IgG OD value of 0.152 for the heterologous PvMSP142 v274 and negative borderline IgG OD values for PvMSP142 v21 and for the homologous protein (v88) (0.149 and 0.146, respectively), while a positive IgG OD value of 0.674 for the NBSA was obtained.
Eighteen samples had IgG OD values for PvMSP142 below the cut-off value (all proteins, OD values <0.15), from which 11 were also negative to the NBSA (OD values <0.2), and most of the other seven had borderline or low OD values (mostly <0.3, and only one sample had 0.56 OD value). Likewise, 17 samples with IgG OD values for NBSA <0.2 (seronegative) had IgG OD values for PvMSP142 above the cut-off value (>0.15) though values were borderline or low, 5 for v88 (29.4%; OD values 0.23–0.34), 2 for v21 (11.7%; OD values 0.224 and 0.229), and 3 for v274 (17.6%; OD values 0.168–0.184).
Discordances between IgG OD values for PvMSP142 proteins and to the NBSA were expected due to the difference of using a purified protein versus a multi-antigenic crude extract such as the NBSA, and because the magnitudes of antibody responses to different antigens vary among patients [18,26,27]. Additionally, the differences might also be influenced by the sensitivity of the substrates; TMB detects 20 pg/mL versus ABTS at 250 pg/mL, and the sample dilution used in the ELISA.
3.5. Relationships between IgG Antibodies to MSP142 Proteins and to the NBSA with Age, Gender, Parasitemia, Days of Symptoms, and Previous P. vivax Infection
The individuals from southern Mexico were older than those from Nicaragua (women: n = 48, median 32 IQR 21.5–47 versus n = 33, median 19 IQR 13–29, respectively; z = 4.02, p = 0.0001; men: n = 66, median 31 IQR 18–44 versus n = 26, median 17 IQR 10–22, respectively; z = 3.39, p = 0.0007). The IgG OD values for PvMSP142 v88 in samples from Nicaragua had no correlation with patient age (n = 59, Spearman´s rho = 0.189, p = 0.15). However, the IgG OD values for the NBSA showed a weak and positive correlation with age (Spearman’s rho = 0.269, p = 0.037). On the contrary, the IgG OD values for both MSP142 v88 and the NBSA from Mexican samples correlated weakly and negatively with age only in men (n = 66, rho = −0.299, p = 0.015 and rho = −0.291 p = 0.018, respectively).
In addition, the samples from Mexico had information on the parasitemia, previous malaria infection, and the days with symptoms (which was calculated as the difference between the dates of blood collection and symptoms onset). Of the 114 P. vivax-infected individuals, the IgG OD values for MSP142 v88 or the NBSA correlated weakly and negatively with the parasite density in the bloodstream (Spearman’s rho = −0.1839, p = 0.050 and rho = −206, p = 0.027, respectively). No correlation between the IgG OD values for MSP142 v88 nor the NBSA and the days with symptoms was detected (Spearman’s rho = 0.081, p = 0.397 and rho = −0.086, p = 0.363, respectively).
Thirty-five of these patients (30.7%) had at least one previous P. vivax infection (median of 12 months, range from 3 to 84 months). The IgG OD values for the PvMSP142 proteins were higher in this group than in patients suffering from a primo-infection (e.g., against MSP142 v88, median OD value of 1.48 (range 0.365–2.06) versus median OD value of 0.678 (range 0.042–2.11), respectively; z = −4.26, p < 0.0001) (Figure 5). Likewise, the IgG OD values for the NBSA in patients with a previous infection were higher (median OD value of 1.45, range 0.611–3.075) than those in patients who had a primo-infection (median OD value of 0.487, range 0.062–3.381; z= −4.73, p < 0.0001). No relationship was detected between the time interval in months of previous infection and IgG OD values for PvMSP142 v88 (Spearman’s rho = 0.277, p = 0.106) nor the NBSA (Spearman’s rho = 0.126, p = 0.472).
Figure 5.
Comparison of IgG OD values among patients with and without past P. vivax infection from southern Mexico. (a) Distribution of samples from patients based on the number of months from the previous P. vivax infection (n = 35). IgG OD values for (b) PvMSP142 v88 protein and (c) NBSA. (b1,c1) Comparison of IgG OD values of patients with and without (n = 79) past P. vivax infection to PvMSP142 v88 protein (z= −3.88; p < 0.0001) and against NBSA (z= −4.73; p < 0.0001), respectively. (b2,c2) Distribution of IgG OD values (from very low to very high values) from samples of patients with (dark grey) or without (light grey) past infection.
In fact, all individuals with reports of previous P. vivax infection were seropositive for IgG antibodies to PvMSP142 proteins and to the NBSA; however, the OD values did not correlate (v88 vs. NBSA; Spearman’s rho = 0.2527, p = 0.1431). Considering only patients with a P. vivax primo-infection, the seropositivity rates were reduced to 71–76% and 81.6% to PvMSP142 and NBSA, respectively. In addition, the IgG OD values above the cut-off value were grouped arbitrarily by their magnitude into very low (0.15–0.299), low (0.3–0.499), intermediate (0.5–0.899) high (0.9–1.499), and very high (>1.5) for PvMSP142, and using a similar scale for the NBSA (Figure 5(b2,c2), respectively). Patients with past infection had OD values that were mostly intermediate to very high, whereas 30.2% and 42.85% of those with a primo-infection had low or very low values (<0.5 or <0.6 OD) for PvMSP142 v88 and the NBSA, respectively.
In addition, patients with a primo-infection had a higher parasitemia level (median = 9020 parasites/µL, range 284–59,600) than patients with a history of infection (median = 5680 parasites/µL, range 720–47,600; z = 2.368, p = 0.018). A weak and negative correlation was detected between parasitemia and IgG OD values for PvMSP142 proteins, e.g., v88 (n = 63, rho= −0.318, p = 0.011), in patients with primo-infection and seropositive for at least one PvMSP142 variant. In this regard, no correlation was found in patients with a past infection (n = 35, rho = −0.145, p = 0.403).
Regarding the days with symptoms before sample collection, more days with symptoms were registered for patients with a primo-infection (n = 79, median = 5 days, range 0–21) than those who had a past infection (median = 4 days, range 1–14; z = 3.097, p = 0.0020). Furthermore, a difference in the days with symptoms between individuals with a primo-infection and seropositive to at least one PvMSP142 protein (n = 63, median 6, range 2–21) and individuals negative to all PvMSP142 proteins (n = 16, median 4, range 0–8) was detected in patients with a primo-infection (z= −2.18, p = 0.029).
4. Discussion
Serological tools designed to detect individuals or areas with recent malaria infection would accelerate the elimination of malaria, essentially in areas with residual transmission. This would guide vector control processes and the implementation of treatment strategies. Current diagnostic tests, such as the microscopy of thick blood smears or rapid tests, have limitations when dealing with very low parasitemia levels in patients suffering from acute or chronic infection, or if the parasite densities fluctuate during infection. Recent evidence suggests a parasite reservoir in the spleen, which might be of a greater magnitude than that present in the bloodstream, probably facilitated by the high density of reticulocytes in this organ and the parasite proteins that mediate adherence [28,29]. The detection of IgG antibodies by the appropriate antigen could suggest recent infection even in asymptomatic patients, as has been reported using a native antigen of blood stages [14,30]. In addition, in individuals with a recent P. vivax infection, the presence of specific antibodies could indicate the possibility of posterior relapse episodes [14,31,32].
In this study, antibody responses to three divergent PvMSP142 proteins from different haplotypes that were successfully produced in a highly efficient Expi293 system were highly efficient in detecting a specific IgG antibody in symptomatic patients from the Mesoamerican region (southern Mexico and Nicaragua). The range of P. vivax patients seropositive for PvMSP142 proteins was 85–88%, slightly lower than for the native extract of blood stages, the NBSA (90.5%). However, the PvMSP142 v88 haplotype, which is closely related to the Sal I strain and was detected highly frequent in southern Mexico [20] and Nicaragua [19], had a higher median IgG OD value than the v21 and v274 variants or the NBSA. The heterogeneity in the IgG OD values for PvMSP142 proteins was similar to that observed for the NBSA, which was irrespective of the parasite haplotype. Heterogeneity in IgG responses against PvMSP1 fragments and other molecules has been observed in previous studies [27,33,34,35,36,37,38,39].
A meta-analysis revealed significant heterogeneity in the cross-sectional studies on the association of IgG responses against PvMSP-119 with patent P. vivax infection (I2 = 73.8%, p = 0.004), highlighting the importance of comprehending antibody responses to P. vivax parasites in different regions, since most studies were carried out in Brazil and other regions of southeast Asia [12]. PvMSP119 was found to be one of 8 proteins to have reported with recent P. vivax exposure (1–12 months after P. vivax infection) in low-transmission settings in Brazil, Thailand, and the Solomon islands [17,22,27,32], and is suggested to have about 80% sensitivity and specificity in detecting recent infections in low endemic regions [27]. Proteins produced in different expression systems have been used with good results, and the seropositivity rates vary among geographic areas. Using PvMSP119 expressed in E. coli, 92.5% of the subjects from Brazil and suffering acute infection were IgG-seropositive [33]. Another study, using the protein expressed in non-glycosylated yeast protein and bacteria, detected 85.6% and 80.7% of the seropositive patients, respectively, from a low endemic region in Brazil [34]. This protein, which is expressed in Saccharomyces cerevisiae, detected IgG antibodies in 85% of infected patients from Turkey [35]. In an area with no recent transmission in Vanuatu, 12% of the samples were seropositve to PvMSP119, and this study showed similar seropositivity rates to PfMSP119 and to a schizont extract of 12.6% and 15%, respectively [40]. However, antibody levelswere not shown to explain the magnitude of the residual IgG responses.
Notwithstanding, a larger fragment such as PvMSP142 might be more sensitive in detecting antibody responses. In Korean patients, the prevalence rate of IgG antibodies to PvMSP119 was 89.6%, with rates of 48–64% to two variants of PvMSP133 [36]. Wickramarachchi [41], using proteins expressed in vaculovirus, detected higher positivity rates using PvMSP142 (71–77%) than PvMSP119 (57–63%) in P. vivax-infected patients from a low endemic region in Sri Lanka. In Iran, 86.9% of patients with a P. vivax infection were ELISA-seropositive against PvMSP142 expressed in E. coli [37]. The polymorphism of the PvMSP133 segment mainly comprised 37 amino acids (1490–1527 amino acid position) in P. vivax from Mesoamerica [19,20], and seemed not to affect the detection of specific IgGs. In fact, very high correlation rates (98–99%) between protein variants were marked and little differences were noted in antibody levels among infecting parasite haplotypes, confirming the presence of conserved immunogenic B cell epitopes in PvMSP119 [6,42,43], and probably in PvMSP133 [20,33,36], which in most cases overcome the polymorphism at the PvMSP133 segment, at least in this study. Conserved segments along the PvMSP1 protein are likely present, as the detection of antibodies to different homologous proteins was consistently accompanied by a reaction to unrelated variants [33]. Similar to our results, in Korean patients only a few samples (1.4%) were discordant for PvMSP133 SalI versus Belem haplotypes [36].
Although Berhe et al. [44] suggested that MSP1 was not glycosylated, a more recent analysis indicated unusual N-glycosylation restricted to one or two GlcNAc residues in P. falciparum surface proteins [45,46]. No significant difference in IgG titers to PvMSP119 expressed in either E. coli versus S. cerevisiare were detected in P. vivax patients in Brazil [47]. In our study, the N-glycosylation by Expi293F™ cells might have had no great effect on the antibody binding to the PvMSP142 proteins because the high seropositivity was accompanied by a wide range of IgG OD values in samples from Mesoamerican patients, especially when using variant v88, a recombinant having more Asn residues in the polymorphic segment and higher IgG OD values than other variants.
The characteristics of the transmission of malaria, the populations at risk, and the transmission intensity might determine the magnitude and longevity of antibody responses, whereby in high transmission areas patients might accumulate parasite exposure and natural immunity, yielding long-lived antibody responses [26,27,48]. After repeated exposure, the antibody responses increase with age [49,50]. In our study, the IgG responses to PvMSP142 showed a poor correlation with age, in agreement with the low malaria transmission rates taking place in Mesoamerica and because populations of different age groups are at risk. Only a weak positive correlation was observed between age and IgG responses to the NBSA in Nicaraguan patients. In this country, malaria infection was found to be distributed across all age groups [51]. Similarly, in low endemic regions of Brazil, no correlation of antibody responses and age was encountered [33].
In southern Mexico, some interesting differences were detected between IgG OD values between patients with a primo-infection and who had suffered a past P. vivax infection. Most patients with a past infection were seropositive with mid–high antibody responses to all PvMSP142 variants and to the native antigenic NBSA. They might have boosted their antibody responses earlier, as these patients had less days with symptoms than those with the primo-infection. Nevertheless, 71–78% of patients with a primo-infection were seropositive to any ELISA antigen; furthermore, a proportion of them had low OD values, which could limit the usefulness of serological tests. Patients with a primo-infection and seronegative to all PvMSP142 proteins might have had not yet generated enough IgG titers, as they had recorded less days with symptoms (0–8 days) than seropositive patients (2–21) at the time of sample collection. Others reported that a high proportion of patients seroconverted one week after symptom onset [13]. At day 7 after P. vivax diagnosis and using the NBSA antigen, 98.7% of P. vivax-infected patients from southern Mexico were seropositive [14]. Furthermore, the lack of correlation between antibodies to PvMSP142 variants and the NBSA in patients with a past infection might be explained by the heterogeneity of antibody responses to different blood stage antigens by patients with a past infection [18,22,27,52]. Moreover, the higher parasitemia level detected in patients from southern Mexico with a primo-infection and lower IgG OD values than those with a past infection might correspond in part to the protective immune responses induced by PvMSP142 [53] and the partial clinical protection observed earlier against PvMSP119 [54].
The power of the serological test has been exposed, and combined with radical treatments might cause significantly reduced (59–69%) parasite prevalence [32]. It is known that antibody responses in treated patients fade out rapidly [13,14,55]; however, untreated or partially treated patients might develop chronic infections or relapse episodes. Our previous study showed that IgG antibodies to the NBSA fade out after several months after treatment, and in patients with a new blood infection, a boost in IgG antibodies was observed [14]. The fact that P. vivax patients from southern Mexico and Nicaragua showed a wide magnitude of antibody responses suggests these proteins as candidates for seroepidemiological studies and surveillance in Mesoamerica. However, in terms of elimination, a better understanding is required of the dynamics of antibody responses; seropositivity, the magnitude of IgG responses, and the longevity of IgG antibodies in follow-up patients with or without past infections from this region. In addition, the study of human populations from areas free of or with very low rates of malaria transmission is necessary to evidence the characteristics of residual antibodies and endorse the utility of serological tests in detecting patches of recent transmission, among other factors.
5. Conclusions
In this study, variants of P. vivax MSP142 were produced in a highly efficient system, Expi293, which identified proteins exposing B cell epitopes and detected a wide range of IgG responses in P. vivax patients from Mesoamerica. The polymorphism of the PvMSP142 is restricted to a small fragment, and generally seems not to affect the detection of IgG by heterologous haplotypes. In fact, a very strong correlation of IgG OD values for protein variants was observed among samples from P. vivax patients. All acute patients with a previous malaria infection were seropositive, and most had medium or high antibody titers. In contrast, only 71.79% of those with a primo-infection were seropositive, and from them, a proportion had very low or low IgG OD values, which might limit the utility of the serological tests and the interpretation of results if no other data from patients or the study populations are available. Further studies are necessary to evaluate the effect of N-glycosylation by Expi293F™ cells in antibody detection, and elucidate the IgG antibody dynamics in patients with different intensity levels of exposure to the parasite. Additionally, an evaluation of these proteins in the detection of specific IgG antibodies in malaria-free areas and regions with no recent transmission, and their ability to detect subtle changes in transmission would be a tremendous contribution to accelerating the elimination of malaria in the region.
Supplementary Materials
The following supporting information can be downloaded at: https://www.mdpi.com/article/10.3390/life13030704/s1. Figure S1: ELISA IgG OD values and controls from six immuno-plates run for each PvMSP142 protein/NBSA. Figure S2: Distribution of IgG OD values of samples tested by ELISA using PvMSP142 recombinant proteins and the NBSA as coating antigens. Figure S3: Median-joining network using pvmsp142 sequences of parasites form southern Mexico and Nicaragua.
Author Contributions
Conceptualization, L.G.-C., A.R-S., A.M.; methodology, L.G.-C., B.D., O.L.P.-C., F.S.-V.; formal analysis, L.G.-C.; investigation, L.G.-C., B.D.; resources, A.R.-S., L.G.-C., A.M.; writing—original draft preparation, L.G.-C.; writing—review and editing, L.G.-C., A.R.-S., B.D., A.M.; visualization, L.G.-C.; supervision, L.G.-C., B.D., A.R.-S. All authors have read and agreed to the published version of the manuscript.
Funding
This research received no external funding.
Institutional Review Board Statement
The study was conducted in accordance with the Declaration of Helsinki, and approved by the Institutional Review Board of the National Institute for Public Health in Mexico (protocol code CI1718, approved 3 March 2021).
Informed Consent Statement
Not applicable.
Data Availability Statement
All relevant data are contained within the article or Supplementary Materials. Detailed data for this study are available under reasonable request.
Acknowledgments
We thank the technical advice of Carina C D Joe at the University of Oxford.
Conflicts of Interest
The authors declare no conflict of interest.
References
- WHO. World Malaria Report. 2022. Available online: https://www.who.int/publications/i/item/9789240064898 (accessed on 26 February 2023).
- Greenhouse, B.; Daily, J.; Guinovart, C.; Goncalves, B.; Beeson, J.; Bell, D.; Chang, M.A.; Cohen, J.M.; Ding, X.; Domingo, G.; et al. Priority use cases for antibody-detecting assays of recent malaria exposure as tools to achieve and sustain malaria elimination. Gates Open Res. 2019, 3, 131. [Google Scholar] [CrossRef]
- WHO. Global Technical Strategy for Malaria 2016–2030. Available online: https://www.who.int/publications/i/item/9789240031357 (accessed on 26 February 2023).
- Hupalo, D.N.; Luo, Z.; Melnikov, A.; Sutton, P.L.; Rogov, P.; Escalante, A.; Vallejo, A.F.; Herrera, S.; Arevalo-Herrera, M.; Fan, Q.; et al. Population genomics studies identify signatures of global dispersal and drug resistance in Plasmodium vivax. Nat. Genet. 2016, 48, 953–958. [Google Scholar] [CrossRef]
- Ferreira, M.U.; Karunaweera, N.D.; da Silva-Nunes, M.; da Silva, N.S.; Wirth, D.F.; Hartl, D.L. Population structure and transmission dynamics of Plasmodium vivax in rural Amazonia. J. Infect. Dis. 2007, 195, 1218–1226. [Google Scholar] [CrossRef] [PubMed]
- Bousema, T.; Youssef, R.M.; Cook, J.; Cox, J.; Alegana, V.A.; Amran, J.; Noor, A.M.; Snow, R.W.; Drakeley, C. Serologic markers for detecting malaria in areas of low endemicity, Somalia, 2008. Emerg. Infect. Dis. 2010, 16, 392–399. [Google Scholar] [CrossRef]
- Battle, K.E.; Karhunen, M.S.; Bhatt, S.; Gething, P.W.; Howes, R.E.; Golding, N.; Van Boeckel, T.P.; Messina, J.P.; Shanks, G.D.; Smith, D.L.; et al. Geographical variation in Plasmodium vivax relapse. Malar. J. 2014, 13, 144. [Google Scholar] [CrossRef]
- WHO. Guidelines for Malaria. Available online: https://apps.who.int/iris/handle/10665/343751 (accessed on 26 February 2023).
- Moon, S.U.; Na, B.K.; Kang, J.M.; Kim, J.Y.; Cho, S.H.; Park, Y.K.; Sohn, W.M.; Lin, K.; Kim, T.S. Genetic polymorphism and effect of natural selection at domain I of apical membrane antigen-1 (AMA-1) in Plasmodium vivax isolates from Myanmar. Acta Trop. 2010, 114, 71–75. [Google Scholar] [CrossRef] [PubMed]
- WHO. Eliminating Malaria: Learning from the Past, Looking Ahead. Available online: https://apps.who.int/iris/bitstream/handle/10665/79937/9789241502504_eng.pdf?sequence=1&isAllowed=y (accessed on 26 February 2023).
- Rosas-Aguirre, A.; Llanos-Cuentas, A.; Speybroeck, N.; Cook, J.; Contreras-Mancilla, J.; Soto, V.; Gamboa, D.; Pozo, E.; Ponce, O.J.; Pereira, M.O.; et al. Assessing malaria transmission in a low endemicity area of north-western Peru. Malar. J. 2013, 12, 339. [Google Scholar] [CrossRef] [PubMed]
- Cutts, J.C.; Powell, R.; Agius, P.A.; Beeson, J.G.; Simpson, J.A.; Fowkes, F.J. Immunological markers of Plasmodium vivax exposure and immunity: A systematic review and meta-analysis. BMC Med. 2014, 12, 150. [Google Scholar] [CrossRef] [PubMed]
- Park, J.W.; Moon, S.H.; Yeom, J.S.; Lim, K.J.; Sohn, M.J.; Jung, W.C.; Cho, Y.J.; Jeon, K.W.; Ju, W.; Ki, C.S.; et al. Naturally acquired antibody responses to the C-terminal region of merozoite surface protein 1 of Plasmodium vivax in Korea. Clin. Diagn. Lab. Immunol. 2001, 8, 14–20. [Google Scholar] [CrossRef]
- Gonzalez-Ceron, L.; Rodriguez, M.H.; Sandoval, M.A.; Santillan, F.; Galindo-Virgen, S.; Betanzos, A.F.; Rosales, A.F.; Palomeque, O.L. Effectiveness of combined chloroquine and primaquine treatment in 14 days versus intermittent single dose regimen, in an open, non-randomized, clinical trial, to eliminate Plasmodium vivax in southern Mexico. Malar. J. 2015, 14, 426. [Google Scholar] [CrossRef]
- Gonzalez-Ceron, L.; Rodriguez, M.H. An enzyme-linked immunosorbent assay using detergent-soluble Plasmodium vivax antigen for seroepidemiological surveys. Trans. R. Soc. Trop. Med. Hyg. 1991, 85, 358–361. [Google Scholar] [CrossRef]
- Kim, J.Y.; Kim, H.H.; Na, B.K.; Kim, Y.J.; Sohn, Y.; Kim, H.; Kim, T.S.; Lee, H.W. Estimating the malaria transmission of Plasmodium vivax based on serodiagnosis. Malar. J. 2012, 11, 257. [Google Scholar] [CrossRef] [PubMed]
- Tayipto, Y.; Liu, Z.; Mueller, I.; Longley, R.J. Serology for Plasmodium vivax surveillance: A novel approach to accelerate towards elimination. Parasitol. Int. 2022, 87, 102492. [Google Scholar] [CrossRef] [PubMed]
- Tashi, T.; Upadhye, A.; Kundu, P.; Wu, C.; Menant, S.; Soares, R.R.; Ferreira, M.U.; Longley, R.J.; Mueller, I.; Hoang, Q.Q.; et al. Longitudinal IgG antibody responses to Plasmodium vivax blood-stage antigens during and after acute vivax malaria in individuals living in the Brazilian Amazon. PLoS Negl. Trop. Dis. 2022, 16, e0010773. [Google Scholar] [CrossRef]
- Gutierrez, S.; Gonzalez-Ceron, L.; Montoya, A.; Sandoval, M.A.; Torres, M.E.; Cerritos, R. Genetic structure of Plasmodium vivax in Nicaragua, a country in the control phase, based on the carboxyl terminal region of the merozoite surface protein-1. Infect. Genet. Evol. 2016, 40, 324–330. [Google Scholar] [CrossRef]
- Flores-Alanis, A.; Gonzalez-Ceron, L.; Santillan-Valenzuela, F.; Ximenez, C.; Sandoval-Bautista, M.A.; Cerritos, R. Spatiotemporal Changes in Plasmodium vivax msp142 Haplotypes in Southern Mexico: From the Control to the Pre-Elimination Phase. Microorganisms 2022, 10, 186. [Google Scholar] [CrossRef]
- Cook, J.; Speybroeck, N.; Sochanta, T.; Somony, H.; Sokny, M.; Claes, F.; Lemmens, K.; Theisen, M.; Soares, I.S.; D’Alessandro, U.; et al. Sero-epidemiological evaluation of changes in Plasmodium falciparum and Plasmodium vivax transmission patterns over the rainy season in Cambodia. Malar. J. 2012, 11, 86. [Google Scholar] [CrossRef] [PubMed]
- Longley, R.J.; White, M.T.; Takashima, E.; Morita, M.; Kanoi, B.N.; Li Wai Suen, C.S.N.; Betuela, I.; Kuehn, A.; Sripoorote, P.; Franca, C.T.; et al. Naturally acquired antibody responses to more than 300 Plasmodium vivax proteins in three geographic regions. PLoS Negl. Trop. Dis. 2017, 11, e0005888. [Google Scholar] [CrossRef]
- Drakeley, C.J.; Corran, P.H.; Coleman, P.G.; Tongren, J.E.; McDonald, S.L.; Carneiro, I.; Malima, R.; Lusingu, J.; Manjurano, A.; Nkya, W.M.; et al. Estimating medium- and long-term trends in malaria transmission by using serological markers of malaria exposure. Proc. Natl. Acad. Sci. USA 2005, 102, 5108–5113. [Google Scholar] [CrossRef]
- Aricescu, A.R.; Lu, W.; Jones, E.Y. A time- and cost-efficient system for high-level protein production in mammalian cells. Acta Crystallogr. D Biol. Crystallogr. 2006, 62, 1243–1250. [Google Scholar] [CrossRef]
- Bandelt, H.J.; Forster, P.; Rohl, A. Median-joining networks for inferring intraspecific phylogenies. Mol. Biol. Evol. 1999, 16, 37–48. [Google Scholar] [CrossRef]
- Pires, C.V.; Alves, J.R.S.; Lima, B.A.S.; Paula, R.B.; Costa, H.L.; Torres, L.M.; Sousa, T.N.; Soares, I.S.; Sanchez, B.A.M.; Fontes, C.J.F.; et al. Blood-stage Plasmodium vivax antibody dynamics in a low transmission setting: A nine year follow-up study in the Amazon region. PLoS ONE 2018, 13, e0207244. [Google Scholar] [CrossRef] [PubMed]
- Rosado, J.; White, M.T.; Longley, R.J.; Lacerda, M.; Monteiro, W.; Brewster, J.; Sattabongkot, J.; Guzman-Guzman, M.; Llanos-Cuentas, A.; Vinetz, J.M.; et al. Heterogeneity in response to serological exposure markers of recent Plasmodium vivax infections in contrasting epidemiological contexts. PLoS Negl. Trop. Dis. 2021, 15, e0009165. [Google Scholar] [CrossRef]
- Fernandez-Becerra, C.; Bernabeu, M.; Castellanos, A.; Correa, B.R.; Obadia, T.; Ramirez, M.; Rui, E.; Hentzschel, F.; Lopez-Montanes, M.; Ayllon-Hermida, A.; et al. Plasmodium vivax spleen-dependent genes encode antigens associated with cytoadhesion and clinical protection. Proc. Natl. Acad. Sci. USA 2020, 117, 13056–13065. [Google Scholar] [CrossRef] [PubMed]
- Kho, S.; Qotrunnada, L.; Leonardo, L.; Andries, B.; Wardani, P.A.I.; Fricot, A.; Henry, B.; Hardy, D.; Margyaningsih, N.I.; Apriyanti, D.; et al. Hidden Biomass of Intact Malaria Parasites in the Human Spleen. N. Engl. J. Med. 2021, 384, 2067–2069. [Google Scholar] [CrossRef] [PubMed]
- Kho, S.; Qotrunnada, L.; Leonardo, L.; Andries, B.; Wardani, P.A.I.; Fricot, A.; Henry, B.; Hardy, D.; Margyaningsih, N.I.; Apriyanti, D.; et al. Evaluation of splenic accumulation and colocalization of immature reticulocytes and Plasmodium vivax in asymptomatic malaria: A prospective human splenectomy study. PLoS Med. 2021, 18, e1003632. [Google Scholar] [CrossRef]
- White, N.J.; Imwong, M. Relapse. Adv. Parasitol. 2012, 80, 113–150. [Google Scholar] [CrossRef]
- Longley, R.J.; White, M.T.; Takashima, E.; Brewster, J.; Morita, M.; Harbers, M.; Obadia, T.; Robinson, L.J.; Matsuura, F.; Liu, Z.S.J.; et al. Development and validation of serological markers for detecting recent Plasmodium vivax infection. Nat. Med. 2020, 26, 741–749. [Google Scholar] [CrossRef]
- Bastos, M.S.; da Silva-Nunes, M.; Malafronte, R.S.; Hoffmann, E.H.; Wunderlich, G.; Moraes, S.L.; Ferreira, M.U. Antigenic polymorphism and naturally acquired antibodies to Plasmodium vivax merozoite surface protein 1 in rural Amazonians. Clin. Vaccine Immunol. 2007, 14, 1249–1259. [Google Scholar] [CrossRef]
- Soares, I.S.; Rodrigues, M.M. Immunogenic properties of the Plasmodium vivax vaccine candidate MSP1(19) expressed as a secreted non-glycosylated polypeptide from Pichia pastoris. Parasitology 2002, 124, 237–246. [Google Scholar] [CrossRef]
- Zeyrek, F.Y.; Babaoglu, A.; Demirel, S.; Erdogan, D.D.; Ak, M.; Korkmaz, M.; Coban, C. Analysis of naturally acquired antibody responses to the 19-kd C-terminal region of merozoite surface protein-1 of Plasmodium vivax from individuals in Sanliurfa, Turkey. Am. J. Trop. Med. Hyg. 2008, 78, 729–732. [Google Scholar] [CrossRef]
- Dinzouna-Boutamba, S.D.; Lee, S.; Son, U.H.; Song, S.M.; Yun, H.S.; Joo, S.Y.; Kwak, D.; Rhee, M.H.; Chung, D.I.; Hong, Y.; et al. Distribution of Antibodies Specific to the 19-kDa and 33-kDa Fragments of Plasmodium vivax Merozoite Surface Protein 1 in Two Pathogenic Strains Infecting Korean Vivax Malaria Patients. Osong. Public Health Res. Perspect. 2016, 7, 213–219. [Google Scholar] [CrossRef] [PubMed]
- Mirahmadi, H.; Fallahi, S.; Seyyed Tabaei, S.J. Soluble recombinant merozoite surface antigen-142kDa of Plasmodium vivax: An improved diagnostic antigen for vivax malaria. J. Microbiol. Methods 2016, 123, 44–50. [Google Scholar] [CrossRef] [PubMed]
- Liu, Z.S.; Sattabongkot, J.; White, M.; Chotirat, S.; Kumpitak, C.; Takashima, E.; Harbers, M.; Tham, W.H.; Healer, J.; Chitnis, C.E.; et al. Naturally acquired antibody kinetics against Plasmodium vivax antigens in people from a low malaria transmission region in western Thailand. BMC Med. 2022, 20, 89. [Google Scholar] [CrossRef] [PubMed]
- Punnath, K.; Dayanand, K.K.; Midya, V.; Chandrashekar, V.N.; Achur, R.N.; Kakkilaya, S.B.; Ghosh, S.K.; Kumari, S.N.; Gowda, D.C. Acquired antibody responses against merozoite surface protein-1(19) antigen during Plasmodium falciparum and P. vivax infections in South Indian city of Mangaluru. J. Parasit. Dis. 2021, 45, 176–190. [Google Scholar] [CrossRef] [PubMed]
- Cook, J.; Reid, H.; Iavro, J.; Kuwahata, M.; Taleo, G.; Clements, A.; McCarthy, J.; Vallely, A.; Drakeley, C. Using serological measures to monitor changes in malaria transmission in Vanuatu. Malar. J. 2010, 9, 169. [Google Scholar] [CrossRef]
- Wickramarachchi, T.; Illeperuma, R.J.; Perera, L.; Bandara, S.; Holm, I.; Longacre, S.; Handunnetti, S.M.; Udagama-Randeniya, P.V. Comparison of naturally acquired antibody responses against the C-terminal processing products of Plasmodium vivax Merozoite Surface Protein-1 under low transmission and unstable malaria conditions in Sri Lanka. Int. J. Parasitol. 2007, 37, 199–208. [Google Scholar] [CrossRef]
- Kaslow, D.C.; Kumar, S. Expression and immunogenicity of the C-terminus of a major blood-stage surface protein of Plasmodium vivax, Pv200(19), secreted from Saccharomyces cerevisiae. Immunol. Lett. 1996, 51, 187–189. [Google Scholar] [CrossRef]
- Soares, I.S.; Levitus, G.; Souza, J.M.; Del Portillo, H.A.; Rodrigues, M.M. Acquired immune responses to the N- and C-terminal regions of Plasmodium vivax merozoite surface protein 1 in individuals exposed to malaria. Infect. Immun. 1997, 65, 1606–1614. [Google Scholar] [CrossRef] [PubMed]
- Berhe, S.; Gerold, P.; Kedees, M.H.; Holder, A.A.; Schwarz, R.T. Plasmodium falciparum: Merozoite surface proteins 1 and 2 are not posttranslationally modified by classical N- or O-glycans. Exp. Parasitol. 2000, 94, 194–197. [Google Scholar] [CrossRef]
- Bushkin, G.G.; Ratner, D.M.; Cui, J.; Banerjee, S.; Duraisingh, M.T.; Jennings, C.V.; Dvorin, J.D.; Gubbels, M.J.; Robertson, S.D.; Steffen, M.; et al. Suggestive evidence for Darwinian Selection against asparagine-linked glycans of Plasmodium falciparum and Toxoplasma gondii. Eukaryot. Cell 2010, 9, 228–241. [Google Scholar] [CrossRef]
- Cova, M.; Rodrigues, J.A.; Smith, T.K.; Izquierdo, L. Sugar activation and glycosylation in Plasmodium. Malar. J. 2015, 14, 427. [Google Scholar] [CrossRef]
- Soares, I.S.; Barnwell, J.W.; Ferreira, M.U.; Gomes Da Cunha, M.; Laurino, J.P.; Castilho, B.A.; Rodrigues, M.M. A Plasmodium vivax vaccine candidate displays limited allele polymorphism, which does not restrict recognition by antibodies. Mol. Med. 1999, 5, 459–470. [Google Scholar] [CrossRef]
- Wipasa, J.; Suphavilai, C.; Okell, L.C.; Cook, J.; Corran, P.H.; Thaikla, K.; Liewsaree, W.; Riley, E.M.; Hafalla, J.C. Long-lived antibody and B Cell memory responses to the human malaria parasites, Plasmodium falciparum and Plasmodium vivax. PLoS Pathog. 2010, 6, e1000770. [Google Scholar] [CrossRef] [PubMed]
- Marsh, K.; Kinyanjui, S. Immune effector mechanisms in malaria. Parasite Immunol. 2006, 28, 51–60. [Google Scholar] [CrossRef] [PubMed]
- Mueller, I.; Galinski, M.R.; Tsuboi, T.; Arevalo-Herrera, M.; Collins, W.E.; King, C.L. Natural acquisition of immunity to Plasmodium vivax: Epidemiological observations and potential targets. Adv. Parasitol. 2013, 81, 77–131. [Google Scholar] [CrossRef]
- Soto, A.M.; Gonzalez-Ceron, L.; Santillan-Valenzuela, F.; Parrales, M.E.; Montoya, A. Recurrent Plasmodium vivax Cases of Both Short and Long Latency Increased with Transmission Intensity and Were Distributed Year-Round in the Most Affected Municipalities of the RACCN, Nicaragua, 2013–2018. Int. J. Environ. Res. Public Health 2022, 19, 6195. [Google Scholar] [CrossRef]
- Chotirat, S.; Nekkab, N.; Kumpitak, C.; Hietanen, J.; White, M.T.; Kiattibutr, K.; Sa-Angchai, P.; Brewster, J.; Schoffer, K.; Takashima, E.; et al. Application of 23 Novel Serological Markers for Identifying Recent Exposure to Plasmodium vivax Parasites in an Endemic Population of Western Thailand. Front. Microbiol. 2021, 12, 643501. [Google Scholar] [CrossRef]
- Obaldia, N., 3rd; Stockelman, M.G.; Otero, W.; Cockrill, J.A.; Ganeshan, H.; Abot, E.N.; Zhang, J.; Limbach, K.; Charoenvit, Y.; Doolan, D.L.; et al. A Plasmodium vivax Plasmid DNA- and Adenovirus-Vectored Malaria Vaccine Encoding Blood-Stage Antigens AMA1 and MSP1(42) in a Prime/Boost Heterologous Immunization Regimen Partially Protects Aotus Monkeys against Blood-Stage Challenge. Clin. Vaccine Immunol. 2017, 24, e00539-16. [Google Scholar] [CrossRef] [PubMed]
- Shi, Y.P.; Sayed, U.; Qari, S.H.; Roberts, J.M.; Udhayakumar, V.; Oloo, A.J.; Hawley, W.A.; Kaslow, D.C.; Nahlen, B.L.; Lal, A.A. Natural immune response to the C-terminal 19-kilodalton domain of Plasmodium falciparum merozoite surface protein 1. Infect. Immun. 1996, 64, 2716–2723. [Google Scholar] [CrossRef]
- Hornstein, J.H.; Miller, M.J.; Thiara, S. The indirect immunofluorescence (IIF) test in detection of imported Plasmodium vivax malaria in the Sutter-Yuba County area of California, U.S.A., 1975–1979. Am. J. Trop. Med. Hyg. 1983, 32, 1195–1202. [Google Scholar] [CrossRef] [PubMed]
Disclaimer/Publisher’s Note: The statements, opinions and data contained in all publications are solely those of the individual author(s) and contributor(s) and not of MDPI and/or the editor(s). MDPI and/or the editor(s) disclaim responsibility for any injury to people or property resulting from any ideas, methods, instructions or products referred to in the content. |
© 2023 by the authors. Licensee MDPI, Basel, Switzerland. This article is an open access article distributed under the terms and conditions of the Creative Commons Attribution (CC BY) license (https://creativecommons.org/licenses/by/4.0/).




