Temporal Trends in Diagnostic Hemodynamics and Survival of Patients with Pulmonary Hypertension: A Single-Center Study
Abstract
:1. Introduction
2. Materials and Methods
2.1. Inclusion Criteria
2.2. Right Heart Catheterization
2.3. Demographic and Clinical Data
2.4. Temporal Trends in Diagnostic Hemodynamics and Survival
2.5. Risk Stratification
2.6. Statistics
2.7. Missing Values
3. Results
3.1. Baseline Characteristics
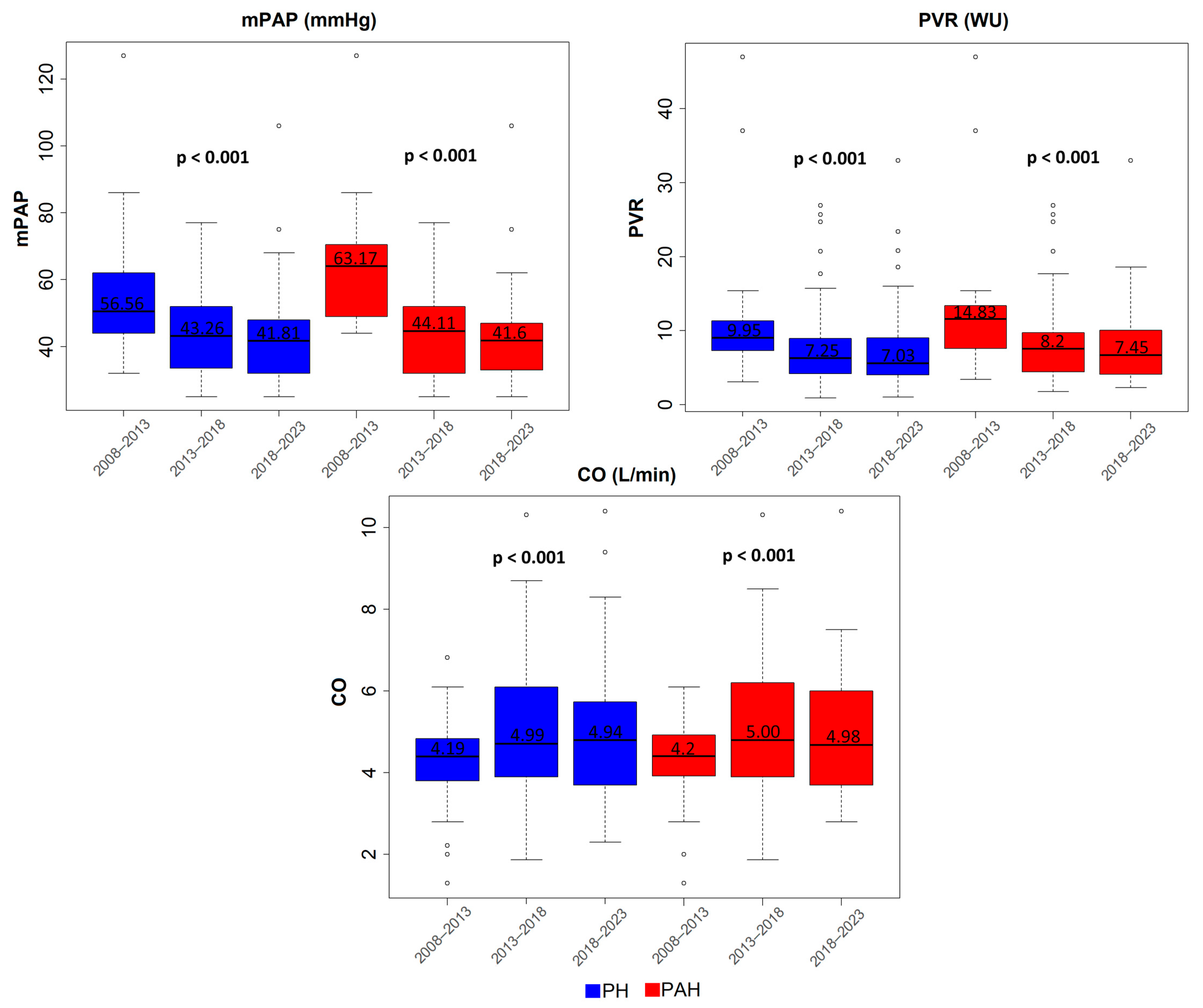
3.2. Baseline Hemodynamic Data Variance over Time
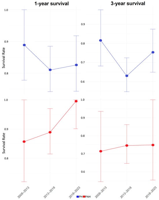
3.3. Survival Temporal Trends
3.4. Survival Analysis of PAH Patients
3.5. Survival Analysis of PAH and CTEPH Patients
4. Discussion
5. Conclusions
Author Contributions
Funding
Institutional Review Board Statement
Informed Consent Statement
Data Availability Statement
Conflicts of Interest
Appendix A
- Body Mass Index (BMI) = Weight × 10,000/(Height × Height)
- Body Surface Area (BSA) = 0.007184 × (Height(m)^0.725) × (Weight(kg)^0.425)
- Mean Pulmonary Artery Pressure (mPAP) = (2 × sPAP + dPAP)/3
- Pulmonary Vascular Resistance (PVR) = (mPAP − PAWP)/CO
- Stroke Volume (SV) = CO/HR
References
- Humbert, M.; Kovacs, G.; Hoeper, M.M.; Badagliacca, R.; Berger, R.M.F.; Brida, M.; Carlsen, J.; Coats, A.J.S.; Escribano-Subias, P.; Ferrari, P.; et al. 2022 ESC/ERS Guidelines for the diagnosis and treatment of pulmonary hypertension: Developed by the task force for the diagnosis and treatment of pulmonary hypertension of the European Society of Cardiology (ESC) and the European Respiratory Society (ERS). Endorsed by the International Society for Heart and Lung Transplantation (ISHLT) and the European Reference Network on rare respiratory diseases (ERN-LUNG). Eur. Heart J. 2022, 43, 3618–3731. [Google Scholar] [PubMed]
- Rich, S.; Dantzker, D.R.; Ayres, S.M.; Bergofsky, E.H.; Brundage, B.H.; Detre, K.M.; Fishman, A.P.; Goldring, R.M.; Groves, B.M.; Koerner, S.K.; et al. Primary pulmonary hypertension. A national prospective study. Ann. Intern. Med. 1987, 107, 216–223. [Google Scholar] [CrossRef] [PubMed]
- Escribano-Subias, P.; Blanco, I.; López-Meseguer, M.; Lopez-Guarch, C.J.; Roman, A.; Morales, P.; Castillo-Palma, M.J.; Segovia, J.; Gómez-Sanchez, M.A.; Barberà, J.A. Survival in pulmonary hypertension in Spain: Insights from the Spanish registry. Eur. Respir. J. 2012, 40, 596–603. [Google Scholar] [CrossRef] [PubMed]
- Rådegran, G.; Kjellström, B.; Ekmehag, B.; Larsen, F.; Rundqvist, B.; Blomquist, S.B.; Gustafsson, C.; Hesselstrand, R.; Karlsson, M.; Kornhall, B.; et al. Characteristics and survival of adult Swedish PAH and CTEPH patients 2000–2014. Scand. Cardiovasc. J. 2016, 50, 243–250. [Google Scholar] [CrossRef] [PubMed]
- D’Alonzo, G.E.; Barst, R.J.; Ayres, S.M.; Bergofsky, E.H.; Brundage, B.H.; Detre, K.M.; Fishman, A.P.; Goldring, R.M.; Groves, B.M.; Kernis, J.T.; et al. Survival in patients with primary pulmonary hypertension. Results from a national prospective registry. Ann. Intern. Med. 1991, 115, 343–349. [Google Scholar] [CrossRef] [PubMed]
- Boucly, A.; Savale, L.; Jaïs, X.; Bauer, F.; Bergot, E.; Bertoletti, L.; Beurnier, A.; Bourdin, A.; Bouvaist, H.; Bulifon, S.; et al. Association between Initial Treatment Strategy and Long-Term Survival in Pulmonary Arterial Hypertension. Am. J. Respir. Crit. Care Med. 2021, 204, 842–854. [Google Scholar] [CrossRef] [PubMed]
- Orfanos, S.E.; Giannakoulas, G. Pulmonary Hypertension: Current Diagnosis, Approach and Treatment at the Dawn of the New European Guidelines. J. Clin. Med. 2022, 11, 5804. [Google Scholar] [CrossRef] [PubMed]
- Delcroix, M.; Naeije, R. Optimising the management of pulmonary arterial hypertension patients: Emergency treatments. Eur. Respir. Rev. 2010, 19, 204–211. [Google Scholar] [CrossRef] [PubMed]
- Tonelli, A.R.; Arelli, V.; Minai, O.A.; Newman, J.; Bair, N.; Heresi, G.A.; Dweik, R.A. Causes and circumstances of death in pulmonary arterial hypertension. Am. J. Respir. Crit. Care Med. 2013, 188, 365–369. [Google Scholar] [CrossRef] [PubMed]
- Volodarsky, I.; Kerzhner, K.; Haberman, D.; Cuciuc, V.; Poles, L.; Blatt, A.; Kirzhner, E.; George, J.; Gandelman, G. Comparison between Cardiac Output and Pulmonary Vascular Pressure Measured by Indirect Fick and Thermodilution Methods. J. Pers. Med. 2023, 13, 559. [Google Scholar] [CrossRef] [PubMed]
- Hoeper, M.M.; Kramer, T.; Pan, Z.; Eichstaedt, C.A.; Spiesshoefer, J.; Benjamin, N.; Olsson, K.M.; Meyer, K.; Vizza, C.D.; Vonk-Noordegraaf, A.; et al. Mortality in pulmonary arterial hypertension: Prediction by the 2015 European pulmonary hypertension guidelines risk stratification model. Eur. Respir. J. 2017, 50, 1700740. [Google Scholar] [CrossRef] [PubMed]
- Kylhammar, D.; Kjellström, B.; Hjalmarsson, C.; Jansson, K.; Nisell, M.; Söderberg, S.; Wikström, G.; Rådegran, G. A comprehensive risk stratification at early follow-up determines prognosis in pulmonary arterial hypertension. Eur. Heart J. 2018, 39, 4175–4181. [Google Scholar] [CrossRef] [PubMed]
- Arvanitaki, A.; Boutsikou, M.; Anthi, A.; Apostolopoulou, S.; Avgeropoulou, A.; Demerouti, E.; Farmakis, D.; Feloukidis, C.; Giannakoulas, G.; Karvounis, H.; et al. Epidemiology and initial management of pulmonary arterial hypertension: Real-world data from the Hellenic pulmOnary hyPertension rEgistry (HOPE). Pulm. Circ. 2019, 9, 2045894019877157. [Google Scholar] [CrossRef] [PubMed]
- Hurdman, J.; Condliffe, R.; Elliot, C.A.; Davies, C.; Hill, C.; Wild, J.M.; Capener, D.; Sephton, P.; Hamilton, N.; Armstrong, I.J.; et al. ASPIRE registry: Assessing the Spectrum of Pulmonary hypertension Identified at a REferral centre. Eur. Respir. J. 2012, 39, 945–955. [Google Scholar] [CrossRef] [PubMed]
- Gall, H.; Felix, J.F.; Schneck, F.K.; Milger, K.; Sommer, N.; Voswinckel, R.; Franco, O.H.; Hofman, A.; Schermuly, R.T.; Weissmann, N.; et al. The Giessen Pulmonary Hypertension Registry: Survival in pulmonary hypertension subgroups. J. Heart Lung Transplant. 2017, 36, 957–967. [Google Scholar] [CrossRef] [PubMed]
- Mueller-Mottet, S.; Stricker, H.; Domenighetti, G.; Azzola, A.; Geiser, T.; Schwerzmann, M.; Weilenmann, D.; Schoch, O.; Fellrath, J.-M.; Rochat, T.; et al. Long-term data from the Swiss pulmonary hypertension registry. Respiration 2015, 89, 127–140. [Google Scholar] [CrossRef] [PubMed]
- Coghlan, J.G.; Christopher, P.D.; Ekkehard, G.; Diana, B.; Oliver, D.; Dinesh, K.; Müller-Ladner, U.; Pope, J.E.; Vonk, M.C.; Doelberg, M.; et al. Evidence-based detection of pulmonary arterial hypertension in systemic sclerosis: The DETECT study. Ann. Rheum. Dis. 2014, 73, 1340. [Google Scholar] [CrossRef] [PubMed]
- Peppas, S.; Nagraj, S.; Koutsias, G.; Kladas, M.; Archontakis-Barakakis, P.; Schizas, D.; Giannakoulas, G.; Palaiodimos, L.; Kokkinidis, D.G. Portopulmonary Hypertension: A Review of the Current Literature. Heart Lung Circ. 2022, 31, 1191–1202. [Google Scholar] [CrossRef] [PubMed]





| Characteristic | Overall, N = 257 | Group 1, N = 119 | Group 2, N = 46 | Group 3, N = 36 | Group 4, N = 47 | Group 5, N = 9 | p-Value 1 |
|---|---|---|---|---|---|---|---|
| Age, years | 63 (23) | 59 (24) | 72 (13) | 71 (19) | 60 (22) | 61 (21) | <0.001 |
| Sex Female | 168/257 (65) | 85/119 (71) | 35/46 (76) | 14/36 (39) | 30/47 (64) | 4/9 (44) | 0.002 |
| BMI, kg/m2 | 26.8 (7.6) | 26.6 (7.3) | 26.8 (8.6) | 26.4 (6.0) | 27.1 (9.6) | 27.5 (7.3) | 0.5 |
| NYHA Class, | 0.9 | ||||||
| I | 13/257 (5) | 5/119 (3.9) | 3/46 (7.1) | 0/36 (0) | 5/47 (11) | 0/9 (0) | |
| II | 125/257 (49) | 51/119 (43) | 33/46 (71) | 15/36 (41) | 22/47 (46) | 4/9 (40) | |
| III | 109/257 (42) | 61/119 (51) | 10/46 (21) | 18/36 (50) | 16/47 (34) | 4/9 (40) | |
| IV | 10/257 (4) | 2/119 (2.0) | 0/46 (0) | 3/36 (9.1) | 4/47 (8.6) | 1/9 (20) | |
| 6-MWD, m | 389 (324, 483) | 415 (331, 476) | 384 (315, 426) | 303 (170, 320) | 396 (330, 489) | 375 (263, 488) | 0.14 |
| NT-proBNP, pg/mL | 544 (1293) | 521 (1209) | 866 (1115) | 823 (1405) | 381 (995) | 775 (744) | 0.8 |
| NT-proBNP > 115 pg/mL * | 147/167 (88) | 75/85 (88) | 17/19 (89) | 21/23 (91) | 33/38 (87) | 1/2 (50) | 0.5 |
| Hypertension | 77/160 (48) | 33/82 (40) | 15/22 (68) | 12/21 (57) | 15/31 (48) | 2/4 (50) | 0.2 |
| Diabetes | 38/161 (24) | 20/85 (24) | 8/22 (36) | 8/21 (38) | 2/29 (6.9) | 0/4 (0) | 0.032 |
| Dyslipidemia | 75/161 (47) | 33/83 (40) | 15/22 (68) | 15/21 (71) | 11/31 (35) | 1/4 (25) | 0.4 |
| Atrial Fibrillation | 29/157 (18) | 6/83 (7.2) | 14/22 (64) | 5/19 (26) | 4/29 (14) | 0/4 (0) | <0.001 |
| Obesity | 82/255 (32) | 39/118 (33) | 19/46 (41) | 7/36 (19) | 15/46 (33) | 2/9 (22) | 0.3 |
| Hemodynamics | |||||||
| mRAP, mmHg | 7.0 (6.0) | 7.0 (6.0) | 11.0 (7.0) | 6.0 (5.3) | 7.0 (6.5) | 7.0 (1.0) | <0.001 |
| mPAP, mmHg | 42 (18) | 42 (18) | 42 (18) | 38 (16) | 43 (15) | 43 (17) | >0.9 |
| PVR, WU | 6.3 (5.0) | 6.7 (5.8) | 4.3 (3.7) | 7.5 (4.8) | 6.7 (5.2) | 4.8 (3.6) | 0.002 |
| PCWP, mmHg | 11.0 (4.0) | 10.0 (3.0) | 18.0 (8.0) | 10.0 (4.5) | 12.0 (5.0) | 10.0 (5.0) | <0.001 |
| CI, mL/min/m2 | 2.5 (1) | 2.6 (1) | 2.8 (0.9) | 2.3 (1.2) | 2.2 (0.7) | 2.9 (1.3) | 0.004 |
| SVi, mL/m2 | 34 (14) | 34 (14) | 37 (11) | 31 (12) | 29 (14) | 40 (22) | 0.008 |
| SvO2, % | 68 (11) | 70 (10) | 68 (11) | 67 (11) | 66 (10) | 65 (6) | 0.033 |
| PAC, mL/mmHg | 1.4 (1.3) | 1.5 (1.4) | 1.6 (1.1) | 1.2 (1.2) | 1.2 (0.7) | 1.5 (1.9) | 0.029 |
| Characteristic | IPAH, N = 25 | CTD-PAH, N = 37 | CHD-PAH, N = 16 | PoPH, N = 5 | p-Value 1 |
|---|---|---|---|---|---|
| Age, years | 53 (27) | 65 (13) | 48 (25) | 65 (3) | 0.008 |
| Sex Female | 16 (64) | 29 (78) | 12 (75) | 0 (0) | |
| BMI, kg/m2 | 30.8 (5.5) | 26.4 (7.5) | 24.3 (4.7) | 30.9 (1.1) | 0.021 |
| NYHA Class, | 0.6 | ||||
| I | 1/25 (4.5) | 1/37 (2.8) | 0/16 (0) | 0/5 (0) | |
| II | 9/25 (36) | 21/37 (58) | 11/16 (69) | 2/5 (40) | |
| III | 13/25 (50) | 12/37 (33) | 4/16 (25) | 3/5 (60) | |
| IV | 2/25 (9.1) | 2/37 (5.6) | 1/16 (6.3) | 0/5 (0) | |
| 6MWD, m | 367 (210, 450) | 349 (211, 433) | 430 (345, 475) | 365 (240, 373) | 0.5 |
| NT-proBNP, pg/mL | 521 (502) | 749 (2179) | 608 (2035) | 197 (849) | 0.3 |
| NT-proBNP > 115 pg/mL * | 18/21 (86) | 32/34 (94) | 13/15 (87) | 3/5 (60) | 0.14 |
| Hypertension | 11/25 (44) | 21/37 (57) | 3/15 (20) | 2/5 (40) | 0.11 |
| Diabetes | 11/25 (44) | 5/37 (14) | 1/15 (6.7) | 2/5 (40) | 0.009 |
| Dyslipidemia | 11/25 (44) | 13/37 (35) | 1/15 (6.7) | 1/5 (20) | 0.067 |
| Atrial Fibrillation | 1/25 (4.0) | 4/37 (11) | 2/15 (13) | 0/5 (0) | 0.7 |
| Obesity | 14/25 (56) | 13/37 (35) | 2/16 (13) | 4/5 (80) | 0.008 |
| mRAP, mmHg | 8.0 (6.0) | 6.0 (4.0) | 7.0 (3.3) | 7.0 (5.0) | 0.2 |
| mPAP, mmHg | 50 (12) | 36 (11) | 56 (15) | 32 (5) | <0.001 |
| PVR, WU | 7.5 (5.0) | 4.9 (4.5) | 8.0 (9.3) | 3.8 (1.4) | 0.005 |
| PCWP, mmHg | 10 (4.00) | 10 (4.00) | 11 (2.00) | 10 (3.00) | 0.4 |
| CI, L/m2 | 2.3 (0.8) | 2.5 (1) | 2.9 (1.2) | 3.0 (1) | 0.5 |
| SVi, mL/m2 | 34 (15) | 34 (13) | 37 (13) | 38 (14) | 0.7 |
| SvO2, % | 66 (7) | 71 (10) | 77 (10) | 71 (7) | 0.014 |
| PAC, mL/mmHg | 1.4 (1.3) | 1.7 (1.5) | 1.3 (0.9) | 2.7 (0.7) | 0.11 |
| Risk group | 0.6 | ||||
| Low | 4/25 (16) | 9/37 (24) | 4/16 (25) | 1/5 (20) | |
| Intermediate | 19/25 (76) | 19/37 (51) | 10/16 (63) | 3/5 (60) | |
| High | 2/25 (8.0) | 9/37 (24) | 2/16 (13) | 1/5 (20) |
| Low, N = 25 | Intermediate, N = 66 | High, N = 27 | p-Value 1 | |
|---|---|---|---|---|
| All-cause mortality | 0.013 | |||
| Dead | 8/25 (32) | 17/64 (27) | 15/25 (60) | |
| Cause of Death | 0.027 | |||
| PH-related | 3/8 (38) | 3/16 (19) | 10/15 (67) |
| Registry | AHEPA | REHAP [3] | SWEEDEN [4] | ASPIRE [14] | GIESSEN [15] | SWISS [16] |
|---|---|---|---|---|---|---|
| Period, years | 2008–2023 | 1998–2008 | 2000–2014 | 2001–2010 | 1993–2011 | 1998–2012 |
| Patients, Ν | 257 | 1028 | 640 | 1344 | 1997 | 961 |
| PH Classification | ||||||
| Group 1 % | 46 | 84 | 71 | 45 | 35 | 53 |
| Group 2 % | 18 | 12 | 15 | 4 | ||
| Group 3 % | 14 | 13 | 27 | 13 | ||
| Group 4 % | 18 | 16 | 29 | 18 | 23 | 26 |
| Group 5 % | 3 | 2 | 4 | |||
| Demographics | ||||||
| Age, years | 63 (23) | 47.5 (17.7) | 67.9 (20) | 59 (17) | 60 (15) | 60 (15) |
| Sex female, % | 65.3 | 69.2 | 60.0 | 62.0 | 55.0 | 52.0 |
| 6MWD, m | 389 (324, 483) | 355 (120) | 299 (218) | 300 (120) | 356 (138) | |
| RHC | ||||||
| mRAP, mmHg | 7 (6) | 9 (5) | 7 (6) | 11 (6) | 7 (6) | 9 (7) |
| mPAP, mmHg | 42 (18) | 52.9 (15.8) | 45 (16) | 45 (12) | 42 (15) | 46 (14) |
| PCWP, mmHg | 11 (4) | 8.6 (5) | 13 (7) | 10 (6) | 12 (7) | |
| PVR, WU | 6.3 (5) | 11.7 (5.9) | 8.6 (5.7) | 8.2 (5.4) | 9.5 (7.5) | 8.9 (5.6) |
| CI, mL/min/m2 | 2.5 (1.02) | 2.6 (0.9) | 2.3 (1) | 2.7 (0.9) | 2.3 (0.7) | 2.5 (0.8) |
| SVO2, % | 68 (11) | 61.4 (13.2) | 63 (9) | 62 (9) | 62 (10) |
Disclaimer/Publisher’s Note: The statements, opinions and data contained in all publications are solely those of the individual author(s) and contributor(s) and not of MDPI and/or the editor(s). MDPI and/or the editor(s) disclaim responsibility for any injury to people or property resulting from any ideas, methods, instructions or products referred to in the content. |
© 2023 by the authors. Licensee MDPI, Basel, Switzerland. This article is an open access article distributed under the terms and conditions of the Creative Commons Attribution (CC BY) license (https://creativecommons.org/licenses/by/4.0/).
Share and Cite
Papadopoulos, G.E.; Arvanitaki, A.; Markidis, E.; Mouratoglou, S.A.; Farmakis, I.T.; Gourgiotis, P.; Chrysochoidis Trantas, T.; Feloukidis, C.; Kouparanis, A.; Didagelos, M.; et al. Temporal Trends in Diagnostic Hemodynamics and Survival of Patients with Pulmonary Hypertension: A Single-Center Study. Life 2023, 13, 2225. https://doi.org/10.3390/life13112225
Papadopoulos GE, Arvanitaki A, Markidis E, Mouratoglou SA, Farmakis IT, Gourgiotis P, Chrysochoidis Trantas T, Feloukidis C, Kouparanis A, Didagelos M, et al. Temporal Trends in Diagnostic Hemodynamics and Survival of Patients with Pulmonary Hypertension: A Single-Center Study. Life. 2023; 13(11):2225. https://doi.org/10.3390/life13112225
Chicago/Turabian StylePapadopoulos, Georgios E., Alexandra Arvanitaki, Eleftherios Markidis, Sophia Anastasia Mouratoglou, Ioannis T. Farmakis, Panagiotis Gourgiotis, Thomas Chrysochoidis Trantas, Christos Feloukidis, Antonios Kouparanis, Matthaios Didagelos, and et al. 2023. "Temporal Trends in Diagnostic Hemodynamics and Survival of Patients with Pulmonary Hypertension: A Single-Center Study" Life 13, no. 11: 2225. https://doi.org/10.3390/life13112225
APA StylePapadopoulos, G. E., Arvanitaki, A., Markidis, E., Mouratoglou, S. A., Farmakis, I. T., Gourgiotis, P., Chrysochoidis Trantas, T., Feloukidis, C., Kouparanis, A., Didagelos, M., Grosomanidis, V., Ziakas, A., & Giannakoulas, G. (2023). Temporal Trends in Diagnostic Hemodynamics and Survival of Patients with Pulmonary Hypertension: A Single-Center Study. Life, 13(11), 2225. https://doi.org/10.3390/life13112225

