Geographical Variation in Body Size in the Asian Common Toad (Duttaphrynus melanostictus)
Abstract
:1. Introduction
2. Materials and Methods
2.1. Study Species
2.2. Sample Site
2.3. Sample Collection
2.4. Body Size Measurement
2.5. Age Determination
2.6. Statistical Analysis
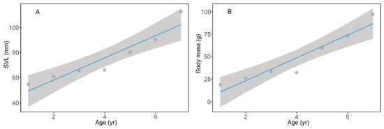
3. Results
3.1. Geographical Variation in Age
3.2. Geographical Variation in Body Size
4. Discussion
5. Conclusions
Supplementary Materials
Author Contributions
Funding
Institutional Review Board Statement
Informed Consent Statement
Data Availability Statement
Acknowledgments
Conflicts of Interest
References
- Ceballos, C.P.; Valenzuela, N. The role of sex-specific plasticity in shaping sexual dimorphism in a long-lived vertebrate, the snapping turtle Chelydra serpentina. Evol. Biol. 2011, 38, 163–181. [Google Scholar] [CrossRef]
- Angilletta, M.J.; Dunham, A.E. The temperature-size rule in ectotherms: Simple evolutionary explanations may not be general. Am. Nat. 2003, 162, 332–342. [Google Scholar] [CrossRef] [PubMed]
- Li, X.T.; Liu, L.; Zhang, J.Y.; Ma, M.; Sun, L.S.; Li, X.F.; Zhang, H.Y.; Wang, J.B.; Huang, Y.Y.; Li, T.J. Improvement in the risk assessment of oral leukoplakia through morphology-related copy number analysis. Sci. China Life Sci. 2021, 64, 379–1391. [Google Scholar] [CrossRef] [PubMed]
- Huang, Y.; Mai, C.L.; Liao, W.B.; Kotrschal, A. Body mass variation is negatively associated with brain size: Evidence for the fat-brain trade-off in anurans. Evolution 2020, 74, 1551–1557. [Google Scholar] [CrossRef] [PubMed]
- Park, J.; Do, Y. Phenotypic plasticity in juvenile frogs that experienced predation pressure as tadpoles does not alter their locomotory performance. Biology 2023, 12, 341. [Google Scholar] [CrossRef] [PubMed]
- Muñoz-Muñoz, F.; Pagès, N.; Durao, A.F.; England, M.; Werner, D.; Talavera, S. Narrow versus broad: Sexual dimorphism in the wing form of western European species of the subgenus Avaritia (Culicoides, Ceratopogonidae). Integr. Zool. 2021, 16, 769–784. [Google Scholar] [CrossRef]
- Scheun, J.; Neller, S.; Bennett, N.C.; Kemp, L.V.; Ganswindt, A. Endocrine correlates of gender and throat coloration in the southern ground-hornbill (Bucorvus leadbeateri). Integr. Zool. 2021, 16, 189–201. [Google Scholar] [CrossRef]
- Donihue, C.M.; Daltry, J.C.; Challenger, S.; Herrel, A. Population increase and changes in behavior and morphology in the critically endangered redonda ground lizard (Pholidoscelis atratus) following the successful removal of alien rats and goats. Integr. Zool. 2021, 16, 379–389. [Google Scholar] [CrossRef]
- Giacomini, G.; Herrel, A.; Chaverri, G.; Brown, R.P.; Russo, D.; Scaravelli, D.; Meloro, C. Functional correlates of skull shape in Chiroptera: Feeding and echolocation adaptations. Integr. Zool. 2022, 17, 430–442. [Google Scholar] [CrossRef]
- Zamora-Camacho, F.J. Sex and habitat differences in size and coloration of an amphibian’s poison glands match differential predator pressures. Integr. Zool. 2022, 17, 764–776. [Google Scholar] [CrossRef]
- Hinds, L.A.; Henry, S.; Van de Weyer, N.; Robinson, F.; Ruscoe, W.A.; Brown, P.R. Acute oral toxicity of zinc phosphide: An assessment for wild house mice (Mus musculus). Integr. Zool. 2023, 18, 63–75. [Google Scholar] [CrossRef] [PubMed]
- Jiang, Y.; Chen, C.; Liao, W.B. Anuran interorbital distance variation: The role of ecological and behavioral factors. Integr. Zool. 2022, 17, 777–786. [Google Scholar] [CrossRef] [PubMed]
- Krasnov, B.R.; Surkova, E.N.; Shenbrot, G.I.; Khokhlova, I.S. Latitudinal gradients in body size and sexual size dimorphism in fleas: Males drive Bergmann’s pattern. Integr. Zool. 2023, 18, 414–426. [Google Scholar] [CrossRef] [PubMed]
- Zhang, L.L.; Jiang, Y.; Zhao, L.; Liao, W.B. Inverse of Rensch’s rule of allometry for sexual size dimorphism in (Bufo andrewsi). Asian Herpetol. Res. 2023, 14, 95–102. [Google Scholar]
- Jiang, Y.; Zhao, L.; Luan, X.F.; Liao, W.B. Testis size variation and its environmental correlates in Andrew’s toad (Bufo andrewsi). Animals 2022, 12, 3011. [Google Scholar] [CrossRef]
- Jiang, Y.; Luan, X.F.; Liao, W.B. Anuran brain size predicts food availability-driven population density. Sci. China Life Sci. 2022, 66, 415–417. [Google Scholar] [CrossRef]
- Lüpold, S.; Jin, L.; Liao, W.B. Population density and structure drive differential investment in pre-and postmating sexual traits in frogs. Evolution 2017, 71, 1686–1699. [Google Scholar] [CrossRef]
- Liao, W.B.; Jiang, Y.; Li, D.Y.; Jin, L.; Zhong, M.J.; Qi, Y.; Lüpold, S.; Kotrschal, A. Cognition contra camouflage: How the brain mediates predator-driven crypsis evolution. Sci. Adv. 2022, 8, eabq1878. [Google Scholar] [CrossRef]
- Liu, Y.T.; Jiang, Y.; Xu, J.L.; Liao, W.B. Evolution of avian eye size is associated with habitat openness, food type and brain size. Animals 2023, 13, 1675. [Google Scholar] [CrossRef]
- Bláha, M.; Patoka, J.; Japoshvili, B.; Let, M.; Buric, M.; Kouba, A.; Mpumladze, L. Genetic diversity, phylogenetic position and morphometric analysis of Astacus colchicus (Decapoda, Astacidae): A new insight into Eastern European crayfish fauna. Integr. Zool. 2021, 16, 368–378. [Google Scholar] [CrossRef]
- Zhu, X.; Chen, C.; Jiang, Y.; Zhao, L.; Jin, L. Geographical variation of organ size in Andrew’s toad (Bufo andrewsi). Front. Ecol. Evol. 2022, 10, 972942. [Google Scholar] [CrossRef]
- Peng, Z.W.; Zhang, L.X.; Lu, X. Global gaps in age data based on skeletochronology for amphibians. Integr. Zool. 2022, 17, 752–763. [Google Scholar] [CrossRef] [PubMed]
- Székely, T.; Reynolds, J.D.; Figuerola, J. Sexual size dimorphism in shorebirds, gulls and alcids: The influence of sexual and natural selection. Evolution 2000, 54, 1404–1413. [Google Scholar] [PubMed]
- Lu, X.; Li, B.; Liang, J.J. Comparative demography of a temperate anuran, (Rana chensinensis), along a relatively fine elevational gradient. Can. J. Zool. 2006, 84, 1789–1795. [Google Scholar] [CrossRef]
- Li, H.; Sun, B.; Zhang, D. Phenotypic consequences of maternally selected nests: A cross-fostering experiment in a desert lizard. Integr. Zool. 2021, 16, 741–754. [Google Scholar] [CrossRef]
- Kozłowski, J.; Czarnoleski, M.; Dańko, M. Can optimal resource allocation models explain why ectotherms grow larger in cold? Integr. Comp. Biol. 2004, 44, 480–493. [Google Scholar] [CrossRef]
- Roff, D.A. Life History Evolution; Sunderland, M.A., Ed.; Sinauer Associates, Inc.: Sunderland, MA, USA, 2002. [Google Scholar]
- Hu, Y.S.; Sun, S.Y.; Fan, H.Z.; Zhou, W.L.; Wei, F.W. Exploring marine endosymbiosis systems with omics techniques. Sci. China Life Sci. 2021, 64, 1013–1016. [Google Scholar] [CrossRef]
- Oke, K.B.; Cunningham, C.J.; Westley, P.A.H.; Baskett, M.L.; Carlson, S.M.; Clark, J.; Hendry, A.P.; Karatayev, V.A.; Kendall, N.W.; Kibele, J.; et al. Recent declines in salmon body size impact ecosystems and fisheries. Nat. Commun. 2020, 11, 4155. [Google Scholar] [CrossRef]
- Daufresne, M.; Lengfellner, K.; Sommer, U. Global warming benefits the small in aquatic ecosystems. Proc. Natl. Acad. Sci. USA 2009, 106, 12788–12793. [Google Scholar] [CrossRef]
- Brown, J.H.; Gillooly, J.F.; Allen, A.P.; Savage, V.M.; West, G.B. Toward a metabolic theory of ecology. Ecology 2004, 85, 1771–1789. [Google Scholar] [CrossRef]
- Peters, R.H. The Ecological Implications of Body Size; Cambridge University Press: Cambridge, UK, 1983. [Google Scholar]
- Clements, C.F.; Ozgul, A. Including trait-based early warning signals helps predict population collapse. Nat. Commun. 2016, 7, 10984. [Google Scholar] [CrossRef] [PubMed]
- McPhee, M.; Leon, J.; Wilson, L.; Siegel, J.; Agler, B. Changing growth and maturity in Western Alaskan Chinook Salmon, Oncorhynchus tshawytscha, brood years 1975–2005. N. Pac. Anadr. Fish Comm. Bull. 2016, 6, 307–327. [Google Scholar] [CrossRef]
- Barneche, D.R.; White, C.R.; Marshall, D.J. Fish reproductive-energy output increases disproportionately with body size. Science 2018, 360, 642–645. [Google Scholar] [CrossRef] [PubMed]
- Liao, W.B.; Lu, X. Adult body size = f (initial size + growth rate × age): Explaining the proximate cause of Bergman’s cline in a toad along altitudinal gradients. Evol. Ecol. 2012, 26, 579–590. [Google Scholar] [CrossRef]
- Schmidt-Nielsen, K. Scaling: Why is Animal Size So Important? Cambridge University Press: Cambridge, UK, 1984. [Google Scholar]
- Atkinson, D.; Sibly, R.M. Why are organisms usually bigger in colder environments? Making sense of a life history puzzle. Trends Ecol. Evol. 1997, 12, 235–239. [Google Scholar] [CrossRef]
- McNab, B.K. On the ecological significance of Bergmann’s rule. Ecology 1971, 52, 845–854. [Google Scholar] [CrossRef]
- Ashton, K.G. Do amphibians follow Bergmann’s rule? Can. J. Zool. 2002, 80, 708–716. [Google Scholar] [CrossRef]
- Blackburn, T.M.; Gaston, K.J.; Loder, N. Geographic gradients in body size: A clarification of Bergmann’s rule. Divers. Distrib. 1999, 5, 165–174. [Google Scholar] [CrossRef]
- Gibson, D.; Hornsby, A.D.; Brown, M.B. Migratory shorebird adheres to Bergmann’s Rule by responding to environmental conditions through the annual lifecycle. Ecography 2019, 42, 1482–1493. [Google Scholar] [CrossRef]
- Meiri, S.; Thomas, G.H. The geography of body size–challenges of the interspecific approach. Global Ecol. Biogeogr. 2007, 16, 689–693. [Google Scholar] [CrossRef]
- Torres-Romero, E.J.; Morales-Castilla, I.; Olalla-Tárraga, M.Á. Bergmann’s rule in the oceans? Temperature strongly correlates with global interspecific patterns of body size in marine mammals. Global Ecol. Biogeogr. 2016, 25, 1206–1215. [Google Scholar] [CrossRef]
- Mousseau, T.A. Ectotherms follow the converse to Bergmann’s rule. Evolution 1997, 51, 630–632. [Google Scholar] [CrossRef] [PubMed]
- Cvetković, D.; Tomašević, N.; Ficetola, G.F.; Crnobrnja-Isailović, J.; Miaud, C. Bergmann’s rule in amphibians: Combining demographic and ecological parameters to explain body size variation among populations in the common toad Bufo bufo. J. Zool. Syst. Evol. Res. 2009, 47, 171–180. [Google Scholar] [CrossRef]
- Ashton, K.G.; Feldman, C.R. Bergmann’s rule in nonavian reptiles: Turtles follow it, lizards and snakes reverse it. Evolution 2003, 57, 1151–1163. [Google Scholar] [PubMed]
- Laugen, A.T.; Laurila, A.; Jönsson, K.I.; Söderman, F.; Merilä, J. Do common frogs (Rana temporaria) follow Bergmann’s rule? Evol. Ecol. Res. 2005, 7, 717–731. [Google Scholar]
- Ma, X.; Tong, L.; Lu, X. Variation of body size, age structure and growth of a temperate frog, (Rana chensinensis), over an elevational gradient in northern China. Amphibia-Reptilia 2009, 30, 111–117. [Google Scholar] [CrossRef]
- Ma, X.; Lu, X.; Merilä, J. Altitudinal decline of body size in a Tibetan frog. J. Zool. 2009, 279, 364–371. [Google Scholar] [CrossRef]
- Ferretti, F.; Fattorini, N. Competitor densities, habitat, and weather: Effects on interspecific interactions between wild deer species. Integr. Zool. 2021, 16, 670–684. [Google Scholar] [CrossRef]
- Fei, L.; Yei, C.Y.; Jiang, J.P. Colored Atlas of Chinese Amphibians and Their Distributions; Sichuan Science and Technology Press: Chengdu, China, 2012. [Google Scholar]
- Moore, M.; Francois, S.; Niaina, F.J.; Edmonds, D. The new toad in town: Distribution of the Asian toad (Duttaphrynus melanostictus), in the Toamasina area of eastern Madagascar. Trop. Conserv. Sci. 2015, 8, 440–455. [Google Scholar] [CrossRef]
- Guo, C.; Xu, J.; Wang, M.; Yan, T.; Yang, L.; Sun, Z. Study on oxygen supply standard for physical health of construction personnel of high-altitude tunnels. Int. J. Environ. Res. 2015, 13, 64. [Google Scholar] [CrossRef]
- Montgomery, K. Variation in temperature with altitude and latitude. J. Geogr. 2006, 105, 133–135. [Google Scholar] [CrossRef]
- Gates, D.M. Spectral distribution of solar radiation at the earth’s surface: The spectral quality of sunlight, skylight, and global radiation varies with atmospheric conditions. Science 1966, 151, 523–529. [Google Scholar] [CrossRef] [PubMed]
- Bradshaw, W.E.; Holzapfel, C.M. Genetic response to rapid climate change: It’s seasonal timing that matters. Mol. Ecol. 2008, 17, 157–166. [Google Scholar] [CrossRef] [PubMed]
- Deng, W.Y.; Jin, L.; Qiu, D.J.; Yan, C.Z.; Liao, W.B. Geographic variation in organ size in a toad (Duttaphrynus melanostictus). Animals 2023, 13, 2645. [Google Scholar] [CrossRef] [PubMed]
- Abouheif, E.; Fairbairn, D.J. A comparative analysis of allometry for sexual size dimorphism: Assessing Rensch’s rule. Am. Nat. 1997, 149, 540–562. [Google Scholar] [CrossRef]
- Cox, R.M.; Skelly, S.L.; John-Alder, H.B. A comparative test of adaptive hypotheses for sexual size dimorphism in lizards. Am. Nat. 2003, 57, 1653–1669. [Google Scholar]
- Sinsch, U. Review: Skeletochronological assessment of demographic life-history traits in amphibians. Herpetol. J. 2015, 25, 5–13. [Google Scholar]
- Yuan, L.J.; Zhong, M.J.; Liao, W.B. Age structure of two species of odorous frogs (Odorrana margaretae and Odorrana grahami). Asian Herpetol. Res. 2021, 12, 308–314. [Google Scholar]
- Monnet, J.M.; Cherry, M.I. Sexual size dimorphism in anurans. Proc. R. Soc. B 2002, 269, 2301–2307. [Google Scholar] [CrossRef]
- Herczeg, G.; Gonda, A.; Merilä, J. Rensch’s rule inverted—Female-driven gigantism in nine-spined stickleback (Pungitius pungitius). J. Anim. Ecol. 2010, 79, 581–588. [Google Scholar] [CrossRef]
- Liao, W.B.; Liu, W.C.; Merilä, J. Andrew meets Rensch: Sexual size dimorphism and the inverse of Rensch’s rule in Andrew’s toad (Bufo andrewsi). Oecologia 2015, 177, 389–399. [Google Scholar] [CrossRef] [PubMed]
- Bates, D.; Maechler, M.; Bolker, B.; Walker, S. Fitting linear mixed-effects models using lme4. J. Stat. Soft. 2015, 67, 1–48. [Google Scholar] [CrossRef]
- Räsänen, K.; Söderman, F.; Laurila, A.; Merilä, J. Geographic variation in maternal investment: Acidity affects egg size and fecundity in Rana arvalis. Ecology 2008, 89, 2553–2562. [Google Scholar] [CrossRef] [PubMed]
- Han, X.; Fu, J.Z. Does life history shape sexual size dimorphism in anurans? A comparative analysis. BMC Evol. Biol. 2013, 13, 27. [Google Scholar] [CrossRef] [PubMed]
- Margenau, E.L.; Crayton, S.M.; Rucker, L.E.; Jacobsen, C.D.; Brown, D.J. Modified salamander stick to facilitate accurate measurement of small individuals. Herpetol. J. 2018, 49, 243–246. [Google Scholar]
- Zhang, L.X.; Sheng, Y.S.; Yuan, X.Y.; Zhong, X.T.; Chen, X.H. A skeletochronological estimation of age structure of a population of the paddy frog, (Fejervarya multistriata), from the central east of China. Anim. Biol. 2020, 71, 103–113. [Google Scholar] [CrossRef]
- Polák, J.; Frynta, D. Patterns of sexual size dimorphism in cattle breeds support Rensch’s rule. Evol. Ecol. 2010, 24, 1255–1266. [Google Scholar] [CrossRef]
- Baskale, E.; Ulubeli, S.A.; Kaska, Y. Age structures and growth parameters of the Levantine frog, Pelophylax bedriagae, at different localities in Denizli, Turkey. Acta Herpetol. 2018, 13, 147–154. [Google Scholar]
- Rozenblut, B.; Ogielska, M. Development and growth of long bones in European water frogs (Amphibia: Anura: Ranidae), with remarks on age determination. J. Morphol. 2005, 265, 304–317. [Google Scholar] [CrossRef]
- Stephenson, A.; Calvo-Friedman, A.; Altshuler, L.; Zabar, S.; Hanley, K. Educational training to improve opioid overdose response among health center staff: A quality improvement initiative. Harm Reduct. J. 2023, 20, 83. [Google Scholar] [CrossRef]
- Ergül, K.T.; Gümüşsoy, K. Age structure, growth, and body size of (Pelodytes caucasicus) from Turkey. Biol. Bull. 2022, 49, S124–S129. [Google Scholar] [CrossRef]
- Remes, V.; Székely, T. Domestic chickens defy Rensch’s rule: Sexual size dimorphism in chicken breeds. J. Evol. Biol. 2010, 23, 2754–2759. [Google Scholar] [CrossRef] [PubMed]
- Wells, K.D. The Ecology and Behavior of Amphibians; University of Chicago Press: Chicago, IL, USA, 2007. [Google Scholar]
- Jiang, Y.; Zhao, L.; Luan, X.F.; Liao, W.B. Geographical variation in body size and the Bergmann’s rule in Andrew’s toad (Bufo andrewsi). Biology 2022, 11, 1766. [Google Scholar] [CrossRef]
- Sinsch, U.; Marangoni, F.; Oromı, N.; Leskovar, C.; Sanuy, D.; Tejedo, M. Proximate mechanisms deter-mining size variability in natterjack toads. J. Zool. 2010, 281, 272–281. [Google Scholar] [CrossRef]
- Morrison, F.C.; Hero, J.M. Geographic variation in life-history characteristics of amphibians: A review. J. Anim. Ecol. 2003, 72, 270–279. [Google Scholar] [CrossRef]


| Study Site | Latitude (N) | Altitude (m) | Male Body Size (mm) | Female Body Size (mm) |
|---|---|---|---|---|
| Midu | 25°20′ | 1673 | 63.06 ± 5.26 (n = 33) | 62.05 ± 4.34 (n = 12) |
| Mouding | 25°17′ | 1771 | 61.46 ± 4.33 (n = 50) | n = 0 |
| Pingjiang | 25°58′ | 276 | 52.56 ± 4.72 (n = 8) | 53.59 ± 4.27 (n = 8) |
| Pingbian | 22°59′ | 1043 | 47.70 (n = 1) | 72.82 ± 5.08 (n = 17) |
| Yuanling | 28°26′ | 120 | 51.38 ± 2.55 (n = 24) | n = 0 |
| Source | Random | Fixed | ||||||
|---|---|---|---|---|---|---|---|---|
| VAR | SD | Effect Size | Estimate | SE | df | t | p | |
| Age | ||||||||
| Population | 0.492 | 0.702 | ||||||
| Residual | 1.361 | 1.167 | ||||||
| Altitude | −0.050 | <0.001 | <0.001 | 2.275 | −0.208 | 0.853 | ||
| Sex | −0.170 | −0.218 | 0.306 | 93.799 | −0.712 | 0.478 | ||
| Age | ||||||||
| Population | 0.294 | 0.542 | ||||||
| Residual | 1.359 | 1.166 | ||||||
| Latitude | −0.250 | −0.219 | 0.163 | 3.601 | −1.348 | 0.256 | ||
| Sex | −0.140 | −0.178 | 0.312 | 122.224 | −0.570 | 0.570 | ||
| Source | Random | Fixed | ||||||
|---|---|---|---|---|---|---|---|---|
| VAR | SD | Effect Size | Estimate | SE | df | t | p | |
| SVL | ||||||||
| Population | <0.001 | 0.021 | ||||||
| Residual | 0.001 | 0.030 | ||||||
| Altitude | 0.520 | <0.001 | <0.001 | 2.744 | 3.910 | 0.035 | ||
| Sex | 0.150 | 0.011 | 0.008 | 120.600 | 1.356 | 0.178 | ||
| Age | 0.800 | 0.045 | 0.002 | 147.900 | 21.551 | <0.001 | ||
| Body mass | ||||||||
| Population | 0.002 | 0.045 | ||||||
| Residual | 0.011 | 0.106 | ||||||
| Altitude | 0.580 | <0.001 | <0.001 | 1.615 | 5.925 | 0.044 | ||
| Sex | 0.190 | 0.042 | 0.027 | 48.880 | 1.553 | 0.127 | ||
| Age | 0.710 | 0.124 | 0.007 | 146.600 | 16.754 | <0.001 | ||
| SVL | ||||||||
| Population | 0.001 | 0.037 | ||||||
| Residual | 0.001 | 0.030 | ||||||
| Latitude | −0.350 | −0.017 | 0.010 | 3.078 | −1.760 | 0.174 | ||
| Sex | 0.200 | 0.014 | 0.008 | 147.639 | 1.738 | 0.084 | ||
| Age | 0.800 | 0.045 | 0.002 | 145.855 | 21.230 | <0.001 | ||
| Body mass | ||||||||
| Population | 0.011 | 0.104 | ||||||
| Residual | 0.011 | 0.106 | ||||||
| Latitude | −0.430 | −0.066 | 0.028 | 3.131 | −2.383 | 0.094 | ||
| Sex | 0.320 | 0.072 | 0.029 | 147.983 | 2.448 | 0.016 | ||
| Age | 0.700 | 0.121 | 0.007 | 146.331 | 16.124 | <0.001 | ||
Disclaimer/Publisher’s Note: The statements, opinions and data contained in all publications are solely those of the individual author(s) and contributor(s) and not of MDPI and/or the editor(s). MDPI and/or the editor(s) disclaim responsibility for any injury to people or property resulting from any ideas, methods, instructions or products referred to in the content. |
© 2023 by the authors. Licensee MDPI, Basel, Switzerland. This article is an open access article distributed under the terms and conditions of the Creative Commons Attribution (CC BY) license (https://creativecommons.org/licenses/by/4.0/).
Share and Cite
Zhang, K.; Qiu, D.; Zhao, L.; Yan, C.; Jin, L.; Liao, W. Geographical Variation in Body Size in the Asian Common Toad (Duttaphrynus melanostictus). Life 2023, 13, 2219. https://doi.org/10.3390/life13112219
Zhang K, Qiu D, Zhao L, Yan C, Jin L, Liao W. Geographical Variation in Body Size in the Asian Common Toad (Duttaphrynus melanostictus). Life. 2023; 13(11):2219. https://doi.org/10.3390/life13112219
Chicago/Turabian StyleZhang, Kunhao, Duojing Qiu, Li Zhao, Chengzhi Yan, Long Jin, and Wenbo Liao. 2023. "Geographical Variation in Body Size in the Asian Common Toad (Duttaphrynus melanostictus)" Life 13, no. 11: 2219. https://doi.org/10.3390/life13112219
APA StyleZhang, K., Qiu, D., Zhao, L., Yan, C., Jin, L., & Liao, W. (2023). Geographical Variation in Body Size in the Asian Common Toad (Duttaphrynus melanostictus). Life, 13(11), 2219. https://doi.org/10.3390/life13112219

