Abstract
Abnormalities in gut microbiota diversity are considered important mechanisms in metabolic disorders in polycystic ovarian syndrome (PCOS). However, the data on the association of these disorders with the PCOS phenotype remain controversial. The objectives of this study were to estimate the alpha diversity of the gut microbiota of healthy women and PCOS patients depending on phenotype. The study participants (184 premenopausal women: 63 with PCOS, 121 without PCOS) were recruited during the annual employment assessment in the Irkutsk Region and the Buryat Republic (Russia) in 2016–2019. For PCOS diagnosis, we used the Rotterdam (2003) criteria and definitions of PCOS phenotypes. Five indexes of alpha diversity (ASV, Shannon, Simpson, Chao, and ACE) were estimated for the gut microbiota in all participants using amplicon metasequencing. As a result, two out of five alpha diversity indexes showed a statistical difference between the non-PCOS and PCOS groups. We did not find a significant difference in the alpha diversity of gut microbiota in the subgroups of women with hyperandrogenic PCOS phenotypes vs non-androgenic phenotype D and the group of women with the presence of only one of the PCOS criteria. Nevertheless, “classic” PCOS phenotypes demonstrated the most significant decrease in alpha diversity compared with healthy women without any signs of PCOS.
1. Introduction
PCOS is the most common type of hyperandrogenism (HA), associated with reproductive disorders, a high risk of metabolic syndrome, diabetes mellitus, cardiovascular diseases, and psycho-emotional disturbances [1,2]. Previously, it was shown that neuroendocrine regulation and metabolic disorders are related to gut microbiome abnormalities, and convincing evidence has shown that the intestinal microbiomes of sick people differ significantly in the diversity of microorganisms and their potential functionality from the microbiomes of healthy people [3,4,5]. These studies motivate the assumption that human health, to some extent, depends on the taxonomic composition and metabolic functions performed by the intestinal microbiota. In 2012, a hypothesis called DOGMA (dysbiosis of gut microbiota, intestinal microbiota dysbiosis) suggested that intestinal dysbiosis can lead to chronic inflammation, insulin resistance, and androgen hypersecretion, which, in turn, are associated with PCOS [6]. In regard to this hypothesis, the associative relationship between the intestinal microbiota and various pathological conditions and indicators in patients with PCOS is being actively studied (Table S1) [7,8,9,10,11,12,13,14,15,16,17,18,19,20,21,22,23,24,25,26,27,28,29,30,31,32,33].
Microbial biocenoses formed in different biotopes of the human body consist of a number of species and their quantitative composition and bacterial diversity. Various bioinformatics tools have been developed to compare bacterial diversity in different biotopes [34,35]. The Shannon and Simpson diversity indexes are used to estimate bacterial diversity based on operational taxonomic units (OTUs). The Shannon index describes the species richness and species uniformity with an emphasis on species richness. The Simpson index provides an estimate of species richness and species uniformity with an emphasis on species uniformity. While the Abundance-based Coverage Estimator (ACE) and Chao1 indexes are used to estimate species richness, they determine expected OTUs based on the OTUs found [36,37]. The Chao index gives more weight to species with low abundance, so this index is especially useful for datasets biased towards low-abundance species [38]. The ACE index divides the observed frequencies into abundant and rare groups, considering only the information about the presence or absence of numerous species because they will be found anyway. However, the estimate of the number of missing species is entirely based on rare species, so precise frequencies are required for rare species [36,37]. Currently, there is a lack of studies based on the estimation of the spectrum of diversity indexes; the role of gut microbiota diversity in PCOS has not been finally established, and the available results are contradictory. The objectives of this study were to estimate the alpha diversity of the gut microbiomes of healthy women and PCOS patients depending on phenotype.
2. Materials and Methods
2.1. Study Participants
All study participants (n = 184) were recruited during the multicenter, institution-based, cross-sectional Eastern Siberia PCOS Epidemiology & Phenotype (ESPEP) study performed in the Irkutsk Region and the Buryat Republic (Russia) in 2016–2019 (ClinicalTrials.gov ID: NCT05194384). The study was conducted in accordance with the Declaration of Helsinki 1964, with subsequent changes, and approved by the Local Ethics Committee of the Scientific Center for Family Health and Human Reproduction Problems (protocol number 2.1, date of approval 24 February 2016). Written informed consent was obtained from all participants.
Inclusion criteria were as follows: premenopausal women, aged 18 to 44 yrs, who underwent an obligatory early medical employment assessment, provided a signed informed consent form, were available during the study, and complied with all study procedures.
Exclusion criteria were: current pregnancy or lactation; history of hysterectomy, bilateral oophorectomy, endometrial ablation, or uterine artery embolization; current or previous (within 3 months) hormonal medications or insulin sensitizers intake; intake of antibiotics within one month of recruitment; anything that would place the individual at increased risk or preclude the individual’s full compliance with or completion of the study; and unwillingness to participate or difficulty understanding the consent processes or the study objectives and requirements.
For PCOS diagnosis, we used Rotterdam (2003) criteria: a presence of any two of three criteria—hyperandrogenism, oligo/anovulation, and polycystic ovarian morphology with the absence of conditions with similar symptoms (hyperprolactinemia, hypothyroidism, 21-hydroxylase-deficient non-classic congenital adrenal hyperplasia (NC-CAH), premature ovarian failure) [39]. PCOS phenotypes were defined based on the combination of clinical and biochemical PCOS features as follows: phenotype A—clinical and/or biochemical hyperandrogenism (HA) and oligo/anovulation (OA)/menstrual dysfunction (MD) and polycystic ovarian morphology (PCOM); B-HA and OA/MD; C-HA and PCOM; and D-OA/MD and PCOM [39].
All included women with PCOS and without PCOS were divided into 4 subgroups. The control subgroup (1a, n = 19) included women without any signs of PCOS, with regular 21–35-day menstrual cycles; a modified Ferriman–Gallwey (mF-G) score < 3, without alopecia or acne; and with an ovarian volume by pelvic ultrasound < 10 cm3 and antral follicle count (AFC) less than 12. Subjects with a history of chronic disease; BMI < 18 or ≥30 kg/m2; elevated blood pressure; or abnormal androgens, fasting glucose, prolactin, FSH, TSH, and 17-hydroxyprogesterone levels were not included in the 1a (control) group. Women from the “Grey zone” subgroup (1b, n = 102) met one of the three possible PCOS criteria: hyperandrogenism, oligo/anovulation, or PCOM. The 2a subgroup (n = 41) included patients with “hyperandrogenic” PCOS phenotypes (A, B, and C), and the 2b subgroup (n = 22) consisted of patients with “non-androgenic” phenotype D.
2.2. Methods
Subject evaluations included questionnaires, anthropometry, measurement of vital signs, gynecological examination, modified Ferriman–Gallwey (mF-G) scoring [40], pelvic ultrasound, and blood sampling in the morning after an overnight fast. Patients were examined during annual check-ups, and blood samples were taken both in the first and second phases of the menstrual cycle. A body mass index (BMI) was calculated with the following: weight (kg)/height (m2). Pelvic ultrasound (U/S) was performed using Mindray M7 (MINDRAY, China), a transvaginal probe (5.0–8.0 MHz), or transabdominal probe (2.5–5.0 MHz). Ovarian volume was determined by the following formula: length × width × height × 0.523.
Serum samples were analyzed for total testosterone (TT) using LC-MS/MS. DHEAS, sex-hormone-binding globulin (SHBG), prolactin, LH, FSH, TSH, AMH, and 17-OHPwere assessed by ELISA. The free androgen index (FAI) was calculated by: [TT/SHBG] × 100.
Sampling for high-throughput sequencing was performed according to standard operating procedures (SOP: IHMS_SOP03 V2, IHMS_SOP06 V2) developed during the implementation of the International Human Microbiome Standards (IHMS) project of the international consortium (http://www.human-microbiome.org/index.php#SOPS, accessed on 3 March 2016). On the eve of admission, patients received a home fecal collection kit, which included a sterile fecal jar, refrigerant, and instructions. The patients transported the biomaterial in refrigerant to the laboratory within 2 h after defecation. The feces were immediately divided into aliquots for storage at −80 °C until further processing.
Genomic DNA was isolated from feces using the Quick-DNA Fecal/Soil Microbe Kit (Zymo Research, Irvine, CA, USA).
Library preparation and sequencing were carried out in accordance with the manufacturer’s recommendations: amplified fragments were indexed using the Nextera XT Index kit v2 (set A-D), and individual libraries were mixed in equimolar amounts and sequenced on an Illumina MiSeq instrument (Illumina, San Diego, CA, USA) using a MiSeq® Reagent Kit v3 (600 cycle) with double-sided reading (2 × 300 N).
Sequencing of the V1-V3 amplicons of the variable regions of the 16S rRNA gene was performed using the equipment of the Core Centrum ‘Genomic Technologies, Proteomics and Cell Biology’ in ARRIAM, and the primary data were deposited in the international database NCBI SRA (data: PRJNA899143).
Amplicon libraries of 16S rDNA were processed using the QIIME2 bioinformatics pipeline to conduct a comparative metagenomic study [41]. ASVs were generated using the DADA2 algorithm, which allows detection, correction, and filtering of amplicon errors and chimeric sequences. The resulting representative sequences were used to determine their taxonomic classification using the sklearn-based Naive Bayes classifier trained on the SILVA v138 with 99% 16S full-length database. Diversity analysis was performed to estimate alpha diversity using the “diversity” plugin, and species richness difference analysis was performed using the following indexes: Chao1, Shannon, Simpson, and ACE.
Statistical analysis: Sample size calculations for the total population were based on the following formula: n = [(Z1 − α )2 (p(1 − P)/D2)] [42], where n = individual sample size, Z1 − α = 1.96 (when α = 0.05), p = assumed PCOS prevalence according to the previously published data [1,2], and D = absolute error. The data were collected using Research Electronic Data Capture (REDCap) [43]. Outliers were identified during the Exploratory Data Analysis [44,45] using the box-plot and 3σ methods. Managing missing data: In our research dataset, there were two types of missing data: missing completely at random (MCAR) and missing at random (MAR). We recorded all missing values with labels of “N/A” to make them consistent throughout our dataset. Pairwise deletion was used when the dataset was analyzed.
To estimate the assumption of the normal distribution of our datasets, we performed a formal statistical test—the Shapiro–Wilk test. Data are presented as means ± standard deviation if normally distributed and as median and interquartile range in case of a skewed distribution. Chi-square (χ2) was used for frequency data. We used a Student’s t-test to compare the mean values of the data with an independent sample, which followed a normal distribution, or a Mann–Whitney U test to compare the ratio between two groups in another case. For comparing means in a situation where there were more than two groups, we performed one-way analysis of variance (ANOVA) or a non-parametric alternative—the Kruskal–Wallis rank-sum test with the post hoc tests including the Bonferroni correction: Tukey multiple pairwise comparisons or a modified version of the U test as a post hoc test in the case of a non-parametric test. The Spearman rank-order correlations were calculated for the alpha diversity indexes and hormonal parameters for all women.
All data were analyzed using R 3.6.3 (a free software environment for statistical computing and graphics: https://www.r-project.org/, accessed on 19 September 2022) and packages rstatix 0.7.0., ggplot2, and catdap1.3.5.
3. Results
3.1. The Study Participants’ Characteristics
We present the sociodemographic characteristics of the women included in the study in Table S2. A comparison of the physical examination data demonstrates significantly higher mFG scores in patients with PCOS vs those without PCOS (Table 1).
Table 1.
Anthropometry, vital signs, and U/S parameters of the study participants with and without PCOS.
As shown in this table, the patients with PCOS had ultrasound signs of polycystic ovarian morphology: an increased ovarian volume and antral follicle count per ovary.
Anthropometric data, vital signs, and U/S parameters of the study participants by subgroups are presented in Table 2.
Table 2.
Anthropometry, vital signs, and U/S parameters of the study participants by subgroups.
The main hormonal characteristics of non-PCOS and PCOS women, overall and by phenotype, presented in Table 3 and Table 4, demonstrate the higher values of LH, AMH, and androgens in women with PCOS, especially in those who have hyperandrogenic PCOS phenotypes.
Table 3.
Hormonal characteristics of study participants with and without PCOS.
Table 4.
Hormonal characteristics of study participants by subgroups.
3.2. Differences in Alpha Diversity of Gut Microbiota According to Study Group and Subgroups
The sequencing of the V1–V3 16S microbial rDNA generated a dataset consisting of 4,460,863 total reads. After filtering, denoising, chimeric read removal, and merging of the reads, there were 2,232,329 high-quality 16S rDNA gene sequences with 758,882 reads for non-PCOS women and 1,473,447 reads for women with PCOS, with an average of 12,132 sequences per sample (minimum, 2952; maximum, 33,855) (Table S3). The rarefaction curves were used to establish whether the sequencing quantity was sufficient and estimate the species richness (Figure 1). The curve seemingly flattened, indicating that the sequencing depth was sufficient to reflect the species diversity of the samples.
Figure 1.
Alpha diversity rarefaction curves based on the number of observed ASVs. (a) Non-PCOS (1) and PCOS (2) groups; (b) subgroups: Control (1a), “Grey zone” (1b), Phenotype A, B, C (2a), and Phenotype D (2b). All samples were rarefied to 10,000 reads and then clustered into ASV. Mean and SD are plotted.
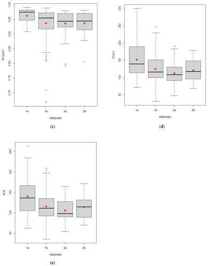
Indexes of alpha diversity (ASV, Shannon, Simpson, Chao, and ACE) were estimated for the gut microbiota in the two groups (Table 5) and four subgroups (Figure 2, Table 6) of the women. As a result, two out of five alpha diversity indexes showed a statistical difference between the non-PCOS and PCOS groups (Shannon; p = 0.039 and Chao; p = 0.048, respectively) (Table 5). We did not find a significant difference in the alpha diversity of the gut microbiota in the subgroups of women with hyperandrogenic PCOS phenotypes (subgroup 2a) vs non-androgenic phenotype D (subgroup 2b) and vs the subgroup of women with the presence of only one of the PCOS criteria (1b or “Grey zone”) (Figure 2, Table 6).
Table 5.
Alpha diversity indexes calculated for two main groups of PCOS and non-PCOS patients with a median relative abundance.

Figure 2.
Indexes of alpha diversity of the gut microbial communities from Control (n = 19) and “Grey zone” (n = 102) of non-PCOS group and phenotypes A, B, C (n = 41) and phenotype D (n = 22) of PCOS group: (a) ASV, (b) Shannon, (c) Simpson, (d) Chao, and (e) ACE. The box represents the interquartile range, which contains the median, and the whiskers indicate the 75th and 25th percentiles.
Table 6.
Alpha diversity indexes calculated for subgroups of patients with a median relative abundance.
Nevertheless, “classic” hyperandrogenic PCOS phenotypes (subgroup 2a) demonstrated the most significant decrease in alpha diversity, estimated by five indexes, compared with healthy women without any signs of PCOS (subgroup 1a) (Figure 2, Table 6). Two out of five alpha diversity indexes (Shannon and Simpson) showed a statistical difference between the Control (1a) and “Grey Zone” (1b) subgroups of women without PCOS and between controls and PCOS phenotype D (2b) subgroup.
Investigation of the correlations of bacterial richness and diversity with hormonal parameters for all women revealed that such characteristics as total testosterone, DHEAS, SHBG, and LH did not significantly correlate with any of the alpha diversity indexes, whereas a negative correlation was revealed for FAI with only Chao richness (r = −0.15, p = 0.041), and FSH with all indexes except Simpson (ASV: r = −0.15, p = 0.044; Shannon: r = −0.15, p = 0.040; Chao: r = −0.18, p = 0.013; ACE: r = −0.16, p = 0.031).
4. Discussion
In recent decades, microbial communities from various human biotopes have been actively studied and it has been shown that they differ under normal and pathological conditions. The gut microbiota is a group of bacteria that stably exist in association with the intestinal epithelium. These microorganisms represent a stable community within which they realize interrelated and complementary functions [46]. Ecological principles underlie both host–microbe interactions and the specific functions of gut microorganisms. The microorganism’s diversity, metabolic “flexibility”, and functional redundancy ensure the stability and sustainability of any microbial community.
The diversity of microorganisms in a microbiocenosis can be assessed using a set of indicators that consider not only the number of different taxa present in the community (richness) but also their uniformity and evenness [47].
We evaluated the five most commonly used metrics to characterize alpha diversity—ASV, Shannon, Simpson, ACE, and Chao1. The values of all indicators significantly differed only between the control and the “classic“ hyperandrogenic phenotypes of PCOS (the subgroup consisting of phenotypes A, B, and C). Notably, in previous studies, the authors did not always evaluate all of these main indexes of alpha diversity (Table S1). Studies that contain a shotgun sequencing analysis do not explore the information on alpha diversity indexes [14]. The most commonly used index is the Shannon index, and the taxonomic complexity, richness, and evenness of the gut microbiota could be best analyzed using this indicator. Most often, the authors point to significantly lower values of this indicator in patients with PCOS (Table S1) compared with controls. As usual, data that demonstrate the absence of a difference between patients with PCOS and the control group were obtained from the research that studied the association of gut microbiota with obesity, and the patients with and without PCOS were not stratified by this important comorbidity [8,11,15,20]. Among the publications currently available for analysis, we found four studies in which the authors note higher values of all indexes analyzed or at least one index in patients with PCOS compared with the control group [9,20,24,29]. In all these studies, the authors revealed the relationships of the clinical parameters with the species composition of the gut microbiota. Nevertheless, in general, they did not describe the abnormalities of the alpha diversity of the gut microbiota.
The associative relationships between the gut microbiome and clinical parameters have been presented in several studies [8,13,14,18,20,21,23,24,25,28,30]. However, the authors characterized the associations of only certain groups of bacteria that showed a greater or lesser representation in the gut microbiome. We have found only a few references where the associations of alpha diversity indexes with clinical, hormonal, or metabolic parameters were investigated [10,26,33]. When using the correlation analysis of alpha diversity indexes in PCOS and non-PCOS women, the authors reported no statistical significance. The lack of differences in the diversity indexes could be explained by the absence of PCOS phenotyping. Importantly, in our study, the most significant difference regarding the diversity was demonstrated between the control group and “classic” phenotypes of PCOS.
Recently, Lüll with co-authors carried out a correlation analysis of alpha diversity indexes with clinical, hormonal, and metabolic parameters for the participants of the population-based study of gut microbiome associations with PCOS [33]. They found a negative correlation for the Shannon index with BMI, fasting insulin, and FAI, and a positive correlation with SHBG, Matsuda index, and Disposition index. Obviously, in this study, age and BMI may have significantly influenced the association of alpha diversity and PCOS.
Some data were obtained from the study of the potential relationship between gut microbiota and PCOS in a well-characterized homogenous group of lean women with PCOS compared with healthy women. In this study, such characteristics as age, BMI, lipids, clinical or biochemical androgen excess, and insulin resistance did not significantly impact Shannon diversity or Chao richness [26]. The authors noted that Chao richness showed a borderline negative correlation with androstenedione and an insignificant negative correlation with testosterone. To the contrary, Torres and co-authors have shown negative correlations of serum total testosterone level and hirsutism with observed ASVs and Faith PD [10].
Therefore, these studies presented controversial results, and we believe that our data increase the body of evidence regarding the associations of hyperandrogenic PCOS phenotypes with the most significant decrease in gut microbiota diversity.
The main strength of our study is the fact that all study participants were recruited from a representative, medically unbiased population. All study participants were well phenotyped for PCOS, and we used a highly efficient method (LC-MS/MS) to measure testosterone levels. To assess the alpha diversity of gut microbial communities, we explored a panel of indexes and described diversity in a more comprehensive manner than the previously published data.
A limitation of our study is the relatively small sample size of the control subgroup compared with the size of the other subgroups, but it is comparable to the other studies (Table S1). We have not yet conducted a search on the composition of the gut microbiota, but this will be the result of the next separate study.
5. Conclusions
In this study, we demonstrated that even alpha diversity indexes describing the characteristics of the microbiota of each individual patient provide information that makes it possible to distinguish the microbiome of a healthy person from a patient with a “classic” PCOS phenotype. Notably, in addition to the gut microbiome, other biotopes of patients with PCOS are being actively studied, for example, the oral cavity [48,49], vaginal microbiome [50,51,52], blood bacteria spectrum [53], and gut virome [54]. Undoubtedly, for a comprehensive characterization of the microbiome in PCOS, it is necessary to consider a complex of factors of bacterial origin.
Supplementary Materials
The following supporting information can be downloaded at: https://www.mdpi.com/article/10.3390/life13010007/s1, Table S1: List of gut microbiome researches on PCOS patients with findings on alpha diversity correlations, Table S2: Sociodemographic characteristics of study participants, Table S3: Short statistics of ASV numbers and alpha diversity indexes representing the gut microbial communities’ richness and diversity. Table S4: Alpha diversity indexes calculated for subgroups of patients with a median relative abundance.
Author Contributions
Conceptualization, L.S. (Larisa Suturina) and N.B. (Natalia Belkova); methodology, L.S. (Larisa Suturina) and N.B. (Natalia Belkova); software, T.S. and A.A.; validation, N.B. (Natalia Belkova) and E.K.; formal analysis, E.K., T.S. and A.A.; investigation, I.I., L.L., I.D., I.N., L.S. (Leonid Sholohov), M.R., L.B., A.B., E.S., K.I., N.B. (Natalia Babaeva), I.E., M.S., M.K., D.T.; data curation, A.A.; writing, L.S. (Larisa Suturina) and N.B. (Natalia Belkova); supervision, L.S. (Larisa Suturina); project administration, N.B. (Natalia Belkova); funding acquisition, L.S. (Larisa Suturina). All authors have read and agreed to the published version of the manuscript.
Funding
The project was supported by the Ministry of Science and Education of the Russian Federation in the form of funding of the state scientific program, “Early detection and correction of neuro-endocrine, metabolic and psycho-emotional manifestations of reproductive disorders associated with hyperandrogenism”. #AAAA-A18-118011990043-5 (2019–2022). The research was performed using the equipment of the Center for the development of progressive personalized health technologies at the Scientific Center for Family Health and Human Reproduction Problems.
Institutional Review Board Statement
The study was conducted in accordance with the Declaration of Helsinki 1964, with subsequent changes, and approved by the Local Ethics Committee of the Scientific Center for Family Health and Human Reproduction Problems (protocol number 2.1, date of approval 24 February 2016).
Informed Consent Statement
Written informed consent was obtained from all participants.
Data Availability Statement
The primary data on amplicon metasequencing were deposited in the international database NCBI SRA (data: PRJNA899143).
Acknowledgments
Authors express their appreciation to Daria Lizneva, protocol leader of the ESPEP study (Icahn School of Medicine at Mount Sinai, NY, USA) and the Steering Committee of the ESPEP study: Bulent Yildiz (Hacettepe University School of Medicine, Ankara, Turkey), Richard S. Legro (Hershey Medical Center, Penn State College of Medicine, Hershey, USA), Frank Stanczyk (Keck School of Medicine, University of Southern California, Los Angeles, USA), and Ricardo Azziz (School of Medicine, the University of Alabama at Birmingham, Birmingham, USA).
Conflicts of Interest
The authors declare no conflict of interest.
Abbreviations
| 17-OHP | 17-hydroxyprogesterone |
| ACE | Abundance-based Coverage Estimator |
| AFC | Antral Follicle Count |
| AMH | Anti-Mullerian Hormone |
| ASV | Amplicon sequence variant |
| BMI | Body mass index |
| DHEAS | Dehydroepiandrosterone |
| DOGMA | Dysbiosis of gut microbiota |
| ESPEP | Eastern Siberia PCOS Epidemiology & Phenotype |
| FAI | Free Androgen Index |
| FSH | Follicle-Stimulating Hormone |
| HA | Hyperandrogenism |
| HRT | Hormone therapy |
| IFG | Impaired fasting glycaemia |
| IGT | Impaired glucose tolerance |
| LH | Luteinizing Hormone |
| LNG-IUD | Levonorgestrel intrauterine device |
| mF-G | modified Ferriman–Gallwey score for hirsutism |
| NC-CAH | Nonclassical congenital adrenal hyperplasia |
| OCP | Oral contraceptive pills |
| OUT | Operational Taxonomic Unit |
| PCOS | Polycystic ovary syndrome |
| PCOM | Polycystic ovarian morphology |
| REDCap | Research Electronic Data Capture |
| rRNA | ribosomal RNA |
| SHBG | Sex-Hormone-Binding Globulin |
| TSH | Thyroid-Stimulating Hormone |
| TT | Total Testosterone |
| U/S | Ultrasound |
| UNL | Upper Normal Limits |
| WC | Waist Circumference |
References
- Belenkaia, L.V.; Lazareva, L.M.; Walker, W.; Lizneva, D.V.; Suturina, L.V. Criteria, phenotypes and prevalence of polycystic ovary syndrome. Minerva Ginecol. 2019, 71, 211–223. [Google Scholar] [CrossRef]
- Suturina, L. The Epidemiology of Polycystic Ovary Syndrome. In Polycystic Ovary Syndrome, 3rd ed.; Kovacs, G.T., Fauser, B., Legro, R.S., Eds.; Cambridge University Press: Cambridge, UK, 2022; pp. 21–28. [Google Scholar] [CrossRef]
- Cho, I.; Blaser, M.J. The human microbiome: At the interface of health and disease. Nat. Rev. Genet. 2012, 13, 260–270. [Google Scholar] [CrossRef] [PubMed]
- Kho, Z.Y.; Lal, S.K. The Human Gut Microbiome—A Potential Controller of Wellness and Disease. Front. Microbiol. 2018, 9, 1835. [Google Scholar] [CrossRef] [PubMed]
- Armour, C.R.; Nayfach, S.; Pollard, K.S.; Sharpton, T.J. A Metagenomic Meta-analysis Reveals Functional Signatures of Health and Disease in the Human Gut Microbiome. mSystems 2019, 4, e00332-18. [Google Scholar] [CrossRef] [PubMed]
- Tremellen, K.; Pearce, K. Dysbiosis of gut microbiota (DOGMA)—A novel theory for the development of polycystic ovarian syndrome. Med. Hypotheses 2012, 79, 104–112. [Google Scholar] [CrossRef]
- Lindheim, L.; Bashir, M.; Münzker, J.; Trummer, C.; Zachhuber, V.; Leber, B.; Horvath, A.; Pieber, T.R.; Gorkiewicz, G.; Stadlbauer, V.; et al. Alterations in Gut Microbiome Composition and Barrier Function Are Associated with Reproductive and Metabolic Defects in Women with Polycystic Ovary Syndrome (PCOS): A Pilot Study. PLoS ONE 2017, 12, e0168390. [Google Scholar] [CrossRef]
- Liu, R.; Zhang, C.; Shi, Y.; Zhang, F.; Li, L.; Wang, X.; Ling, Y.; Fu, H.; Dong, W.; Shen, J.; et al. Dysbiosis of Gut Microbiota Associated with Clinical Parameters in Polycystic Ovary Syndrome. Front. Microbiol. 2017, 8, 324. [Google Scholar] [CrossRef]
- Insenser, M.; Murri, M.; Del Campo, R.; Ángeles Martínez-García, M.; Fernández-Durán, E.; Escobar-Morreale, H.F. Gut Microbiota and the Polycystic Ovary Syndrome: Influence of Sex, Sex Hormones, and Obesity. J. Clin. Endocrinol. Metab. 2018, 103, 2552–2562. [Google Scholar] [CrossRef]
- Torres, P.J.; Siakowska, M.; Banaszewska, B.; Pawelczyk, L.; Duleba, A.J.; Kelley, S.T.; Thackray, V.G. Gut Microbial Diversity in Women With Polycystic Ovary Syndrome Correlates With Hyperandrogenism. J. Clin. Endocrinol. Metab. 2018, 103, 1502–1511. [Google Scholar] [CrossRef]
- Qi, X.; Yun, C.; Sun, L.; Xia, J.; Wu, Q.; Wang, L.; Wang, L.; Zhang, Y.; Liang, X.; Wang, L.; et al. Gut microbiota–bile acid–interleukin-22 axis orchestrates polycystic ovary syndrome. Nat. Med. 2019, 25, 1225–1233. [Google Scholar] [CrossRef]
- Zeng, B.; Lai, Z.; Sun, L.; Zhang, Z.; Yang, J.; Li, Z.; Lin, J.; Zhang, Z. Structural and functional profiles of the gut microbial community in polycystic ovary syndrome with insulin resistance (IR-PCOS): A pilot study. Res. Microbiol. 2019, 170, 43–52. [Google Scholar] [CrossRef] [PubMed]
- Zhang, J.; Sun, Z.; Jiang, S.; Bai, X.; Ma, C.; Peng, Q.; Chen, K.; Chang, H.; Fang, T.; Zhang, H. Probiotic Bifidobacterium lactis V9 Regulates the Secretion of Sex Hormones in Polycystic Ovary Syndrome Patients through the Gut-Brain Axis. mSystems 2019, 4, e00017-19. [Google Scholar] [CrossRef] [PubMed]
- Chu, W.; Han, Q.; Xu, J.; Wang, J.; Sun, Y.; Li, W.; Chen, Z.J.; Du, Y. Metagenomic analysis identified microbiome alterations and pathological association between intestinal microbiota and polycystic ovary syndrome. Fertil. Steril. 2020, 113, 1286–1298.e4. [Google Scholar] [CrossRef] [PubMed]
- Eyupoglu, N.D.; Ergunay, K.; Acikgoz, A.; Akyon, Y.; Yilmaz, E.; Yildiz, B.O. Gut Microbiota and Oral Contraceptive Use in Overweight and Obese Patients with Polycystic Ovary Syndrome. J. Clin. Endocrinol. Metab. 2020, 105, dgaa600. [Google Scholar] [CrossRef]
- Haudum, C.; Lindheim, L.; Ascani, A.; Trummer, C.; Horvath, A.; Münzker, J.; Obermayer-Pietsch, B. Impact of Short-Term Isoflavone Intervention in Polycystic Ovary Syndrome (PCOS) Patients on Microbiota Composition and Metagenomics. Nutrients 2020, 12, 1622. [Google Scholar] [CrossRef]
- Jobira, B.; Frank, D.N.; Pyle, L.; Silveira, L.J.; Kelsey, M.M.; Garcia-Reyes, Y.; Robertson, C.E.; Ir, D.; Nadeau, K.J.; Cree-Green, M. Obese Adolescents With PCOS Have Altered Biodiversity and Relative Abundance in Gastrointestinal Microbiota. J. Clin. Endocrinol. Metab. 2020, 105, e2134–e2144. [Google Scholar] [CrossRef]
- Liang, Y.; Ming, Q.; Liang, J.; Zhang, Y.; Zhang, H.; Shen, T. Gut microbiota dysbiosis in polycystic ovary syndrome: Association with obesity—A preliminary report. Can. J. Physiol. Pharmacol. 2020, 98, 803–809. [Google Scholar] [CrossRef]
- Zhou, L.; Ni, Z.; Yu, J.; Cheng, W.; Cai, Z.; Yu, C. Correlation Between Fecal Metabolomics and Gut Microbiota in Obesity and Polycystic Ovary Syndrome. Front. Endocrinol. 2020, 11, 628. [Google Scholar] [CrossRef]
- Zhou, L.; Ni, Z.; Cheng, W.; Yu, J.; Sun, S.; Zhai, D.; Yu, C.; Cai, Z. Characteristic gut microbiota and predicted metabolic functions in women with PCOS. Endocr. Connect. 2020, 9, 63–73. [Google Scholar] [CrossRef]
- Dong, S.; Jiao, J.; Jia, S.; Li, G.; Zhang, W.; Yang, K.; Wang, Z.; Liu, C.; Li, D.; Wang, X. 16S rDNA Full-Length Assembly Sequencing Technology Analysis of Intestinal Microbiome in Polycystic Ovary Syndrome. Front. Cell. Infect. Microbiol. 2021, 11, 634981. [Google Scholar] [CrossRef]
- Garcia-Beltran, C.; Malpique, R.; Carbonetto, B.; González-Torres, P.; Henares, D.; Brotons, P.; Muñoz-Almagro, C.; López-Bermejo, A.; de Zegher, F.; Ibáñez, L. Gut microbiota in adolescent girls with polycystic ovary syndrome: Effects of randomized treatments. Pediatr. Obes. 2021, 16, e12734. [Google Scholar] [CrossRef] [PubMed]
- He, F.; Li, Y. The gut microbial composition in polycystic ovary syndrome with insulin resistance: Findings from a normal-weight population. J. Ovarian. Res. 2021, 14, 50. [Google Scholar] [CrossRef]
- Jobira, B.; Frank, D.N.; Silveira, L.J.; Pyle, L.; Kelsey, M.M.; Garcia-Reyes, Y.; Robertson, C.E.; Ir, D.; Nadeau, K.J.; Cree-Green, M. Hepatic steatosis relates to gastrointestinal microbiota changes in obese girls with polycystic ovary syndrome. PLoS ONE 2021, 16, e0245219. [Google Scholar] [CrossRef] [PubMed]
- Liang, Z.; Di, N.; Li, L.; Yang, D. Gut microbiota alterations reveal potential gut-brain axis changes in polycystic ovary syndrome. J. Endocrinol. Investig. 2021, 44, 1727–1737. [Google Scholar] [CrossRef] [PubMed]
- Mammadova, G.; Ozkul, C.; Yilmaz Isikhan, S.; Acikgoz, A.; Yildiz, B.O. Characterization of gut microbiota in polycystic ovary syndrome: Findings from a lean population. Eur. J. Clin. Investig. 2021, 51, e13417. [Google Scholar] [CrossRef] [PubMed]
- Ni, Z.; Cheng, W.; Ding, J.; Yao, R.; Zhang, D.; Zhai, D.; Zhou, L.; Yu, C. Impact of Buzhong Yiqi Prescription on the Gut Microbiota of Patients with Obesity Manifesting Polycystic Ovarian Syndrome. Evid. Based Complement. Alternat. Med. 2021, 2021, 6671367. [Google Scholar] [CrossRef]
- Zhu, X.; Li, Y.; Jiang, Y.; Zhang, J.; Duan, R.; Liu, L.; Liu, C.; Xu, X.; Yu, L.; Wang, Q.; et al. Prediction of Gut Microbial Community Structure and Function in Polycystic Ovary Syndrome With High Low-Density Lipoprotein Cholesterol. Front. Cell. Infect. Microbiol. 2021, 11, 665406. [Google Scholar] [CrossRef]
- Hassan, S.; Kaakinen, M.A.; Draisma, H.; Zudina, L.; Ganie, M.A.; Rashid, A.; Balkhiyarova, Z.; Kiran, G.S.; Vogazianos, P.; Shammas, C.; et al. Bifidobacterium Is Enriched in Gut Microbiome of Kashmiri Women with Polycystic Ovary Syndrome. Genes 2022, 13, 379. [Google Scholar] [CrossRef]
- Li, G.; Liu, Z.; Ren, F.; Shi, H.; Zhao, Q.; Song, Y.; Fan, X.; Ma, X.; Qin, G. Alterations of Gut Microbiome and Fecal Fatty Acids in Patients With Polycystic Ovary Syndrome in Central China. Front. Microbiol. 2022, 13, 911992. [Google Scholar] [CrossRef]
- Tayachew, B.; Vanden Brink, H.; Garcia-Reyes, Y.; Rahat, H.; D’Alessandro, A.; Frank, D.N.; Robertson, C.E.; Silveira, L.; Kelsey, M.; Pyle, L.; et al. Combined Oral Contraceptive Treatment Does Not Alter the Gut Microbiome but Affects Amino Acid Metabolism in Sera of Obese Girls With Polycystic Ovary Syndrome. Front. Physiol. 2022, 13, 887077. [Google Scholar] [CrossRef]
- Wang, X.; Xu, T.; Liu, R.; Wu, G.; Gu, L.; Zhang, Y.; Zhang, F.; Fu, H.; Ling, Y.; Wei, X.; et al. High-Fiber Diet or Combined With Acarbose Alleviates Heterogeneous Phenotypes of Polycystic Ovary Syndrome by Regulating Gut Microbiota. Front. Endocrinol. 2022, 12, 806331. [Google Scholar] [CrossRef] [PubMed]
- Lüll, K.; Arffman, R.K.; Sola-Leyva, A.; Molina, N.M.; Aasmets, O.; Herzig, K.H.; Plaza-Díaz, J.; Franks, S.; Morin-Papunen, L.; Tapanainen, J.S.; et al. The Gut Microbiome in Polycystic Ovary Syndrome and Its Association with Metabolic Traits. J. Clin. Endocrinol. Metab. 2021, 106, 858–871. [Google Scholar] [CrossRef] [PubMed]
- Schloss, P.D.; Handelsman, J. Introducing DOTUR, a computer program for defining operational taxonomic units and estimating species richness. Appl. Environ. Microbiol. 2005, 71, 1501–1506. [Google Scholar] [CrossRef] [PubMed]
- Schloss, P.D.; Westcott, S.L.; Ryabin, T.; Hall, J.R.; Hartmann, M.; Hollister, E.B.; Lesniewski, R.A.; Oakley, B.B.; Parks, D.H.; Robinson, C.J.; et al. Introducing mothur: Open-source, platform-independent, community-supported software for describing and comparing microbial communities. Appl. Environ. Microbiol. 2009, 75, 7537–7541. [Google Scholar] [CrossRef]
- Chao, A.; Chazdon, R.L.; Colwell, R.K.; Shen, T.J. Abundance-based similarity indices and their estimation hen there are unseen species in samples. Biometrics 2006, 62, 361–371. [Google Scholar] [CrossRef]
- Kim, B.R.; Shin, J.; Guevarra, R.; Lee, J.H.; Kim, D.W.; Seol, K.H.; Lee, J.H.; Kim, H.B.; Isaacson, R. Deciphering Diversity Indices for a Better Understanding of Microbial Communities. J. Microbiol. Biotechnol. 2017, 27, 2089–2093. [Google Scholar] [CrossRef] [PubMed]
- Hughes, J.B.; Hellmann, J.J.; Ricketts, T.H.; Bohannan, B.J. Counting the uncountable: Statistical approaches to estimating microbial diversity. Appl. Environ. Microbiol. 2001, 67, 4399–4406. [Google Scholar] [CrossRef]
- Teede, H.J.; Misso, M.L.; Costello, M.F.; Dokras, A.; Laven, J.; Moran, L.; Piltonen, T.; Norman, R.J.; International PCOS Network. Recommendations from the international evidence-based guideline for the assessment and management of polycystic ovary syndrome. Fertil. Steril. 2018, 110, 364–379. [Google Scholar] [CrossRef]
- Yildiz, B.O.; Bolour, S.; Woods, K.; Moore, A.; Azziz, R. Visually scoring hirsutism. Hum. Reprod. Update 2010, 16, 51–64. [Google Scholar] [CrossRef]
- Bolyen, E.; Rideout, J.R.; Dillon, M.R.; Bokulich, N.A.; Abnet, C.C.; Al-Ghalith, G.A.; Alexander, H.; Alm, E.J.; Arumugam, M.; Asnicar, F.; et al. Reproducible, interactive, scalable and extensible microbiome data science using QIIME 2. Nat. Biotechnol. 2019, 37, 852–857. [Google Scholar] [CrossRef]
- Naing, L.; Winn, T.; Rusli, B.N. Practical issues in calculating the sample size for prevalence studies. Med. Stat. 2006, 1, 9–14. [Google Scholar]
- Atalyan, A.V.; Kolesnikova, L.I.; Kolesnikov, S.I.; Grjibovski, A.M.; Suturina, L.V. Research Electronic Data Capture (REDCap) for Building and Managing Databases for Population-based Biomedical Studies. Ekol. Cheloveka (Hum. Ecol.) 2019, 2, 52–59. [Google Scholar] [CrossRef][Green Version]
- Zuur, A.F.; Ieno, E.N.; Elphick, C.S. A protocol for data exploration to avoid common statistical problems. Methods Ecol. Evol. 2010, 1, 3–14. [Google Scholar] [CrossRef]
- Lehmann, R. 3sigma-Rule for Outlier Detection from the Viewpoint of Geodetic Adjustment. J. Surv. Eng. 2013, 139, 157–165. [Google Scholar] [CrossRef]
- Martínez, I.; Muller, C.E.; Walter, J. Long-term temporal analysis of the human fecal microbiota revealed a stable core of dominant bacterial species. PLoS ONE 2013, 8, e69621. [Google Scholar] [CrossRef]
- Costa, M.; Weese, J.S. Methods and basic concepts for microbiota assessment. Vet. J. 2019, 249, 10–15. [Google Scholar] [CrossRef]
- Lindheim, L.; Bashir, M.; Münzker, J.; Trummer, C.; Zachhuber, V.; Pieber, T.R.; Gorkiewicz, G.; Obermayer-Pietsch, B. The Salivary Microbiome in Polycystic Ovary Syndrome (PCOS) and Its Association with Disease-Related Parameters: A Pilot Study. Front. Microbiol. 2016, 7, 1270. [Google Scholar] [CrossRef]
- Li, N.; Li, Y.; Qian, C.; Liu, Q.; Cao, W.; Ma, M.; He, R.; Chen, R.; Geng, R.; Liu, Y. Dysbiosis of the Saliva Microbiome in Patients With Polycystic Ovary Syndrome. Front. Cell. Infect. Microbiol. 2021, 10, 624504. [Google Scholar] [CrossRef]
- Hong, X.; Qin, P.; Huang, K.; Ding, X.; Ma, J.; Xuan, Y.; Zhu, X.; Peng, D.; Wang, B. Association between polycystic ovary syndrome and the vaginal microbiome: A case-control study. Clin. Endocrinol. 2020, 93, 52–60. [Google Scholar] [CrossRef]
- Tu, Y.; Zheng, G.; Ding, G.; Wu, Y.; Xi, J.; Ge, Y.; Gu, H.; Wang, Y.; Sheng, J.; Liu, X.; et al. Comparative Analysis of Lower Genital Tract Microbiome Between PCOS and Healthy Women. Front. Physiol. 2020, 11, 1108. [Google Scholar] [CrossRef]
- Lu, C.; Wang, H.; Yang, J.; Zhang, X.; Chen, Y.; Feng, R.; Qian, Y. Changes in Vaginal Microbiome Diversity in Women With Polycystic Ovary Syndrome. Front. Cell. Infect. Microbiol. 2021, 11, 755741. [Google Scholar] [CrossRef] [PubMed]
- Wang, Q.; Wang, Q.; Zhao, L.; Bin, Y.; Wang, L.; Wang, L.; Zhang, K.; Li, Q. Blood Bacterial 16S rRNA Gene Alterations in Women With Polycystic Ovary Syndrome. Front. Endocrinol. 2022, 13, 814520. [Google Scholar] [CrossRef] [PubMed]
- Huang, L.; Wu, X.; Guo, S.; Lv, Y.; Zhou, P.; Huang, G.; Duan, Z.; Sun, W. Metagenomic-based characterization of the gut virome in patients with polycystic ovary syndrome. Front. Microbiol. 2022, 13, 951782. [Google Scholar] [CrossRef] [PubMed]
Disclaimer/Publisher’s Note: The statements, opinions and data contained in all publications are solely those of the individual author(s) and contributor(s) and not of MDPI and/or the editor(s). MDPI and/or the editor(s) disclaim responsibility for any injury to people or property resulting from any ideas, methods, instructions or products referred to in the content. |
© 2022 by the authors. Licensee MDPI, Basel, Switzerland. This article is an open access article distributed under the terms and conditions of the Creative Commons Attribution (CC BY) license (https://creativecommons.org/licenses/by/4.0/).