Forgivingness of an Anteromedially Positioned Small Locked Plate for High Tibial Osteotomy in Case of Overcorrection and Lateral Hinge Fracture
Abstract
:1. Introduction
2. Materials and Methods
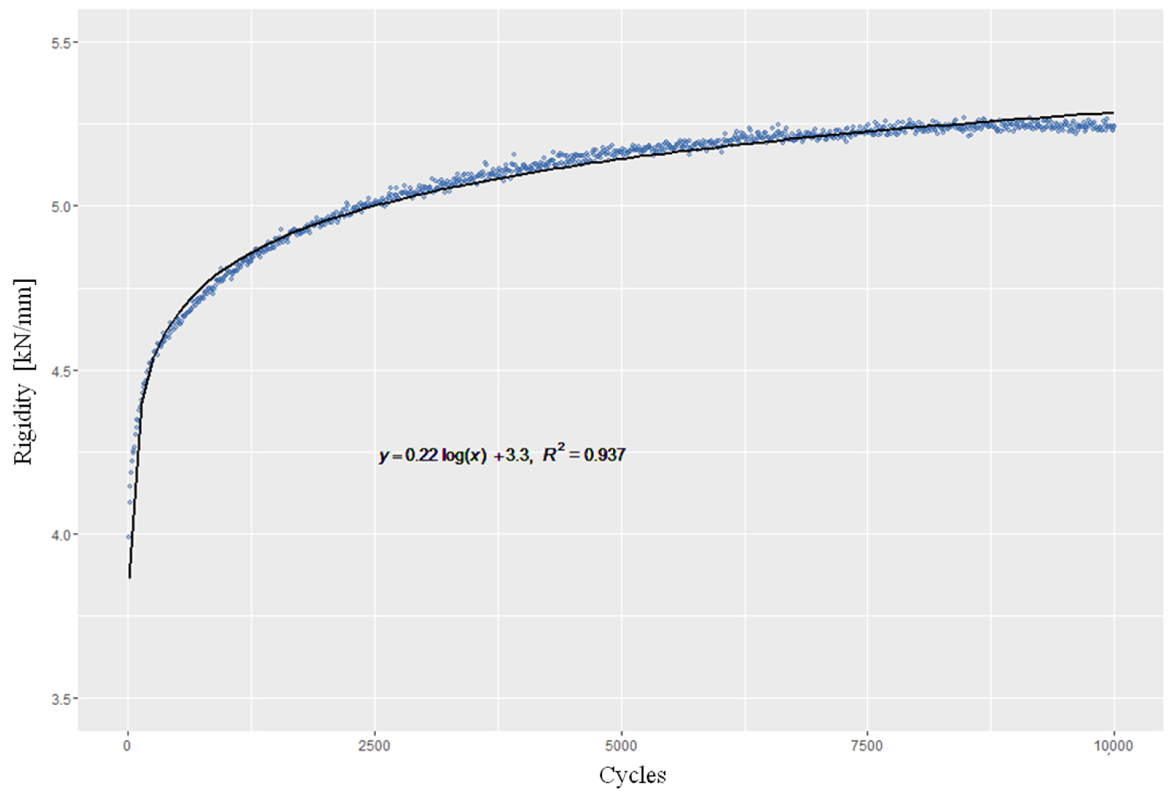
3. Results
4. Discussion
5. Conclusions
Author Contributions
Funding
Institutional Review Board Statement
Informed Consent Statement
Data Availability Statement
Conflicts of Interest
References
- Arden, N.; Nevitt, M.C. Osteoarthritis: Epidemiology. Best Pract. Res. Clin. Rheum. 2006, 20, 3–25. [Google Scholar] [CrossRef] [PubMed]
- Michael, J.W.; Schluter-Brust, K.U.; Eysel, P. The epidemiology, etiology, diagnosis, and treatment of osteoarthritis of the knee. Dtsch. Arztebl. Int. 2010, 107, 152–162. [Google Scholar] [CrossRef] [PubMed]
- Jones, L.D.; Bottomley, N.; Harris, K.; Jackson, W.; Price, A.J.; Beard, D.J. The clinical symptom profile of early radiographic knee arthritis: A pain and function comparison with advanced disease. Knee Surg. Sport. Trauma. Arthrosc. Off. J. ESSKA 2016, 24, 161–168. [Google Scholar] [CrossRef] [PubMed]
- Brouwer, G.M.; van Tol, A.W.; Bergink, A.P.; Belo, J.N.; Bernsen, R.M.; Reijman, M.; Pols, H.A.; Bierma-Zeinstra, S.M. Association between valgus and varus alignment and the development and progression of radiographic osteoarthritis of the knee. Arthritis Rheum. 2007, 56, 1204–1211. [Google Scholar] [CrossRef]
- Agneskirchner, J.D.; Hurschler, C.; Wrann, C.D.; Lobenhoffer, P. The effects of valgus medial opening wedge high tibial osteotomy on articular cartilage pressure of the knee: A biomechanical study. Arthrosc. J. Arthrosc. Relat. Surg. Off. Publ. Arthrosc. Assoc. N. Am. Int. Arthrosc. Assoc. 2007, 23, 852–861. [Google Scholar] [CrossRef] [PubMed]
- Shelburne, K.B.; Torry, M.R.; Pandy, M.G. Contributions of muscles, ligaments, and the ground-reaction force to tibiofemoral joint loading during normal gait. J. Orthop. Res. Off. Publ. Orthop. Res. Soc. 2006, 24, 1983–1990. [Google Scholar] [CrossRef] [PubMed]
- Mundermann, A.; Dyrby, C.O.; D’Lima, D.D.; Colwell, C.W., Jr.; Andriacchi, T.P. In vivo knee loading characteristics during activities of daily living as measured by an instrumented total knee replacement. J. Orthop. Res. Off. Publ. Orthop. Res. Soc. 2008, 26, 1167–1172. [Google Scholar] [CrossRef] [PubMed]
- Kumar, D.; Manal, K.T.; Rudolph, K.S. Knee joint loading during gait in healthy controls and individuals with knee osteoarthritis. Osteoarthr. Cartil. 2013, 21, 298–305. [Google Scholar] [CrossRef]
- Hofmann, S.; Lobenhoffer, P.; Staubli, A.; van Heerwaarden, R. [Osteotomies of the knee joint in patients with monocompartmental arthritis]. Der Orthopade 2009, 38, 755–769. [Google Scholar] [CrossRef]
- Lobenhoffer, P. [Importance of osteotomy around to the knee for medial gonarthritis. Indications, technique and results]. Der Orthopade 2014, 43, 425–431. [Google Scholar] [CrossRef]
- Day, M.; Wolf, B.R. Medial opening-wedge high tibial osteotomy for medial compartment arthrosis/overload. Clin. Sport. Med. 2019, 38, 331–349. [Google Scholar] [CrossRef] [PubMed]
- Floerkemeier, S.; Staubli, A.E.; Schroeter, S.; Goldhahn, S.; Lobenhoffer, P. Outcome after high tibial open-wedge osteotomy: A retrospective evaluation of 533 patients. Knee Surg. Sport. Trauma. Arthrosc. Off. J. ESSKA 2013, 21, 170–180. [Google Scholar] [CrossRef] [PubMed]
- Benzakour, T.; Hefti, A.; Lemseffer, M.; El Ahmadi, J.D.; Bouyarmane, H.; Benzakour, A. High tibial osteotomy for medial osteoarthritis of the knee: 15 years follow-up. Int. Orthop. 2010, 34, 209–215. [Google Scholar] [CrossRef]
- Lobenhoffer, P.; Agneskirchner, J.; Zoch, W. [Open valgus alignment osteotomy of the proximal tibia with fixation by medial plate fixator]. Der Orthopade 2004, 33, 153–160. [Google Scholar] [CrossRef] [PubMed]
- Lee, D.K.; Wang, J.H.; Won, Y.; Min, Y.K.; Jaiswal, S.; Lee, B.H.; Kim, J.Y. Preoperative latent medial laxity and correction angle are crucial factors for overcorrection in medial open-wedge high tibial osteotomy. Knee Surg. Sport. Trauma. Arthrosc. Off. J. ESSKA 2020, 28, 1411–1418. [Google Scholar] [CrossRef]
- Takeuchi, R.; Ishikawa, H.; Kumagai, K.; Yamaguchi, Y.; Chiba, N.; Akamatsu, Y.; Saito, T. Fractures around the lateral cortical hinge after a medial opening-wedge high tibial osteotomy: A new classification of lateral hinge fracture. Arthrosc. J. Arthrosc. Relat. Surg. Off. Publ. Arthrosc. Assoc. N. Am. Int. Arthrosc. Assoc. 2012, 28, 85–94. [Google Scholar] [CrossRef]
- Woodacre, T.; Ricketts, M.; Evans, J.T.; Pavlou, G.; Schranz, P.; Hockings, M.; Toms, A. Complications associated with opening wedge high tibial osteotomy—A review of the literature and of 15 years of experience. Knee 2016, 23, 276–282. [Google Scholar] [CrossRef]
- Claes, L.; Augat, P.; Suger, G.; Wilke, H.J. Influence of size and stability of the osteotomy gap on the success of fracture healing. J. Orthop. Res. Off. Publ. Orthop. Res. Soc. 1997, 15, 577–584. [Google Scholar] [CrossRef]
- Agneskirchner, J.D.; Freiling, D.; Hurschler, C.; Lobenhoffer, P. Primary stability of four different implants for opening wedge high tibial osteotomy. Knee Surg. Sport. Trauma. Arthrosc. Off. J. ESSKA 2006, 14, 291–300. [Google Scholar] [CrossRef]
- Fujisawa, Y.; Masuhara, K.; Shiomi, S. The effect of high tibial osteotomy on osteoarthritis of the knee. An arthroscopic study of 54 knee joints. Orthop. Clin. N. Am. 1979, 10, 585–608. [Google Scholar] [CrossRef]
- Kim, K.J.; Song, E.K.; Seon, J.K.; Seol, J.H. Biomechanical study of the fixation plates for opening wedge high tibial osteotomy. Knee Surg. Relat. Res. 2015, 27, 181–186. [Google Scholar] [CrossRef] [PubMed]
- Diffo Kaze, A.; Maas, S.; Belsey, J.; Hoffmann, A.; Pape, D. Static and fatigue strength of a novel anatomically contoured implant compared to five current open-wedge high tibial osteotomy plates. J. Exp. Orthop. 2017, 4, 39. [Google Scholar] [CrossRef] [PubMed]
- Diffo Kaze, A.; Maas, S.; Belsey, J.; Hoffmann, A.; Seil, R.; van Heerwaarden, R.; Pape, D. Mechanical strength of a new plate compared to six previously tested opening wedge high tibial osteotomy implants. J. Exp. Orthop. 2019, 6, 43. [Google Scholar] [CrossRef] [PubMed]
- Spahn, G.; Muckley, T.; Kahl, E.; Hofmann, G.O. Biomechanical investigation of different internal fixations in medial opening-wedge high tibial osteotomy. Clin. Biomech. 2006, 21, 272–278. [Google Scholar] [CrossRef] [PubMed]
- Maas, S.; Diffo Kaze, A.; Dueck, K.; Pape, D. Static and dynamic differences in fixation stability between a spacer plate and a small stature plate fixator used for high tibial osteotomies: A biomechanical bone composite study. ISRN Orthop. 2013, 2013, 387620. [Google Scholar] [CrossRef]
- Stoffel, K.; Stachowiak, G.; Kuster, M. Open wedge high tibial osteotomy: Biomechanical investigation of the modified arthrex osteotomy plate (puddu plate) and the tomofix plate. Clin. Biomech. 2004, 19, 944–950. [Google Scholar] [CrossRef]
- Heiner, A.D. Structural properties of fourth-generation composite femurs and tibias. J. Biomech. 2008, 41, 3282–3284. [Google Scholar] [CrossRef]
- Lobenhoffer, P.; Agneskirchner, J.D. Improvements in surgical technique of valgus high tibial osteotomy. Knee Surg. Sport. Trauma. Arthrosc. Off. J. ESSKA 2003, 11, 132–138. [Google Scholar] [CrossRef]
- Bergmann, G.; Bender, A.; Graichen, F.; Dymke, J.; Rohlmann, A.; Trepczynski, A.; Heller, M.O.; Kutzner, I. Standardized loads acting in knee implants. PLoS ONE 2014, 9, e86035. [Google Scholar]
- Morrison, J. Function of the knee joint in normal walking. J. Biomech. 1970, 3, 51–61. [Google Scholar] [CrossRef]
- Kuster, M.S.; Wood, G.A.; Stachowiak, G.W.; Gachter, A. Joint load considerations in total knee replacement. J. Bone Jt. Surg. Br. Vol. 1997, 79, 109–113. [Google Scholar] [CrossRef]
- Heller, M.O.; Matziolis, G.; Konig, C.; Taylor, W.R.; Hinterwimmer, S.; Graichen, H.; Hege, H.C.; Bergmann, G.; Perka, C.; Duda, G.N. [Musculoskeletal biomechanics of the knee joint. Principles of preoperative planning for osteotomy and joint replacement]. Der Orthopade 2007, 36, 628–634. [Google Scholar] [CrossRef] [PubMed]
- Bohannon, R.W. Number of pedometer-assessed steps taken per day by adults: A descriptive meta-analysis. Phys. Ther. 2007, 87, 1642–1650. [Google Scholar] [CrossRef] [PubMed]
- Sethi, G.; Aljawadi, A.; Elmajee, M.; Pillai, A. Determination of the postoperative limb alignment following a high tibial osteotomy in patients with uni-compartmental knee osteoarthritis, review article. J. Orthop. 2020, 18, 53–57. [Google Scholar] [CrossRef] [PubMed]
- Liu, X.; Chen, Z.; Gao, Y.; Zhang, J.; Jin, Z. High tibial osteotomy: Review of techniques and biomechanics. J. Healthc. Eng. 2019, 2019, 8363128. [Google Scholar] [CrossRef]
- Lee, O.S.; Ahn, S.; Lee, Y.S. Changes of sagittal and axial alignments of patella after open- and closed-wedge high-tibial osteotomy: A systematic review and meta-analysis. J. Knee Surg. 2018, 31, 625–634. [Google Scholar] [CrossRef]
- Zhao, D.; Banks, S.A.; D’Lima, D.D.; Colwell, C.W., Jr.; Fregly, B.J. In vivo medial and lateral tibial loads during dynamic and high flexion activities. J. Orthop. Res. Off. Publ. Orthop. Res. Soc. 2007, 25, 593–602. [Google Scholar] [CrossRef]
- Claes, L.E.; Heigele, C.A.; Neidlinger-Wilke, C.; Kaspar, D.; Seidl, W.; Margevicius, K.J.; Augat, P. Effects of mechanical factors on the fracture healing processs. Clin. Orthop. Relat. Res. 1998, 355, S132–S147. [Google Scholar] [CrossRef]
- Hoffmann, T.S. Biomechanische Eigenschaften Nach “Open Wedge” Osteotomie der Proximalen Tibia (hto) Und Osteosynthese Mittels Plattenfixateur Mit “Dynamic Locking Screws 5.0 mm” im Vergleich Zur Besetzung Mit “Standard-Locking scrws 5.0 mm”; Universität Tübingen: Tübingen, Germany, 2015. [Google Scholar]
- Nakamura, R.; Komatsu, N.; Fujita, K.; Kuroda, K.; Takahashi, M.; Okano, A.; Katsuki, Y. Anteromedial plating without filling the gap in open wedge high tibial osteotomy may increase the risk of screw breakage, which can be reduced by medial plating and bone-substitute insertion. J. Orthop. Sci. 2022. [Google Scholar] [CrossRef]
- Takeuchi, R.; Woon-Hwa, J.; Ishikawa, H.; Yamaguchi, Y.; Osawa, K.; Akamatsu, Y.; Kuroda, K. Primary stability of different plate positions and the role of bone substitute in open wedge high tibial osteotomy. Knee 2017, 24, 1299–1306. [Google Scholar] [CrossRef]









| Min | Max | MW | Median | SD | |
|---|---|---|---|---|---|
| RA | 0.503 | 1.718 | 0.668 | 0.683 | 0.098 |
| RA* | 0.545 | 2.114 | 0.862 | 0.871 | 0.089 |
| VA1 | 0.382 | 2.138 | 0.416 | 0.409 | 0.046 |
| VA1* | 0.437 | 1.891 | 0.518 | 0.510 | 0.060 |
| VA2 | 0.475 | 2.517 | 0.630 | 0.616 | 0.072 |
| VA2* | 0.588 | 2.586 | 0.716 | 0.710 | 0.080 |
| Min | Max | MW | Median | SD | |
|---|---|---|---|---|---|
| RA | 1.226 | 3.879 | 3.084 | 2.985 | 0.416 |
| RA* | 1.005 | 3.057 | 2.278 | 2.287 | 0.188 |
| VA1 | 0.945 | 5.353 | 4.972 | 5.000 | 0.254 |
| VA1* | 1.135 | 4.452 | 3.918 | 4.016 | 0.360 |
| VA2 | 0.866 | 3.723 | 3.277 | 3.324 | 0.301 |
| VA2* | 0.864 | 3.711 | 2.864 | 2.860 | 0.288 |
Publisher’s Note: MDPI stays neutral with regard to jurisdictional claims in published maps and institutional affiliations. |
© 2022 by the authors. Licensee MDPI, Basel, Switzerland. This article is an open access article distributed under the terms and conditions of the Creative Commons Attribution (CC BY) license (https://creativecommons.org/licenses/by/4.0/).
Share and Cite
Böhle, S.; Bischoff, L.; Ehrenmann, K.; Layher, F.; Sander, K.; Matziolis, G.; Pietsch, S. Forgivingness of an Anteromedially Positioned Small Locked Plate for High Tibial Osteotomy in Case of Overcorrection and Lateral Hinge Fracture. Life 2022, 12, 1265. https://doi.org/10.3390/life12081265
Böhle S, Bischoff L, Ehrenmann K, Layher F, Sander K, Matziolis G, Pietsch S. Forgivingness of an Anteromedially Positioned Small Locked Plate for High Tibial Osteotomy in Case of Overcorrection and Lateral Hinge Fracture. Life. 2022; 12(8):1265. https://doi.org/10.3390/life12081265
Chicago/Turabian StyleBöhle, Sabrina, Lars Bischoff, Kristin Ehrenmann, Frank Layher, Klaus Sander, Georg Matziolis, and Stefan Pietsch. 2022. "Forgivingness of an Anteromedially Positioned Small Locked Plate for High Tibial Osteotomy in Case of Overcorrection and Lateral Hinge Fracture" Life 12, no. 8: 1265. https://doi.org/10.3390/life12081265
APA StyleBöhle, S., Bischoff, L., Ehrenmann, K., Layher, F., Sander, K., Matziolis, G., & Pietsch, S. (2022). Forgivingness of an Anteromedially Positioned Small Locked Plate for High Tibial Osteotomy in Case of Overcorrection and Lateral Hinge Fracture. Life, 12(8), 1265. https://doi.org/10.3390/life12081265

