Nandrolone Decanoate and Swimming Affects Cardiodynamic and Morphometric Parameters in the Isolated Rat Heart
Abstract
:1. Introduction
2. Materials and Methods
2.1. Experimental Animals
- T-N-—Control group (rats without the administration of nandrolone decanoate and swimming training);
- TN+—Nandrolone group (rats with the administration of nandrolone decanoate over a period of 2, 3, or 4 weeks, without swimming training);
- T+N-—Swimming training group (swimming (1 h/day, 5 days per week during a period of 2, 3 or 4 weeks) without the administration of nandrolone decanoate);
- T+N+—Swimming training plus nandrolone group (swimming (1 h/day, 5 days per week) with the administration of nandrolone decanoate during the 2, 3 or 4 weeks).
- Maximum rate of pressure development in the left ventricle (dp/dt max);
- Minimum rate of pressure development in the left ventricle (dp/dt min);
- Systolic left ventricular pressure (SLVP);
- Diastolic left ventricular pressure (DLVP);
- Heart rate (HR).
2.2. Histological and Morphometric Analysis
2.3. Statistical Analysis
3. Results
3.1. Heart Weight (HW) and Heart Weight Body Weight Ratio (HW/BW)
3.2. Cardiodinamic Prameters
3.2.1. Maximum Rate of Pressure Development—dp/dt max
3.2.2. Minimum Rate of Pressure Development—dp/dt min
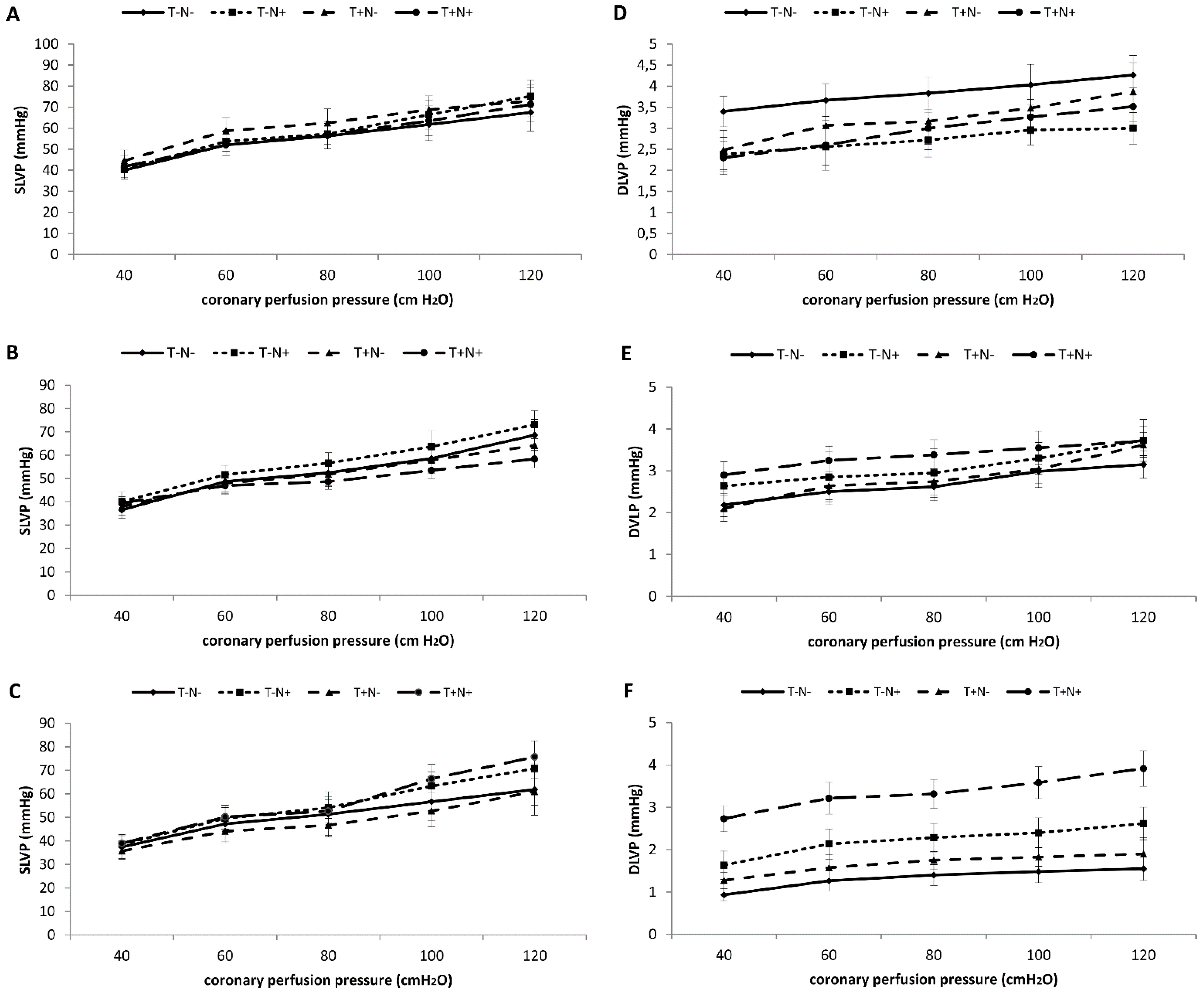
3.2.3. Systolic Left Ventricle Pressure—SLVP
3.2.4. Diastolic Left Ventricle Pressure—DLVP
3.2.5. Heart Rate—HR
3.2.6. Coronary Flow—CF
3.3. Morphometric Parameters of the Left Ventricle
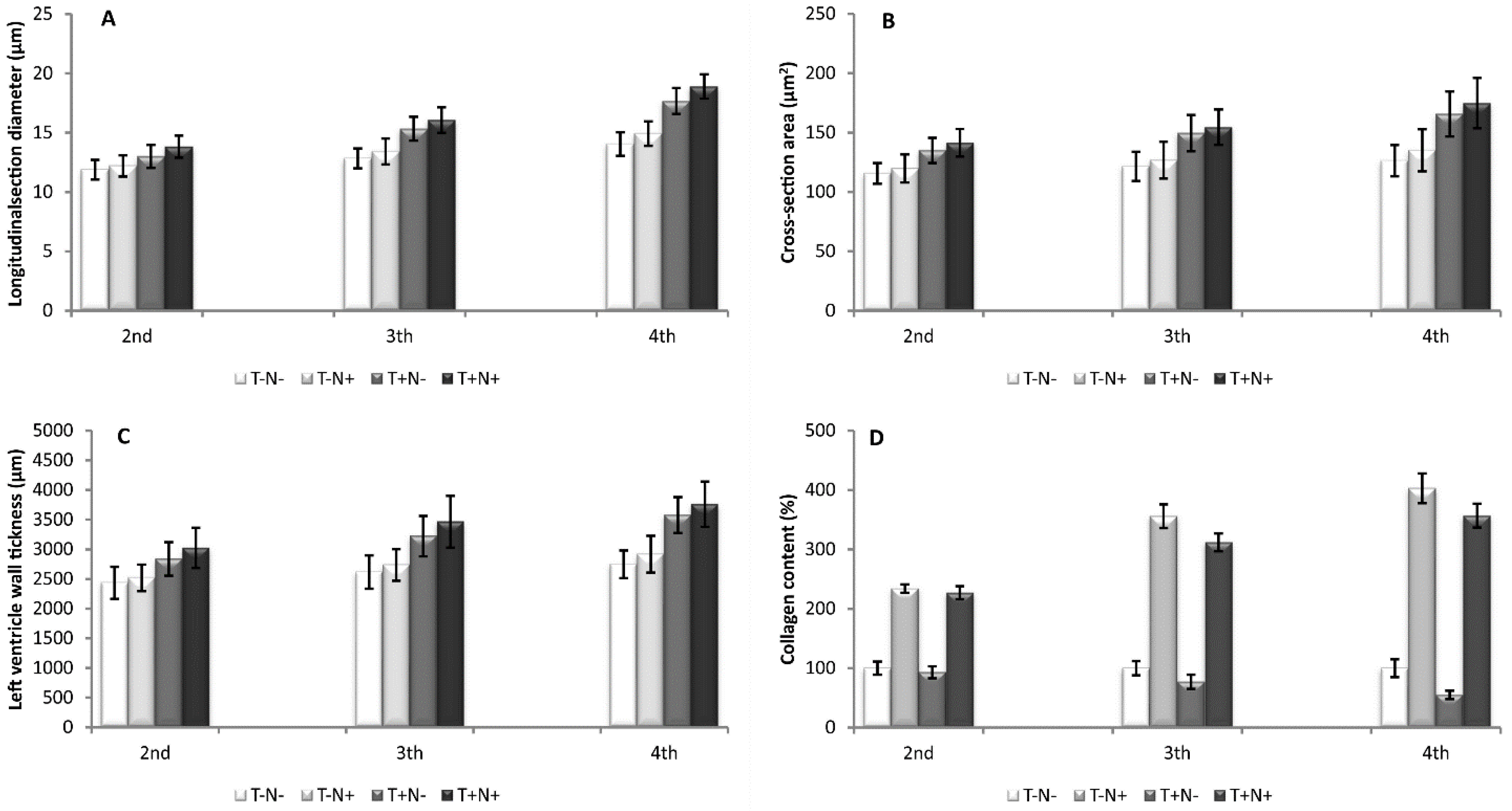
3.3.1. Longitudinal Section Diameter
3.3.2. Cross-Section Area
3.3.3. Left Ventricle Wall Thickness
3.3.4. Collagen Content
4. Discussion
5. Conclusions
Author Contributions
Funding
Institutional Review Board Statement
Data Availability Statement
Acknowledgments
Conflicts of Interest
References
- Frati, P.; Busardò, F.P.; Cipolloni, L.; Dominicis, E.D.; Fineschi, V. Anabolic Androgenic Steroid (AAS) related deaths: Autoptic, histopathological and toxicological findings. Curr. Neuropharmacol. 2015, 13, 146–159. [Google Scholar] [PubMed]
- Compston, J.E. Sex steroids and bone. Physiol. Rev. 2001, 81, 419–447. [Google Scholar] [CrossRef] [PubMed]
- Hassan, A.F.; Kamal, M.M. Effect of exercise training and anabolic androgenic steroids on hemodynamics, glycogen content, angiogenesis and apoptosis of cardiac muscle in adult male rats. Int. J. Health. Sci. 2013, 7, 47–60. [Google Scholar] [CrossRef]
- Nieschlag, E.; Vorona, E. Doping with anabolic androgenic steroids (AAS): Adverse effects on non-reproductive organs and functions. Rev. Endocr. Metab. Disord. 2015, 16, 199–211. [Google Scholar] [CrossRef]
- Piacentino, D.; Kotzalidis, G.D.; Del Casale, A.; Aromatario, M.R.; Pomara, C.; Girardi, P.; Sani, G. Anabolic-androgenic steroid use and psychopathology in athletes. A systematic review. Curr. Neuropharmacol. 2015, 13, 101–121. [Google Scholar] [CrossRef]
- De Piccoli, B.; Giada, F.; Benettin, A.; Sartori, F.; Piccolo, E. Anabolic steroid use in body builders: An echocardiographic study of left ventricle morphology and function. Int. J. Sports Med. 1991, 12, 408–412. [Google Scholar] [CrossRef] [PubMed]
- Rocha, F.L.; Carmo, E.C.; Roque, F.R.; Hashimoto, N.Y.; Rossoni, L.V.; Frimm, C.; Anéas, I.; Negrão, C.E.; Krieger, J.E.; Oliveira, E.M. Anabolic steroids induce cardiac renin-angiotensin system and impair the beneficial effects of aerobic training in rats. Am. J. Physiol. Heart Circ. Physiol. 2007, 293, 3575–3583. [Google Scholar] [CrossRef]
- Yesalis, C.E.; Bahrke, M.S. Anabolic-androgenic steroids. Current issues. Sports Med. 1995, 19, 326–340. [Google Scholar] [CrossRef]
- Tylicki, A.; Kawalko, A.; Sokolska, J.; Strumilo, S. Effect of anabolic steroid nandrolone decanoate on the properties of certain enzymes in the heart, liver, and muscle of rats, and their effect on rats’ cardiac electrophysiology. Horm. Metab. Res. 2007, 39, 268–272. [Google Scholar] [CrossRef]
- Shahidi, N.T. A review of the chemistry, biological action, and clinical applications of anabolic-androgenic steroids. Clin. Ther. 2001, 23, 1355–1390. [Google Scholar] [CrossRef]
- Ganesan, K.; Rahman, S.; Zito, P.M. Anabolic Steroids. In StatPearls [Internet]; StatPearls Publishing: Treasure Island, FL, USA, 2020. [Google Scholar]
- Franquni, J.V.; do Nascimento, A.M.; de Lima, E.M.; Brasil, G.A.; Heringer, O.A.; Cassaro, K.O.; da Cunha, T.V.; Musso, C.; Silva Santos, M.C.; Kalil, I.C.; et al. Nandrolone decanoate determines cardiac remodelling and injury by an imbalance in cardiac inflammatory cytokines and ACE activity, blunting of the Bezold-Jarisch reflex, resulting in the development of hypertension. Steroids 2013, 78, 379–385. [Google Scholar] [CrossRef]
- Nikolic, T.; Zivkovic, V.; Jevdjevic, M.; Djuric, M.; Srejovic, I.; Djuric, D.; Jeremic, N.; Djuric, D.; Bolevich, S.; Jakovljevic, V. The effects of chronic administration of nandrolone decanoate on redox status in exercised rats. Mol. Cell. Biochem. 2016, 411, 95–105. [Google Scholar] [CrossRef]
- Sretenovic, J.; Zivkovic, V.; Srejovic, I.; Milosavljevic, Z. The effects of high doses of nandrolone decanoate on cardiac muscle tissue. Ser. J. Exp. Clin. Res. 2016, 17, 303–308. [Google Scholar] [CrossRef]
- Sretenovic, J.; Ajdzanovic, V.; Zivkovic, V.; Srejovic, I.; Corbic, M.; Milosevic, V.; Jakovljevic, V.; Milosavljevic, Z. Nandrolone decanoate and physical activity affect quadriceps in peripubertal rats. Acta Histochem. 2018, 120, 429–437. [Google Scholar] [CrossRef]
- Sretenovic, J.; Zivkovic, V.; Srejovic, I.; Ajdzanovic, V.; Ristic, N.; Trifunovic, M.; Pantovic, S.; Jovic, S.; Jakovljevic, V.; Bolevich, S.; et al. Immunohistomorphometric and Hormonal Analysis of the Pituitary Gonadotropic Cells after Application of the Nandrolone Decanoate and Swimming Training in Adult Male Rats. Microsc. Microanal. 2020, 26, 699–707. [Google Scholar] [CrossRef]
- Andrade, T.U.; Santos, M.C.; Busato, V.C.; Medeiros, A.R.; Abreu, G.R.; Moysés, M.R.; Bissoli, N.S. Higher physiological doses of nandrolone decanoate do not influence the Bezold-Jarish reflex control of bradycardia. Arch. Med. Res. 2008, 39, 27–32. [Google Scholar] [CrossRef]
- Evans, N.A. Current concepts in anabolic-androgenic steroids. Am. J. Sports Med. 2004, 32, 534–542. [Google Scholar] [CrossRef]
- Frankenfeld, S.P.; de Oliveira, L.P.; Ignacio, D.L.; Coelho, R.G.; Mattos, M.N.; Ferreira, A.C.; Carvalho, D.P.; Fortunato, R.S. Nandrolone decanoate inhibits gluconeogenesis and decreases fasting glucose in Wistar male rats. J. Endocrinol. 2014, 220, 143–153. [Google Scholar] [CrossRef]
- Turillazzi, E.; Perilli, G.; Di Paolo, M.; Neri, M.; Riezzo, I.; Fineschi, V. Side effects of AAS abuse: An overview. Mini Rev. Med. Chem. 2011, 11, 374–389. [Google Scholar] [CrossRef]
- Sretenovic, J.; Joksimovic Jovic, J.; Srejovic, I.; Zivkovic, V.; Mihajlovic, K.; Labudovic-Borovic, M.; Trifunovic, S.; Milosevic, V.; Lazic, D.; Bolevich, S.; et al. Morphometric analysis and redox state of the testicles in nandrolone decanoate and swimming treated adult male rats. Basic Clin. Androl. 2021, 31, 17. [Google Scholar] [CrossRef]
- Payne, J.R.; Kotwinski, P.J.; Montgomery, H.E. Cardiac effects of anabolic steroids. Heart 2004, 90, 473–475. [Google Scholar] [CrossRef]
- Tanno, A.P.; das Neves, V.J.; Rosa, K.T.; Cunha, T.S.; Giordano, F.C.; Calil, C.M.; Guzzoni, V.; Fernandes, T.; de Oliveira, E.M.; Novaes, P.D.; et al. Nandrolone and resistance training induce heart remodeling: Role of fetal genes and implications for cardiac pathophysiology. Life Sci. 2011, 89, 631–637. [Google Scholar] [CrossRef]
- Fineschi, V. Chronic, supra-physiological doses of nandrolone decanoate and exercise induced cardio-toxicity in an animal-model study. Acta Physiol. 2013, 208, 141–143. [Google Scholar] [CrossRef]
- Phillis, B.D.; Abeywardena, M.Y.; Adams, M.J.; Kennedy, J.A.; Irvine, R.J. Nandrolone potentiates arrhythmogenic effects of cardiac ischemia in the rat. Toxicol. Sci. 2007, 99, 605–611. [Google Scholar] [CrossRef]
- Fineschi, V.; Riezzo, I.; Centini, F.; Silingardi, E.; Licata, M.; Beduschi, G.; Karch, S.B. Sudden cardiac death during anabolic steroid abuse: Morphologic and toxicologic findings in two fatal cases of bodybuilders. Int. J. Legal. Med. 2007, 121, 48–53. [Google Scholar] [CrossRef]
- Pluim, B.M.; Zwinderman, A.H.; van der Laarse, A.; van der Wall, E.E. The athlete’s heart. A meta-analysis of cardiac structure and function. Circulation 2000, 101, 336–344. [Google Scholar] [CrossRef]
- Ellison, G.M.; Waring, C.D.; Vicinanza, C.; Torella, D. Physiological cardiac remodelling in response to endurance exercise training: Cellular and molecular mechanisms. Heart 2012, 98, 5–10. [Google Scholar] [CrossRef]
- Petriz, B.A.; Almeida, J.A.; Gomes, C.P.; Ernesto, C.; Pereira, R.W.; Franco, O.L. Exercise performed around MLSS decreases systolic blood pressure and increases aerobic fitness in hypertensive rats. BMC Physiol. 2015, 15, 1. [Google Scholar] [CrossRef]
- Bayat, G.; Javan, M.; Safari, F.; Khalili, A.; Shokri, S.; Goudarzvand, M.; Salimi, M.; Hajizadeh, S. Nandrolone decanoate negatively reverses the beneficial effects of exercise on cardiac muscle via sarcolemmal, but not mitochondrial K(ATP) channel. Can. J. Physiol. Pharmacol. 2016, 94, 324–331. [Google Scholar] [CrossRef]
- Bocalini, D.S.; Beutel, A.; Bergamaschi, C.T.; Tucci, P.J.; Campos, R.R. Treadmill exercise training prevents myocardial mechanical dysfunction induced by androgenic-anabolic steroid treatment in rats. PLoS ONE 2014, 9, e87106. [Google Scholar] [CrossRef]
- Arisha, A.H.; Moustafa, A. Potential inhibitory effect of swimming exercise on the Kisspeptin-GnRH signaling pathway in male rats. Theriogenology 2019, 133, 87–96. [Google Scholar] [CrossRef]
- Penna, C.; Abbadessa, G.; Mancardi, D.; Spaccamiglio, A.; Racca, S.; Pagliaro, P. Nandrolone-pretreatment enhances cardiac beta(2)-adrenoceptor expression and reverses heart contractile down-regulation in the post-stress period of acute-stressed rats. J. Steroid Biochem. Mol. Biol. 2007, 107, 106–113. [Google Scholar] [CrossRef]
- Melo Junior, A.F.; Dalpiaz, P.L.M.; Sousa, G.J.; Oliveira, P.W.C.; Birocale, A.M.; Andrade, T.U.; Abreu, G.R.; Bissoli, N.S. Nandrolone alter left ventricular contractility and promotes remodelling involving calcium-handling proteins and renin-angiotensin system in male SHR. Life Sci. 2018, 208, 239–245. [Google Scholar] [CrossRef]
- das Neves, V.J.; Tanno, A.P.; Cunha, T.S.; Fernandes, T.; Guzzoni, V.; da Silva, C.A.; de Oliveira, E.M.; Moura, M.J.; Marcondes, F.K. Effects of nandrolone and resistance training on the blood pressure, cardiac electrophysiology, and expression of atrial β-adrenergic receptors. Life Sci. 2013, 92, 1029–1035. [Google Scholar] [CrossRef]
- Shirpoor, A.; Heshmatian, B.; Tofighi, A.; Eliasabad, S.N.; Kheradmand, F.; Zerehpoosh, M. Nandrolone administration with or without strenuous exercise increases cardiac fatal genes overexpression, calcium/calmodulin-dependent protein kinaseiiδ, and monoamine oxidase activities and enhances blood pressure in adult wistar rats. Gene 2019, 697, 131–137. [Google Scholar] [CrossRef]
- Guzzoni, V.; Cunha, T.S.; das Neves, V.J.; Briet, L.; Costa, R.; Moura, M.J.C.S.; Oliveira, V.; Franco, M.D.C.P.; Novaes, P.D.; Marcondes, F.K. Nandrolone combined with strenuous resistance training reduces vascular nitric oxide bioavailability and impairs endothelium-dependent vasodilation. Steroids 2018, 131, 7–13. [Google Scholar] [CrossRef]
- Tofighi, A.; Shirpoor, M.; Ansari, M.H.K.; Shirpoor, A.; Zerehpoosh, M. The effect of nandrolone treatment with and without enforced swimming on histological and biochemical changes in the heart and coronary artery of male rats. Anatol. J. Cardiol. 2017, 17, 176–183. [Google Scholar] [CrossRef]
- Marsh, J.D.; Lehmann, M.H.; Ritchie, R.H.; Gwathmey, J.K.; Green, G.E.; Schiebinger, R.J. Androgen receptors mediate hypertrophy in cardiac myocytes. Circulation 1998, 98, 256–261. [Google Scholar] [CrossRef]
- Locatelli, J.; Paiva, N.C.N.; Carvalho, S.H.R.; Lavorato, V.N.; Gomes, L.H.L.S.; Castro, Q.J.T.; Grabe-Guimarães, A.; Carneiro, C.M.; Natali, A.J.; Isoldi, M.C. Swim training attenuates the adverse remodeling of LV structural and mechanical properties in the early compensated phase of hypertension. Life Sci. 2017, 187, 42–49. [Google Scholar] [CrossRef]
- Huang, C.K.; Lee, S.O.; Chang, E.; Pang, H.; Chang, C. Androgen receptor (AR) in cardiovascular diseases. J. Endocrinol. 2016, 229, R1–R16. [Google Scholar] [CrossRef]
- Pirompol, P.; Teekabut, V.; Weerachatyanukul, W.; Bupha-Intr, T.; Wattanapermpool, J. Supra-physiological dose of testosterone induces pathological cardiac hypertrophy. J. Endocrinol. 2016, 229, 13–23. [Google Scholar] [CrossRef] [PubMed]
- Cohn, J.N.; Ferrari, R.; Sharpe, N. Cardiac remodeling—Concepts and clinical implications: A consensus paper from an international forum on cardiac remodeling. Behalf of an International Forum on Cardiac Remodeling. J. Am. Coll. Cardiol. 2000, 35, 569–582. [Google Scholar] [CrossRef]
- Do Carmo, E.C.; Fernandes, T.; Koike, D.; Da Silva, N.D., Jr.; Mattos, K.C.; Rosa, K.T.; Barretti, D.; Melo, S.F.; Wichi, R.B.; Irigoyen, M.C.; et al. Anabolic steroid associated to physical training induces deleterious cardiac effects. Med. Sci. Sports Exerc. 2011, 43, 1836–1848. [Google Scholar] [CrossRef] [PubMed]
- Dantas, P.S.; Guzzoni, V.; Perez, J.D.; Arita, D.Y.; Novaes, P.D.; Marcondes, F.K.; Casarini, D.E.; Cunha, T.S. Nandrolone combined with strenuous resistance training impairs myocardial proteome profile of rats. Steroids 2021, 175, 108916. [Google Scholar] [CrossRef] [PubMed]





| Groups | 2nd Week | 3rd Week | 4th Week | ||||||
|---|---|---|---|---|---|---|---|---|---|
| BW (g) | HW (g) | HW/BW (%) | BW (g) | HW (g) | HW/BW (%) | BW (g) | HW (g) | HW/BW (%) | |
| T-N- | 367.33 ± 12.61 | 1.55 ± 0.10 | 0.47 ± 0.02 | 400.5 ± 13.03 | 1.65 ± 0.05 | 0.41 ± 0.01 | 431 ± 14.84 | 1.77 ± 0.08 | 0.41 ± 0.01 |
| T-N+ | 358 ± 15.79 | 1.5 ± 0.09 d,e | 0.42 ± 0.04 a,d,e | 382.83 ± 17.76 a | 1.6 ± 0.10 | 0.42 ± 0.04 | 418.67 ± 17.52 | 1.67 ± 0.08 | 0.40 ± 0.01 |
| T+N- | 353 ± 11.96 | 1.67 ± 0.10 b,d | 0.50 ± 0.02 d | 385.17 ± 12.18 | 1.75 ± 0.05 d | 0.45 ± 0.02 b | 421.17 ± 16.57 | 1.88 ± 0.09 | 0.48 ± 0.01 |
| T+N+ | 351.33 ± 9.99 c | 1.78 ± 0.07 c,e,f | 0.51 ± 0.03 c,e | 381.33 ± 11.84 c | 1.72 ± 0.11 c,e | 0.45 ± 0.04 c | 419.33 ± 17.52 | 1.93 ± 0.10 | 0.46 ± 0.01 |
| 2nd Experimental Week | ||||||||||
| Groups | dp/dt max | dp/dt min | ||||||||
| 40 | 60 | 80 | 100 | 120 | 40 | 60 | 80 | 100 | 120 | |
| T-N+ vs. T-N- | p > 0.05 | p > 0.05 | p > 0.05 | p = 0.040 | p = 0.010 | p > 0.05 | p > 0.05 | p > 0.05 | p = 0.037 | p = 0.015 |
| T+N- vs. T-N- | p > 0.05 | p = 0.007 | p = 0.008 | p > 0.05 | p > 0.05 | p = 0.026 | p = 0.001 | p = 0.002 | p = 0.022 | p = 0.032 |
| T+N+ vs. T-N- | p = 0.048 | p > 0.05 | p > 0.05 | p > 0.05 | p > 0.05 | p > 0.05 | p > 0.05 | p > 0.05 | p > 0.05 | p > 0.05 |
| T+N- vs. T-N+ | p > 0.05 | p > 0.05 | p > 0.05 | p > 0.05 | p > 0.05 | p = 0.014 | p = 0.001 | p = 0.037 | p > 0.05 | p > 0.05 |
| T+N+ vs. T-N+ | p > 0.05 | p > 0.05 | p > 0.05 | p = 0.045 | p = 0.000 | p > 0.05 | p > 0.05 | p > 0.05 | p > 0.05 | p > 0.05 |
| T+N+ vs. T+N- | p = 0.017 | p = 0.005 | p = 0.012 | p > 0.05 | p = 0.002 | p = 0.021 | p = 0.003 | p = 0.006 | p = 0.047 | p > 0.05 |
| 3rd Experimental Week | ||||||||||
| dp/dt max | dp/dt min | |||||||||
| 40 | 60 | 80 | 100 | 120 | 40 | 60 | 80 | 100 | 120 | |
| T-N+ vs. T-N- | p = 0.002 | p > 0.05 | p = 0.023 | p = 0.000 | p = 0.000 | p > 0.05 | p > 0.05 | p > 0.05 | p = 0.003 | p = 0.004 |
| T+N- vs. T-N- | p > 0.05 | p > 0.05 | p > 0.05 | p > 0.05 | p > 0.05 | p > 0.05 | p > 0.05 | p > 0.05 | p > 0.05 | p > 0.05 |
| T+N+ vs. T-N- | p = 0.027 | p > 0.05 | p > 0.05 | p > 0.05 | p > 0.05 | p = 0.035 | p > 0.05 | p > 0.05 | p > 0.05 | p > 0.05 |
| T+N- vs. T-N+ | p = 0.023 | p > 0.05 | p > 0.05 | p = 0.001 | p = 0.000 | p > 0.05 | p > 0.05 | p > 0.05 | p = 0.004 | p = 0.001 |
| T+N+ vs. T-N+ | p > 0.05 | p = 0.017 | p = 0.004 | p = 0.000 | p = 0.000 | p > 0.05 | p > 0.05 | p = 0.025 | p = 0.000 | p = 0.001 |
| T+N+ vs. T+N- | p > 0.05 | p > 0.05 | p > 0.05 | p > 0.05 | p > 0.05 | p > 0.05 | p > 0.05 | p > 0.05 | p > 0.05 | p > 0.05 |
| 4th Experimental Week | ||||||||||
| dp/dt max | dp/dt min | |||||||||
| 40 | 60 | 80 | 100 | 120 | 40 | 60 | 80 | 100 | 120 | |
| T-N+ vs. T-N- | p > 0.05 | p > 0.05 | p > 0.05 | p = 0.007 | p = 0.002 | p > 0.05 | p > 0.05 | p > 0.05 | p > 0.05 | p = 0.020 |
| T+N- vs. T-N- | p > 0.05 | p > 0.05 | p > 0.05 | p > 0.05 | p > 0.05 | p > 0.05 | p = 0.021 | p > 0.05 | p = 0.032 | p = 0.023 |
| T+N+ vs. T-N- | p > 0.05 | p > 0.05 | p > 0.05 | p > 0.05 | p = 0.007 | p > 0.05 | p > 0.05 | p > 0.05 | p > 0.05 | p > 0.05 |
| T+N- vs. T-N+ | p = 0.042 | p = 0.008 | p = 0.006 | p = 0.001 | p = 0.002 | p > 0.05 | p = 0.002 | p = 0.004 | p = 0.001 | p = 0.000 |
| T+N+ vs. T-N+ | p > 0.05 | p = 0.016 | p = 0.032 | p > 0.05 | p > 0.05 | p > 0.05 | p > 0.05 | p > 0.05 | p > 0.05 | p > 0.05 |
| T+N+ vs. T+N- | p > 0.05 | p > 0.05 | p > 0.05 | p = 0.017 | p = 0.007 | p > 0.05 | p > 0.05 | p > 0.05 | p = 0.005 | p = 0.001 |
| 2nd Experimental Week | ||||||||||
| Groups | SLVP | DLVP | ||||||||
| 40 | 60 | 80 | 100 | 120 | 40 | 60 | 80 | 100 | 120 | |
| T-N+ vs. T-N- | p > 0.05 | p > 0.05 | p > 0.05 | p > 0.05 | p > 0.05 | p = 0.001 | p = 0.003 | p = 0.001 | p = 0.001 | p = 0.001 |
| T+N- vs. T-N- | p > 0.05 | p = 0.030 | p > 0.05 | p > 0.05 | p > 0.05 | p = 0.001 | p > 0.05 | p = 0.027 | p > 0.05 | p > 0.05 |
| T+N+ vs. T-N- | p > 0.05 | p > 0.05 | p > 0.05 | p > 0.05 | p > 0.05 | p = 0.000 | p = 0.002 | p = 0.008 | p = 0.011 | p = 0.021 |
| T+N- vs. T-N+ | p > 0.05 | p > 0.05 | p > 0.05 | p > 0.05 | p > 0.05 | p > 0.05 | p > 0.05 | p > 0.05 | p > 0.05 | p = 0.012 |
| T+N+ vs. T-N+ | p > 0.05 | p > 0.05 | p > 0.05 | p > 0.05 | p > 0.05 | p > 0.05 | p > 0.05 | p > 0.05 | p > 0.05 | p > 0.05 |
| T+N+ vs. T+N- | p > 0.05 | p = 0.031 | p > 0.05 | p > 0.05 | p > 0.05 | p > 0.05 | p > 0.05 | p > 0.05 | p > 0.05 | p > 0.05 |
| 3rd Experimental Week | ||||||||||
| SLVP | DLVP | |||||||||
| 40 | 60 | 80 | 100 | 120 | 40 | 60 | 80 | 100 | 120 | |
| T-N+ vs. T-N- | p > 0.05 | p > 0.05 | p > 0.05 | p > 0.05 | p > 0.05 | p = 0.022 | p > 0.05 | p > 0.05 | p > 0.05 | p = 0.013 |
| T+N- vs. T-N- | p > 0.05 | p > 0.05 | p > 0.05 | p > 0.05 | p > 0.05 | p > 0.05 | p > 0.05 | p > 0.05 | p > 0.05 | p = 0.049 |
| T+N+ vs. T-N- | p > 0.05 | p > 0.05 | p > 0.05 | p > 0.05 | p = 0.012 | p = 0.001 | p = 0.000 | p = 0.004 | p = 0.012 | p = 0.015 |
| T+N- vs. T-N+ | p > 0.05 | p > 0.05 | p > 0.05 | p > 0.05 | p = 0.033 | p = 0.011 | p > 0.05 | p > 0.05 | p > 0.05 | p > 0.05 |
| T+N+ vs. T-N+ | p > 0.05 | p > 0.05 | p = 0.014 | p = 0.006 | p = 0.001 | p > 0.05 | p = 0.037 | p > 0.05 | p > 0.05 | p > 0.05 |
| T+N+ vs. T+N- | p > 0.05 | p > 0.05 | p > 0.05 | p > 0.05 | p > 0.05 | p = 0.000 | p = 0.004 | p = 0.016 | p = 0.027 | p > 0.05 |
| 4th experimental week | ||||||||||
| SLVP | DLVP | |||||||||
| 40 | 60 | 80 | 100 | 120 | 40 | 60 | 80 | 100 | 120 | |
| T-N+ vs. T-N- | p > 0.05 | p > 0.05 | p > 0.05 | p = 0.047 | p = 0.021 | p = 0.000 | p = 0.000 | p = 0.000 | p = 0.000 | p = 0.000 |
| T+N- vs. T-N- | p > 0.05 | p > 0.05 | p > 0.05 | p > 0.05 | p > 0.05 | p = 0.040 | p > 0.05 | p > 0.05 | p > 0.05 | p > 0.05 |
| T+N+ vs. T-N- | p > 0.05 | p > 0.05 | p > 0.05 | p = 0.005 | p = 0.001 | p = 0.000 | p = 0.000 | p = 0.000 | p = 0.000 | p = 0.000 |
| T+N- vs. T-N+ | p > 0.05 | p > 0.05 | p = 0.023 | p = 0.005 | p = 0.016 | p = 0.037 | p = 0.011 | p = 0.008 | p = 0.006 | p = 0.005 |
| T+N+ vs. T-N+ | p > 0.05 | p > 0.05 | p > 0.05 | p > 0.05 | p > 0.05 | p = 0.000 | p = 0.000 | p = 0.000 | p = 0.000 | p = 0.000 |
| T+N+ vs. T+N- | p > 0.05 | p = 0.045 | p > 0.05 | p = 0.001 | p = 0.001 | p = 0.000 | p = 0.000 | p = 0.000 | p = 0.000 | p = 0.000 |
| 2nd Experimental Week | ||||||||||
| Groups | HR | CF | ||||||||
| 40 | 60 | 80 | 100 | 120 | 40 | 60 | 80 | 100 | 120 | |
| T-N+ vs. T-N- | p > 0.05 | p > 0.05 | p > 0.05 | p > 0.05 | p > 0.05 | p > 0.05 | p > 0.05 | p > 0.05 | p > 0.05 | p > 0.05 |
| T+N- vs. T-N- | p = 0.037 | p = 0.022 | p = 0.024 | p = 0.005 | p = 0.001 | p > 0.05 | p > 0.05 | p > 0.05 | p > 0.05 | p > 0.05 |
| T+N+ vs. T-N- | p = 0.010 | p = 0.003 | p = 0.001 | p = 0.001 | p = 0.000 | p > 0.05 | p > 0.05 | p > 0.05 | p > 0.05 | p > 0.05 |
| T+N- vs. T-N+ | p = 0.015 | p = 0.009 | p = 0.011 | p = 0.003 | p = 0.001 | p > 0.05 | p > 0.05 | p > 0.05 | p > 0.05 | p > 0.05 |
| T+N+ vs. T-N+ | p = 0.004 | p = 0.001 | p = 0.001 | p = 0.001 | p = 0.000 | p > 0.05 | p > 0.05 | p > 0.05 | p > 0.05 | p > 0.05 |
| T+N+ vs. T+N- | p > 0.05 | p > 0.05 | p > 0.05 | p > 0.05 | p > 0.05 | p > 0.05 | p > 0.05 | p > 0.05 | p > 0.05 | p > 0.05 |
| 3rd Experimental Week | ||||||||||
| HR | CF | |||||||||
| 40 | 60 | 80 | 100 | 120 | 40 | 60 | 80 | 100 | 120 | |
| T-N+ vs. T-N- | p > 0.05 | p > 0.05 | p > 0.05 | p > 0.05 | p > 0.05 | p = 0.004 | p = 0.001 | p = 0.000 | p = 0.001 | p = 0.000 |
| T+N- vs. T-N- | p > 0.05 | p = 0.008 | p = 0.006 | p = 0.005 | p = 0.004 | p = 0.001 | p = 0.001 | p = 0.000 | p = 0.000 | p = 0.000 |
| T+N+ vs. T-N- | p > 0.05 | p > 0.05 | p > 0.05 | p > 0.05 | p > 0.05 | p = 0.030 | p > 0.05 | p > 0.05 | p > 0.05 | p > 0.05 |
| T+N- vs. T-N+ | p = 0.004 | p = 0.001 | p = 0.000 | p = 0.000 | p = 0.000 | p > 0.05 | p > 0.05 | p > 0.05 | p > 0.05 | p > 0.05 |
| T+N+ vs. T-N+ | p > 0.05 | p > 0.05 | p > 0.05 | p = 0.027 | p = 0.014 | p > 0.05 | p = 0.008 | p = 0.005 | p = 0.008 | p = 0.002 |
| T+N+ vs. T+N- | p = 0.035 | p = 0.033 | p = 0.021 | p = 0.045 | p = 0.047 | p > 0.05 | p = 0.006 | p = 0.003 | p = 0.001 | p = 0.000 |
| 4th Experimental Week | ||||||||||
| HR | CF | |||||||||
| 40 | 60 | 80 | 100 | 120 | 40 | 60 | 80 | 100 | 120 | |
| T-N+ vs. T-N- | p = 0.000 | p = 0.003 | p = 0.000 | p = 0.001 | p = 0.000 | p > 0.05 | p > 0.05 | p > 0.05 | p > 0.05 | p > 0.05 |
| T+N- vs. T-N- | p > 0.05 | p = 0.000 | p = 0.000 | p = 0.000 | p = 0.001 | p = 0.001 | p = 0.041 | p = 0.038 | p = 0.014 | p = 0.001 |
| T+N+ vs. T-N- | p > 0.05 | p = 0.027 | p = 0.040 | p > 0.05 | p > 0.05 | p = 0.000 | p = 0.001 | p = 0.001 | p = 0.001 | p = 0.000 |
| T+N- vs. T-N+ | p = 0.000 | p = 0.000 | p = 0.000 | p = 0.000 | p = 0.000 | p = 0.019 | p > 0.05 | p > 0.05 | p > 0.05 | p = 0.020 |
| T+N+ vs. T-N+ | p = 0.001 | p = 0.000 | p = 0.000 | p = 0.000 | p = 0.000 | p = 0.001 | p = 0.007 | p = 0.004 | p = 0.007 | p = 0.004 |
| T+N+ vs. T+N- | p > 0.05 | p = 0.007 | p = 0.047 | p = 0.004 | p = 0.003 | p > 0.05 | p > 0.05 | p > 0.05 | p > 0.05 | p > 0.05 |
| Groups | T-N+ vs. T-N- | T+N- vs. T-N- | T+N+ vs. T-N- | T+N- vs. T-N+ | T+N+ vs. T-N+ | T+N+ vs. T+N- |
|---|---|---|---|---|---|---|
| 2nd Experimetal Week | ||||||
| Longitudinal section diameter | p > 0.05 | p = 0.000 | p = 0.000 | p = 0.001 | p = 0.000 | p = 0.005 |
| Cross-section area | p > 0.05 | p = 0.000 | p = 0.000 | p = 0.000 | p = 0.000 | p > 0.05 |
| Left ventricle wall thickness | p > 0.05 | p = 0.000 | p = 0.000 | p = 0.001 | p = 0.000 | p > 0.05 |
| Collagen content | p = 0.000 | p > 0.05 | p = 0.000 | p = 0.000 | p > 0.05 | p = 0.000 |
| 3rd Experimental Week | ||||||
| Longitudinal section diameter | p > 0.05 | p = 0.000 | p = 0.000 | p = 0.000 | p = 0.000 | p = 0.033 |
| Cross-section area | p > 0.05 | p = 0.000 | p = 0.000 | p = 0.000 | p = 0.000 | p > 0.05 |
| Left ventricle wall thickness | p > 0.05 | p = 0.000 | p = 0.000 | p = 0.000 | p = 0.000 | p > 0.05 |
| Collagen content | p = 0.000 | p = 0.019 | p = 0.000 | p = 0.000 | p = 0.000 | p = 0.000 |
| 4th Experimental Week | ||||||
| Longitudinal section diameter | p = 0.013 | p = 0.000 | p = 0.000 | p = 0.000 | p = 0.000 | p = 0.001 |
| Cross-section area | p > 0.05 | p = 0.000 | p = 0.000 | p = 0.000 | p = 0.000 | p > 0.05 |
| Left ventricle wall thickness | p > 0.05 | p = 0.000 | p = 0.000 | p = 0.000 | p = 0.000 | p > 0.05 |
| Collagen content | p = 0.000 | p = 0.000 | p = 0.000 | p = 0.000 | p = 0.000 | p = 0.000 |
Publisher’s Note: MDPI stays neutral with regard to jurisdictional claims in published maps and institutional affiliations. |
© 2022 by the authors. Licensee MDPI, Basel, Switzerland. This article is an open access article distributed under the terms and conditions of the Creative Commons Attribution (CC BY) license (https://creativecommons.org/licenses/by/4.0/).
Share and Cite
Sretenovic, J.; Zivkovic, V.; Srejovic, I.; Pantovic, S.; Jovic, J.J.; Nikolic, M.; Turnic, T.N.; Savic, M.; Jevdjevic, M.; Milosavljevic, Z.; et al. Nandrolone Decanoate and Swimming Affects Cardiodynamic and Morphometric Parameters in the Isolated Rat Heart. Life 2022, 12, 1242. https://doi.org/10.3390/life12081242
Sretenovic J, Zivkovic V, Srejovic I, Pantovic S, Jovic JJ, Nikolic M, Turnic TN, Savic M, Jevdjevic M, Milosavljevic Z, et al. Nandrolone Decanoate and Swimming Affects Cardiodynamic and Morphometric Parameters in the Isolated Rat Heart. Life. 2022; 12(8):1242. https://doi.org/10.3390/life12081242
Chicago/Turabian StyleSretenovic, Jasmina, Vladimir Zivkovic, Ivan Srejovic, Suzana Pantovic, Jovana Joksimovic Jovic, Maja Nikolic, Tamara Nikolic Turnic, Maja Savic, Maja Jevdjevic, Zoran Milosavljevic, and et al. 2022. "Nandrolone Decanoate and Swimming Affects Cardiodynamic and Morphometric Parameters in the Isolated Rat Heart" Life 12, no. 8: 1242. https://doi.org/10.3390/life12081242
APA StyleSretenovic, J., Zivkovic, V., Srejovic, I., Pantovic, S., Jovic, J. J., Nikolic, M., Turnic, T. N., Savic, M., Jevdjevic, M., Milosavljevic, Z., Bolevich, S., & Jakovljevic, V. (2022). Nandrolone Decanoate and Swimming Affects Cardiodynamic and Morphometric Parameters in the Isolated Rat Heart. Life, 12(8), 1242. https://doi.org/10.3390/life12081242

