Comparative Analysis of the Complete Chloroplast Genomes of Eight Ficus Species and Insights into the Phylogenetic Relationships of Ficus
Abstract
1. Introduction
2. Materials and Methods
2.1. Plant Materials and DNA Extraction
2.2. Genome Sequencing, Assembly and Annotation
2.3. Simple Sequence Repeats (SSR) and Repetitive Sequence Analysis
2.4. Genome Comparison and Divergent Hotspots Identification
2.5. Non-Synonymous (Ka) and Synonymous (Ks) Substitution Rate Analysis
2.6. Phylogenetic Analysis
3. Results
3.1. Genomic Characteristics of Chloroplast
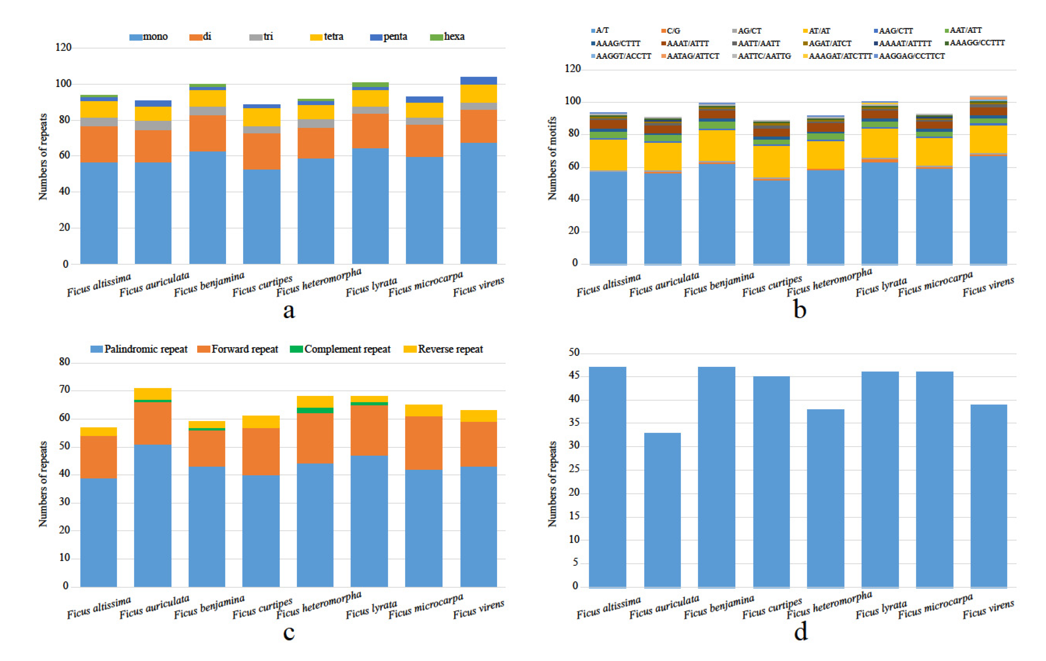
3.2. SSR and Repetitive Sequence Analysis
3.3. IR Constriction and Expansion
3.4. Sequence Divergence Analysis
3.5. Non-Synonymous (Ka) and Synonymous (Ks) Substitution Rate Analysis
3.6. Phylogenomic Analysis
4. Discussion
4.1. Chloroplast Genomic DNA Structures
4.2. Identification of SSRs and Repeat Sequences
4.3. IR Constriction and Expansion
4.4. Sequence Divergence Analysis
4.5. Non-Synonymous (Ka) and Synonymous (Ks) Substitution Rate Analysis
4.6. Phylogenomic Analysis
5. Conclusions
Supplementary Materials
Author Contributions
Funding
Institutional Review Board Statement
Informed Consent Statement
Data Availability Statement
Conflicts of Interest
References
- Badgujar, S.B.; Patel, V.V.; Bandivdekar, A.H.; Mahajan, R.T. Traditional uses, phytochemistry and pharmacology of Ficus carica: A review. Pharm. Biol. 2014, 52, 1487–1503. [Google Scholar] [CrossRef] [PubMed]
- Tkachenko, G.; Buyun, L.; Osadovskyy, Z.; Truhan, M.; Goncharenko, V. In vitro screening of antimicrobial activity of ethanolic extract obtained from Ficus lyrata warb. (moraceae) leaves. Agroecol. J. 2016, 2, 155–160. [Google Scholar]
- Zhang, Z.; Wang, X.M.; Liao, S.; Zhang, J.H.; Li, H.Q. Phylogenetic reconstruction of Ficus subg. Synoecia and its allies (Moraceae), with implications on the origin of the climbing habit. Taxon 2020, 69, 927–945. [Google Scholar] [CrossRef]
- Berg, C.C. Flora Malesiana precursor for the treatment of Moraceae 1: The main subdivision of Ficus: The subgenera. Blumea 2003, 48, 166–177. [Google Scholar] [CrossRef]
- Xu, L.; Harrison, R.D.; Yang, P.; Yang, D.R. New insight into the phylogenetic and biogeographic history of genus Ficus: Vicariance played a relatively minor role compared with ecological opportunity and dispersal. J. Syst. Evol. 2011, 49, 546–557. [Google Scholar] [CrossRef]
- Li, H.M.; Wang, S.; Chen, J.Y.; Gui, P.J. Molecular phylogeny of Ficus section Ficus in China based on four DNA regions. J. Syst. Evolution. 2012, 50, 422–432. [Google Scholar] [CrossRef]
- Fatihah, H.N.; Mat, N.; Zaimah, A.R.; Zuhailah, M.N.; Norhaslinda, H.; Khairil, M.; Ghani, A.Y.; Ali, A.M. Morphological phylogenetic analysis of seven varieties of Ficus deltoidea Jack from the Malay Peninsula of Malaysia. PLoS ONE 2012, 7, e52441. [Google Scholar] [CrossRef]
- Bruun-Lund, S.; Clement, W.L.; Kjellberg, F.; Rønsted, N. First plastid phylogenomic study reveals potential cyto-nuclear discordance in the evolutionary history of Ficus L. (Moraceae). Mol. Phylogenetics Evol. 2017, 109, 93–104. [Google Scholar] [CrossRef] [PubMed]
- Neuhaus, H.E.; Emes, M.J. Nonphotosynthetic metabolism in plastids. Annu. Rev. Plant Biol. 2000, 51, 111–140. [Google Scholar] [CrossRef] [PubMed]
- Qian, J.; Song, J.; Gao, H.; Zhu, Y.; Xu, J.; Pang, X.; Yao, H.; Sun, C.; Li, X.; Li, C.; et al. The complete chloroplast genome sequence of the medicinal plant Salvia miltiorrhiza. PLoS ONE 2013, 8, e57607. [Google Scholar] [CrossRef]
- Hu, S.; Sablok, G.; Wang, B.; Qu, D.; Barbaro, E.; Viola, R.; Li, M.; Varotto, C. Plastome organization and evolution of chloroplast genes in Cardamine species adapted to contrasting habitats. BMC Genom. 2015, 16, 306. [Google Scholar] [CrossRef]
- Wicke, S.; Schneeweiss, G.M.; dePamphilis, C.W.; Müller, K.F.; Quandt, D. The evolution of the plastid chromosome in land plants: Gene content, gene order, gene function. Plant Mol. Biol. 2011, 76, 273–297. [Google Scholar] [CrossRef]
- Hong, Z.; Wu, Z.; Zhao, K.; Yang, Z.; Zhang, N.; Guo, J.; Tembrock, L.R.; Xu, D. Comparative Analyses of Five Complete Chloroplast Genomes from the Genus Pterocarpus (Fabacaeae). Int. J. Mol. Sci. 2020, 21, 3758. [Google Scholar] [CrossRef]
- Zhong, B.; Xi, Z.; Goremykin, V.V.; Fong, R.; McLenachan, P.A.; Novis, P.M.; Davis, C.C.; Penny, D. Streptophyte algae and the origin of land plants revisited using heterogeneous models with three new algal chloroplast genomes. Mol. Biol. Evol. 2014, 31, 177–183. [Google Scholar] [CrossRef] [PubMed]
- Alves-Pereira, A.; Clement, C.R.; Picanço-Rodrigues, D.; Veasey, E.A.; Dequigiovanni, G.; Ramos, S.L.F.; Pinheiro, J.B.; Zucchi, M.I. Patterns of nuclear and chloroplast genetic diversity and structure of manioc along major Brazilian Amazonian rivers. Ann. Botany. 2018, 121, 625–639. [Google Scholar] [CrossRef] [PubMed]
- Deng, Y.W.; Luo, Y.Y.; He, Y.; Qin, X.S.; Li, C.G.; Deng, X.M. Complete Chloroplast Genome of Michelia shiluensis and a Comparative Analysis with Four Magnoliaceae Species. Forests 2020, 11, 267. [Google Scholar] [CrossRef]
- Jiang, L.; Li, M.; Zhao, F.; Chu, S.; Zha, L.; Xu, T.; Peng, H.; Zhang, W. Molecular Identification and Taxonomic Implication of Herbal Species in Genus Corydalis (Papaveraceae). Molecules 2018, 23, 1393. [Google Scholar] [CrossRef]
- Sun, J.; Wang, Y.; Liu, Y.; Xu, C.; Yuan, Q.; Guo, L.; Huang, L. Evolutionary and phylogenetic aspects of the chloroplast genome of Chaenomeles species. Sci. Rep. 2020, 10, 11466. [Google Scholar] [CrossRef] [PubMed]
- Yang, C.; Ma, Y.; Cheng, B.; Zhou, L.; Yu, C.; Luo, L.; Pan, H.; Zhang, Q. Molecular Evidence for Hybrid Origin and Phenotypic Variation of Rosa Section Chinenses. Genes 2020, 11, 996. [Google Scholar] [CrossRef]
- Chen, H.; Liu, Q.; Tang, L. The plastid genome of winter cropping plants Ficus tinctoria (Moraceae). Mitochondrial DNA B-Resour. 2020, 5, 2703–2704. [Google Scholar] [CrossRef]
- Chi, W.; Chi, L.J.; Pan, H.W.; Xia, X.L.; Huang, Z.H. Characteristic Analysis of the Complete Chloroplast Genome of Ficus concinna Miq. var. subsessilis Corner -An Ancient Tree from Zhejiang Province, China. J. Hainan Normal Univ. 2020, 33, 50–57. [Google Scholar]
- Han, F.; Li, J.; Yuan, J.; Yu, J. The complete chloroplast genome sequence of Ficus beipeiensis (Moraceae), an endemic and endangered plant in China. Mitochondrial DNA B-Resour. 2021, 6, 604–605. [Google Scholar] [CrossRef]
- Liu, Y.; Chen, W.; Li, F.; Li, C.; Xie, X.; Chao, Z.; Tian, E. The complete chloroplast genome sequence of Ficus hirta (Moraceae). Mitochondrial DNA Part B Resour. 2019, 4, 4041–4042. [Google Scholar] [CrossRef] [PubMed]
- Mao, Q.; Bi, G. Complete chloroplast genome of Ficus racemosa (Moraceae). Mitochondrial DNA 2016, 27, 4655–4656. [Google Scholar] [CrossRef]
- Wang, J.; Wang, T.Y.; Wang, L.Y.; Zhang, J.G.; Zeng, Y.F. Assembling and Analysis of the Whole Chloroplast Genome Sequence of Elaeagnus angustifolia and Its Codon Usage Bias. Acta Botanica Boreali-Occidentalia Sinica 2019, 39, 1559–1572. [Google Scholar]
- Xu, S.; Guo, S.; Fan, D.; Wang, J. The complete chloroplast genome sequence of Ficus formosana Maxim (Moraceae) from Guangzhou, China. Mitochondrial DNA B-Resour. 2021, 6, 1895–1896. [Google Scholar] [CrossRef]
- Yu, H.; Nason, J.D. Nuclear and chloroplast DNA phylogeography of Ficus hirta: Obligate pollination mutualism and constraints on range expansion in response to climate change. New Phytol. 2013, 197, 276–289. [Google Scholar] [CrossRef]
- Yang, J.B.; Li, D.Z.; Li, H.T. Highly effective sequencing whole chloroplast genomes of angiosperms by nine novel universal primer pairs. Mol. Ecol. Resour. 2014, 14, 1024–1031. [Google Scholar] [CrossRef]
- Jin, J.J.; Yu, W.B.; Yang, J.B.; Song, Y.; dePamphilis, C.W.; Yi, T.S.; Li, D.Z. GetOrganelle: A fast and versatile toolkit for accurate de novo assembly of organelle genomes. Genome Biol. 2020, 21, 241. [Google Scholar] [CrossRef]
- Lohse, M.; Drechsel, O.; Bock, R. OrganellarGenomeDRAW (OGDRAW): A tool for the easy generation of high-quality custom graphical maps of plastid and mitochondrial genomes. Curr. Genet. 2007, 52, 267–274. [Google Scholar] [CrossRef] [PubMed]
- Beier, S.; Thiel, T.; Münch, T.; Scholz, U.; Mascher, M. MISA-web: A web server for microsatellite prediction. Bioinformatics 2017, 33, 2583–2585. [Google Scholar] [CrossRef]
- Zhao, X.L.; Zhu, Z.M. Comparative Genomics and Phylogenetic Analyses of Christia vespertilionis and Urariopsis brevissima in the Tribe Desmodieae (Fabaceae: Papilionoideae) Based on Complete Chloroplast Genomes. Plants 2020, 9, 1116. [Google Scholar] [CrossRef] [PubMed]
- Kurtz, S.; Choudhuri, J.V.; Ohlebusch, E.; Schleiermacher, C.; Stoye, J.; Giegerich, R. REPuter: The manifold applications of repeat analysis on a genomic scale. Nucleic Acids Res. 2001, 29, 4633–4642. [Google Scholar] [CrossRef]
- Benson, G. Tandem repeats finder: A program to analyze DNA sequences. Nucleic Acids Res. 1999, 27, 573–580. [Google Scholar] [CrossRef]
- Yang, Z.; Wang, G.; Ma, Q.; Ma, W.; Liang, L.; Zhao, T. The complete chloroplast genomes of three Betulaceae species: Implications for molecular phylogeny and historical biogeography. PeerJ 2019, 7, e6320. [Google Scholar] [CrossRef]
- Amiryousefi, A.; Hyvönen, J.; Poczai, P. IRscope: An online program to visualize the junction sites of chloroplast genomes. Bioinformatics 2018, 34, 3030–3031. [Google Scholar] [CrossRef] [PubMed]
- Katoh, K.; Standley, D.M. MAFFT multiple sequence alignment software version 7: Improvements in performance and usability. Mol. Biol. Evol. 2013, 30, 772–780. [Google Scholar] [CrossRef] [PubMed]
- Dubchak, I.; Ryaboy, D.V. VISTA family of computational tools for comparative analysis of DNA sequences and whole genomes. Methods Mol. Biol. 2006, 338, 69–89. [Google Scholar] [PubMed]
- Librado, P.; Rozas, J. DnaSP v5: A software for comprehensive analysis of DNA polymorphism data. Bioinformatics 2009, 25, 1451–14522. [Google Scholar] [CrossRef]
- Wang, D.; Zhang, Y.; Zhang, Z.; Zhu, J.; Yu, J. KaKs_Calculator 2.0: A toolkit incorporating gamma-series methods and sliding window strategies. Genom. Proteom. Bioinform. 2010, 8, 77–80. [Google Scholar] [CrossRef]
- Ivanova, Z.; Sablok, G.; Daskalova, E.; Zahmanova, G.; Apostolova, E.; Yahubyan, G.; Baev, V. Chloroplast Genome Analysis of Resurrection Tertiary Relict Haberlea rhodopensis Highlights Genes Important for Desiccation Stress Response. Front. Plant Sci. 2017, 8, 204. [Google Scholar] [CrossRef] [PubMed]
- Kalyaanamoorthy, S.; Minh, B.Q.; Wong, T.K.F.; von Haeseler, A.; Jermiin, L.S. ModelFinder: Fast model selection for accurate phylogenetic estimates. Nat. Methods 2017, 14, 587–589. [Google Scholar] [CrossRef]
- Nguyen, L.T.; Schmidt, H.A.; von Haeseler, A.; Minh, B.Q. IQ-TREE: A fast and effective stochastic algorithm for estimating maximum-likelihood phylogenies. Mol. Biol. Evol. 2015, 32, 268–274. [Google Scholar] [CrossRef]
- Hoang, D.T.; Chernomor, O.; von Haeseler, A.; Minh, B.Q.; Vinh, L.S. UFBoot2: Improving the Ultrafast Bootstrap Approximation. Mol. Biol. Evol. 2018, 35, 518–522. [Google Scholar] [CrossRef]
- Gu, C.; Tembrock, L.R.; Zheng, S.; Wu, Z. The Complete Chloroplast Genome of Catha edulis: A Comparative Analysis of Genome Features with Related Species. Int. J. Mol. Sci. 2018, 19, 525. [Google Scholar] [CrossRef]
- Jansen, R.K.; Cai, Z.; Raubeson, L.A.; Daniell, H.; Depamphilis, C.W.; Leebens-Mack, J.; Müller, K.F.; Guisinger-Bellian, M.; Haberle, R.C.; Hansen, A.K.; et al. Analysis of 81 genes from 64 plastid genomes resolves relationships in angiosperms and identifies genome-scale evolutionary patterns. Proc. Natl. Acad. Sci. USA 2007, 104, 19369–19374. [Google Scholar] [CrossRef] [PubMed]
- Ng, W.L.; Cai, Y.; Wu, W.; Zhou, R. The complete chloroplast genome sequence of Melastoma candidum (Melastomataceae). Mitochondrial DNA Part B Resour. 2017, 2, 242–243. [Google Scholar] [CrossRef][Green Version]
- Fu, J.; Liu, H.; Hu, J.; Liang, Y.; Liang, J.; Wuyun, T.; Tan, X. Five Complete Chloroplast Genome Sequences from Diospyros: Genome Organization and Comparative Analysis. PLoS ONE 2016, 11, e0159566. [Google Scholar] [CrossRef]
- Mariotti, R.; Cultrera, N.G.; Díez, C.M.; Baldoni, L.; Rubini, A. Identification of new polymorphic regions and differentiation of cultivated olives (Olea europaea L.) through plastome sequence comparison. BMC Plant Biol. 2010, 10, 211. [Google Scholar] [CrossRef]
- Yi, D.K.; Kim, K.J. Complete chloroplast genome sequences of important oilseed crop Sesamum indicum L. PLoS ONE 2012, 7, e35872. [Google Scholar] [CrossRef]
- Schmid, P.; Flegel, W.A. Codon usage in vertebrates is associated with a low risk of acquiring nonsense mutations. J. Transl. Med. 2011, 9, 87. [Google Scholar] [CrossRef] [PubMed]
- Ghada; Baraket; and; Saddoud; Olfa; and; Chatti; Khaled; and; Mars. Chloroplast DNA analysis in Tunisian fig cultivars (Ficus carica L.): Sequence variations of the trnL-trnF intergenic spacer. Biochem. Syst. Ecol. 2008, 36, 828–835. [Google Scholar] [CrossRef]
- Wang, J.; Shi, D.; Bai, Y.; Liu, Y. High-throughput sequencing uncover Ficus tikoua Bur. chloroplast genome. J. Plant Biochem. Biotechnol. 2019, 29, 171–182. [Google Scholar] [CrossRef]
- Doorduin, L.; Gravendeel, B.; Lammers, Y.; Ariyurek, Y.; Chin, A.W.T.; Vrieling, K. The complete chloroplast genome of 17 individuals of pest species Jacobaea vulgaris: SNPs, microsatellites and barcoding markers for population and phylogenetic studies. DNA Res. Int. J. Rapid Publ. Rep. Genes Genomes 2011, 18, 93–105. [Google Scholar] [CrossRef]
- Asano, T.; Tsudzuki, T.; Takahashi, S.; Shimada, H.; Kadowaki, K. Complete nucleotide sequence of the sugarcane (Saccharum officinarum) chloroplast genome: A comparative analysis of four monocot chloroplast genomes. DNA Res. 2004, 11, 93–99. [Google Scholar] [CrossRef] [PubMed]
- Weng, M.L.; Blazier, J.C.; Govindu, M.; Jansen, R.K. Reconstruction of the ancestral plastid genome in Geraniaceae reveals a correlation between genome rearrangements, repeats, and nucleotide substitution rates. Mol. Biol. Evol. 2014, 31, 645–659. [Google Scholar] [CrossRef] [PubMed]
- Gómez, A.; González-Martínez, S.C.; Collada, C.; Climent, J.; Gil, L. Complex population genetic structure in the endemic Canary Island pine revealed using chloroplast microsatellite markers. TAG Theor. Appl. Genet. 2003, 107, 1123–1131. [Google Scholar] [CrossRef]
- Ruhsam, M.; Rai, H.S.; Mathews, S.; Ross, T.G.; Graham, S.W.; Raubeson, L.A.; Mei, W.; Thomas, P.I.; Gardner, M.F.; Ennos, R.A.; et al. Does complete plastid genome sequencing improve species discrimination and phylogenetic resolution in Araucaria? Mol. Ecol. Resour. 2015, 15, 1067–1078. [Google Scholar] [CrossRef]
- Urbaniak, L.; Wojnicka-Pótorak, A.; Celiński, K.; Lesiczka, P.; Pawlaczyk, E.; Aučina, A. Genetic resources of relict populations of Pinus sylvestris (L.) in Western Carpathians assessed by chloroplast microsatellites. Biologia 2019, 74, 1077–1086. [Google Scholar] [CrossRef]
- Zhou, T.; Zhu, H.; Wang, J.; Xu, Y.; Xu, F.; Wang, X. Complete chloroplast genome sequence determination of Rheum species and comparative chloroplast genomics for the members of Rumiceae. Plant Cell Rep. 2020, 39, 811–824. [Google Scholar] [CrossRef]
- Zhang, D.F.; Li, S.X.; Xia, T. Characterization of EST-SSR Among Six Genera of Rosaceae. Bull. Bot. Res. 2014, 34, 810–815. [Google Scholar]
- He, L.; Qian, J.; Li, X.; Sun, Z.; Xu, X.; Chen, S. Complete Chloroplast Genome of Medicinal Plant Lonicera japonica: Genome Rearrangement, Intron Gain and Loss, and Implications for Phylogenetic Studies. Molecules 2017, 22, 249. [Google Scholar] [CrossRef]
- Wang, W.; Chen, S.; Zhang, X. Whole-Genome Comparison Reveals Divergent IR Borders and Mutation Hotspots in Chloroplast Genomes of Herbaceous Bamboos (Bambusoideae: Olyreae). Molecules 2018, 23, 1537. [Google Scholar] [CrossRef] [PubMed]
- Huotari, T.; Korpelainen, H. Complete chloroplast genome sequence of Elodea canadensis and comparative analyses with other monocot plastid genome. Gene 2012, 508, 96–105. [Google Scholar] [CrossRef]
- Du, X.; Zeng, T.; Feng, Q.; Hu, L.; Zhu, B. The Complete Chloroplast Genome Sequence of Yellow Mustard (Sinapis alba L.) and Its Phylogenetic Relationship to Other Brassicaceae Species. Gene 2020, 731, 144340. [Google Scholar] [CrossRef] [PubMed]
- Lin, C.P.; Wu, C.S.; Huang, Y.Y.; Chaw, S.M. The complete chloroplast genome of Ginkgo biloba reveals the mechanism of inverted repeat contraction. Genome Biol. Evol. 2012, 4, 374–381. [Google Scholar] [CrossRef] [PubMed]
- Zhang, Y.; Zhang, J.W.; Yang, Y.; Li, X.N. Structural and comparative analysis of the complete chloroplast genome of a mangrove plant: Scyphiphora hydrophyllacea Gaertn. f. and related Rubiaceae species. Forest 2019, 10, 1000. [Google Scholar] [CrossRef]
- Abdullah; Mehmood, F.; Shahzadi, I.; Waseem, S.; Mirza, B.; Ahmed, I.; Waheed, M.T. Chloroplast genome of Hibiscus rosa-sinensis (Malvaceae): Comparative analyses and identification of mutational hotspots. Genomics 2020, 112, 581–591. [Google Scholar] [CrossRef]
- Kuang, D.Y.; Wu, H.; Wang, Y.L.; Gao, L.M.; Zhang, S.Z.; Lu, L. Complete chloroplast genome sequence of Magnolia kwangsiensis (Magnoliaceae): Implication for DNA barcoding and population genetics. Genome 2011, 54, 663–673. [Google Scholar] [CrossRef] [PubMed]
- Clegg, M.T.; Gaut, B.S.; Learn, G.H., Jr.; Morton, B.R. Rates and patterns of chloroplast DNA evolution. Proc. Natl. Acad. Sci. USA 1994, 91, 6795–6801. [Google Scholar] [CrossRef] [PubMed]
- Huang, H.; Shi, C.; Liu, Y.; Mao, S.Y.; Gao, L.Z. Thirteen Camellia chloroplast genome sequences determined by high-throughput sequencing: Genome structure and phylogenetic relationships. BMC Evol. Biol. 2014, 14, 151. [Google Scholar] [CrossRef]
- Perry, A.S.; Wolfe, K.H. Nucleotide substitution rates in legume chloroplast DNA depend on the presence of the inverted repeat. J. Mol. Evol. 2002, 55, 501–508. [Google Scholar] [CrossRef] [PubMed]
- Dong, W.; Liu, H.; Xu, C.; Zuo, Y.; Chen, Z.; Zhou, S. A chloroplast genomic strategy for designing taxon specific DNA mini-barcodes: A case study on ginsengs. BMC Genet. 2014, 15, 138. [Google Scholar] [CrossRef]
- Shen, X.; Wu, M.; Liao, B.; Liu, Z.; Bai, R.; Xiao, S.; Li, X.; Zhang, B.; Xu, J.; Chen, S. Complete Chloroplast Genome Sequence and Phylogenetic Analysis of the Medicinal Plant Artemisia annua. Molecules 2017, 22, 1330. [Google Scholar] [CrossRef]
- Hu, C.Y.; Zheng, X.Y.; Teng, Y.W. Characterization and phylogenetic utility of non-coding chloroplast regions trnL-trnF and accD-psaI in Pyrus. Acta Horticult. Sin. 2011, 38, 2261–2272. [Google Scholar]
- Scarcelli, N.; Barnaud, A.; Eiserhardt, W.; Treier, U.A.; Seveno, M.; D'Anfray, A.; Vigouroux, Y.; Pintaud, J.C. A Set of 100 Chloroplast DNA Primer Pairs to Study Population Genetics and Phylogeny in Monocotyledons. PLoS ONE 2011, 6, e19954. [Google Scholar] [CrossRef] [PubMed]
- Shen, J.S.; Li, X.Q.; Zhu, X.T.; Huang, X.L.; Jin, S.H. The Complete Plastid Genome of Rhododendron pulchrum and Comparative Genetic Analysis of Ericaceae Species. Forests 2020, 11, 158. [Google Scholar] [CrossRef]
- Nazareno, A.G.; Carlsen, M.; Lohmann, L.G. Complete Chloroplast Genome of Tanaecium tetragonolobum: The First Bignoniaceae Plastome. PLoS ONE 2015, 10, e0129930. [Google Scholar] [CrossRef]
- Yang, Z.; Nielsen, R. Estimating synonymous and nonsynonymous substitution rates under realistic evolutionary models. Mol. Biol. Evol. 2000, 17, 32–43. [Google Scholar] [CrossRef]
- Zeb, U.; Dong, W.L.; Zhang, T.T.; Wang, R.N.; Li, Z.H. Comparative plastid genomics of Pinus species: Insights into sequence variations and phylogenetic relationships. J. Syst. Evol. 2019, 58, 118–132. [Google Scholar] [CrossRef]
- Ge, Y.; Dong, X.; Wu, B.; Wang, N.; Chen, D.; Chen, H.; Zou, M.; Xu, Z.; Tan, L.; Zhan, R. Evolutionary analysis of six chloroplast genomes from three Persea americana ecological races: Insights into sequence divergences and phylogenetic relationships. PLoS ONE 2019, 14, e0221827. [Google Scholar] [CrossRef]
- Zhang, Y.; Wang, Z.; Guo, Y.; Chen, S.; Xu, X.; Wang, R. Complete chloroplast genomes of Leptodermis scabrida complex: Comparative genomic analyses and phylogenetic relationships. Gene 2021, 791, 145715. [Google Scholar] [CrossRef] [PubMed]
- Kim, G.B.; Lim, C.E.; Kim, J.S.; Kim, K.; Lee, J.H.; Yu, H.J.; Mun, J.H. Comparative chloroplast genome analysis of Artemisia (Asteraceae) in East Asia: Insights into evolutionary divergence and phylogenomic implications. BMC Genom. 2020, 21, 415. [Google Scholar] [CrossRef] [PubMed]
- Rønsted, N.; Weiblen, G.D.; Cook, J.M.; Salamin, N.; Machado, C.A.; Savolainen, V. 60 million years of co-divergence in the fig-wasp symbiosis. Proc. Biol. Sci. 2005, 272, 2593–2599. [Google Scholar] [CrossRef]
- Gui, P. Morphological and Anatomical Studies on Ficus subg. Ficus (Moraceae) in China. Master’s Thesis, East China Normal University, Shanghai, China, 2013; pp. 61–62. [Google Scholar]
- Zhang, L.F. Phylogeny and Taxonomy of the Ficus auriculata Complex. Master’s Thesis, East China Normal University, Shanghai, China, 2016; pp. 40–42. [Google Scholar]
- Zhou, Q.M. Using SSR to Characterize the Ficus gasparriniana-F. heteromorpha Complex of Sect. Ficus (Ficus, Moraceae) in China. Master’s Thesis, East China Normal University, Shanghai, China, 2014; pp. 34–36. [Google Scholar]







| Category | Gene Groups | Gene Names | Number |
|---|---|---|---|
| Self-replication | Large subunit of ribosomal proteins | rpl14, rpl16 *, rpl2 (×2) *, rpl20, rpl22, rpl23 (×2), rpl32, rpl33, rpl36 | 11 |
| Small subunit of ribosomal proteins | rps11, rps12 **, rps14, rps15, rps16 *, rps18, rps19, rps2, rps3, rps4, rps7 (×2), rps8 | 13 | |
| DNA dependent RNA polymerase | rpoA, rpoB, rpoC1 *, rpoC2 | 4 | |
| ribosomal RNAs | rrn16 (×2), rrn23 (×2), rrn4.5 (×2), rrn5, (×2) | 8 | |
| transfer RNAs | trnA-UGC (×2) *, trnC-GCA, trnD-GUC, trnE-UUC, trnF-GAA, trnG-GCC, trnG-UCC *, trnH-GUG, trnI-CAU (×2), trnI-GAU (×2) *, trnK-UUU *, trnL-CAA (×2), trnL-UAA *, trnL-UAG, trnM-CAU, trnN-GUU (×2), trnP-UGG, trnQ-UUG, trnR-ACG (×2), trnR-UCU, trnS-GCU, trnS-GGA, trnS-UGA, trnT-GGU, trnT-UGU, trnV-GAC, (×2), trnV-UAC *, trnW-CCA, trnY-GUA | 36 | |
| Photosynthesis | Photosystem I | psaA, psaB, psaC, psaI, psaJ | 5 |
| Photosystem II | psbA, psbB, psbC, psbD, psbE, psbF, psbH, psbI, psbJ, psbK, psbM, psbN, psbT, psbZ | 14 | |
| NADP dehydrogenase | ndhA *, ndhB (×2) *, ndhC, ndhD, ndhE, ndhF, ndhG, ndhH, ndhI, ndhJ, ndhK | 12 | |
| Cytochrome b6/f complex | petA, petB *, petD *, petG, petL, petN | 6 | |
| ATP synthase | atpA, atpB, atpE, atpF *, atpH, atpI | 6 | |
| Rubisco | rbcL | 1 | |
| Other genes | Maturase | matK | 1 |
| Protease | clpP ** | 1 | |
| Envelop membrane protein | cemA | 1 | |
| Subunit Acetyl- CoA-Carboxylate | accD | 1 | |
| c-type cytochrome synthesis gene | ccsA | 1 | |
| Unknown | Conserved Open reading frames | ycf1 (×2), ycf2, (×2), ycf3 **, ycf4 | 6 |
| 127 |
Publisher’s Note: MDPI stays neutral with regard to jurisdictional claims in published maps and institutional affiliations. |
© 2022 by the authors. Licensee MDPI, Basel, Switzerland. This article is an open access article distributed under the terms and conditions of the Creative Commons Attribution (CC BY) license (https://creativecommons.org/licenses/by/4.0/).
Share and Cite
Xia, X.; Peng, J.; Yang, L.; Zhao, X.; Duan, A.; Wang, D. Comparative Analysis of the Complete Chloroplast Genomes of Eight Ficus Species and Insights into the Phylogenetic Relationships of Ficus. Life 2022, 12, 848. https://doi.org/10.3390/life12060848
Xia X, Peng J, Yang L, Zhao X, Duan A, Wang D. Comparative Analysis of the Complete Chloroplast Genomes of Eight Ficus Species and Insights into the Phylogenetic Relationships of Ficus. Life. 2022; 12(6):848. https://doi.org/10.3390/life12060848
Chicago/Turabian StyleXia, Xi, Jingyu Peng, Lin Yang, Xueli Zhao, Anan Duan, and Dawei Wang. 2022. "Comparative Analysis of the Complete Chloroplast Genomes of Eight Ficus Species and Insights into the Phylogenetic Relationships of Ficus" Life 12, no. 6: 848. https://doi.org/10.3390/life12060848
APA StyleXia, X., Peng, J., Yang, L., Zhao, X., Duan, A., & Wang, D. (2022). Comparative Analysis of the Complete Chloroplast Genomes of Eight Ficus Species and Insights into the Phylogenetic Relationships of Ficus. Life, 12(6), 848. https://doi.org/10.3390/life12060848

