Neutrophil-to-Lymphocyte Ratio and Platelet-to-Lymphocyte Ratio Impact on Predicting Outcomes in Patients with Acute Limb Ischemia
Abstract
:1. Introduction
2. Materials and Methods
2.1. Study Design
2.2. Data Collection
2.3. Preoperative Workup and Revascularization Technique
2.4. Study Outcomes
2.5. Statistical Analysis
3. Results
4. Discussion
5. Conclusions
Supplementary Materials
Author Contributions
Funding
Institutional Review Board Statement
Informed Consent Statement
Acknowledgments
Conflicts of Interest
References
- Björck, M.; Earnshaw, J.J.; Acosta, S.; Bastos Gonçalves, F.; Cochennec, F.; Debus, E.S.; Hinchliffe, R.; Jongkind, V.; Koelemay, M.J.W.; Menyhei, G.; et al. Editor’s Choice–European Society for Vascular Surgery (ESVS) 2020 Clinical Practice Guidelines on the Management of Acute Limb Ischaemia. Eur. J. Vasc. Endovasc. Surg. 2020, 59, 173–218. [Google Scholar] [CrossRef] [Green Version]
- Creager, M.A.; Kaufman, J.A.; Conte, M.S. Clinical Practice. Acute Limb Ischemia. N. Engl. J. Med. 2012, 366, 2198–2206. [Google Scholar] [CrossRef] [PubMed]
- Eliason, J.L.; Wainess, R.M.; Proctor, M.C.; Dimick, J.B.; Cowan, J.A.; Upchurch, G.R.; Stanley, J.C.; Henke, P.K. A National and Single Institutional Experience in the Contemporary Treatment of Acute Lower Extremity Ischemia. Ann. Surg. 2003, 238, 382–390; discussion 389–390. [Google Scholar] [CrossRef] [PubMed]
- Earnshaw, J.J.; Whitman, B.; Foy, C. National Audit of Thrombolysis for Acute Leg Ischemia (NATALI): Clinical Factors Associated with Early Outcome. J. Vasc. Surg. 2004, 39, 1018–1025. [Google Scholar] [CrossRef] [PubMed] [Green Version]
- Acar, R.D.; Sahin, M.; Kirma, C. One of the Most Urgent Vascular Circumstances: Acute Limb Ischemia. SAGE Open Med. 2013, 1, 2050312113516110. [Google Scholar] [CrossRef] [PubMed]
- Howard, D.P.J.; Banerjee, A.; Fairhead, J.F.; Hands, L.; Silver, L.E.; Rothwell, P.M. Oxford Vascular Study Population-Based Study of Incidence, Risk Factors, Outcome, and Prognosis of Ischemic Peripheral Arterial Events: Implications for Prevention. Circulation 2015, 132, 1805–1815. [Google Scholar] [CrossRef]
- Dryjski, M.; Swedenborg, J. Acute Ischemia of the Extremities in a Metropolitan Area during One Year. J. Cardiovasc. Surg. 1984, 25, 518–522. [Google Scholar]
- Rutherford, R.B.; Baker, J.D.; Ernst, C.; Johnston, K.W.; Porter, J.M.; Ahn, S.; Jones, D.N. Recommended Standards for Reports Dealing with Lower Extremity Ischemia: Revised Version. J. Vasc. Surg. 1997, 26, 517–538. [Google Scholar] [CrossRef] [Green Version]
- Angkananard, T.; Anothaisintawee, T.; McEvoy, M.; Attia, J.; Thakkinstian, A. Neutrophil Lymphocyte Ratio and Cardiovascular Disease Risk: A Systematic Review and Meta-Analysis. BioMed Res. Int. 2018, 2018, e2703518. [Google Scholar] [CrossRef] [Green Version]
- Benlice, C.; Onder, A.; Babazade, R.; Hrabe, J.; Stocchi, L.; Steele, S.; Gorgun, E. Is the Neutrophil-to-Lymphocyte Ratio Associated with Increased Morbidity After Colorectal Surgery? Surg. Laparosc. Endosc. Percutaneous Tech. 2019, 29, 36–39. [Google Scholar] [CrossRef]
- Balta, S. Mean Platelet Volume, Neutrophil-Lymphocyte Ratio, and Long-Term Major Cardiovascular Events. Angiology 2019, 70, 289–290. [Google Scholar] [CrossRef] [PubMed]
- Tan, T.P.; Arekapudi, A.; Metha, J.; Prasad, A.; Venkatraghavan, L. Neutrophil-Lymphocyte Ratio as Predictor of Mortality and Morbidity in Cardiovascular Surgery: A Systematic Review. ANZ J. Surg. 2015, 85, 414–419. [Google Scholar] [CrossRef] [PubMed]
- Bath, J.; Smith, J.B.; Kruse, R.L.; Vogel, T.R. Association of Neutrophil-to-Lymphocyte Ratio with Outcomes after Elective Abdominal Aortic Aneurysm Repair. J. Vasc. Nurs. 2019, 37, 213–220. [Google Scholar] [CrossRef] [PubMed]
- Wang, Q.; Ma, J.; Jiang, Z.; Ming, L. Prognostic Value of Neutrophil-to-Lymphocyte Ratio and Platelet-to-Lymphocyte Ratio in Acute Pulmonary Embolism: A Systematic Review and Meta-Analysis. Int. Angiol. J. Int. Union Angiol. 2018, 37, 4–11. [Google Scholar] [CrossRef]
- Durmus, E.; Kivrak, T.; Gerin, F.; Sunbul, M.; Sari, I.; Erdogan, O. Neutrophil-to-Lymphocyte Ratio and Platelet-to-Lymphocyte Ratio Are Predictors of Heart Failure. Arq. Bras. Cardiol. 2015, 105, 606–613. [Google Scholar] [CrossRef]
- Kayrak, M.; Erdoğan, H.I.; Solak, Y.; Akilli, H.; Gül, E.E.; Yildirim, O.; Erer, M.; Akilli, N.B.; Bekci, T.T.; Aribaş, A.; et al. Prognostic Value of Neutrophil to Lymphocyte Ratio in Patients with Acute Pulmonary Embolism: A Restrospective Study. Heart Lung Circ. 2014, 23, 56–62. [Google Scholar] [CrossRef]
- Kang, Y.; Zhu, X.; Lin, Z.; Zeng, M.; Shi, P.; Cao, Y.; Chen, F. Compare the Diagnostic and Prognostic Value of MLR, NLR and PLR in CRC Patients. Clin. Lab. 2021, 67, 78–89. [Google Scholar] [CrossRef]
- Kumarasamy, C.; Tiwary, V.; Sunil, K.; Suresh, D.; Shetty, S.; Muthukaliannan, G.K.; Baxi, S.; Jayaraj, R. Prognostic Utility of Platelet–Lymphocyte Ratio, Neutrophil–Lymphocyte Ratio and Monocyte–Lymphocyte Ratio in Head and Neck Cancers: A Detailed PRISMA Compliant Systematic Review and Meta-Analysis. Cancers 2021, 13, 4166. [Google Scholar] [CrossRef]
- Kumarasamy, C.; Sabarimurugan, S.; Madurantakam, R.M.; Lakhotiya, K.; Samiappan, S.; Baxi, S.; Nachimuthu, R.; Gothandam, K.M.; Jayaraj, R. Prognostic Significance of Blood Inflammatory Biomarkers NLR, PLR, and LMR in Cancer—A Protocol for Systematic Review and Meta-Analysis. Medicine 2019, 98, e14834. [Google Scholar] [CrossRef]
- Urbanowicz, T.; Olasińska-Wiśniewska, A.; Michalak, M.; Rodzki, M.; Witkowska, A.; Straburzyńska-Migaj, E.; Perek, B.; Jemielity, M. The Prognostic Significance of Neutrophil to Lymphocyte Ratio (NLR), Monocyte to Lymphocyte Ratio (MLR) and Platelet to Lymphocyte Ratio (PLR) on Long-Term Survival in Off-Pump Coronary Artery Bypass Grafting (OPCAB) Procedures. Biology 2022, 11, 34. [Google Scholar] [CrossRef]
- Fusar-Poli, L.; Natale, A.; Amerio, A.; Cimpoesu, P.; Grimaldi Filioli, P.; Aguglia, E.; Amore, M.; Serafini, G.; Aguglia, A. Neutrophil-to-Lymphocyte, Platelet-to-Lymphocyte and Monocyte-to-Lymphocyte Ratio in Bipolar Disorder. Brain Sci. 2021, 11, 58. [Google Scholar] [CrossRef] [PubMed]
- Ke, R.-T.; Rau, C.-S.; Hsieh, T.-M.; Chou, S.-E.; Su, W.-T.; Hsu, S.-Y.; Hsieh, C.-H.; Liu, H.-T. Association of Platelets and White Blood Cells Subtypes with Trauma Patients’ Mortality Outcome in the Intensive Care Unit. Healthcare 2021, 9, 942. [Google Scholar] [CrossRef] [PubMed]
- MacIsaac, R.J.; Ekinci, E.I.; Jerums, G. Markers of and Risk Factors for the Development and Progression of Diabetic Kidney Disease. Am. J. Kidney Dis. 2014, 63, S39–S62. [Google Scholar] [CrossRef] [PubMed]
- Soehnlein, O. Multiple Roles for Neutrophils in Atherosclerosis. Circ. Res. 2012, 110, 875–888. [Google Scholar] [CrossRef] [PubMed] [Green Version]
- Hotchkiss, R.S.; Karl, I.E. The Pathophysiology and Treatment of Sepsis. N. Engl. J. Med. 2003, 348, 138–150. [Google Scholar] [CrossRef] [PubMed] [Green Version]
- Balta, S.; Celik, T.; Mikhailidis, D.P.; Ozturk, C.; Demirkol, S.; Aparci, M.; Iyisoy, A. The Relation Between Atherosclerosis and the Neutrophil–Lymphocyte Ratio. Clin. Appl. Thromb. 2016, 22, 405–411. [Google Scholar] [CrossRef] [PubMed]
- Taurino, M.; Aloisi, F.; Del Porto, F.; Nespola, M.; Dezi, T.; Pranteda, C.; Rizzo, L.; Sirignano, P. Neutrophil-to-Lymphocyte Ratio Could Predict Outcome in Patients Presenting with Acute Limb Ischemia. J. Clin. Med. 2021, 10, 4343. [Google Scholar] [CrossRef]
- Taşoğlu, I.; Çiçek, O.F.; Lafcı, G.; Kadiroğulları, E.; Sert, D.E.; Demir, A.; Cavus, U.; Colak, N.; Songur, M.; Hodo, B. Usefulness of Neutrophil/Lymphocyte Ratio as a Predictor of Amputation after Embolectomy for Acute Limb Ischemia. Ann. Vasc. Surg. 2014, 28, 606–613. [Google Scholar] [CrossRef]
- Pasqui, E.; de Donato, G.; Giannace, G.; Panzano, C.; Alba, G.; Cappelli, A.; Setacci, C.; Palasciano, G. The Relation between Neutrophil/Lymphocyte and Platelet/Lymphocyte Ratios with Mortality and Limb Amputation after Acute Limb Ischaemia. Vascular 2022, 30, 267–275. [Google Scholar] [CrossRef]
- De Donato, G.; Pasqui, E.; Giannace, G.; Setacci, F.; Benevento, D.; Palasciano, G.; Setacci, C. INDIAN Registry Collaborators the Indigo System in Acute Lower-Limb Malperfusion (INDIAN) Registry: Protocol. JMIR Res. Protoc. 2019, 8, e9972. [Google Scholar] [CrossRef] [Green Version]
- De Donato, G.; Pasqui, E.; Sponza, M.; Intrieri, F.; Spinazzola, A.; Silingardi, R.; Guzzardi, G.; Ruffino, M.A.; Palasciano, G.; Setacci, C.; et al. Safety and Efficacy of Vacuum Assisted Thrombo-Aspiration in Patients with Acute Lower Limb Ischaemia: The INDIAN Trial. Eur. J. Vasc. Endovasc. Surg. 2021, 61, 820–828. [Google Scholar] [CrossRef] [PubMed]
- Teperman, J.; Carruthers, D.; Guo, Y.; Barnett, M.P.; Harris, A.A.; Sedlis, S.P.; Pillinger, M.; Babaev, A.; Staniloae, C.; Attubato, M.; et al. Relationship between Neutrophil-Lymphocyte Ratio and Severity of Lower Extremity Peripheral Artery Disease. Int. J. Cardiol. 2017, 228, 201–204. [Google Scholar] [CrossRef] [PubMed]
- Gary, T.; Pichler, M.; Belaj, K.; Hafner, F.; Gerger, A.; Froehlich, H.; Eller, P.; Pilger, E.; Brodmann, M. Neutrophil-to-Lymphocyte Ratio and Its Association with Critical Limb Ischemia in PAOD Patients. PLoS ONE 2013, 8, e56745. [Google Scholar] [CrossRef] [PubMed] [Green Version]
- Aurelian, S.V.; Adrian, M.; Andercou, O.; Bruno, S.; Alexandru, O.; Catalin, T.; Dan, B. Neutrophil-to-Lymphocyte Ratio: A Comparative Study of Rupture to Nonruptured Infrarenal Abdominal Aortic Aneurysm. Ann. Vasc. Surg. 2019, 58, 270–275. [Google Scholar] [CrossRef] [PubMed]
- Appleton, N.D.; Bailey, D.M.; Morris-Stiff, G.; Lewis, M.H. Neutrophil to Lymphocyte Ratio Predicts Perioperative Mortality Following Open Elective Repair of Abdominal Aortic Aneurysms. Vasc. Endovasc. Surg. 2014, 48, 311–316. [Google Scholar] [CrossRef]
- Ntalouka, M.P.; Nana, P.; Kouvelos, G.N.; Stamoulis, K.; Spanos, K.; Giannoukas, A.; Matsagkas, M.; Arnaoutoglou, E. Association of Neutrophil–Lymphocyte and Platelet–Lymphocyte Ratio with Adverse Events in Endovascular Repair for Abdominal Aortic Aneurysm. J. Clin. Med. 2021, 10, 1083. [Google Scholar] [CrossRef]
- Garagoli, F.; Fiorini, N.; Pérez, M.N.; Rabellino, J.M.; Valle Raleigh, J.; Chas, J.G.; DI Caro, V.; Pizarro, R.; Bluro, I.M. Neutrophil-to-Lymphocyte Ratio and Platelet-to-Lymphocyte Ratio Predict in-Hospital Mortality in Symptomatic but Unruptured Abdominal Aortic Aneurysm Patients. Int. Angiol. J. Int. Union Angiol. 2022, 5, 149–156. [Google Scholar] [CrossRef]
- Gary, T.; Pichler, M.; Belaj, K.; Hafner, F.; Gerger, A.; Froehlich, H.; Eller, P.; Rief, P.; Hackl, G.; Pilger, E.; et al. Platelet-to-Lymphocyte Ratio: A Novel Marker for Critical Limb Ischemia in Peripheral Arterial Occlusive Disease Patients. PLoS ONE 2013, 8, e67688. [Google Scholar] [CrossRef] [Green Version]
- Russu, E.; Mureșan, A.V.; Arbănași, E.M.; Kaller, R.; Hosu, I.; Voidăzan, S.; Arbănași, E.M.; Coșarcă, C.M. The Predictive Role of NLR and PLR in Outcome and Patency of Lower Limb Revascularization in Patients with Femoropopliteal Disease. J. Clin. Med. 2022, 11, 2620. [Google Scholar] [CrossRef]
- Ye, M.; Qian, X.; Guo, X.; Wang, H.; Ni, Q.; Zhao, Y.; Xue, G.; Deng, H.; Zhang, L. Neutrophil-Lymphocyte Ratio and Platelet-Lymphocyte Ratio Predict Severity and Prognosis of Lower Limb Arteriosclerosis Obliterans. Ann. Vasc. Surg. 2020, 64, 221–227. [Google Scholar] [CrossRef] [Green Version]
- Wang, S.; Liu, H.; Wang, Q.; Cheng, Z.; Sun, S.; Zhang, Y.; Sun, X.; Wang, Z.; Ren, L. Neutrophil-to-Lymphocyte Ratio and Platelet-to-Lymphocyte Ratio Are Effective Predictors of Prognosis in Patients with Acute Mesenteric Arterial Embolism and Thrombosis. Ann. Vasc. Surg. 2018, 49, 115–122. [Google Scholar] [CrossRef] [PubMed]
- Lareyre, F.; Carboni, J.; Chikande, J.; Massiot, N.; Voury-Pons, A.; Umbdenstock, E.; Jean-Baptiste, E.; Hassen-Khodja, R.; Raffort, J. Association of Platelet to Lymphocyte Ratio and Risk of 30-Day Postoperative Complications in Patients Undergoing Abdominal Aortic Surgical Repair. Vasc. Endovasc. Surg. 2019, 53, 5–11. [Google Scholar] [CrossRef] [PubMed]
- Serra, R.; Ielapi, N.; Licastro, N.; Provenzano, M.; Andreucci, M.; Bracale, U.M.; Jiritano, F.; de Franciscis, S.; Mastroroberto, P.; Serraino, G.F. Neutrophil-to-Lymphocyte Ratio and Platelet-to-Lymphocyte Ratio as Biomarkers for Cardiovascular Surgery Procedures: A Literature Review. Rev. Recent Clin. Trials 2021, 16, 173–179. [Google Scholar] [CrossRef]
- Huszno, J.; Kołosza, Z.; Mrochem-Kwarciak, J.; Zajusz, A. Prognostic Value of the Neutrophil-Lymphocyte, Platelet-Lymphocyte, and Monocyte-Lymphocyte Ratios in Male Breast Cancer Patients. OCL 2020, 98, 487–492. [Google Scholar] [CrossRef]
- Xiang, J.; Zhou, L.; Li, X.; Bao, W.; Chen, T.; Xi, X.; He, Y.; Wan, X. Preoperative Monocyte-to-Lymphocyte Ratio in Peripheral Blood Predicts Stages, Metastasis, and Histological Grades in Patients with Ovarian Cancer. Transl. Oncol. 2017, 10, 33–39. [Google Scholar] [CrossRef] [PubMed] [Green Version]
- Panni, R.Z.; Lopez-Aguiar, A.G.; Liu, J.; Poultsides, G.A.; Rocha, F.G.; Hawkins, W.G.; Strasberg, S.M.; Trikalinos, N.A.; Maithel, S.; Fields, R.C.; et al. Association of Preoperative Monocyte-to-Lymphocyte and Neutrophil-to-Lymphocyte Ratio with Recurrence-Free and Overall Survival after Resection of Pancreatic Neuroendocrine Tumors (US-NETSG). J. Surg. Oncol. 2019, 120, 632–638. [Google Scholar] [CrossRef]
- González-Fajardo, J.A.; Brizuela-Sanz, J.A.; Aguirre-Gervás, B.; Merino-Díaz, B.; Del Río-Solá, L.; Martín-Pedrosa, M.; Vaquero-Puerta, C. Prognostic Significance of an Elevated Neutrophil–Lymphocyte Ratio in the Amputation-Free Survival of Patients with Chronic Critical Limb Ischemia. Ann. Vasc. Surg. 2014, 28, 999–1004. [Google Scholar] [CrossRef]
- Spark, J.I.; Sarveswaran, J.; Blest, N.; Charalabidis, P.; Asthana, S. An Elevated Neutrophil-Lymphocyte Ratio Independently Predicts Mortality in Chronic Critical Limb Ischemia. J. Vasc. Surg. 2010, 52, 632–636. [Google Scholar] [CrossRef] [Green Version]
- Chan, C.; Puckridge, P.; Ullah, S.; Delaney, C.; Spark, J.I. Neutrophil-Lymphocyte Ratio as a Prognostic Marker of Outcome in Infrapopliteal Percutaneous Interventions for Critical Limb Ischemia. J. Vasc. Surg. 2014, 60, 661–668. [Google Scholar] [CrossRef] [Green Version]
- Coelho, N.H.; Coelho, A.; Augusto, R.; Semião, C.; Peixoto, J.; Fernandes, L.; Martins, V.; Canedo, A.; Gregório, T. Pre-Operative Neutrophil to Lymphocyte Ratio Is Associated with 30 Day Death or Amputation After Revascularisation for Acute Limb Ischaemia. Eur. J. Vasc. Endovasc. Surg. 2021, 62, 74–80. [Google Scholar] [CrossRef]
- Songur, M.; Simsek, E.; Faruk, O.; Kavasoglu, K.; Alagha, S.; Karahan, M. The Platelet-Lymphocyte Ratio Predict the Risk of Amputation in Critical Limb Ischemia. J. Vasc. Med. Surg. 2014, 2, 2. [Google Scholar] [CrossRef] [Green Version]
- Lee, S.; Hoberstorfer, T.; Wadowski, P.P.; Kopp, C.W.; Panzer, S.; Gremmel, T. Platelet-to-Lymphocyte and Neutrophil-to-Lymphocyte Ratios Predict Target Vessel Restenosis after Infrainguinal Angioplasty with Stent Implantation. J. Clin. Med. 2020, 9, 1729. [Google Scholar] [CrossRef] [PubMed]
- Zhou, D.; Wang, G.; Fan, Y.; Wan, Z.; Liu, X. Platelet to Lymphocyte Ratio Is Associated with the Severity of Coronary Artery Disease and Clinical Outcomes of Percutaneous Coronary Intervention in the Chinese Han Population. Exp. Ther. Med. 2017, 13, 731–738. [Google Scholar] [CrossRef] [PubMed] [Green Version]
- Gungor, H.; Babu, A.S.; Zencir, C.; Akpek, M.; Selvi, M.; Erkan, M.H.; Durmaz, S. Association of Preoperative Platelet-to-Lymphocyte Ratio with Atrial Fibrillation after Coronary Artery Bypass Graft Surgery. Med. Princ. Pract. 2017, 26, 164–168. [Google Scholar] [CrossRef] [PubMed]


| Variables | All Patients n = 210 |
|---|---|
| Age mean ± SD (min-max) | 69.56 ± 8.21 (51–92) |
| Male sex no. (%) | 153 (72.86%) |
| Comorbidities and risk factors | |
| AH, no. (%) | 175 (83.33%) |
| IHD, no. (%) | 169 (80.48%) |
| AF, no. (%) | 47 (22.38%) |
| MI, no. (%) | 69 (32.86%) |
| CHF, no. (%) | 127 (60.48%) |
| COPD, no. (%) | 54 (25.71%) |
| CKD, no. (%) | 42 (20%) |
| T2D, no. (%) | 111 (52.86%) |
| Stroke, no. (%) | 57 (27.14%) |
| CVI, no. (%) | 39 (18.57%) |
| Tobacco, no. (%) | 134 (63.81%) |
| Obesity, no. (%) | 71 (33.81%) |
| Hyperlipidemia, no. (%) | 124 (59.05%) |
| Laboratory findings | |
| Hemoglobin g/dL median [Q1–Q3] | 12.31 [10.46–113.89] |
| Hematocrit % median [Q1–Q3] | 37.31 [32.24–41.98] |
| Glucose mg/dl median [Q1–Q3] | 106 [93–134.75] |
| Neutrophils × 103/uL median [Q1–Q3] | 6.4 [4.89–8.25] |
| Lymphocytes × 103/uL median [Q1–Q3] | 1.98 [1.54–2.69] |
| Monocyte × 103/uL median [Q1–Q3] | 0.61 [0.47–0.79] |
| PLT × 103/uL median [Q1–Q3] | 255.65 [211.1–317.85] |
| NLR median [Q1–Q3] | 3.07 [2.04–4.79] |
| PLR median [Q1–Q3] | 125.73 [94.82–175.48] |
| Rutherford grade | |
| IIA, no. (%) | 100 (47.62%) |
| IIB, no. (%) | 45 (21.43%) |
| III, no. (%) | 65 (30.95%) |
| Type of surgery | |
| Fogarty embolectomy, no. (%) | 145 (69.05%) |
| By-pass, no. (%) | 48 (22.86%) |
| Major amputation, no. (%) | 17 (8.1%) |
| Outcomes | |
| Amputation, no. (%) | 57 (27.14%) (17) * |
| Death, no. (%) | 47 (22.38%) |
| Amputation and death, no. (%) | 33 (15.71%) |
| Variables | Survivor n = 163 | Death n = 47 | p-Value (OR; CI 95%) |
|---|---|---|---|
| Age mean ± SD (min–max) | 69.58 ± 7.81 (52–92) | 69.48 ± 9.58 (51–89) | 0.95 # |
| Male sex no. (%) | 124 (76.07%) | 29 (61.70%) | 0.052 ¥ (1.97; 0.99–3.93) |
| Comorbidities and risk factors | |||
| AH, no. (%) | 134 (82.21%) | 41 (87.23%) | 0.41 ¥ (0.67; 0.26–1.74) |
| IHD, no. (%) | 131 (80.37%) | 38 (80.85%) | 0.94 ¥ (0.96; 0.42–2.20) |
| AF, no. (%) | 33 (20.25%) | 14 (29.78%) | 0.16 ¥ (0.59; 0.28–1.24) |
| MI, no. (%) | 52 (31.9%) | 17 (36.1%) | 0.58 ¥ (0.82; 0.41–1.63) |
| CHF, no. (%) | 100 (61.35%) | 27 (57.44%) | 0.62 ¥ (1.17; 0.60–2.27) |
| COPD, no. (%) | 41 (25.15%) | 13 (27.65%) | 0.72 ¥ (0.87; 0.42–1.82) |
| CKD, no. (%) | 30 (18.4%) | 12 (25.53%) | 0.16 ¥ (0.58; 0.27–1.25) |
| T2D, no. (%) | 88 (53.99%) | 23 (48.93%) | 0.54 ¥ (1.22; 0.63–2.34) |
| Stroke, no. (%) | 41 (25.15%) | 16 (34.04%) | 0.22 ¥ (0.65; 0.32–1.31) |
| CVI, no. (%) | 29 (17.79%) | 10 (21.27%) | 0.58 ¥ (0.80; 0.35–1.79) |
| Tobacco, no. (%) | 103 (63.19%) | 31 (65.95%) | 0.72 ¥ (0.88; 0.44–1.75) |
| Obesity, no. (%) | 54 (33.13%) | 17 (36.1%) | 0.69 ¥ (0.87; 0.44–1.72) |
| Hyperlipidemia, no. (%) | 94 (57.67%) | 30 (63.82) | 0.44 ¥ (0.77; 0.39–1.51) |
| Laboratory findings | |||
| Hemoglobin g/dL median [Q1–Q3] | 12.6 [10.92–14.15] | 10.95 [9.74–12.63] | 0.0005 § |
| Hematocrit % median [Q1–Q3] | 38.99 [33.18–42.6] | 32.9 [29.95–37.36] | <0.0001 § |
| Glucose mg/dL median [Q1–Q3] | 104 [91.5–132.4] | 118 [100.5–140.25] | 0.01 § |
| Neutrophils × 103/uL median [Q1–Q3] | 5.83 [4.59–7.57] | 8.29 [6.76–10.99] | <0.0001 § |
| Lymphocytes × 103/uL median [Q1–Q3] | 2.13 [1.71–2.90] | 1.55 [1.16–1.95] | <0.0001 § |
| Monocyte × 103/uL median [Q1–Q3] | 0.61 [0.46–0.78] | 0.68 [0.52–0.98] | 0.03 § |
| PLT × 103/uL median [Q1–Q3] | 251.1 [204.25–309.75] | 277 [229.2–386.6] | 0.02 § |
| NLR median [Q1–Q3] | 0.28 [0.20–0.34] | 0.47 [0.33–0.62] | <0.0001 § |
| PLR median [Q1–Q3] | 116.31 [89.03–155.08] | 190.54 [145.47–241.38] | <0.0001 § |
| Rutherford grade | |||
| IIA, no. (%). | 93 (57.05%) | 7 (14.89%) | <0.0001 ¥ (7.59; 3.20–17.95) |
| IIB, no. (%) | 37 (22.69%) | 8 (17.02%) | 0.40 ¥ (1.43; 0.61–3.33) |
| III, no. (%) | 33 (20.24%) | 32 (68.08%) | <0.0001 ¥ (0.11; 0.05–0.24) |
| Type of surgery | |||
| Fogarty embolectomy, no. (%) | 118 (72.39%) | 27 (57.45%) | 0.053 ¥ (1.94; 0.99–3.80) |
| By-pass, no. (%) | 38 (23.31%) | 10 (21.28%) | 0.76 ¥ (1.12; 0.51–2.47) |
| Major amputation, no. (%) | 7 (4.29%) | 10 (21.28%) | 0.0006 ¥ (0.16; 0.05–0.46) |
| Outcomes | |||
| Amputation, no. (%) | 24 (14.72%) (7) * | 33 (70.21%) (10) * | <0.0001 ¥ (0.07; 0.03–0.15) |
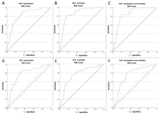
| Variables | Cut-Off | AUC | Std. Error | 95% CI | Sensitivity | Specificity | p-Value |
|---|---|---|---|---|---|---|---|
| Amputation in all patients | |||||||
| NLR | 4.23 | 0.829 | 0.030 | 0.769–0.888 | 70.2% | 83% | <0.0001 |
| PLR | 136.68 | 0.785 | 0.036 | 0.713–0.856 | 80.7% | 71.2% | <0.0001 |
| Mortality in all patients | |||||||
| NLR | 4.33 | 0.856 | 0.029 | 0.799–0.913 | 80.9% | 84% | <0.0001 |
| PLR | 143.34 | 0.765 | 0.040 | 0.686–0.844 | 76.6% | 71.8% | <0.0001 |
| Amputation and mortality in all patients | |||||||
| NLR | 4.33 | 0.858 | 0.028 | 0.802–0.914 | 84.8% | 79.7% | <0.0001 |
| PLR | 143.34 | 0.759 | 0.043 | 0.675–0.844 | 81.8% | 68.9% | <0.0001 |
| Amputation | Mortality | Amputation and Mortality | |
|---|---|---|---|
| low NLR vs. high NLR All patients | 18/146 (12.33%) vs. 39/64 (60.94%) p < 0.0001 OR:0.09 CI: (0.04–0.18) | 9/146 (6.16%) vs. 38/64 (59.37%) p < 0.0001 OR:0.04 CI: (0.01–0.10) | 5/146 (3.42%) vs. 28/64 (43.75%) p < 0.0001 OR:0.04 CI: (0.01–0.12) |
| Low NLR vs. high NLR RC IIA patients | 2/76 (2.63%) vs. 10/24 (41.67%) p = 0.0001 OR:0.03 CI: (0.007–0.19) | 0/76 (0%) vs. 7/24 (29.17%) p = 0.004 OR:0.01 CI: (0.0008–0.27) | 0/76 (0%) vs. 4/24 (16.67%) p = 0.02 OR:0.02 CI: (0.001–0.57) |
| Low NLR vs. high NLR RC IIB patients | 4/36 (11.11%) vs. 5/9 (55.56%) p = 0.007 OR:0.10 CI: (0.01–0.53) | 2/36 (5.56%) vs. 6/9 (66.67%) p = 0.0005 OR:0.02 CI: (0.004–0.21) | 1/36 (2.78%) vs. 3/9 (33.34%) p = 0.04 OR:0.1 CI: (0.01–0.99) |
| Low NLR vs. high NLR RC III patients | 12/34 (35.29%) vs. 24/31 (77.42%) p = 0.001 OR:0.15 CI: (0.05–0.47) | 7/34 (20.59%) vs. 25/31 (80.65%) p < 0.0001 OR:0.06 CI: (0.01–0.21) | 4/34 (11.76%) vs. 21/31 (67.74%) p = 0.02 OR:0.05 CI: (0.005–0.64) |
| Amputation | Mortality | Amputation and Mortality | |
| Low PLR vs. high PLR All patients | 14/128 (10.94%) vs. 43/82 (52.44%) p < 0.0001 OR:0.11 CI: (0.05–0.22) | 11/128 (8.59%) vs. 36/82 (43.9%) p < 0.0001 OR:0.12 CI: (0.05–0.25) | 6/128 (4.69%) vs. 27/82 (32.93%) p < 0.0001 OR:0.10 CI: (0.03–0.25) |
| Low PLR vs. high PLR RC IIA patients | 4/74 (5.41%) vs. 8/26 (30.77%) p = 0.002 OR:0.12 CI: (0.03–0.47) | 2/74 (2.7%) vs. 5/26 (19.23%) p = 0.01 OR:0.11 CI: (0.02–0.64) | 1/74 (1.35%) vs. 3/26 (11.54%) p = 0.056 OR:0.10 CI: (0.01–1.05) |
| Low PLR vs. high PLR RC IIB patients | 3/35 (8.57%) vs. 6/10 (60%) p = 0.001 OR:0.06 CI: (0.01–0.35) | 3/35 (8.57%) vs. 5/10 (50%) p = 0.006 OR:0.09 CI: (0.01–0.52) | 1/35 (2.86%) vs. 3/10 (30%) p = 0.02 OR:0.06 CI: (0.006–0.76) |
| Low PLR vs. high PLR RC III patients | 7/19 (36.84%) vs. 29/46 (63.04%) p = 0.057 OR:0.34 CI: (0.11–1.03) | 6/19 (31.58%) vs. 26/46 (56.52%) p = 0.07 OR:0.35 CI: (0.11–1.09) | 4/19 (21.05%) vs. 21/46 (45.65%) p = 0.07 OR:0.31 CI: (0.09–1.10) |
| Variables | Amputation | Mortality | Amputation and Mortality | ||||||
|---|---|---|---|---|---|---|---|---|---|
| OR | 95% CI | p-Value | OR | 95% CI | p-Value | OR | 95% CI | p-Value | |
| AF | 1.35 | 0.66–2.73 | 0.405 | 1.67 | 0.80–3.47 | 0.169 | 1.95 | 0.87–4.40 | 0.104 |
| MI | 1.27 | 0.67–2.41 | 0.454 | 1.21 | 0.61–2.38 | 0.583 | 1.02 | 0.46–2.25 | 0.949 |
| Stroke | 1.34 | 0.69–2.62 | 0.378 | 1.53 | 0.76–3.09 | 0.229 | 1.42 | 0.64–3.16 | 0.385 |
| Tobacco | 1.65 | 0.85–3.20 | 0.137 | 1.12 | 0.57–2.23 | 0.728 | 1.16 | 0.52–2.54 | 0.710 |
| RC IIA | 0.197 | 0.09–0.40 | <0.001 | 0.13 | 0.05–0.31 | <0.001 | 0.11 | 0.03–0.34 | <0.001 |
| RC IIB | 0.609 | 0.27–1.36 | 0.227 | 0.69 | 0.30–1.62 | 0.405 | 0.45 | 0.15–1.37 | 0.164 |
| RC III | 7.33 | 3.73–14.26 | <0.001 | 8.40 | 4.08–17.31 | <0.001 | 10.70 | 4.48–25.56 | <0.001 |
| High NLR | 11.09 | 5.48–22.42 | <0.001 | 22.24 | 9.61–51.47 | <0.001 | 21.93 | 7.91–60.79 | <0.001 |
| High PLR | 8.97 | 4.44–18.16 | <0.001 | 8.32 | 3.90–17.73 | <0.001 | 9.98 | 3.89–25.55 | <0.001 |
Publisher’s Note: MDPI stays neutral with regard to jurisdictional claims in published maps and institutional affiliations. |
© 2022 by the authors. Licensee MDPI, Basel, Switzerland. This article is an open access article distributed under the terms and conditions of the Creative Commons Attribution (CC BY) license (https://creativecommons.org/licenses/by/4.0/).
Share and Cite
Arbănași, E.M.; Mureșan, A.V.; Coșarcă, C.M.; Kaller, R.; Bud, T.I.; Hosu, I.; Voidăzan, S.T.; Arbănași, E.M.; Russu, E. Neutrophil-to-Lymphocyte Ratio and Platelet-to-Lymphocyte Ratio Impact on Predicting Outcomes in Patients with Acute Limb Ischemia. Life 2022, 12, 822. https://doi.org/10.3390/life12060822
Arbănași EM, Mureșan AV, Coșarcă CM, Kaller R, Bud TI, Hosu I, Voidăzan ST, Arbănași EM, Russu E. Neutrophil-to-Lymphocyte Ratio and Platelet-to-Lymphocyte Ratio Impact on Predicting Outcomes in Patients with Acute Limb Ischemia. Life. 2022; 12(6):822. https://doi.org/10.3390/life12060822
Chicago/Turabian StyleArbănași, Emil Marian, Adrian Vasile Mureșan, Cătălin Mircea Coșarcă, Réka Kaller, Theodor Ioan Bud, Ioan Hosu, Septimiu Toader Voidăzan, Eliza Mihaela Arbănași, and Eliza Russu. 2022. "Neutrophil-to-Lymphocyte Ratio and Platelet-to-Lymphocyte Ratio Impact on Predicting Outcomes in Patients with Acute Limb Ischemia" Life 12, no. 6: 822. https://doi.org/10.3390/life12060822
APA StyleArbănași, E. M., Mureșan, A. V., Coșarcă, C. M., Kaller, R., Bud, T. I., Hosu, I., Voidăzan, S. T., Arbănași, E. M., & Russu, E. (2022). Neutrophil-to-Lymphocyte Ratio and Platelet-to-Lymphocyte Ratio Impact on Predicting Outcomes in Patients with Acute Limb Ischemia. Life, 12(6), 822. https://doi.org/10.3390/life12060822

