Next Article in Journal
Self-Assembled Nanomicellar Formulation of Docetaxel as a Potential Breast Cancer Chemotherapeutic System
Next Article in Special Issue
Biogas Production Potential of Thermophilic Anaerobic Biodegradation of Organic Waste by a Microbial Consortium Identified with Metagenomics
Previous Article in Journal
How to Work with Electromyography Decomposition in Practical Classes of Exercise Physiology and Biomechanics
Previous Article in Special Issue
The Anti-Genotoxic Activity of Wastewaters Produced after Water-Steam Distillation of Bulgarian Rosa damascena Mill. and Rosa alba L. Essential Oils
 
 
Font Type:
Arial Georgia Verdana
Font Size:
Aa Aa Aa
Line Spacing:
Column Width:
Background:
Article

Application of Sewage Sludge in a Rice (Oryza sativa L.)-Wheat (Triticum aestivum L.) System Influences the Growth, Yield, Quality and Heavy Metals Accumulation of Rice and Wheat in the Northern Gangetic Alluvial Plain

by
Surendra Singh Jatav
1,
Satish Kumar Singh
1,*,
Manoj Parihar
2,
Amnah Mohammed Alsuhaibani
3,
Ahmed Gaber
4 and
Akbar Hossain
5,*
1
Department of Soil Science and Agricultural Chemistry, Institute of Agricultural Sciences, Banaras Hindu University, Varanasi 221005, Uttar Pradesh, India
2
ICAR-Vivekananda Parvatiya Krishi Anusandhan Sansthan, Almora 263601, Uttarakhand, India
3
Department of Physical Sport Science, College of Education, Princess Nourah bint Abdulrahman University, P.O. Box 84428, Riyadh 11671, Saudi Arabia
4
Department of Biology, College of Science, Taif University, P.O. Box 11099, Taif 21944, Saudi Arabia
5
Department of Agronomy, Bangladesh Wheat and Maize Research Institute, Dinajpur 5200, Bangladesh
*
Authors to whom correspondence should be addressed.
Life 2022, 12(4), 484; https://doi.org/10.3390/life12040484
Submission received: 4 March 2022 / Revised: 24 March 2022 / Accepted: 25 March 2022 / Published: 27 March 2022
(This article belongs to the Special Issue The Role of Renewable Resources for Ecology and Human Health)

Abstract

:
For a sustainable and profitable agriculture production system, balanced and integrated use of nutrients is a key strategy. In addition, partial replacement of chemical fertilizers with organics ones reduces both environmental concerns and economic costs and provides greater soil health benefits. With this hypothesis, an experiment was conducted to assess the yield and economic benefits of a rice-wheat cropping system (RWCS) as influenced by the joint application of sewage sludge (SSL) and fertilizer. The treatments comprised: without fertilizer or SSL; 100% recommended dose of fertilizers (RDF); 100% RDF + 20 Mg ha−1 SSL; 100% RDF + 30 Mg ha−1 SSL; 50% RDF + 20 Mg ha−1 SSL; 60% RDF + 20 Mg ha−1 SSL; 70% RDF + 20 Mg ha−1 SSL; 50% RDF + 30 Mg ha−1 SSL; 60% RDF + 30 Mg ha−1 SSL and 70% RDF + 30 Mg ha−1 SSL. The experiment was laid out in a randomized block design with three replications. The result of our study indicate that the highest percent increase in mean plant height i.e., ~14.85 and ~13.90, and grain yield i.e., ~8.10 and ~18.90 for rice and wheat, respectively, were recorded under 100% RDF + 30 Mg SSL ha−1 treatment compared to 100% RDF, while 70% RDF + 20 Mg ha−1 SSL produced a statistically equivalent grain yield of 100% RDF in RWCS. The application of 20 and 30 Mg SSL ha−1 along with recommended or reduced fertilizer dose, significantly increased the heavy metal content in plant and soil systems above that of 100% RDF, but this enhancement was found within permissible limits. Moreover, the reduced use of SSL i.e., 20 Mg SSL ha−1, resulted in lower heavy metal content in grain and soil than did the 30 Mg ha−1 SSL treatment, but significantly higher than in the absolute control or 100% RDF treatment. In summary, the use of 20 Mg ha−1 SSL along with 70% RDF provided a safer, profitable and sustainable option in a rice-wheat cropping system in the middle Ganegatic alluvial plain.

1. Introduction

A rice-wheat cropping system (RWCS) is the main cropping pattern occupying 24 million hectares (Mha) of cultivated land in the Indo-Gangetic Plains (IGP) in South Asian subtropics and China [1]. This covers an area of 13.5 Mha in the IGP. Out of this 10, 2.2, 0.8 and 0.5 Mha lie in India, Pakistan, Bangladesh, and Nepal, respectively, and the remainder of 10.5 Mha is found in China [1,2,3]. Therefore, it was judged suitable to use with a test crop in the present study. In RWCS, nutrient removal occurs more than replenishment with the application of chemical fertilizer [4]. This situation is anticipated to worsen in the future, as more food needs to be produced to feed an ever-increasing population. As a result, the use of organic amendments with chemical fertilizers is to be encouraged in order to maintain soil fertility for sustainable agriculture [5]. In sustainable agricultural, the use of traditionally applied inorganic fertilizers cannot be over-emphasized because of the high fertilizer cost and their negative impact on the soil environment. Therefore, the substitution of available organic wastes is required [6,7]. The long-term and continuous uptake of nutrients from soils without adding organic manure leads to land degradation. The intensive application of inorganic fertilizers also decreases soil quality due to salt accumulation (Cl and SO42−) in the rhizosphere zone [8]. Hence, there is an imperative need to select suitable organic manure for replacement or reduce inorganic fertilizer doses in the RWCS.
Different organic manure and waste occur in nature, but due to continuous urbanization, a vast amount of sewage sludge (SSL) is being produced which can also be used as manure for improving agricultural production and to mitigate environmental concerns [9] with economic feasibility [10]. Sewage sludge is a heterogeneous mixture of undigested organic materials such as cellulose, plant residues, oil or faecal material, and inorganic materials [11]. In developing countries, the number of sewage treatment plants is increasing due to growing urbanization and development. In India, around 100,000 million tons (Mt) SSL or soil waste is generated annually from 59 cities [12]. Sewage sludge (semi-solid material) is produced during the sewage treatment process [6]. Application of SSL in soil improves the availability of nutrients, soil water retaining capacity, soil structure, and porosity [13,14,15,16], and maintains organic matter [17,18] thereby reducing the need for synthetic fertilizer [19]. Earlier studies on SSL with chemical fertilizer application have shown improved growth, yield and yield of the crop, [20] as well as better macronutrient and micronutrient status [21] and amplification of microbial counts in the soil [7]. In agriculture, the combined use of chemical fertiliser with SSL as a source of nutrients improves soil fertility and farm profitability [22,23,24]. Integrated use of chemical fertilizers along with SSL has shown better yield performance, improvement in mineralizable nitrogen (N) and microbial biomass [12,25]. Several researchers also reported that the sludge can be used as an amendment option for degraded land, which improves soil physical properties, i.e., bulk density, micro aggregate, water retention, porosity, and hydraulic conductivity [26] as compared to inorganic fertilizer due to its carbon enriched nature. However, in addition, sludge has causes some undesirable modifications, such as a decline in pH, rise in salinity, and heavy metal content in soil [16]. Thus, its agricultural application requires monitoring to avoid the risk of heavy metal contamination in the soil and plant system [27].
The novelty of the present study is the integrated and balanced utilization of SSL and inorganic fertilizer for sustainable growth of crops. Sewage sludge has low-cost and easily available in urban areas and could substitute for farmyard manure (FYM). The current study was conducted (i) to determine the effect of joint application of SSL with chemical fertilizer on growth and yield of rice and wheat, (ii) to determine the effect of SSL with chemical fertilizer on the protein content of rice and wheat and (iii) to evaluate the effect of joint application of SSL with chemical fertilizer on bioaccumulation of heavy metals in RWCS. It is hypothesized that the joint application of SSL and fertilizer in a proper combination may positively influence the growth, yield and quality of RWCS in the middle Ganegatic alluvial plain.

2. Materials and Methods

2.1. Experimental Site

An experiment with two cropping cycles of rice (Oryza sativa; Arize 6444)–wheat (Triticum aestivum; HD 2967) was completed in 2015–2016 (I-rice and I-wheat) and 2016–2017 (II-rice and II-wheat). The present investigation comprised the next two cycles of rice-wheat set up in 2017–2018 (III-rice and III-Wheat) and 2018–2019 (IV-Rice and IV-wheat) without disturbing the field design of the previous experiment at the Agricultural Research Farm, Banaras Hindu University, Varanasi (UP), India. This farm is situated in the Northern Gangetic Alluvial (Inceptisol) Plain (128.93 m asl; latitude 25°19′ N, and longitude 83° E) (Figure 1).

2.2. Weather and Soil Condition

The region has semi-arid to sub-humid climatic conditions. Annual mean rainfall received during the experimentation was 727.75 mm and 1121.10 mm between 2017–2018 and 2018–2019, respectively, and 75% of this amount was received from June to September (Figure 2).
The experimental soil was alkaline in nature (pH 8.24), non-saline (EC 0.15 dS m−1), low in organic carbon content (4.60 g kg−1), low in available N (141.72 kg ha−1), medium in available P (17.42 kg ha −1), medium in available K (132.74 kg ha−1) and medium in sulfur content (14.65 mg kg−1). The DTPA-extractable Fe, Cu, Zn, Mn Pb, Cd, Cr, and Ni contents in the initial soil were 42.65, 2.17, 1.02, 11.41, 0.55, 2.12, 9.24 and 6.79 mg kg−1, respectively.

2.3. Characteristics of Sewage Sludge

SSL of domestic origin was collected from a Sewage Treatment Plant (STP) in Bhagwanpur, Varanasi, in the month of May 2017. For further analysis, a composite sample was ground and passed through a 2 mm sieve and stored in a polythene bag. The SSL used in the experiment had pH 7.02, EC: 3.25 dS m−1, organic carbon: 7.98%, total N: 1.85%, total P: 1.40% and total K: 1.20%. According to the Council of the European Communities [28], the maximum permissible limits (MPLs) for potentially toxic elements such as Zn, Cu, Cd, Pb, Ni and Cr in sludge used in agricultural soils are 2500, 1000, 20, 750, 300 and 750 mg kg−1, respectively. The sludge used for the study contained 200, 247, 8, 52, 17 and 44 mg kg−1 of Zn, Cu, Cd, Pb, Ni and Cr, respectively. Thus, all the heavy metals were within the MPL.

2.4. Experimental Design and Treatments

The experiment was conducted in a randomized block design with different recommended doses of fertilizers (RDF), i.e., 150 (N), 75 (P2O5) and 75 (K2O) kg ha−1 for rice, and 120 (N), 60 (P2O5) and 60 (K2O) kg ha−1 for wheat, and SSL levels which were replicated in triplicate. Treatments in the present study were as follows: T0: (no NPK or SSL); T1 100% RDF, T2 (T1 + SSL 20 Mg ha−1); T3 (T1 + SSL 30 Mg ha−1); T4 (50% RDF + SSL 20 Mg ha−1); T5 (60% RDF + SSL 20 Mg ha−1); T6 (70% RDF + SSL 20 Mg ha−1); T7 (50% RDF + SSL 30 Mg ha−1); T8 (60% RDF + SSL 30 Mg ha−1) and T9 (70% RDF + SSL 30 Mg ha−1). A half dose of N and a full dose of P2O5 and K2O were applied at the time of transplanting/sowing of the crops, while the remaining N fertilizer was applied in two equal parts at 30 and 60 days after transplanting or days after sowing (DAT/DAS). The RDF was applied in both the crop and season as per the mentioned treatments. However, SSL (dry weight basis) was applied only once and was spread in the various plots as per treatments and thoroughly mixed with soil one week before the start of the third cycle of rice-wheat.

2.5. Data and Collection Procedures

Randomly, five plants from each plot were selected and labelled. The height of both rice and wheat plants was measured using a meter-rod from the base to the tip of the topmost leaf of the plant at 30, 60, and 90 DAT/DAS and the harvest stage, and then averaged. The leaf greenness of the plants (SPAD chlorophyll value) was measured at 30, 60, and 90 DAT/DAS in the uppermost fully expanded leaf using a SPAD-502 (SPAD-502 Plus Konica Minolta). Five representative panicles from rice and the ear from wheat were sampled and grain number in each was recorded. Length (cm) of the panicle/ear was measured from the base of the topmost spikelet. From the yield of the net plot of each experimental unit, 1000 grains were counted and their weight was recorded. The harvest index (HI) was calculated using the following formula:
Harvest   Index = Grain   yield   ( kg   ha 1 ) Biological   yield   ( kg   ha 1 ) × 100

2.6. Plant, Soil and Sewage Sludge Analyses

Rice and wheat grain samples were washed sequentially in detergent solution (0.2% liquid), 0.1 N HCl solution and deionized water then dried at 65 °C until a constant was weight achieved. Nitrogen concentration was determined by digestion (H2SO4), distillation and a titrimetric method using a standard Kjeldahl Auto analyzer (DISTYL-EM; Pelican, CIT Nagar, Chennai, Tamil Nadu) procedure [29]. Grain samples were digested in a di-acid mixture (HNO3:HClO4::3:1 v/v) for the estimation of Cd, Cr, Ni and Pb using an atomic absorption spectrophotometer (Agilent FS-240, 5301 Stevens Creek Blvd, Santa Clara, CA, USA) as per the procedure outlined by [30].After processing, soil samples were analyzed for soil reaction (pH) and electrical conductivity (EC) [31], organic carbon [32], available nitrogen by the alkaline potassium permanganate method [33], available phosphorus by spectrophotometry [34], available potassium by flame photometry [35], and available sulphur by a turbidimetric method [36], and DTPA extractable Zn, Cu, Mn, Fe, Pb, Cd, Cr, and Ni [37] were analyzed by atomic absorption spectrophotometry (AAS) (Agilent FS-240). Total N, P and K content in SSL was analyzed by the methods outlined by [38]. Total heavy metals (Cd, Cr, Ni and Pb) in SSL were analyzed by an aqua regia digestion procedure which consist of digesting SSL samples digested on a hot plate with a mixture of HCl and HNO3 (3:1 v/v) [39] followed by analysis using AAS (Agilent FS-240) as per the procedure outlined by [40]. After completion of the experiment (IV-wheat), total heavy metal (Pb, Cd, Cr, and Ni) content in post-harvest soil was determined by AAS using aqua regia (HCl:HNO3::3:1 v/v) digestion [39]. The certified reference standards (CRS) for Pd (5190–8287), Cd (5190–8270), Cr (5190–8275), and Ni (5190–8298) were purchased from Agilent, 5301 Stevens Creek Blvd, Santa Clara, CA 95051, USA. To control analytical precision, quality control check samples were taken from materials with parameters of known value and set at concentrations near the midpoint of the calibration range. The recovery rate of Pd, Cd, Cr, and Ni were 97.2, 98.5, 96.4, and 98.8%, respectively.
The protein content in grain was calculated by multiplying N (%) in the grain of rice and wheat by a factor of 6.25 [41].

2.7. Statistical Data Analysis

The data were statistically analysed using one-way analysis of variance (ANOVA) in SPSS Inc., Chicago Ver. 22. Duncan’s multiple range test (DMRT) was used to test the significance of the difference between the treatments at the 5% level. Figures were drawn using Sigma plot 12.5 software and Microsoft Excel 2016.

3. Results and Discussion

3.1. Effect of Joint Application of Sewage Sludge and Fertilizers on the Growth of Rice and Wheat

The effect of joint application of SSL with chemical fertilizer (CF) at different growth stages (30, 60, 90 DAT/DAS and harvest stage) of rice and wheat crop is presented in Table 1 and Table 2. The greatest plant height was measured in treatment T3, i.e., the combination of 30 Mg ha−1 SSL + 100% RDF (104.22 cm) followed by T2, i.e., 20 Mg ha−1 SSL + 100% RDF (102.41 cm) at the harvest stage of III-rice and these treatments having significantly increased height compared to 100% RDF. However, treatment T2 i.e., 20 Mg ha−1 SSL + 100% RDF and T3 i.e., 30 Mg ha−1 SSL + 100% RDF were found to be statistically similar with respect to plant height at the harvest stage. A similar trend was noticed in III-wheat. During 2018–2019, the maximum plant height for IV-rice (102.32) and IV-wheat (103.80) at harvest stage was recorded in treatments T3 (30 Mg ha−1 SSL + 100% RDF), significantly greater than T1 (100% RDF). However, T3 (30 Mg ha−1 SSL + 100% RDF) was statistically at par with treatment T2 (20 Mg ha−1 SSL + 100% RDF) in IV-rice and IV-wheat. In IV-wheat crop, application of 20 Mg ha−1 SSL + 100% RDF (T2) and 30 Mg ha−1 SSL + 100% RDF (T3) significantly increased plant height over 100% RDF (Table 1 and Table 2).
There was a significant reduction in plant height in T4 (50% RDF + 20 Mg ha−1 SSL) and T5 (60% RDF + 20 Mg ha−1 SSL), whereas T6 (70% RDF + 20 Mg ha−1 SSL), T7 (50% RDF + 30 Mg ha−1 SSL), T8 (60% RDF + 30 Mg ha−1 SSL) and T9 (70% RDF + 30 Mg ha−1 SSL) were at par with T1 (100% RDF). The plant heights in treatment T2 (100% RDF + 20 Mg ha−1 SSL) and T3 (100% RDF + 30 Mg ha−1 SSL) at harvest were 13.62 and 15.63% higher than T1 (100% RDF) in III-rice crop, and in IV-rice the same treatment had respective increases by 10.70 and 14.08% over T1 (100% RDF).
In the case of III-wheat, the respective increases in T2 (100% RDF + 20 Mg ha−1 SSL) and T3 (100% RDF + 30 Mg ha−1 SSL) were 11.82 and 15.09%, and for IV-wheat, 8.94 and 11.90% over T1 (100% RDF). It was observed that at all the growth stages (30, 60 and 90 DAT/DAS), T3 (30 Mg ha−1 SSL + 100% RDF) and T2 (20 Mg ha−1 SSL + 100% RDF) showed the highest plant heights in rice and wheat crops (Table 1 and Table 2).
It is well-known that applying SSL with CF to croplands can enhance plant height. According to Latare et al. [21] combining SSL with chemical fertilizers may improve soil fertility and increase the availability of nitrogen and trace elements to plants, thus indirectly enhanced plant development. The addition of SSL with CF enhances the direct availability of N and P from chemical fertilizers, and indirect or slow-release from SSL, which results in increased leaf area and higher dry matter accumulation [42,43]. Thus, the improvement of soil fertility associated with the application of SSL and CF would have supported improved rice and wheat plant growth. Similarly, Zhang et al. [44] revealed a significant increase in rice plant height by greater soil fertility and nutrient status after applying SSL amendments. Our findings also resemble the work of Rehman and Qayyum [45], who reported a significant influence of SSL compost on crop productivity and biomass accumulation in rice and wheat crops.

3.2. Leaf Greenness (SPAD) at Different Growth Stages of Rice and Wheat

The data presented in Figure 3 show a significant increase of leaf greenness (chlorophyll content) in rice and wheat due to the joint application of SSL and CF in both years.
Maximum leaf greenness was measured in T3 (100% RDF + 30 Mg ha−1 SSL) followed by T2 (100% RDF + 20 Mg ha−1 SSL), and the minimum was in T0 (without SSL and CF). Treatment T3 (100% RDF + 30 Mg ha−1 SSL) and T2 (100% RDF + 20 Mg ha−1 SSL) had significantly increased leaf greenness over T1 (100% RDF) in III-rice, whereas these treatments were statistically similar with 100% RDF (T1) in III-Wheat.
However, the treatments from T4 toT9 showed a non-significant difference of T1 in terms of leaf greenness in III-rice and III-wheat in the year 2017–2018. Similarly, the treatments T2 (100% RDF + 20 Mg ha−1 SSL) and T3 (100% RDF + 30 Mg ha−1 SSL) were found statistically at par with each other in III-rice and III-wheat. During 2018–2019, the leaf greenness ranged from 24.84 to 44.01 and 25.13 to 43.27 SPAD in IV-Rice and IV-Wheat, respectively. The maximum leaf greenness in IV-Rice and IV-wheat, during both years was seen in T3, i.e., the combination of 30 Mg ha−1 SSL + 100% RDF at 30 DAT/DAS.
Although, it was noticed that the T3 (100% RDF + 30 Mg ha−1 SSL), treatment was statistically at par with T1 (100% RDF), T2 (100% RDF + 20 Mg ha−1 SSL), T6 (70% RDF + 20 Mg ha−1 SSL), T8 (60% RDF + 30 Mg ha−1 SSL), and T9 (100% RDF + 30 Mg ha−1 SSL), it was significantly superior over the rest of the treatments in terms of leaf greenness in IV-rice and IV-wheat at 30 DAT during the year 2018–2019. An almost similar trend was observed with the leaf greenness recorded at 60 and 90 DAT/DAS. AT 60 DAT/DAS, a slight increase in plant leaf greenness was noticed compared to observations at 30 DAT/DAS, whereas at 90 DAT, a decrease was noticed compared to 30 and 60 DAT/DAS. Chlorophyll content (SPAD) directly influences the photosynthetic rate of plants. The increase in assimilatory pigments content in leaves was observed when crops were grown in SSL-amended soil. Romani and Beltarre [46] found that repeated 7 years of treatment with SSL (3.7 Mg ha−1) resulted in a significant increase in chlorophyll content (SPAD index). Latare et al. [43] reported that at 30 days after transplanting and sowing (DAT/DAS) in rice and wheat, leaf greenness index did not increase but increased significantly at 60 and 90 DAT/DAS. This might be because Fe, Mg, and Mn contents in the SSL, are liberated after decomposition of SSL and remain directly associated with chlorophyll synthesis [47,48].

3.3. Effect of Sewage Sludge and Fertilizers on Yield Attributes of Rice and Wheat

The panicle/ear length (cm) ranged between 18.26–37.61 and 12.99–35.95 with mean values of 29.49 and 27.15 in III-Rice and IV-rice, respectively whereas the corresponding value in III-wheat and IV-wheat varied between 6.09–15.54 and 5.90–15.16 with a mean value of 11.89 and 11.28 (Table 3). It was observed that for the rice crop, the significantly highest length of the panicle (37.61 and 35.95 cm) was recorded with T3 (100% RDF + 30 Mg ha−1 SSL) followed by T2 (34.61 and 32.87 cm) during both years, respectively. An almost similar trend was noticed during both years of wheat experimentation. In III-Rice, a significant increase was recorded with T2 (18.16%) and T3 (28.41%) concerning panicle length. Similarly, the ear length of the wheat crop (III and IV) increased significantly in T3 (29.50 and 20.03%) over 100% RDF (Table 3). The result show that the application of SSL with CF increased ear/panicle length. This is due to the role of N in flowering, fruiting, and crop maturation, as well as seed formation. Latare et al. and Jamil et al. [21,49] reported an increase in spike length of wheat with different doses of SSL compared to the non-treated plot. A similar trend was observed in the wheat crop [50]. Zhang et al. [51] reinforced the results, finding that an adequate supply of organic wastes along with NPK fertilizer improves the yield attribute. Thus, combined application of SSL with chemical fertilizer in different levels appears beneficial with respect to yield attributes without showing any toxic effects on plants. The number of grains per panicle/ear (Table 3) varied from 54.44 to 154 and 15.36 to 41.02 in III-rice and III-wheat (2017–2018), respectively. Application of 30 Mg ha−1 SSL + 100% RDF resulted in the highest number of grains per panicle i.e., 154.41 and 41.02 in III-rice and III-wheat, respectively.
During 2018–2019, the maximum grains per panicle/ear for IV-rice (146.147) and IV-wheat (39.64) were measured in treatments T3 (30 Mg ha−1 SSL + 100% RDF). This was significantly superior to T1 in IV-rice but statistically similar in IV-wheat (Table 3). A significant reduction was noticed in grains per panicle in T4 (50% RDF + 20 Mg ha−1 SSL) and T5 (60% RDF + 20 Mg ha−1 SSL), whereas T6 (70% RDF + 20 Mg ha−1 SSL), T7 (50% RDF + 30 Mg ha−1 SSL), T8 (60% RDF + 30 Mg ha−1 SSL), and T9 (70% RDF + 30 Mg ha−1 SSL) were at par with T1 (100% RDF) in IV-rice. While, IV-wheat showed a marked reduction in T4 (50% RDF + 20 Mg ha−1 SSL) and T5 (60% RDF + 20 Mg ha−1 SSL), T6 (70% RDF + 20 Mg ha−1 SSL), T7 (60% RDF + 30 Mg ha−1 SSL), T8 (70% RDF + 30 Mg ha−1 SSL), and T9 (70% RDF + 30 Mg ha−1 SSL) were statistically at par with respect to grains per panicle. T2 (RDF 100% + SSL 20 Mg ha−1) was 22.06% higher than T1 (RDF 100%) in the III-rice crop, and in the case of IV-rice, the same treatment showed a 12.04% increase over T1 (RDF 100%).
In the case of III-wheat, T2 was 16.81% greater than T1 (100% RDF), whereas this increase was only 4.93% in the IV-wheat crop. Tamrabet et al. [52] found an increased number of grains spike−1 of wheat after treatment with 20, 30, and 40 Mg ha−1 SSL. Moreover, SSL seemed to be more beneficial l the crop than inorganic fertilizer. The SSL treatment statistically improved spike fertility and plant biomass at the heading and maturity stage. By applying SSL and fertilizer, the yield of both crops was significantly improved significantly in all the treatments compared to no fertilizer (Figure 4).
In both years, in rice and wheat crops, a significantly higher grain yield was documented in T3, with the combination of 30 Mg ha−1 SSL + 100% RDF, followed by T2 with 20 Mg ha−1 SSL + 100% RDF, compared to other treatments, whereas the lowest yield was recorded in WF (T0).
There was no significant difference within the rest of the treatments except T4 (50% RDF + 20 Mg ha−1 SSL) and T5 (60% RDF + 20 Mg ha−1 SSL) compared to only 100% RDF (T1) in IV-rice and IV-Wheat. The grain yield in treatment T2 (100% RDF + 20 Mg ha−1 SSL) and T3 (100% RDF + 30 Mg ha−1 SSL) of III-rice was higher by 7.75% and 11.42%, respectively, compared to treatment T1 where 100% RDF was applied. In the case of IV-rice, the grain yield of treatments T2 (100% RDF + 20 Mg ha−1 SSL) and T3 (100% RDF + 30 Mg ha−1 SSL) was higher by 2.44% and 4.83%, respectively, than T1 (100% RDF). With III-wheat, the grain yield of treatment T2 (20 Mg ha−1 SSL + 100% RDF) and T3 (30 Mg ha−1 SSL + 100% RDF) showed a respective increase of 15.55% and 22.75% over T1 (100% RDF), whereas, in the case of IV-wheat, treatment T2 (20 Mg ha−1 SSL + 100% RDF) and T3 (30 Mg ha−1 SSL + 100% RDF) showed only 9.12% and 15.20% yield increment over T1 (100% RDF).
During 2017–2018, in III-rice, application of 100% RDF resulted in statistically similar grain yield in all other treatments except T0 (WF). However, the yield of treatment T1, i.e., 100% RDF, was at par with 20 Mg ha−1 SSL when applied with reduced doses of CF (T4, T5 and T6), and also with 30 Mg ha−1 SSL with a reduced dose of CF (T7, T8 and T9). This provides the option of reducing the dose of RDF up to 50% when applied with SSL. A similar trend was observed for the grain yield of III–wheat. During 2018–2019, grain yield of IV-Rice in T1 (100% RDF) was statistically similar to T2 (20 Mg ha−1 SSL + 100% RDF), T3 (30 Mg ha−1 SSL + 100% RDF), T6 (20 Mg ha−1 SSL + 70% RDF), T7 (30 Mg ha−1 SSL + 50% RDF), T8 (30 Mg ha−1 SSL + 60% RDF) and T9 (30 Mg ha−1 SSL + 70% RDF). However, a significant reduction in grain yield was noticed in T4 (20 Mg ha−1 SSL + 50% RDF) and T5 (20 Mg ha−1 SSL + 60% RDF). An almost similar yield trend was observed for IV wheat. It is evident that providing only 50% RDF with 20 Mg ha−1 SSL resulted in yields similar to 100% RDF for the first two crops. However, in subsequent years, i.e., IV-rice and IV-wheat, due to a decrease in the residual effect of SSL (applied in III-rice), the amount of chemical fertilizer had to be increased to 70% RDF with SSL (20 Mg ha−1 SSL + 70% RDF) to obtain similar grain yield to that of 100% RDF. There is a strong relationship between yield attributes and yield, particularly with respect to grain number in the panicle/ear. It was noted that the joint application of SSL with chemical fertilizer treatments increased different yield indicators, such as effective tillers and the weight of 1000 grains, thus producing higher grain yield (Figure 4). It was found that the use of SSL in RWCS had the potential to substitute half the dose of fertilizers. The yield increment could be explained by the fact that SSL as a source of organic matter contains various nutrients (macro and micro) and provides them to crops slowly after their decomposition [53]. Thus, improved number of grains per panicle/ear, panicle/ear length, and tillers of rice and wheat were positively correlated with joint application of SSL and chemical fertilizer during both years. The results of the present study are supported by Rehman and Qayyum [45], who noted that SSL treatment increased the growth and yield of rice and wheat, which might be due to higher uptake of water and nutrients by plants.
Data depicted in Figure 4 show that joint application of chemical fertilizer and SSL produced significantly higher straw yield than without fertilization (T0) but was at par with T1 (100% RDF) in both years. Among all the treatments, T3 (100% RDF + 30 Mg ha−1 SSL) had the highest straw yield of the rice crop (8150 and 7896 kg ha−1) and wheat crop (5695 and 5599 kg ha−1), respectively, during the course of the experiments. In III-rice, the straw yield of treatments T2 (100% RDF + 20 Mg ha−1 SSL), T3 (100% RDF + 30 Mg ha−1 SSL), and T9 (70% RDF + 30 Mg ha−1 SSL) increased by 4.07, 5.98, and 0.07%, respectively, compared to treatment T1 where 100% RDF was applied. In the case of IV-rice, treatment T2 (100% RDF + 20 Mg ha−1 SSL) and T3 (100% RDF + 30 Mg ha−1 SSL) produced 1.10 and 2.64% higher straw yield compared to the T1. With the III-wheat crop, straw yield of treatment T2 (20 Mg ha−1 SSL + 100% RDF), T3 (30 Mg ha−1 SSL + 100% RDF) and T9 (30 Mg ha−1 SSL + 70% RDF) showed 8.83, 13.18 and 1.58% increments over 100% RDF (T1), whereas, in the case of IV-wheat, only treatment T2 (20 Mg ha−1 SSL + 100% RDF) and T3 (30 Mg ha−1 SSL + 100% RDF) showed a positive increment in straw yield over 100% RDF (T1). Greater leaf chlorophyll contents improve photosynthetic rate, which results in higher crop biomass and yield. The joint application of SSL with chemical fertilizer improves nutrient availability to the plants which improves their root development, the number of tillers, leaves count and ultimately higher straw production. Similar results were reported by Jamil et al. [49] and Al-Mustafa et al. [54].
From two years of pooled experimental data, it was found that grain and straw yield of rice and wheat considerably increased or decreased compared to 100% RDF (T1) (Figure 5). Application of 30 Mg ha−1 SSL + 100% RDF (T3) had maximum enhancement of grain yield in rice (8.1%) over 100% RDF (T1) followed by the 20 Mg ha−1 SSL + 100% RDF plot (5.1%). Application of a reduced dose of CF i.e., 50, 60, and 70% of RDF, along with 20 or 30 Mg ha−1 SSL i.e., T4 (50% RDF + 20 Mg ha−1 SSL), T5 (60% RDF + 20 Mg ha−1 SSL), T6 (70% RDF + 20 Mg ha−1 SSL), T7 (50% RDF + 30 Mg ha−1 SSL), T8 (60% RDF + 30 Mg ha−1 SSL) and T9 (70% RDF + 30 Mg ha−1 SSL) resulted in 15, 10, 2.9, 4.9 1.6 and 0.3% reductions in rice grain yield over T1, respectively. However, the greatest decrease was seen in the T0 treatment (72.9%).
Concerning wheat, the highest increase in grain production over 100% RDF (T1) was recorded in T3 (30 Mg ha−1 SSL + 100% RDF; 18.9%) followed by 20 Mg ha−1 SSL + 100% RDF (T2), 20 Mg ha−1 SSL + 70% RDF (T6), 30 Mg ha−1 SSL + 60% RDF (T8; 3.3%) and 30 Mg ha−1 SSL + 70% RDF (T9; 4.5%). An almost parallel trend was recorded with respect to the straw yield of rice and wheat. The highest increment in straw yield of rice (4.51%) and wheat (11.3%) over T1 (100% RDF).was seen in T3 (30 Mg ha−1 SSL + 100% RDF). Application of SSL with CF increased the grain and straw of rice and wheat yield percentage compared to 100% RDF due to slow release of nutrients from SSL throughout the period of crop growth, this finding being in accordance with the results of [22]. Application of any kind of fertilizer resulted in a greater response in wheat crop compared to rice due to different cultivation practices of rice and wheat. Yadav et al. [55], Gami et al. [56] and Bhatt et al. [57] stated that long-term integrated use of manure and fertilizers practiced in RWCS produces higher wheat yield than rice over only chemically fertilized plots.

3.4. Sewage Sludge and Fertilizers Influence the Harvest Index and Test Weight of Rice and Wheat

Data pertaining to HI as affected by the joint application of SSL and fertilizer as shown in Table 4. Among all the treatments, T3 (100% RDF + 30 Mg ha−1 SSL) produced the highest HI in rice (45.00 and 44.67) and wheat crops (47.97 and 47.19) during both years. Significantly lower HI was recorded in T0 in the rice crop (28.83 and 27.15) and in the wheat crop (38.66 and 36.12) during both years. Latare et al. [21], stated that an SSL treatment improved HI significantly in wheat but was non-significant in rice. This might be due to additional nutrients available to residual grown wheat from SSL-altered soil.
The data with respect to 1000 grain weight (test weight) of rice and wheat are shown in Table 4. Among all the treatments, T3 (100% RDF + 30 Mg ha−1 SSL) had the highest test weight in the rice (25.88 and 25.80) and wheat crop (33.86 and 33.18) during 2017–2018 and 2018–2019, respectively. In the III-Rice crop, T2 (100% RDF + 20 Mg ha−1 SSL) and T3 (100% RDF + 30 Mg ha−1 SSL) had 16.61% and 18.97% greater test weights in comparison to T1 (100% RDF). In the case of the IV-rice crop, T2 (100% RDF + 20 Mg ha−1 SSL) and T3 (100% RDF + 30 Mg ha−1 SSL) produced, respectively, 12.41% and 13.54% higher test weights over T1 (100% RDF), whereas, in the case of the III-wheat crop, the test weight in T2 (100% RDF + 20 Mg ha−1 SSL) and T3 (100% RDF + 30 Mg ha−1 SSL) was 9.10% and 12.99% higher than T1 (100% RDF), respectively. In the IV-wheat crop, T2 (20 Mg ha−1 SSL + 100% RDF) and T3 (30 Mg ha−1 SSL + 60% RDF) showed 2.50 and 6.61% higher test weights over 100% RDF (T1), respectively. The SSL-amended soil favoured vegetative growth, development, and maturity of rice and wheat. This can be explained by optimal uptake of trace, micronutrients, and macronutrients by crop plants that support various biochemical and physiological processes, resulting in higher vigour of seeds. Jamil et al. [49] reported a significant rise in 1000 grain weight of wheat with the use of SSL compared to control. Barbarick et al. [58] and Elsokkary et al. [59] also reported that SSL-based nutrient management improved the productivity of crop plants, including 1000 grain weight.

3.5. Sewage Sludge and Fertilizers Influence the Nitrogen (%) and Protein (%) of Rice and Wheat

Application of SSL and fertilizer significantly influenced the nitrogen concentration and protein content of rice and wheat crops during both years (Table 5).
A significantly higher concentration of N and protein content of rice (1.78 and 1.66%, 11.15 and 10.35%) and wheat (2.69 and 2.66, 16.81 and 14.13%) were recorded with 100% RDF + 30 Mg ha−1 SSL during 2017–2018 and 2018–2019, respectively, whereas the lowest was recorded in the non-fertilized plot. The treatments (T4–T9), which received a reduced dose of CF with SSL, were statistically at par with 100% RDF up to IV-Rice but in the case of IV-wheat, a significant reduction was noticed with treatments T4 (50% RDF + 20 Mg ha−1 SSL) and T5 (60% RDF + 20 Mg ha−1 SSL) with respect to N concentration (Table 5).
Protein content in treatments that received a reduced dose of CF with SSL, i.e., T4 to T9, were statistically similar to the 100% RDF treatment during the study. The addition of SSL with CF increased the grain N concentration, because both are a good source of N and resulted in a greater supply of N to the plant [60]. This effect was observed in SSL and RDF-fertilized plots in comparison to nonfertilized plots. The N in the soil helps the decomposition process and, as a result, the rate of decomposition in RDF with sludge-supplemented soils may be greater, leading to quicker SSL breakdown. Nitrogen is required for the synthesis of amino acids and increases the protein content of cereals considerably [61,62]. Yamur et al. [63] stated that SSL application improved protein content from 19.82 to 23.92% in lentils.

3.6. Sewage Sludge and Fertilizers Influence the Cadmium, Chromium, Nickel and Lead Concentration (mg kg−1) of Rice and Wheat

The SSL and fertilizer treatments had higher Cd concentration in rice and wheat grain compared to 100% RDF (Table 6) treatment. In III-Rice, the highest Cd concentration was observed in treatment T3 (100% RDF + 30 Mg ha−1 SSL) at 1.27 mg kg−1, followed by T9 (70% RDF + 30 Mg ha−1 SSL) at 1.19 mg kg−1, and T8 60% (RDF + 30 Mg ha−1 SSL) at 1.14 mg kg−1) which showed 184, 166 and 154% increases over T1 (100% RDF). An almost similar trend was seen in III-Wheat and the highest Cd concentration was observed in treatment T3 (100% RDF + 30 Mg ha−1 SSL) at 1.36 mg kg−1, followed by T9 (70% RDF + 30 Mg ha−1 SSL) at 1.26 mg kg−1, and T8 (60% RDF + 30 Mg ha−1 SSL) at 1.25 mg kg−1, which were 167, 146 and 144% higher that T1 (0.51 mg kg−1). The lowest Cd concentration was seen in T0 (0.33 mg kg−1) which was statistically lower than T1 (100% RDF).
During the 2018–2019 (IV-rice and IV-Wheat) season of the experiment, treatments receiving SSL with CF had significantly higher Cd concentrations then T1 in grains of IV-rice, and a similar trend was noticed in IV-wheat. In IV-Rice, the Cd concentration was in the order of: T3 (1.23 mg kg−1) > T9 (1.16 mg kg−1) > T8 (1.11 mg kg−1) > T2 (1.10 mg kg−1) > T7 (1.05 mg kg−1) > T6 (0.83 mg kg−1) = T5 (0.83 mg kg−1) > T4 (0.80 mg kg−1) > T1 (0.42 mg kg−1) > T0 (0.25 mg kg−1), with respective increases of 195, 178, 166, 163, 153, 99, 99 and 93% over T1 (0.42 mg kg−1). In IV-Wheat, the order was: T3 (167%) > T9 (150%) > T8 (148%) > T2 (145%) > T7 (141%) > T6 (88%) > T5 (85%) >T4 (74% increase) over T1 (100% RDF). Overall, the Cd concentration in grain increased with joint application of sewage sludge, i.e., 20 and 30 Mg ha−1, and full or reduced dose of CF, compared to 100% RDF. This study revealed that Cd concentration was highest (1.36 mg kg−1) in wheat grain but below the permissible limits of Cd, which are 4 mg kg−1 and 12 mg kg−1 in Poland and the Czech Republic, respectively [64]. Furthermore, the study also found that Cd accumulation in grain did not exceed the phytotoxic threshold level of 5–30 mg kg−1 [65]. The Cd concentration was low in rice compared to wheat in the grain. In comparison to wheat, the lower Cd content in rice could be explained due to the submergence condition. Under flooded condition, Cd forms insoluble compounds such as Cd sulfide and/or Cd carbonate which reduce its availability to the rice plants [66,67]. Greger [68], reported that magnification of heavy metals levels in plants is influenced by soil properties, SSL composition, the application rate of SSL, and elemental speciation [69].
The data pertaining to Cr concentration in grain (Table 6) showed significantly higher Cr concentration with all combined treatments of SSL with CF compared to RDF. During 2017–2018, the maximum Cr concentration in III-rice was recorded in treatment T3 (4.90) followed by T9 (4.85) and T8 (4.79), whereas in III-Wheat it was in treatment T3 (4.49) followed by T9 (4.34) and T2 (4.22), with a respective significant increase of 148, 146 and 143% in III-Rice and 156, 148 and 141% in III-wheat compared to 100% RDF (T1). During 2018–2019 (IV-rice and IV-Wheat), the maximum Cr concentration in IV-Rice (4.11 mg kg−1) and IV-wheat (3.55 mg kg−1) was recorded in T3 (30 Mg ha−1 SSL). The application of 20 and 30 Mg ha−1 SSL with full or reduced doses of CF (T2, T3, T4, T5, T6, T7, T8 and T9) significantly increased the Cr concentration in grain by 2.43, 2.86, 2.00, 2.06, 2.11, 2.37, 2.46 and 2.76 times in IV-Rice and 2.55, 2.79, 1.96, 1.99, 2.11, 2.24, 2.37 and 2.73 times in IV-Wheat, respectively, over 100% RDF (T1). The phytotoxic limit of Cr is 5–30 mg kg−1 [65]. This result indicates that Cr concentration in grain was within the acceptable limit and did not cross the phytotoxic threshold level.
The results show that the Ni concentration in III-rice varied from 7.65 to 19.00 mg kg−1, whereas, in III-wheat it ranged between 7.93 to 17.31 mg kg−1 (Table 7). During 2017–2018, the maximum Ni concentration in III-rice (19.00 mg kg−1) and III-wheat (17.31 mg kg−1) was recorded in treatment T3 (100% RDF + 30 Mg ha−1 SSL). The application of 20 and 30 Mg ha−1 SSL along with a full dose or reduced dose of CF significantly increased the Ni concentration in grains of III-rice and III-wheat compared to 100% RDF (T1). During 2018–2019, the Ni concentration in grain ranged between 7.35 to 5.48, and 6.28 to 14.35 mg kg−1, in IV-rice and IV-wheat, respectively. The greatest Ni concentration in IV-Rice (15.48 mg kg−1) and IV-wheat (14.35 mg kg−1) was recorded in T3 (100% RDF + 30 Mg ha−1 SSL). The application of 30 Mg ha−1 SSL along with a reduced dose of CF (50, 60, 70% of RDF), i.e., T7, T8 and T9 resulted in significant increases in Ni concentration in grains by 45, 48 and 61% in IV-rice, respectively, over 100% RDF (T1), whereas in IV-wheat, these treatments were statistically at par with T1 (100% RDF). All the treatments amended with 20 Mg ha−1 SSL along with a reduced dose of CF (50, 60, 70 of RDF), i.e., T4, T5 and T6, did not show a significant increase of Ni in grain compared to 100% RDF in both crops (IV-rice and IV-wheat). The Ni concentration was below the phytotoxic limit of 10–100 mg kg−1 as in [65]. Out of the various treatments (Table 7), T3 (100% RDF + 30 Mg ha−1 SSL) had the highest Pb concentration in III-rice grain (1.99) and III-wheat grain (1.94). The joint application of 20 and 30 Mg ha−1 SSL and full dose or reduced doses CF (T2, T3, T4, T5, T6, T7, T8 and T9) in III-rice significantly increased the Pb concentration in grain by 1.89, 2.34, 1.52, 1.57, 1.65, 1.77, 1.95 and 2.25 times, respectively, compared to 100% RDF. The corresponding increases of Pb concentration in III-wheat were 2.53, 2.88, 1.83, 1.91, 2.04, 2.08, 2.14 and 2.77 times.
During 2018–2019, (IV-rice and IV-wheat), all the treatments of SSL (T3–T9) were significantly higher in Pb concentration compared to 100% RDF. The Pb concentration in grain ranged from 0.40 to 1.81 and 0.37 to 1.53 mg kg−1 in IV-rice and IV-wheat, respectively. The highest Pb concentrations in IV-Rice (1.81 mg kg−1) and IV-Wheat (1.53 mg kg−1) were recorded in T3 (30 Mg ha−1 SSL). Treatments T2, T3, T4, T5, T6, T7, T8 and T9 when compared with RDF had corresponding increases of 2.24, 2.87, 1.87, 1.89, 2.03, 2.13 and 2.75 times in IV-rice and 1.95, 2.57, 1.58, 1.67, 1.67, 1.94, 1.96 and 2 times in IV-wheat. The lowest Pb concentration was recorded in T0 during the course of the experiment. The present investigation revealed that Pb (highest, 1.99 mg kg−1 in III-rice) in rice and wheat grain were below phytotoxic limits (30–300 mg kg−1) as outlined by [65]. Singh and Agrawal [70] and Eid et al. [71] reported an increase in heavy metal concentration in the areal parts of barley by application of SSL. Zoubi et al. [72] reported similar findings.

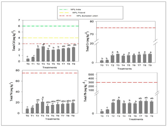
3.7. Total Heavy Metal Content in Post-Harvest Soil after Completion of the Experiment

The total Cd, Cr, Ni and Pb content in soils after the termination of the experiment ranged from 0.44 to 2.53, 2.25 to 9.26, 7.98 to 21.23 and 4.45 to 27.36 mg kg−1, respectively (Figure 6). Among all the treatments, T3 (100% RDF + 30 Mg ha−1 SSL) had the highest total Cd, Cr, Ni and Pb after harvest of IV-wheat. The treatments that received 30 SSL Mg ha−1 (T3, T7, T8 and T9) increased the total Cd content by 5.75, 3.2 3.3 and 3.6 times, respectively over T1, whereas, treatments T2, T4, T5 and T6 that received a lower dose (20 SSL Mg ha−1) increased by 3.2, 2.9, 2.9 and 3.0 times, respectively. However, total Cr content soil after harvest of the IV-wheat crop showed a declining trend in the order of T3 (9.26) > T9 (9.15 mg kg−1) > T8 (8.88 mg kg−1) > T7 (8.45 mg kg−1) > T2 (7.77 mg kg−1) > T6 (7.89 mg kg−1) > T5 (7.69 mg kg−1) > T4 (7.22 mg kg−1).
These data were statistically similar to one another but significantly greater T1 (2.59 mg kg−1). The total Ni content in post-harvest soils significantly increased due to the application of SSL. The 100% RDF treatment, i.e., T1 (10.25 mg kg−1) was statistically at par with all other treatments except T2 (18.0 mg kg−1), T3 (21.23 mg kg−1) and T9 (18.65 mg kg−1) which had the highest content of Ni in the post-harvest soil. Treatments T3 (100% RDF + 30 Mg ha−1 SSL), T7 (50% RDF + 30 Mg ha−1 SSL), T8 (60% RDF + 30 Mg ha−1 SSL) and T9 (70% RDF + 30 Mg ha−1 SSL) had increased Pb content by 3.32, 3.09 3.08 and 2.98 times, respectively, over T1 (100% RDF), whereas in treatments T2 (100% RDF + 20 Mg ha−1 SSL), T4 (50% RDF + 20 Mg ha−1 SSL), T5 (60% RDF + 20 Mg ha−1 SSL) and T6 (70% RDF + 20 Mg ha−1 SSL) with lower dose of SSL (20 Mg ha−1), the respective increases were 2.66, 2.55, 2.58 and 2.45 times. The total heavy metal contents in soil were within the maximum permissible limits (MPL) with respect to the limits [64] for India and for Poland and the European Union [28] (Figure 6). The results indicate that total heavy metal contents in soil were within MPL even after applying the highest dose of SSL (30 Mg ha−1) with 100% RDF.

4. Conclusions

Application of 20 or 30 Mg ha−1 SSL in conjunction with 100% RDF significantly improved the productivity of the rice-wheat system compared to 100% RDF. It was observed that 20 or 30 Mg ha−1 SSL along with recommended or reduced doses of fertilizer significantly increased the heavy metal content in grains and experimental soil compared to 100% RDF, or absolute control plots, but this buildup was within permissible limits. Therefore, to obtain optimum grain yield (at par with RDF 100%), it is recommended to apply only a 50% dose of RDF in the first two crops and a 70% dose of RDF in the next two crops with a one-time application of 20 t ha−1 SSL. Regular monitoring of heavy metal buildup in soil, and its subsequent increase in the edible part of rice and wheat, needs to be strictly tracked to avoid risks related to soil and human health. However, this study needs to be confirmed by long-term experiments before recommendations for other agro-climatic regions.

Author Contributions

Conceptualization: S.S.J. and S.K.S.; methodology: S.S.J. and S.K.S.; formal analysis: S.S.J., M.P. and S.K.S.; data curation: S.S.J. and S.K.S.; statistical expertise: S.S.J. and S.K.S.; writing—original draft preparation: S.S.J. and S.K.S.; writing—review and editing: M.P., A.G., A.M.A. and A.H.; visualization: A.H., S.S.J. and S.K.S.; supervision: S.K.S.; funding acquisition: A.M.A., A.G. and A.H. All authors have read and agreed to the published version of the manuscript.

Funding

The work was financially supported by BHU-UGC, India. The research programme was also partially supported by the Princess Nourah bint Abdulrahman University Researchers Supporting Project number (PNURSP2022R65), Princess Nourah bint Abdulrahman University, Riyadh, Saudi Arabia.

Institutional Review Board Statement

Not applicable.

Informed Consent Statement

Not applicable.

Data Availability Statement

Data are available after request.

Acknowledgments

The authors wish to acknowledge the BHU-UGC, India and the Princess Nourah bint Abdulrahman University Researchers Supporting Project number (PNURSP2022R65), Princess Nourah bint Abdulrahman University, Riyadh, Saudi Arabia for providing financial support for this research. The anonymous reviewers are also gratefully acknowledged for their efforts in helping us to improve the presentation of our work in this manuscript.

Conflicts of Interest

The authors have no conflict of interest to disclose.

Ethical Statement

No living organism (human or animal) was involved in conducting the present experiments.

References

  1. Ladha, J.K.; Dawe, D.; Pathak, H.; Padre, A.T.; Yadav, R.L.; Singh, B.; Singh, Y.; Singh, Y.; Singh, P.; Kundu, A.L. How extensive are yield declines in long-term rice-wheat experiments in Asia? Field Crops Res. 2003, 81, 159–180. [Google Scholar] [CrossRef]
  2. Singh, V.K.; Sharma, B.B. Productivity of rice (Oryza sativa) as influenced by crop diversification in wheat (Triticum aestivum)-rice cropping system on Mollisols of foothills of Himalayas. Indian J. Agric. Sci. 2001, 71, 5–8. [Google Scholar]
  3. Bijarniya, D.; Parihar, C.M.; Jat, R.K.; Kalvania, K.; Kakraliya, S.K.; Jat, M.L. Portfolios of climate smart agriculture practices in smallholder rice-wheat system of Eastern Indo-Gangetic plains—Crop productivity, resource use efficiency and environmental foot prints. Agronomy 2020, 10, 1561. [Google Scholar] [CrossRef]
  4. Sanyal, S.K.; Majumdar, K.; Singh, V.K. Nutrient management in Indian agriculture with special reference to nutrient mining—A relook. J. Indian Soc. Soil Sci. 2014, 62, 307–325. [Google Scholar]
  5. Timsina, J. Can organic sources of nutrients increase crop yields to meet global food demand? Agronomy 2018, 8, 214. [Google Scholar] [CrossRef] [Green Version]
  6. Latare, A.M.; Singh, S.K.; Kumar, O. Impact of sewage sludge application on soil fertility, microbial population and enzyme activities in soil under rice-wheat system. J. Indian Soc. Soil Sci. 2018, 66, 300–309. [Google Scholar] [CrossRef]
  7. Jatav, H.S.; Singh, S.K.; Yadav, J.S. Cumulative Effect of Sewage Sludge and Fertilizers Application on Enhancing Soil Microbial Population Under Rice-Wheat Cropping System. J. Exp. Biol. Agric. Sci. 2018, 6, 538–543. [Google Scholar] [CrossRef]
  8. Qiu, S.; McComb, A.J.; Bell, R.W.; Davis, J.A. Response of soil microbial activity to temperature, moisture, and litter leaching on a wetland transect during seasonal refilling. Wetl. Ecol. Manag. 2005, 13, 43–54. [Google Scholar] [CrossRef]
  9. Thomas, C.L.; Acquah, G.E.; Whitmore, A.P.; McGrath, S.P.; Haefele, S.M. The effect of different organic fertilizers on yield and soil and crop nutrient concentrations. Agronomy 2019, 9, 776. [Google Scholar] [CrossRef] [Green Version]
  10. Swain, A.; Singh, S.K.; Mohapatra, K.K.; Patra, A. Sewage sludge amendment affects spinach yield, heavy metal bioaccumulation, and soil pollution indexes. Arab. J. Geosci. 2021, 14, 717. [Google Scholar] [CrossRef]
  11. Fijalkowski, K.; Rorat, A.; Grobelak, A.; Kacprzak, M.J. The presence of contaminations in sewage sludge—The current situation. J. Environ. Manag. 2017, 203, 1126–1136. [Google Scholar] [CrossRef] [PubMed]
  12. Roy, T.; Biswas, D.R.; Ghosh, A.; Patra, A.K.; Singh, R.D.; Sarkar, A.; Biswas, S.S. Dynamics of culturable microbial fraction in an Inceptisol under short-term amendment with municipal sludge from different sources. Appl. Soil Ecol. 2019, 136, 116–121. [Google Scholar] [CrossRef]
  13. Kayikcioglu, H.H.; Yener, H.; Ongun, A.R.; Okur, B. Evaluation of soil and plant health associated with successive three-year sewage sludge field applications under semi-arid biodegradation condition. Arch. Agron. Soil Sci. 2019, 65, 1659–1676. [Google Scholar] [CrossRef]
  14. Ociepa-Kubicka, A.; Pachura, P. The use of sewage sludge and compost for fertilization of energy crops on the example of Miscanthus and Virginia mallow. Rocznik Ochrona Środowiska 2013, 15, 2267–2278. [Google Scholar]
  15. Seleiman, M.F.; Santanen, A.; Jaakkola, S.; Ekholm, P.; Hartikainen, H.; Stoddard, F.L.; Mäkelä, P.S. Biomass yield and quality of bioenergy crops grown with synthetic and organic fertilizers. Biomass Bioenergy 2013, 59, 477–485. [Google Scholar] [CrossRef]
  16. Singh, R.P.; Agrawal, M. Potential benefits and risks of land application of sewage sludge. Waste Manag. 2008, 28, 347–358. [Google Scholar] [CrossRef]
  17. Albiach, R.; Canet, R.; Pomares, F.; Ingelmo, F. Organic matter components, aggregate stability and biological activity in a horticultural soil fertilized with different rates of two sewage sludges during ten years. Bioresour. Technol. 2001, 77, 109–114. [Google Scholar] [CrossRef]
  18. García-Gil, J.C.; Plaza, C.; Senesi, N.; Brunetti, G.; Polo, A. Effects of sewage sludge amendment on humic acids and microbiological properties of a semiarid Mediterranean soil. Biol. Fertil. Soils 2004, 39, 320–328. [Google Scholar]
  19. Mondal, S.; Singh, R.D.; Patra, A.K.; Dwivedi, B.S. Changes in soil quality in response to short-term application of municipal sewage sludge in a typic haplustept under cowpea-wheat cropping system. Environ. Nanotechnol. Monit. Manag. 2015, 4, 37–41. [Google Scholar] [CrossRef] [Green Version]
  20. Sharma, S.; Dhaliwal, S.S. Effect of sewage sludge and rice straw compost on yield, micronutrient availability and soil quality under rice–wheat system. Commun. Soil Sci. Plant Anal. 2019, 50, 1943–1954. [Google Scholar] [CrossRef]
  21. Latare, A.M.; Kumar, O.; Singh, S.K.; Gupta, A. Direct and residual effect of sewage sludge on yield, heavy metals content and soil fertility under rice–wheat system. Ecol. Eng. 2014, 69, 17–24. [Google Scholar] [CrossRef]
  22. Kumar, M.; Singh, S.K.; Patra, A. Effect of different nutrient sources on yield and biochemical properties of soil under rice–wheat cropping sequence in middle Gangetic alluvial plain. J. Plant Nutr. 2021, 44, 2310–2330. [Google Scholar] [CrossRef]
  23. Gupta, V.; Sharma, R.S.; Vishwakarma, S.K. Long-term effect of integrated nutrient management on yield sustainability and soil fertility of rice (Oryza sativa)–wheat (Triticum aestivum) cropping system. Indian J. Agron. 2006, 51, 160–164. [Google Scholar]
  24. Mahajan, A.; Bhagat, R.M.; Gupta, R.D. Integrated nutrient management in sustainable rice-wheat cropping system for food security in India. SAARC J. Agric. 2008, 6, 29–32. [Google Scholar]
  25. Roy, T.; Singh, R.D.; Biswas, D.R.; Patra, A.K. Effect of sewage sludge and inorganic fertilizers on productivity and micronutrients accumulation by Palak (Beta vulgaris) and their availability in a Typic Haplustept. J. Indian Soc. Soil Sci. 2013, 61, 207–218. [Google Scholar]
  26. Aggelides, S.M.; Londra, P.A. Effects of compost produced from town wastes and sewage sludge on the physical properties of a loamy and a clay soil. Bioresour. Technol. 2000, 71, 253–259. [Google Scholar] [CrossRef]
  27. Rashid, I.; Murtaza, G.; Zahir, Z.A.; Farooq, M. Effect of humic and fulvic acid transformation on cadmium availability to wheat cultivars in sewage sludge amended soil. Environ. Sci. Pollut. Res. 2018, 25, 16071–16079. [Google Scholar] [CrossRef]
  28. European Commission. Council Directive 86/278/EEC of 12 June 1986 on the protection of the environment, and in particular of the soil, when sewage sludge is used in agriculture. Off. J. L 1986, 181, 6–12. [Google Scholar]
  29. Jackson, M.L. Soil Chemical Analysis; Prentic-Hall of India Pvt. & Ltd.: New Delhi, India, 1973. [Google Scholar]
  30. Tandon, H.L.S.; Tandon, H.L.S. Methods of Analysis of Soils, Plants, Waters, and Fertilisers; Fertiliser Development and Consultation Organisation: New Delhi, India, 1993; Volume 63. [Google Scholar]
  31. Sparks, D.L.; Page, A.; Helmke, P.; Loeppert, R.H.; Soltanpour, P.N.; Tabatabai, M.A.; Johnston, C.T.; Sumne, M.E. Methods of Soil Analysis, Part 3: Chemical Methods; Soil Science Society of America; American Society of Agronomy: Madison, WI, USA, 1996; Volume 14. [Google Scholar]
  32. Walkley, A.; Black, I.A. An examination of the Degtjareff method for determining soil organic matter, and a proposed modification of the chromic acid titration method. Soil Sci. 1934, 37, 29–38. [Google Scholar] [CrossRef]
  33. Subbiah, B.; Asija, G.L. Alkaline permanganate method of available nitrogen determination. Curr. Sci. 1956, 25, 259. [Google Scholar]
  34. Olsen, S.R. Estimation of Available Phosphorus in Soils by Extraction with Sodium Bicarbonate; US Department of Agriculture: Washington, DC, USA, 1954.
  35. Hanway, J.J.; Heidel, H. Soil analysis methods as used in Iowa state college soil testing laboratory. Iowa Agric. 1952, 57, 1–31. [Google Scholar]
  36. Chesnin, L.; Yien, C.H. Turbidimetric determination of available sulfates. Soil Sci. Soc. Am. J. 1951, 15, 149–151. [Google Scholar] [CrossRef]
  37. Lindsay, W.L.; Norvell, W.A. Development of a DTPA soil test for zinc, iron, manganese, and copper. Soil Sci. Soc. Am. J. 1978, 42, 421–428. [Google Scholar] [CrossRef]
  38. Peters, J.; Combs, S.; Hoskins, B.; Jarman, J.; Kovar, J.; Watson, M.; Wolf, A.; Wolf, N. Recommended Methods of Manure Analysis; University of Wisconsin Cooperative Extension Publishing: Madison, WI, USA, 2003. [Google Scholar]
  39. Nieuwenhuize, J.; Poley-Vos, C.H.; van den Akker, A.H.; van Delft, W. Comparison of microwave and conventional extraction techniques for the determination of metals in soils, sediment and sludge samples by atomic spectrometry. Analyst 1991, 116, 347–351. [Google Scholar] [CrossRef]
  40. Sparks, D.L.; Fendorf, S.E.; Toner IV, C.V.; Carski, T.H. Kinetic Methods and Measurements. In Methods of Soil Analysis, Part 3: Chemical Methods; Soil Science Society of America; American Society of Agronomy: Madison, WI, USA, 1996; Volume 5, pp. 1275–1307. [Google Scholar]
  41. Yamaguchi, M. Determination of the Nitrogen-to-Protein Conversion Factor in Cereals. In Seed Analysis; Springer: Berlin/Heidelberg, Germany, 1992; pp. 95–107. [Google Scholar]
  42. Hossain, M.K.; Strezov, V.; Chan, K.Y.; Nelson, P.F. Agronomic properties of wastewater sludge biochar and bioavailability of metals in production of cherry tomato (Lycopersicon esculentum). Chemosphere 2010, 78, 1167–1171. [Google Scholar] [CrossRef]
  43. Latare, A.M.; Singh, S.K.; Kumar, O. Yield and Profitability of Rice-Wheat Sequence with Conjunctive Application of Sewage Sludge and Chemical Yield and Profitability of Rice-Wheat Sequence with Conjunctive Application of Sewage Sludge and Chemical Fertilisers. Indian J. Fertil. 2017, 13, 50–61. [Google Scholar]
  44. Zhang, Y.; Chen, T.; Liao, Y.; Reid, B.J.; Chi, H.; Hou, Y.; Cai, C. Modest amendment of sewage sludge biochar to reduce the accumulation of cadmium into rice (Oryza sativa L.): A field study. Environ. Pollut. 2016, 216, 819–825. [Google Scholar] [CrossRef] [Green Version]
  45. Rehman, R.A.; Qayyum, M.F. Co-composts of sewage sludge, farm manure and rock phosphate can substitute phosphorus fertilizers in rice-wheat cropping system. J. Environ. Manag. 2020, 259, 109700. [Google Scholar] [CrossRef]
  46. Romani, M.; Beltarre, G. Good results in rice fields with sewage sludge. Inf. Agrar. 2009, 65, 39–42. [Google Scholar]
  47. Bahmanyar, M.A.; Pirdashti, H. Responses of biomass, chlorophyll and macro-and micronutrient uptake of rice (Oryza sativa L.) to organic and chemical fertilizers. In Proceedings of the 14th Australian Agronomy Conference, Adelaide, SA, Australia, 21–25 September 2008. [Google Scholar]
  48. Burducea, M.; Lobiuc, A.; Asandulesa, M.; Zaltariov, M.-F.; Burducea, I.; Popescu, S.M.; Zheljazkov, V.D. Effects of sewage sludge amendments on the growth and physiology of sweet basil. Agronomy 2019, 9, 548. [Google Scholar] [CrossRef] [Green Version]
  49. Jamil, M.; Qasim, M.; Umar, M.; Rehman, K. Impact of organic wastes (sewage sludge) on the yield of wheat (Triticum aestivum L.) in a calcareous soil. Int. J. Agric. Biol. 2004, 6, 465–467. [Google Scholar]
  50. El-Shakweer, M.H.A.; El-Sayad, E.A.; Ewees, M.S.A. Soil and plant analysis as a guide for interpretation of the improvement efficiency of organic conditioners added to different soils in Egypt. Commun. Soil Sci. Plant Anal. 1998, 29, 2067–2088. [Google Scholar] [CrossRef]
  51. Zhang, M.; Heaney, D.; Solberg, E.; Heriquez, B. The effect of MSW compost on metal uptake and yield of wheat, barley and canola in less productive farming soils of Alberta. Compost. Sci. Util. 2000, 8, 224–235. [Google Scholar] [CrossRef]
  52. Tamrabet, L.; Bouzerzour, H.; Kribaa, M.; Makhlouf, M. The effect of sewage sludge application on durum wheat (Triticum durum). Int. J. Agric. Biol. 2009, 11, 741–745. [Google Scholar]
  53. Jatav, H.S.; Singh, S.K.; Jatav, S.S.; Rajput, V.D.; Sushkova, S. Feasibility of sewage sludge application in rice-wheat cropping system. Eurasian J. Soil Sci. 2021, 10, 207–214. [Google Scholar] [CrossRef]
  54. Al-Mustafa, W.A.; El-Shall, A.A.; Abdallah, A.E.; Modaihsh, A.S. Response of wheat to sewage sludge applied under two different moisture regimes. Exp. Agric. 1995, 31, 355–360. [Google Scholar] [CrossRef]
  55. Yadav, G.S.; Lal, R.; Meena, R.S. Vehicular traffic effects on hydraulic properties of a Crosby silt loam under a long-term no-till farming in Central Ohio, USA. Soil Tillage Res. 2020, 202, 104654. [Google Scholar] [CrossRef]
  56. Gami, S.; Ladha, J.; Pathak, H.; Shah, M.; Pasuquin, E.; Pandey, S.; Hobbs, P.; Joshy, D.; Mishra, R. Long-term changes in yield and soil fertility in a twenty-year rice-wheat experiment in Nepal. Biol. Fertil. Soils 2001, 34, 73–78. [Google Scholar]
  57. Bhatt, B.; Chandra, R.; Ram, S.; Pareek, N. Long-term effects of fertilization and manuring on productivity and soil biological properties under rice (Oryza sativa)–wheat (Triticum aestivum) sequence in Mollisols. Arch. Agron. Soil Sci. 2016, 62, 1109–1122. [Google Scholar] [CrossRef]
  58. Barbarick, K.A.; Ippolito, J.A.; Westfall, D.G. Extractable trace elements in the soil profile after years of biosolids application. J. Environ. Qual. 1998, 27, 801–805. [Google Scholar] [CrossRef]
  59. Elsokkary, I.; Salam, A.A. Bioavailability and DTPA-extractability of soil heavy metals from successive sewage sludge treated calcareous soil. Alex. J. Agric. Res. 1998, 43, 349–366. [Google Scholar]
  60. Warman, P.R.; Termeer, W.C. Evaluation of sewage sludge, septic waste and sludge compost applications to corn and forage: Yields and N, P and K content of crops and soils. Bioresour. Technol. 2005, 96, 955–961. [Google Scholar] [CrossRef] [PubMed]
  61. Asthir, B.; Jain, D.; Kaur, B.; Bain, N.S. Effect of nitrogen on starch and protein content in grain influence of nitrogen doses on grain starch and protein accumulation in diversified wheat genotypes. J. Environ. Biol. 2017, 38, 427. [Google Scholar] [CrossRef]
  62. Song, Y.-J.; Choi, I.-Y.; Sharma, P.K.; Kang, C.-H. Effect of different nitrogen doses on the storage proteins and palatability of rice grains of primary and secondary rachis branches. Plant Prod. Sci. 2012, 15, 253–257. [Google Scholar] [CrossRef] [Green Version]
  63. Yamur, M.; Kaydan, D.; Arvas, O. Effects of sewage biosolid application on seed protein ratios, seed NP contents, some morphological and yield characters in lentil (Lens culinaris Medic.). Res. J. Agric. Biol. Sci. 2005, 1, 308–314. [Google Scholar]
  64. Hussain, B.; Umer, M.J.; Li, J.; Ma, Y.; Abbas, Y.; Ashraf, M.N.; Tahir, N.; Ullah, A.; Gogoi, N.; Farooq, M. Strategies for reducing cadmium accumulation in rice grains. J. Clean. Prod. 2020, 286, 125557. [Google Scholar] [CrossRef]
  65. Kabata-Pendias, A. Trace Metals in Soils and Plants; CRC Press: Boca Raton, FL, USA, 2011. [Google Scholar]
  66. De Livera, J.; McLaughlin, M.J.; Hettiarachchi, G.M.; Kirby, J.K.; Beak, D.G. Cadmium solubility in paddy soils: Effects of soil oxidation, metal sulfides and competitive ions. Sci. Total Environ. 2011, 409, 1489–1497. [Google Scholar] [CrossRef]
  67. Kosolsaksakul, P.; Farmer, J.G.; Oliver, I.W.; Graham, M.C. Geochemical associations and availability of cadmium (Cd) in a paddy field system, northwestern Thailand. Environ. Pollut. 2014, 187, 153–161. [Google Scholar] [CrossRef] [Green Version]
  68. Greger, M. Metal availability and bioconcentration in plants. In Heavy Metal Stress in Plants; Springer: Berlin/Heidelberg, Germany, 1999; pp. 1–27. [Google Scholar]
  69. Mahdy, A.M.; Elkhatib, E.A.; Fathi, N.O. Cadmium, copper, nickel, and lead availability in biosolids-amended alkaline soils. Aust. J. Basic Appl. Sci. 2007, 1, 354–363. [Google Scholar]
  70. Singh, R.P.; Agrawal, M. Variations in heavy metal accumulation, growth and yield of rice plants grown at different sewage sludge amendment rates. Ecotoxicol. Environ. Saf. 2010, 73, 632–641. [Google Scholar] [CrossRef]
  71. Eid, E.M.; Alamri, S.A.M.; Shaltout, K.H.; Galal, T.M.; Ahmed, M.T.; Brima, E.I.; Sewelam, N. A sustainable food security approach: Controlled land application of sewage sludge recirculates nutrients to agricultural soils and enhances crop productivity. Food Energy Secur. 2020, 9, e197. [Google Scholar] [CrossRef]
  72. Al Zoubi, M.M.; Arslan, A.; Abdelgawad, G.; Pejon, N.; Tabbaa, M.; Jouzdan, O. The effect of sewage sludge on productivity of a crop rotation of wheat, maize and vetch and heavy metals accumulation in soil and plant in Aleppo Governorate. Agric. Environ. Sci. 2008, 3, 618–625. [Google Scholar]
Figure 1. Location of the experimental site, layout and experimental view.
Figure 1. Location of the experimental site, layout and experimental view.
Life 12 00484 g001
Figure 2. Meteorological data during the experiment in 2017–2018 (A) and 2018–2019 (B).
Figure 2. Meteorological data during the experiment in 2017–2018 (A) and 2018–2019 (B).
Life 12 00484 g002
Figure 3. Impact of sewage sludge use with fertilizer on leaf greenness (SPAD value). The bars represent the means ± SE of three replicates.
Figure 3. Impact of sewage sludge use with fertilizer on leaf greenness (SPAD value). The bars represent the means ± SE of three replicates.
Life 12 00484 g003
Figure 4. Impact of sewage sludge use with fertilizer on grain yield (A) and straw yield (B). Data (mean ± SE) followed by the same letter differ non-significantly (p ≤ 0.05), while different letters indicate a significant difference (p ≤ 0.05).
Figure 4. Impact of sewage sludge use with fertilizer on grain yield (A) and straw yield (B). Data (mean ± SE) followed by the same letter differ non-significantly (p ≤ 0.05), while different letters indicate a significant difference (p ≤ 0.05).
Life 12 00484 g004
Figure 5. Impact of sewage sludge use with fertilizers on percent increase or decrease in grain and straw yield of rice and wheat (two years of pooled data).
Figure 5. Impact of sewage sludge use with fertilizers on percent increase or decrease in grain and straw yield of rice and wheat (two years of pooled data).
Life 12 00484 g005
Figure 6. Impact of sewage sludge use with fertilizers on total heavy metals buildup in soils after completion of the experiment. Data (mean ± SE) followed by the same letter differ non-significantly (p ≤ 0.05), while different letters indicate a significant difference (p ≤ 0.05).
Figure 6. Impact of sewage sludge use with fertilizers on total heavy metals buildup in soils after completion of the experiment. Data (mean ± SE) followed by the same letter differ non-significantly (p ≤ 0.05), while different letters indicate a significant difference (p ≤ 0.05).
Life 12 00484 g006
Table 1. Impact of sewage sludge use with fertilizers on plant height of rice and wheat.
Table 1. Impact of sewage sludge use with fertilizers on plant height of rice and wheat.
TreatmentsPlant Height (cm) at 30 DAT/DAS
2017–20182018–2019
III-RiceIII-WheatIV-RiceIV-Wheat
T0 (WF)45.49 ± 1.44 d18.75 ± 2.56 c42.45 ± 2.32 e16.48 ± 2.44 d
T1 (RDF 100)75.60 ± 0.68 ab30.05 ± 1.81 ab76.54 ± 0.94 ab30.97 ± 0.95 abc
T2 (RDF 100 + SSL 20)79.31 ± 1.51 a33.17 ± 2.32 ab78.91 ± 1.70 a32.11 ± 1.06 ab
T3 (RDF 100 + SSL 30)81.49 ± 2.12 a36.87 ± 1.53 a79.85 ± 2.38 a35.10 ± 1.75 a
T4 (RDF 50 + SSL 20)64.69 ± 0.97 c26.55 ± 1.50 bc63.42 ± 1.76 d24.39 ± 1.73 c
T5 (RDF 60 + SSL 20)67.51 ± 0.90 bc27.50 ± 1.32 b65.90 ± 1.20 cd25.90 ± 1.54 bc
T6 (RDF 70 + SSL 20)70.43 ± 2.53 bc28.96 ± 0.78 ab68.25 ± 0.71 bcd27.30 ± 0.68 bc
T7 (RDF 50 + SSL 30)66.98 ± 0.33 bc28.21 ± 2.59 b64.57 ± 0.33 cd26.78 ± 1.07 bc
T8 (RDF 60 + SSL 30)70.54 ± 2.20 bc30.76 ± 0.74 ab69.60 ± 2.23 bcd29.36 ± 1.32 abc
T9 (RDF 70 + SSL 30)73.80 ± 2.83 ab31.14 ± 1.47 ab72.02 ± 1.75 abc30.38 ± 1.41 abc
Significance level********
TreatmentsPlant Height (cm) at 60 DAT/DAS
T0 (WF)56.94 ± 2.57 e36.78 ± 0.51 e55.57 ± 2.5 e34.91 ± 1.35 d
T1 (RDF 100)82.28 ± 2.11 bcd61.38 ± 2.33 cd83.07 ± 1.96 abcd62.95 ± 1.22 ab
T2 (RDF 100 + SSL 20)89.63 ± 0.30 ab70.42 ± 2.03 ab87.77 ± 2.3 ab67.891.15 a
T3 (RDF 100 + SSL 30)92.33 ± 1.58 a73.41 ± 1.99 a89.62 ± 0.86 a69.46 ± 1.57 a
T4 (RDF 50 + SSL 20)74.63 ± 2.09 d56.23 ± 2.54 d73.54 ± 1.56 d52.86 ± 2.02 c
T5 (RDF 60 + SSL 20)77.77 ± 0.73 cd57.67 ± 1.24 cd77.03 ± 2.10 cd55.58 ± 1.60 bc
T6 (RDF 70 + SSL 20)79.19 ± 1.79 cd61.95 ± 2.04 bcd78.07 ± 1.58 bcd58.42 ± 1.73 bc
T7 (RDF 50 + SSL 30)78.08 ± 0.58 cd59.58 ± 1.95 cd77.02 ± 2.45 cd57.06 ± 1.45 bc
T8 (RDF 60 + SSL 30)81.03 ± 1.46 bcd64.09 ± 0.48 bcd79.98 ± 2.36 abcd61.27 ± 1.87 abc
T9 (RDF 70 + SSL 30)84.41 ± 2.47 abc66.26 ± 0.62 abc84.05 ± 0.98 abc63.78 ± 2.77 ab
Significance level********
Mean values within the same column having the same letters differ non-significantly (p ≤ 0.01), while different letters indicate significant difference (p ≤ 0.01). Mean (±SE) was taken from three replicates for each treatment. **, indicates significant at 1% level of probability.
Table 2. Impact of sewage sludge use with fertilizers on plant height of rice and wheat.
Table 2. Impact of sewage sludge use with fertilizers on plant height of rice and wheat.
TreatmentsPlant Height (cm) at 90 DAT/DAS
2017–20182018–2019
III-RiceIII-WheatIV-RiceIV-Wheat
T0 (WF)67.51 ± 2.85 c62.26 ± 1.13 d62.58 ± 1.23 d60.62 ± 2.98 c
T1 (RDF 100)92.28 ± 6.52 b89.90 ± 0.97 bc93.84 ± 2.04 bc92.61 ± 1.26 ab
T2 (RDF 100 + SSL 20)105.47 ± 1.05 a101.15 ± 2.61 a104.91 ± 2.66 ab100.03 ± 4.73 a
T3 (RDF 100 + SSL 30)108.02 ± 1.71 a103.66 ± 1.63 a106.87 ± 2.39 a101.17 ± 1.44 a
T4 (RDF 50 + SSL 20)87.80 ± 0.90 b85.27 ± 2.31 c85.84 ± 2.30 c83.10 ± 1.83 b
T5 (RDF 60 + SSL 20)88.50 ± 0.68 b87.21 ± 0.05 bc86.40 ± 2.57 c84.77 ± 2.47 b
T6 (RDF 70 + SSL 20)90.15 ± 1.3 b89.09 ± 1.30 bc88.83 ± 2.35 c85.90 ± 1.24 b
T7 (RDF 50 + SSL 30)90.95 ± 2.80 b92.29 ± 0.65 bc90.11 ± 2.38 c90.51 ± 1.69 ab
T8 (RDF 60 + SSL 30)96.03 ± 1.39 ab92.97 ± 0.72 b95.09 ± b3.02 c91.26 ± 1.63 ab
T9 (RDF 70 + SSL 30)97.48 ± 0.95 ab93.75 ± 0.42 b97.01 ± 1.85 abc93.31 ± 1.41 ab
Significance level********
TreatmentsPlant Height (cm) at Harvest
T0 (WF)64.95 ± 0.41 d61.59 ± 1.98 d61.83 ± 1.98 c64.86 ± 3.53 e
T1 (RDF 100)90.13 ± 0.89 bc89.10 ± 0.81 c89.69 ± 0.81 b92.76 ± 1.72 bc
T2 (RDF 100 + SSL 20)102.41 ± 1.94 a99.64 ± 0.79 ab99.27 ± 0.79 a101.06 ± 1.81 a
T3 (RDF 100 + SSL 30)104.22 ± 1.55 a102.55 ± 2.65 a102.32 ± 2.65 a103.80 ± 2.12 a
T4 (RDF 50 + SSL 20)86.30 ± 1.59 c84.96 ± 2.42 c83.22 ± 2.24 b84.61 ± 0.84 d
T5 (RDF 60 + SSL 20)88.08 ± 1.27 c85.46 ± 3.76 c84.62 ± 3.73 b85.79 ± 2.09 d
T6 (RDF 70 + SSL 20)88.95 ± 1.85 bc88.62 ± 2.98 c87.23 ± 2.90 b87.54 ± 1.12 cd
T7 (RDF 50 + SSL 30)89.38 ± 3.37 bc91.90 ± 3.43 bc86.40 ± 3.43 b93.20 ± 2.35 bc
T8 (RDF 60 + SSL 30)93.10 ± 3.74 bc92.34 ± 1.55 bc91.01 ± 1.55 b94.11 ± 2.34 bc
T9 (RDF 70 + SSL 30)95.49 ± 1.84 b93.22 ± 1.24 bc91.11 ± 1.24 b97.18 ± 2.57 ab
Significance level********
Mean values within the same column having alike alphabets differ non-significantly (p ≤ 0.05), while different alphabets show a significant difference (p ≤ 0.05). Mean (±SE) was taken from three replicates for each treatment. **, indicates significant at 1% level of probability.
Table 3. Impact of sewage sludge use with fertilizers on panicle/ear length and grain per panicle or ear of rice and wheat.
Table 3. Impact of sewage sludge use with fertilizers on panicle/ear length and grain per panicle or ear of rice and wheat.
TreatmentsPanicle/Ear Length (cm)
2017–20182018–2019
III-RiceIII-WheatIV-RiceIV-Wheat
T0 (WF)18.26 ± 1.34 e6.09 ± 1.01 c12.99 ± 2.11 e5.90 ± 0.54 e
T1 (RDF 100)29.29 ± 1.36 cd12.00 ± 1.05 b30.36 ± 2.14 bc12.63 ± 0.85 bc
T2 (RDF 100 + SSL 20)34.61 ± 1.14 ab13.24 ± 0.87 ab32.87 ± 0.77 ab13.08 ± 0.074 ab
T3 (RDF 100 + SSL 30)37.61 ± 1.98 a15.54 ± 1.12 a35.95 ± 0.90 a15.16 ± 0.62 a
T4 (RDF 50 + SSL 20)25.27 ± 1.83 d11.22 ± 0.85 b24.30 ± 1.65 d9.88 ± 0.55 d
T5 (RDF 60 + SSL 20)27.10 ± 1.63 cd11.50 ± 0.43 b26.71 ± 1.35 cd10.01 ± 0.41 de
T6 (RDF 70 + SSL 20)31.48 ± 1.02 bc11.97 ± 0.65 b30.71 ± 1.61 bc10.64 ± 0.25 cde
T7 (RDF 50 + SSL 30)28.04 ± 1.12 cd11.45 ± 0.67 b26.44 ± 1.11 cd11.05 ± 1.23 bcde
T8 (RDF 60 + SSL 30)31.00 ± 2.83 bc12.47 ± 0.64 b29.93 ± 0.52 bc12.19 ± 1.28 bcde
T9 (RDF 70 + SSL 30)32.25 ± 1.03 bc12.71 ± 0.26 b31.43 ± 0.86 b12.27 ± 0.20 bcd
Significance level********
Grains/Panicle/Ear
T0 (WF)54.44 ± 2.80 e15.36 ± 0.49 f53.04 ± 3.53 g14.38 ± 1.07 e
T1 (RDF 100)122.99 ± 8.11 d33.37 ± 0.63 cde125.71 ± 5.89 cde35.79 ± 2.70 ab
T2 (RDF 100 + SSL 20)150.16 ± 3.47 ab38.98 ± 0.13 ab140.85 ± 5.32 ab37.55 ± 1.23 ab
T3 (RDF 100 + SSL 30)154.41 ± 2.23 a41.02 ± 1.35 a146.17 ± 3.39 a39.64 ± 1.44 a
T4 (RDF 50 + SSL 20)114.04 ± 3.30 d31.73 ± 1.84 e108.57 ± 4.90 f28.84 ± 1.29 d
T5 (RDF 60 + SSL 20)120.75 ± 1.06 d32.48 ± 1.99 de116.19 e ± 0.51 f29.73 ± 1.51 cd
T6 (RDF 70 + SSL 20)139.42 ± b2.90 c35.39 ± 1.03 bcde130.57 ± 0.45 bcd32.94 ± 2.26 bcd
T7 (RDF 50 + SSL 30)125.26 ± 2.47 d33.25 ± 1.83 cde120.72 ± 2.54 de30.30 ± 0.37 cd
T8 (RDF 60 + SSL 30)136.84 ± 2.15 c36.10 ± 0.54 bcd130.40 ± 3.97 bcd34.14 ± 0.30 bc
T9 (RDF 70 + SSL 30)142.07 ± 1.55 bc37.05 ± 1.07 bc133.27 ± 2.90 bc34.42 ± 1.24 bc
Significance level********
Mean values within the same column having the same letter differ non-significantly (p ≤ 0.01), while different letters indicate a significant difference (p ≤ 0.01). Mean (±SE) was taken from three replicates for each treatment. **, indicates significant at 1% level of probability.
Table 4. Impact of sewage sludge use with fertilizers on harvest index and 1000 grain weight.
Table 4. Impact of sewage sludge use with fertilizers on harvest index and 1000 grain weight.
TreatmentHarvest Index (%)
2017–20182018–2019
III-RiceIII-WheatIV-RiceIV-Wheat
T0 (WF)28.83 ± 2.83 b38.66 ± 0.76 b27.15 ± 0.51 b36.12 ± 1.73 b
T1 (RDF 100)43.83 ± 2.72 a45.85 ± 1.22 a44.12 ± 0.53 a45.86 ± 1.39 ab
T2 (RDF 100 + SSL 20)44.58 ± 0.78 a47.37 ± 2.67 a44.44 ± 1.88 a47.13 ± 0.27 a
T3 (RDF 100 + SSL 30)45.00 ± 0.41 a47.97 ± 1.25 a44.67 ± 0.86 a47.19 ± 1.35 a
T4 (RDF 50 + SSL 20)42.68 ± 0.73 a45.31 ± 1.60 a42.09 ± 2.55 a45.27 ± 3.87 ab
T5 (RDF 60 + SSL 20)43.04 ± 1.77 a45.82 ± 0.77 a42.86 ± 0.78 a45.43 ± 0.27 ab
T6 (RDF 70 + SSL 20)43.74 ± 1.07 a46.92 ± 0.92 a43.73 ± 1.45 a46.61 ± 1.19 a
T7 (RDF 50 + SSL 30)43.63 ± 0.50 a47.00 ± 1.10 a43.73 ± 0.34 a46.66 ± 2.18 a
T8 (RDF 60 + SSL 30)43.83 ± 2.14 a47.11 ± 0.69 a43.73 ± 2.06 a46.86 ± 3.10 a
T9 (RDF 70 + SSL 30)43.93 ± 0.72 a47.19 ± 0.50 a43.90 ± 1.10 a46.94 ± 0.62 a
Significance level********
1000 Grain Weight (g)
T0 (WF)15.62 ± 1.85 d28.89 ± 0.63 a12.95 ± 0.34 d28.20 ± 1.28 a
T1 (RDF 100)21.75 ± 1.50 bc32.35 ± 0.84 a21.84 ± 1.11 abc31.69 ± 0.73 a
T2 (RDF 100 + SSL 20)25.37 ± 0.49 a32.93 ± 0.62 a24.55 ± 1.82 ab32.19 ± 0.55 a
T3 (RDF 100 + SSL 30)25.88 ± 0.24 a33.86 ± 0.29 a24.80 ± 1.29 a33.18 ± 1.75 a
T4 (RDF 50 + SSL 20)20.62 ± 0.50 c31.23 ± 0.75 a20.21 ± 0.45 c30.57 ± 1.08 a
T5 (RDF 60 + SSL 20)20.75 ± 1.20 c31.23 ± 0.81 a20.37 ± 0.56 c30.27 ± 0.83 a
T6 (RDF 70 + SSL 20)22.90 ± 0.49 abc31.53 ± 0.42 a21.16 ± 0.81 bc30.64 ± 0.27 a
T7 (RDF 50 + SSL 30)21.81 ± 1.21 bc31.53 ± 0.60 a20.39 ± 1.09 c30.47 ± 0.10 a
T8 (RDF 60 + SSL 30)24.30 ± 0.26 ab32.80 ± 1.12 a22.65 ± 1.14 abc32.15 ± 1.37 a
T9 (RDF 70 + SSL 30)24.87 ± 0.33 ab32.41 ± 0.60 a24.08 ± 1.26 ab31.84 ± 0.34 a
Significance level********
Mean values within the same column having the same letters differ non-significantly (p ≤ 0.01), while different letters indicate a significant difference (p ≤ 0.01). Mean (±SE) was taken from three replicates for each treatment. **, indicates significant at 1% level of probability.
Table 5. Impact of sewage sludge use with fertilizers on nitrogen concentration and protein content.
Table 5. Impact of sewage sludge use with fertilizers on nitrogen concentration and protein content.
TreatmentsNitrogen Concentration (%)
2017–20182018–2019
III-RiceIII-WheatIV-RiceIV-Wheat
T0 (WF)1.28 ± 0.084 c1.69 ± 0.09 f1.26 ± 0.07 c1.33 ± 0.05 e
T1 (RDF 100)1.54 ± 0.11 b1.90 ± 0.07 cde1.50 ± 0.10 b1.95 ± 0.00 bc
T2 (RDF 100 + SSL 20)1.65 ± 0.08 a2.44 ± 0.07 ab1.58 ± 0.09 ab2.15 ± 0.22 ab
T3 (RDF 100 + SSL 30)1.78 ± 0.06 a2.69 ± 0.7 a1.66 ± 0.08 a2.26 ± 0.03 a
T4 (RDF 50 + SSL 20)1.43 ± 0.07 bc1.72 ± 0.03 ef1.39 ± 0.04 bc1.66 ± 0.03 d
T5 (RDF 60 + SSL 20)1.51 ± 0.02 b1.79 ± 0.03 bc1.40 ± 0.07 bc1.72 ± c0.03 d
T6 (RDF 70 + SSL 20)1.55 ± 0.52 b1.88 ± 0.04 cde1.47 ± 0.05 bc1.80 ± 0.04 cd
T7 (RDF 50 + SSL 30)1.55 ± 0.00 b1.89 ± 0.03 cde1.48 ± 0.04 bc1.82 ± 0.04 cd
T8 (RDF 60 + SSL 30)1.56 ± 0.08 b1.96 ± 0.02 cd1.51 ± 0.059 b1.85 ± 0.02 cd
T9 (RDF 70 + SSL 30)1.59 ± 0.02 b2.04 ± 0.00 c1.54 ± 0.02 b1.95 ± 0.07 bc
Significance level********
Protein Content (%)
T0 (WF)8.03 ± 0.51 c10.59 ± 0.58 f7.90 ± 0.48 c8.31 ± 0.35 e
T1 (RDF 100)9.63 ± 0.71 b11.85 ± 0.44 cde9.37 ± 0.66 ab10.23 ± 0.02 d
T2 (RDF 100 + SSL 20)10.29 ± 0.50 ab15.23 ± 0.46 b9.86 ± 0.57 ab13.42 ± 1.39 ab
T3 (RDF 100 + SSL 30)11.15 ± 0.41 a16.81 ± 0.46 a10.35 ± 0.51 a14.13 ± 0.23 a
T4 (RDF 50 + SSL 20)8.94 ± 0.43 bc10.75 ± 0.22 ef8.71 ± 0.30 bc10.35 ± 0.19 d
T5 (RDF 60 + SSL 20)9.42 ± 0.16 b11.19 ± 0.20 def9.03 ± 0.44 abc10.78 ± 0.23 cd
T6 (RDF 70 + SSL 20)9.71 ± 0.32 b11.75 ± 0.27 cde9.17 ± 0.35 abc11.26 ± 0.27 cd
T7 (RDF 50 + SSL 30)9.69 ± 0.32 b11.79 ± 0.20 cde9.25 ± 0.25 abc11.39 ± 0.25 cd
T8 (RDF 60 + SSL 30)9.73 ± 0.49 b12.25 ± 0.11 cd9.46 ± 0.37 ab11.59 ± 0.17 cd
T9 (RDF 70 + SSL 30)10.04 ± 0.18 b12.75 ± 0.04 c9.63 ± 0.12 ab12.17 ± 0.48 bc
Significance level********
Mean values within the same column having the same letter differ non-significantly (p ≤ 0.01), while different letters indicate a significant difference (p ≤ 0.01). Mean (±SE) was taken from three replicates for each treatment. **, indicates significant at 1% level of probability.
Table 6. Impact of sewage sludge use with fertilizers on cadmium and chromium concentration in rice and wheat.
Table 6. Impact of sewage sludge use with fertilizers on cadmium and chromium concentration in rice and wheat.
TreatmentsGrain
Cadmium (mg kg−1)
2017–20182018–2019
III-RiceIII-WheatIV-RiceIV-Wheat
T0 (WF)0.29 ± 0.04 c0.33 ± 0.03 d0.25 ± 0.04 e0.29 ± 0.05 d
T1 (RDF 100)0.45 ± 0.06 c0.51 ± 0.03 c0.42 ± 0.05 d0.49 ± 0.02 c
T2 (RDF 100 + SSL 20)1.12 ± 0.07 a1.24 ± 0.03 a1.10 ± 0.06 ab1.20 ± 0.05 a
T3 (RDF 100 + SSL 30)1.27 ± 0.12 a1.36 ± 0.04 a1.23 ± 0.05 a1.31 ± 0.01 a
T4 (RDF 50 + SSL 20)0.81 ± 0.07 b0.89 ± 0.06 b0.80 ± 0.02 c0.85 ± 0.05 b
T5 (RDF 60 + SSL 20)0.85 ± 0.09 b0.94 ± 0.03 b0.83 ± 0.05 c0.91 ± 0.06 b
T6 (RDF 70 + SSL 20)0.87 ± 0.07 b0.95 ± 0.04 b0.83 ± 0.02 c0.92 ± 0.05 b
T7 (RDF 50 + SSL 30)1.10 ± 0.06 a1.24 ± 0.07 a1.05 ± 0.06 ab1.18 ± 0.04 a
T8 (RDF 60 + SSL 30)1.14 ± 0.05 a1.25 ± 0.06 a1.11 ± 0.02 ab1.21 ± 0.06 a
T9 (RDF 70 + SSL 30)1.19 ± 0.04 a1.26 ± 0.08 a1.16 ± 0.04 ab1.23 ± 0.01 a
Significance level********
Chromium (mg kg−1)
T0 (WF)1.37 ± 0.033 b1.21 ± 0.25 c1.17 ± 0.092 e1.04 ± 0.10 g
T1 (RDF 100)1.97 ± 0.18 b1.75 ± 0.09 c1.46 ± 0.36 e1.27 ± 0.14 g
T2 (RDF 100 + SSL 20)4.78 ± 0.67 a4.22 ± 0.17 a3.55 ± 0.058 b3.24 ± 0.14 bc
T3 (RDF 100 + SSL 30)4.90 ± 0.67 a4.49 ± 0.36 a4.11 ± 0.51 a3.55 ± 0.03 a
T4 (RDF 50 + SSL 20)4.25 ± 0.79 a3.54 ± 0.34 b2.92 ± 0.14 d2.50 ± 0.08 f
T5 (RDF 60 + SSL 20)4.41 ± 0.59 a3.68 ± 0.26 ab3.01 ± 0.06 d2.67 ± 0.10 ef
T6 (RDF 70 + SSL 20)4.49 ± 0.29 a3.79 ± 0.22 ab3.04 ± 0.03 cd2.68 ± 0.01 ef
T7 (RDF 50 + SSL 30)4.64 ± 0.63 a3.91 ± 0.16 ab3.29 ± 0.10 bcd2.90 ± 0.06 de
T8 (RDF 60 + SSL 30)4.79 ± 0.82 a4.05 ± 0.18 ab3.50 ± 0.11 bc3.02 ± 0.08 cd
T9 (RDF 70 + SSL 30)4.85 ± 0.69 a4.34 ± 0.43 ab4.04 ± 0.10 a3.47 ± 0.11 ab
Significance level********
Mean values within the same column having the same letter differ non-significantly (p ≤ 0.01), while different letters indicate a significant difference (p ≤ 0.01). Mean (±SE) was taken from 3 replicates for each treatment. **, indicates significant at 1% level of probability.
Table 7. Impact of sewage sludge use with fertilizers on nickel and lead concentration in rice and wheat.
Table 7. Impact of sewage sludge use with fertilizers on nickel and lead concentration in rice and wheat.
TreatmentsGrain
Nickel (mg kg−1)
2017–20182018–2019
III-RiceIII-WheatIV-RiceIV-Wheat
T0 (WF)7.65 ± 0.67 c7.93 ± 0.36 d7.35 ± 0.52 c6.28 ± 0.87 c
T1 (RDF 100)9.70 ± 0.95 c9.12 ± 0.48 d9.05 ± 0.83 bc8.04 ± 1.29 b
T2 (RDF 100 + SSL 20)16.35 ± 0.76 ab14.62 ± 0.37 bc14.05 ± 1.10 a13.32 ± 0.45 a
T3 (RDF 100 + SSL 30)19.00 ± 1.75 a17.31 ± 1.12 a15.48 ± 1.36 a14.35 ± 1.35 a
T4 (RDF 50 + SSL 20)13.96 ± 1.26 b12.72 ± 0.79 b12.08 ± 0.96 bc9.20 ± 1.11 b
T5 (RDF 60 + SSL 20)14.63 ± 0.65 b12.90 ± 0.38 b12.12 ± 1.67 bc9.61 ± 0.36 b
T6 (RDF 70 + SSL 20)14.94 ± 0.76 b13.68 ± 0.81 bc12.20 ±1.10 bc9.26 ± 0.93 b
T7 (RDF 50 + SSL 30)15.06 ± 1.76 b14.73 ± 0.92 bc13.23 ± 0.41 a11.09 ± 0.71 ab
T8 (RDF 60 + SSL 30)16.00 ± 0.79 ab14.42 ± 0.41 bc13.47 ± 0.52 a10.48 ± 0.96 ab
T9 (RDF 70 + SSL 30)17.67 ± 1.46 ab15.83 ± 1.32 ab14.58 ± 1.69 a12.04 ± 1.19 ab
Significance level********
TreatmentsLead (mg kg−1)
T0 (WF)0.49 ± 0.073 e0.40 ± 0.08 e0.40 ± 0.12 c0.37 ± 0.08 d
T1 (RDF 100)0.85 ± 0.04 d0.67 ± 0.17 d0.59 ± 0.03 c0.59 ± 0.03 d
T2 (RDF 100 + SSL 20)1.63 ± 0.087 b1.51 ± 0.04 b1.31 ± 0.7 b1.16 ± 0.08 bc
T3 (RDF 100 + SSL 30)1.99 ± 0.15 a1.93 ± 0.04 a1.81 ± 0.10 a1.53 ± 0.25 a
T4 (RDF 50 + SSL 20)1.30 ± 0.10 c1.23 ± 0.08 c1.13 ± 0.05 b0.94 ± 0.03 c
T5 (RDF 60 + SSL 20)1.32 ± 0.03 c1.28 ± 0.06 bc1.13 ± 0.03 b0.99 ± 0.04 c
T6 (RDF 70 + SSL 20)1.41 ± 0.04 bc1.37 ± 0.07 bc1.19 ± 0.05 b0.99 ± 0.03 c
T7 (RDF 50 + SSL 30)1.51 ± 0.04 bc1.40 ± 0.04 bc1.26 ± 0.10 b1.15 b ± 0.02 c
T8 (RDF 60 + SSL 30)1.53 ± 0.14 bc1.44 ± 0.06 bc1.27 ± 0.06 b1.16 ± 0.07 bc
T9 (RDF 70 + SSL 30)1.92 ± 0.07 a1.86 ± 0.07 a1.69 ± 0.01 a1.39 ± 0.13 ab
Significance level********
Mean values within the same column with the same letter differ non-significantly (p ≤ 0.01), while different letters indicate a significant difference (p ≤ 0.01). Mean (±SE) was taken from 3 replicates for each treatment. **, indicates significant at 1% level of probability.
Publisher’s Note: MDPI stays neutral with regard to jurisdictional claims in published maps and institutional affiliations.

Share and Cite

MDPI and ACS Style

Jatav, S.S.; Singh, S.K.; Parihar, M.; Alsuhaibani, A.M.; Gaber, A.; Hossain, A. Application of Sewage Sludge in a Rice (Oryza sativa L.)-Wheat (Triticum aestivum L.) System Influences the Growth, Yield, Quality and Heavy Metals Accumulation of Rice and Wheat in the Northern Gangetic Alluvial Plain. Life 2022, 12, 484. https://doi.org/10.3390/life12040484

AMA Style

Jatav SS, Singh SK, Parihar M, Alsuhaibani AM, Gaber A, Hossain A. Application of Sewage Sludge in a Rice (Oryza sativa L.)-Wheat (Triticum aestivum L.) System Influences the Growth, Yield, Quality and Heavy Metals Accumulation of Rice and Wheat in the Northern Gangetic Alluvial Plain. Life. 2022; 12(4):484. https://doi.org/10.3390/life12040484

Chicago/Turabian Style

Jatav, Surendra Singh, Satish Kumar Singh, Manoj Parihar, Amnah Mohammed Alsuhaibani, Ahmed Gaber, and Akbar Hossain. 2022. "Application of Sewage Sludge in a Rice (Oryza sativa L.)-Wheat (Triticum aestivum L.) System Influences the Growth, Yield, Quality and Heavy Metals Accumulation of Rice and Wheat in the Northern Gangetic Alluvial Plain" Life 12, no. 4: 484. https://doi.org/10.3390/life12040484

APA Style

Jatav, S. S., Singh, S. K., Parihar, M., Alsuhaibani, A. M., Gaber, A., & Hossain, A. (2022). Application of Sewage Sludge in a Rice (Oryza sativa L.)-Wheat (Triticum aestivum L.) System Influences the Growth, Yield, Quality and Heavy Metals Accumulation of Rice and Wheat in the Northern Gangetic Alluvial Plain. Life, 12(4), 484. https://doi.org/10.3390/life12040484

Note that from the first issue of 2016, this journal uses article numbers instead of page numbers. See further details here.

Article Metrics

Back to TopTop