A Three-Year Plant Study of Salt-Tolerant Transgenic Maize Showed No Effects on Soil Enzyme Activity and Nematode Community
Abstract
1. Introduction
2. Materials and Methods
2.1. Plant Materials and Field Trial
2.2. Soil Sample Collection
2.3. Soil Enzyme Assays
2.4. Enumeration of Soil Nematode Populations
2.5. Experimental Design and Statistical Analyses
- (1)
- Dominant genera (relative abundance > 10%, dominant genera; 1% < relative abundance < 10%, common genera; relative abundance < 1%, rare genera);
- (2)
- Species richness index (S);
- (3)
- Shannon–Wiener diversity index (H), ;
- (4)
- Dominance index (C), ;
- (5)
- Pielou’s evenness index (J), J =;
- (6)
- Nematode channel ratio (RNC), RNC =;
- (7)
- Wasilewska index (IW), IW =;
- (8)
- Maturity index (IM), IM = ∑v(i)f(i);
- (9)
- Phytophagous nematode index (IPP).
3. Results
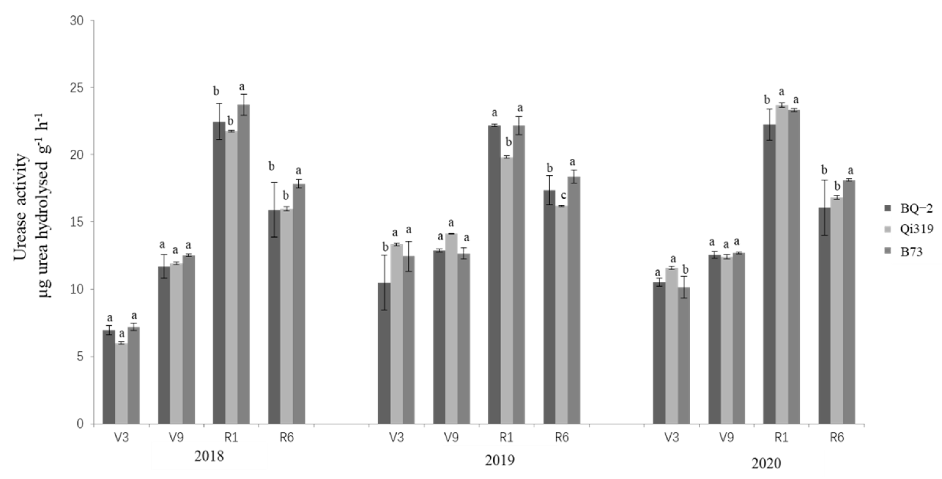
3.1. Activities of the Three Enzymes in Rhizosphere Soil
3.2. Abundance Changes of Soil Nematode Trophic Groups in the Three Maize Fields
3.3. Changes of Nematode Community Indices in Different Corn Fields
4. Discussion
5. Conclusions
Author Contributions
Funding
Institutional Review Board Statement
Informed Consent Statement
Data Availability Statement
Conflicts of Interest
References
- Brief 55: Global Status of Commercialized Biotech/GM Crops: 2019. ISAAA Inc. Available online: https://www.isaaa.org/resources/publications/briefs/55/default.asp (accessed on 6 March 2022).
- Lilley, A.K.; Bailey, M.J.; Cartwright, C.; Turner, S.L.; Hirsch, P.R. Life in earth: The impact of GM plants on soil ecology? Trends Biotechnol. 2006, 24, 9–14. [Google Scholar] [CrossRef] [PubMed]
- Duc, C.; Nentwig, W.; Lindfeld, A. No Adverse Effect of Genetically Modified Antifungal Wheat on Decomposition Dynamics and the Soil Fauna Community—A Field Study. PLoS ONE 2011, 6, e25014. [Google Scholar] [CrossRef] [PubMed]
- Tapp, H.; Stotzky, G. Insecticidal Activity of the Toxins from Bacillus thuringiensis subspecies kurstaki and tenebrionis Adsorbed and Bound on Pure and Soil Clays. Appl. Environ. Microbiol. 1995, 61, 1786–1790. [Google Scholar] [CrossRef] [PubMed]
- Shen, R.F.; Cai, H.; Gong, W.H. Transgenic Bt cotton has no apparent effect on enzymatic activities or functional diversity of microbial communities in rhizosphere soil. Plant Soil 2006, 285, 149–159. [Google Scholar] [CrossRef]
- Wang, B.; Shen, H.; Yang, X.; Guo, T.; Yan, W. Effects of chitinase-transgenic (McChit1) tobacco on the rhizospheric microflora and enzyme activities of the purple soil. Plant Soil Environ. 2013, 59, 241–246. [Google Scholar] [CrossRef]
- Song, Y.U.; Liang, H.Y.; Zhang, Y.F.; Guo, X.X.; Duan, J.J.; Zhu, D.D. Effects of saline-alkaline tolerant transgenic soybean on phosphorus availability in saline-alkali soil. Soil Fertil. Sci. China 2016, 6, 21–29. [Google Scholar]
- Saxena, D.; Stotzky, G. Bacillus thuringiensis (Bt) toxin released from root exudates and biomass of Bt corn has no apparent effect on earthworms, nematodes, protozoa, bacteria, and fungi in soil. Soil Biol. Biochem. 2001, 33, 1225–1230. [Google Scholar] [CrossRef]
- Mina, U.; Chaudhary, A.; Kamra, A. Effect of Bt Cotton on Enzymes Activity and Microorganisms in Rhizosphere. J. Agric. Sci. 2011, 3, 96–104. [Google Scholar] [CrossRef]
- Sarkar, B.; Patra, A.K.; Purakayastha, T.J.; Megharaj, M. Assessment of biological and biochemical indicators in soil under transgenic Bt and non-Bt cotton crop in a sub-tropical environment. Environ. Monit. Assess. 2009, 156, 595–604. [Google Scholar] [CrossRef]
- Haegeman, A.; Mantelin, S.; Jones, J.T.; Gheysen, G. Functional roles of effectors of plant-parasitic nematodes. Gene 2012, 492, 19–31. [Google Scholar] [CrossRef]
- Griffiths, B.S.; Heckmann, L.H.; Caul, S.; Thompson, J.; Scrimgeour, C.; Krogh, P.H. Varietal effects of eight paired lines of transgenic Bt maize and near-isogenic non-Bt maize on soil microbial and nematode community structure. Plant Biotechnol. J. 2010, 5, 60–68. [Google Scholar] [CrossRef] [PubMed]
- Li, X.; Liu, B.; Desneux, N. A 2-Year Field Study Shows Little Evidence That the Long-Term Planting of Transgenic Insect-Resistant Cotton Affects the Community Structure of Soil Nematodes. PLoS ONE 2013, 8, e61670. [Google Scholar] [CrossRef] [PubMed]
- Xiao, N.W.; Liu, Y.B.; Chen, Q.Y.; Fu, M.D.; Li, J.S. Effect of interspecific mixed cropping between transgenic oilseed rape and wild mustard on soil nematode communities. Acta Ecol. Sin. 2015, 35, 6189–6198. [Google Scholar]
- Sahoo, R.K.; Ansari, M.W.; Tuteja, R.; Tuteja, N. Salt tolerant SUV3 overexpressing transgenic rice plants conserve physicochemical properties and microbial communities of rhizosphere. Chemosphere 2015, 119, 1040–1047. [Google Scholar] [CrossRef] [PubMed]
- Sahoo, R.K.; Tuteja, N. Effect of salinity tolerant PDH45 transgenic rice on physicochemical properties, enzymatic activities and microbial communities of rhizosphere soils. Plant Signal. Behav. 2013, 8, 113–116. [Google Scholar] [CrossRef] [PubMed][Green Version]
- Yang, Z.-G.; Zhao, J.-N.; Li, G.; Xiu, W.-M.; Zhang, Q.-Y.; Chang, H. Effect of Glyphosate-tolerant Soybean on Diversity of Soil Nematodes. J. Agro-Environ. Sci. 2013, 32, 2199–2205. [Google Scholar]
- Zhao, Z.C.; Su, Y.; Mou, W.Y.; Liu, M.Q.; Chen, X.Y.; Chen, F.J. Effects of phytase transgenic corn planting on soil nematode community. China J. Appl. Ecol. 2014, 25, 1107. [Google Scholar]
- Knox, O.G.; Gupta, V.V.; Nehl, D.B.; Stiller, W.N. Constitutive expression of Cry proteins in roots and border cells of transgenic cotton. Euphytica 2007, 154, 83–90. [Google Scholar] [CrossRef]
- Di, H.; Tian, Y.; Zu, H.; Meng, X.; Zeng, X.; Wang, Z. Enhanced salinity tolerance in transgenic maize plants expressing a BADH gene from Atriplex micrantha. Euphytica 2015, 206, 775–783. [Google Scholar] [CrossRef]
- Faithfull, N. Methods in Agricultural Chemical Analysis; CABI Publishing: Wallingford, UK, 2002. [Google Scholar]
- Zhang, Y.J.; Xie, M.; Li, C.Y.; Wu, G.; Peng, D.L. Impacts of the Transgenic CrylAc and CpTI Insect-Resistant Cotton SGK321 on Selected Soil Enzyme Activities in the Rhizosphere. Plant Soil Environ. 2014, 60, 401–406. [Google Scholar]
- Min, H.; Ye, Y.-F.; Chen, Z.-Y.; Wu, W.-X.; Yufeng, D. Effects of butachlor on microbial populations and enzyme activities in paddy soil. J. Environ. Sci. Health Part B 2001, 36, 581–595. [Google Scholar] [CrossRef] [PubMed]
- Van Gundy, S. Nematodes. In Methods of Soil Analysis, Part 2; Page, A., Miller, R., Keeney, D., Eds.; American Society of Agronomy: Madison, WI, USA, 1982; pp. 1124–1128. [Google Scholar]
- Bongers, T.; Bongers, M. Functional diversity of nematodes. Appl. Soil Ecol. 1998, 10, 239–251. [Google Scholar] [CrossRef]
- Bongers, T. The maturity index: An ecological measure of environmental disturbance based on nematode species composition. Oecologia 1990, 83, 14–19. [Google Scholar] [CrossRef] [PubMed]
- Niu, X.; Zhai, P.; Zhang, W.; Gu, Y. Effects of Earthworms and Agricultural Plant Species on the Soil Nematode Community in a Microcosm Experiment. Sci. Rep. 2019, 9, 11660. [Google Scholar] [CrossRef] [PubMed]
- Guo, J.H.; Li, G.; Zhao, J.N.; Yang, D.L.; Xiu, W.M. Effects of cultivation of drought-resistance and salt-tolerance transgenic cotton on soil nematode community. J. Ecol. Rural Environ. 2018, 34, 541–546. [Google Scholar]
- Rudulier, D.L.; Strom, A.R.; Dandekar, A.M.; Smith, L.T.; Valentine, R.C. Molecular Biology of Osmoregulation. Science 1984, 224, 1064–1068. [Google Scholar] [CrossRef] [PubMed]
- Yancey, P.H. Compatible and counteracting solutes. In Cellular and Molecular Physiology of Cell Volume Regulation; Strange, K., Ed.; CRC Press: Boca Raton, FL, USA, 1994; pp. 81–110. [Google Scholar]
- Saneoka, H.; Nagasaka, C.; Hahn, D.T.; Yang, W.J.; Premachandra, G.S.; Joly, R.J.; Rhodes, D. Salt tolerance of glycinebetaine-deficient and-containing maize lines. Plant Physiol. 1995, 107, 631–638. [Google Scholar] [CrossRef]
- Yang, G.; Rhodes, D.; Joly, R.J. Effects of high temperature on membrane stability and chlorophyll fluorescence in glycinebetaine-deficient and glycinebetaine-containing maize lines. Aust. J. Plant Physiol. 1996, 23, 437–443. [Google Scholar] [CrossRef]
- Graef, F.; Züghart, W.; Hommel, B.; Heinrich, U.; Stachow, U.; Werner, A. Methodological scheme for designing the monitoring of genetically modified crops at the regional scale. Environ. Monit. Assess. 2005, 111, 1–26. [Google Scholar] [CrossRef] [PubMed]
- Sun, Y.; Liu, X.; Fu, L.; Qin, P.; Li, T.; Ma, X.; Wang, X.N. Overexpression of TaBADH increases salt tolerance in Arabidopsis. Canad. J. Plant Sci. 2019, 99, 546–555. [Google Scholar] [CrossRef]
- Yu, H.Q.; Zhou, X.Y.; Wang, Y.G.; Zhou, S.F.; Fu, F.L.; Li, W.C. A betaine aldehyde dehydrogenase gene from Ammopiptanthus nanus enhances tolerance of Arabidopsis to high salt and drought stresses. Plant Growth Regul. 2017, 83, 265–276. [Google Scholar] [CrossRef]
- Zhao, H.; Zhang, Q.; Zhang, M.; Jin, Y.K.; Jiang, Z.Z.; Jiang, N.; Wang, Q.; Qu, J.; Guan, S.Y.; Wang, P.W. Drought tolerance in high-generation transgenic maize inbred lines overexpressing the betaine aldehyde dehydrogenase gene. Cereal Res. Commun. 2020, 49, 183–192. [Google Scholar] [CrossRef]
- Ali, A.; Ali, Q.; Iqbal, M.S.; Nasir, I.A.; Wang, X. Salt tolerance of potato genetically engineered with the Atriplex canescens BADH gene. Biol. Plant 2020, 64, 271–279. [Google Scholar] [CrossRef]
- Rezaei Qusheh Bolagh, F.; Solouki, A.; Tohidfar, M.; Zare Mehrjerdi, M.; Izadi-Darbandi, A.; Vahdati, K. Agrobacterium-mediated transformation of Persian walnut using BADH gene for salt and drought tolerance. J. Hortic. Sci. Biotechnol. 2020, 96, 162–171. [Google Scholar] [CrossRef]
- Li, P.; Cai, J.; Luo, X.; Chang, T.; Xu, Y. Transformation of wheat Triticum aestivum with the HvBADH1 transgene from hulless barley improves salinity-stress tolerance. Acta Physiol. Plant. 2019, 41, 155. [Google Scholar] [CrossRef]
- Olivier, S.; Franco, W.; Michael, W.; Franz, B. A conceptual framework for the design of environmental post-market monitoring of genetically modified plants. Environ. Biosaf. Res. 2005, 4, 13–27. [Google Scholar]
- Jepson, P.C.; Croft, B.A.; Pratt, G.E. Test systems to determine the ecological risks posed by toxin release from Bacillus thu-ringiensis genes in crop plants. Mol. Ecol. 2010, 3, 81–89. [Google Scholar] [CrossRef]
- Yang, M.; Wen, Z.; Fazal, A.; Hua, X.; Yang, Y. Impact of a G2-EPSPS & GAT Dual Transgenic Glyphosate-Resistant Soybean Line on the Soil Microbial Community under Field Conditions Affected by Glyphosate Application. Microbes Environ. 2020, 35, ME20056. [Google Scholar]
- Lu, G.H.; Zhu, Y.L.; Kong, L.R.; Cheng, J.; Tang, C.Y.; Hua, X.M.; Meng, F.F.; Pang, Y.J.; Yang, R.W.; Qi, J.L.; et al. Impact of a Glyphosate-Tolerant Soybean Line on the Rhizobacteria, Revealed by Illumina MiSeq. J. Microbiol. Biotechnol. 2017, 27, 561–572. [Google Scholar] [CrossRef] [PubMed]
- Song, X.; Chang, L.; Reddy, G.V.P.; Zhang, L.; Fan, C.; Wang, B. Use of Taxonomic and Trait-Based Approaches to Evaluate the Effects of Transgenic Cry1Ac Corn on the Community Characteristics of Soil Collembola. Environ. Entomol. 2019, 48, 263–269. [Google Scholar] [CrossRef]
- Fan, C.; Wu, F.; Dong, J.; Wang, B.; Yin, J.; Song, X. No impact of transgenic cry1Ie maize on the diversity, abundance and composition of soil fauna in a 2-year field trial. Sci. Rep. 2019, 9, 10333. [Google Scholar] [CrossRef]
- Chen, Y.; Pan, L.; Ren, M.; Li, J.; Guan, X.; Tao, J. Comparison of genetically modified insect-resistant maize and non-transgenic maize revealed changes in soil metabolomes but not in rhizosphere bacterial community. GM Crop. Food 2022, 13, 1–14. [Google Scholar] [CrossRef]
- Wu, W.X.; Ye, Q.F.; Hang, M. Effect of straws from Bt-transgenic rice on selected biological activities in water-flooded soil. Eur. J. Soil Biol. 2004, 40, 15–22. [Google Scholar] [CrossRef]
- Griffiths, B.S.; Caul, S.; Thompson, J.; Birch, A.N.; Scrimgeour, C.; Cortet, J.; Foggo, A.; Hackett, C.A.; Krogh, P.H. Soil microbial and faunal community responses to bt maize and insecticide in two soils. J. Environ. Qual. 2017, 35, 734–741. [Google Scholar] [CrossRef] [PubMed]
- Li, X.; Liu, B.; Cui, J.; Liu, D.D.; Ding, S.; Gilna, B.; Luo, J.Y.; Fang, Z.X.; Cao, W.; Han, Z.M. No evidence of persistent effects of continuously planted transgenic insect-resistant cotton on soil microorganisms. Plant Soil 2011, 339, 247–257. [Google Scholar] [CrossRef]
- Milling, A.; Smalla, K.; Maidl, F.X.; Schloter, M.; Munch, J.C. Effects of transgenic potatoes with an altered starch composition on the diversity of soil and rhizosphere bacteria and fungi. Plant Soil 2004, 266, 23–39. [Google Scholar] [CrossRef]
- Van Wyk, D.A.B.; Adeleke, R.; Rhode, O.H.J.; Bezuidenhout, C.C.; Mienie, C. Ecological guild and enzyme activities of rhizosphere soil microbial communities associated with Bt-maize cultivation under field conditions in North West Province of South Africa. J. Basic Microbiol. 2017, 57, 781–792. [Google Scholar] [CrossRef]
- Then, C.; Miyazaki, J.; Bauer-Panskus, A. Deficiencies in the Risk Assessment of Genetically Engineered Bt Cowpea Approved for Cultivation in Nigeria: A Critical Review. Plants 2022, 11, 380. [Google Scholar] [CrossRef]
- Zeng, X.; Zhou, Y.; Zhu, Z.; Zu, H.; Wang, S.; Di, H.; Wang, Z. Effect on Soil Properties of BcWRKY1 Transgenic Maize with Enhanced Salinity Tolerance. Int. J. Genom. 2016, 2016, 6019046. [Google Scholar]
- Höss, S.; Nguyen, H.T.; Menzel, R.; Pagel-Wieder, S.; Miethling-Graf, R.; Tebbe, C.C.; Jehle, J.A.; Traunspurger, W. Assessing the risk posed to free-living soil nematodes by a genetically modified maize expressing the insecticidal Cry3Bb1 protein. Sci. Total Environ. 2011, 409, 2674–2684. [Google Scholar] [CrossRef]
- Manachini, B.; Lozzia, G.C. First investigations into the effects of Bt corn crop on Nematofauna. Boll Zool Agr. Bachic. Ser. II 2002, 34, 85–96. [Google Scholar]
- Lin, Q.; Chen, F.J.; Liu, M.Q.; Chen, X.Y.; Zhu, X.Y.; Li, H.X.; Hu, F. Effects of short-term planning of the transgenic bt rice lines on soil microbial biomass and soil nematode assemblage. Chin. J. Ecol. 2013, 32, 975–2980. [Google Scholar]
- Chen, Q.; Yang, B.; Liu, X.; Chen, F.; Ge, F. Long-term cultivation of Bt rice expressing the Cry1Ab/1Ac gene reduced phytoparasitic nematode abundance but did not affect other nematode parameters in paddy fields. Sci. Total Environ. 2017, 607–608, 463–474. [Google Scholar] [CrossRef] [PubMed]
- Liu, T.; Chen, X.; Qi, L.; Chen, F.; Liu, M.; Whalen, J.K. Root and detritus of transgenic Bt crop did not change nematode abundance and community composition but enhanced trophic connections. Sci. Total Environ. 2018, 644, 822–829. [Google Scholar] [CrossRef] [PubMed]
- Bai, X.; Zeng, X.; Huang, S.; Liang, J.; Dong, L.; Wei, Y.; Li, Y.; Qu, J.; Wang, Z. Marginal impact of cropping BADH transgenic maize BZ-136 on chemical property, enzyme activity, and bacterial community diversity of rhizosphere soil. Plant Soil 2019, 436, 527–541. [Google Scholar] [CrossRef]
- Veimourougane, A.K.; Sahu, A. Impact of transgenic cottons expressing crylAc on soil biological attributes. Plant Soil Environ. 2013, 59, 108–114. [Google Scholar] [CrossRef]
- Frankenberger, W.T.; Bingham, F.T. Influence of Salinity on Soil Enzyme Activities. Soil Sci. Soc. Am. J. 1982, 46, 1173–1177. [Google Scholar] [CrossRef]
- Maacaroun, A. Effect of the irrigation with saline water on the behavior of 2 soil enzymes urease and saccharase. Soil Respir. Soil Humidity 2008, 51, 95–98. [Google Scholar]
- Kim, S.W.; Jeong, S.W.; An, Y.J. Application of a soil quality assessment system using ecotoxicological indicators to evaluate contaminated and remediated soils. Environ. Geochem. Health 2020, 42, 1681–1690. [Google Scholar] [CrossRef] [PubMed]
- Griffiths, B.S.; Caul, S.; Thompson, J.; Birch, A.N.E.; Scrimgeour, C.; Andersen, M.N.; Cortet, J.; Messéan, A.; Sausse, C.; Lacroix, B.; et al. A Comparison of Soil Microbial Community Structure, Protozoa and Nematodes in Field Plots of Conventional and Genetically Modified Maize Expressing the Bacillus thuringiens is CryIAb Toxin. Plant Soil 2005, 275, 135–146. [Google Scholar] [CrossRef]
- Sanvido, O.; Aviron, S.; Romeis, J.; Bigler, F. Challenges and perspectives in decision-making during post-market environmental monitoring of genetically modified crops. J. Verbrauch. Lebensm. 2007, 2, 37–40. [Google Scholar] [CrossRef]
- Priestley, A.L.; Brownbridge, M. Field trials to evaluate effects of Bt-transgenic silage corn expressing the Cry1Ab insecticidal toxin on non-target soil arthropods in northern New England, USA. Transgenic Res. 2009, 18, 425–443. [Google Scholar] [CrossRef] [PubMed]
- Guan, Z.J.; Wei, W.; Stewart, C.N.; Tang, Z.X. Effects of transgenic oilseed rape harboring the Cry1Ac gene on microbial communities in the rhizosphere soil. Eur. J. Soil Biol. 2021, 103, 103277. [Google Scholar] [CrossRef]
- Li, O.; Li, Y.; Shi, J.; Yu, Z.; Pan, A.; Tang, X.; Ming, F. Impact of transgenic Cry1Ac + CpTI cotton on diversity and dynamics of rhizosphere bacterial community of different root environments. Sci. Total Environ. 2018, 637–638, 233–243. [Google Scholar] [CrossRef]
- Song, Y.; Liu, J.; Chen, F. Elevated CO2 not increased temperature has specific effects on soil nematode community either with planting of transgenic Bt rice or non-Bt rice. PeerJ 2020, 8, e8547. [Google Scholar] [CrossRef]
- Wu, N.; Shi, W.; Liu, W.; Gao, Z.; Han, L.; Wang, X. Differential impact of Bt-transgenic rice plantings on bacterial community in three niches over consecutive years. Ecotoxicol. Environ. Saf. 2021, 223, 112569. [Google Scholar] [CrossRef]
- Song, Y.-Y.; Liu, J.-W.; Li, L.-K.; Liu, M.-Q.; Chen, X.-Y.; Chen, F.-J. Evaluating the effects of transgenic Bt rice cultivation on soil stability. Environ. Sci. Pollut. Res. Int. 2020, 27, 17412–17419. [Google Scholar] [CrossRef]



| Source | df | F | P |
|---|---|---|---|
| Urease activity | |||
| maize variety | 2 | 0.66 | 0.42 |
| Sampling time | 11 | 51.40 | 0.00 |
| Dehydrogenase activity | |||
| maize variety | 2 | 0.10 | 0.75 |
| Sampling time | 11 | 10.28 | 0.00 |
| Sucrase activity | |||
| maize variety | 2 | 0.21 | 0.64 |
| Sampling time | 11 | 24.43 | 0.00 |
| Genus | c-p | B73 | BQ-2 | Qi319 | |||
|---|---|---|---|---|---|---|---|
| Relative Frequency (%) | Dominance | Relative Frequency (%) | Dominance | Relative Frequency (%) | Dominance | ||
| Bacterivores | |||||||
| Acrobeles | 2 | 20.27 ± 0.28 a | +++ | 20.05 ± 0.49 a | +++ | 20.35 ± 0.04 a | +++ |
| Acrobeloides | 2 | 2.94 ± 0.08 a | ++ | 2.97 ± 0.03 a | ++ | 2.71 ± 0.05 b | ++ |
| Alaimus | 4 | 3.04 ± 0.03 b | ++ | 3.43 ± 0.02 a | ++ | 2.60 ± 0.06 c | ++ |
| Cephalobus | 2 | 12.52 ± 0.26 c | +++ | 13.20 ± 0.31 b | +++ | 13.73 ± 0.07 a | +++ |
| Cervidellus | 2 | 1.33 ± 0.01 b | ++ | 1.45 ± 0.03 a | ++ | 1.35 ± 0.04 b | ++ |
| Chiloplacus | 2 | 0.39 ± 0.02 b | + | 0.45 ± 0.05 b | + | 0.58 ± 0.03 a | + |
| Eucephalobus | 2 | 0.75 ± 0.03 b | + | 0.85 ± 0.07 a | + | 0.78 ± 0.01 ab | + |
| Mesorhabditis | 1 | 1.17 ± 0.05 a | ++ | 1.00 ± 0.01 b | ++ | 0.92 ± 0.01 c | ++ |
| Caenorhabditis | 1 | 8.83 ± 0.36 a | ++ | 7.35 ± 0.17 b | ++ | 7.80 ± 0.13 b | ++ |
| Prismatolainus | 3 | 0.73 ± 0.03 a | + | 0.73 ± 0.04 a | + | 0.76 ± 0.01 a | + |
| Protorhabditis | 1 | 4.90 ± 0.10 b | ++ | 4.90 ± 0.02 b | ++ | 4.64 ± 0.03 a | ++ |
| Rhabditis | 2 | 3.76 ± 0.47 a | ++ | 3.96 ± 0.07 a | ++ | 4.01 ± 0.06 a | ++ |
| Placodira | 2 | 1.29 ± 0.05 a | ++ | 1.21 ± 0.02 b | ++ | 1.13 ± 0.01 c | ++ |
| Plectus | 2 | 0.76 ± 0.02 ab | + | 0.71 ± 0.02 b | + | 0.81 ± 0.04 a | + |
| Fungivores | |||||||
| Aphelenchus | 2 | 1.31 ± 0.01 b | ++ | 1.40 ± 0.01 a | ++ | 1.32 ± 0.04 b | ++ |
| Ditylenchus | 2 | 2.80 ± 0.02 a | ++ | 2.78 ± 0.08 a | ++ | 2.80 ± 0.11 a | ++ |
| Doryllium | 4 | 0.38 ± 0.01 b | + | 0.37 ± 0.02 b | + | 0.55 ± 0.01 a | + |
| Tylencholaimus | 4 | 0.50 ± 0.01 b | + | 0.55 ± 0.05 ab | + | 0.57 ± 0.02 a | + |
| Omnivore–predators | |||||||
| Aporcelaimus | 5 | 0.34 ± 0.03 b | + | 0.28 ± 0.03 c | + | 0.42 ± 0.03 a | + |
| Discolaimus | 5 | 0.45 ± 0.01 a | + | 0.39 ± 0.04 ab | + | 0.38 ± 0.03 b | + |
| Dorylaimus | 4 | 0.81 ± 0.03 b | + | 0.93 ± 0.02 a | + | 0.92 ± 0.03 a | + |
| Eudorylaimus | 4 | 0.73 ± 0.04 a | + | 0.79 ± 0.09 a | + | 0.72 ± 0.01 a | + |
| Mesodorylaimus | 5 | 0.37 ± 0.02 b | + | 0.34 ± 0.04 b | + | 0.68 ± 0.03 a | + |
| Microdorylaimus | 4 | 0.44 ± 0.03 a | + | 0.40 ± 0.04 a | + | 0.42 ± 0.03 a | + |
| Doryllium | 4 | 1.36 ± 0.03 a | ++ | 1.37 ± 0.01 a | ++ | 1.40 ± 0.04 a | ++ |
| Enchodelusthorne | 4 | 0.38 ± 0.03 a | + | 0.18 ± 0.04 b | + | 0.35 ± 0.03 a | + |
| Thorneella | 4 | 0.17 ± 0.01 a | + | 0.12 ± 0.03 a | + | 0.18 ± 0.05 a | + |
| Plant parasites | |||||||
| Filenchus | 2 | 1.06 ± 0.06 b | ++ | 1.01 ± 0.05 b | ++ | 1.21 ± 0.05 a | ++ |
| Helicotylenchus | 3 | 1.90 ± 0.18 b | ++ | 1.91 ± 0.23 b | ++ | 2.29 ± 0.01 a | ++ |
| Nothotylenchus | 2 | 1.32 ± 0.03 b | ++ | 1.45 ± 0.08 a | ++ | 1.26 ± 0.05 b | ++ |
| Pratylenchus | 3 | 19.18 ± 0.21 a | +++ | 19.43 ± 0.22 a | +++ | 18.12 ± 0.53 b | +++ |
| Psilenchus | 3 | 0.27 ± 0.01 a | + | 0.26 ± 0.06 a | + | 0.29 ± 0.04 a | + |
| T’ylenchorhynchus | 3 | 0.61 ± 0.01 c | + | 0.73 ± 0.03 b | + | 0.80 ± 0.01 a | + |
| Tylenchus | 3 | 1.66 ± 0.03 a | ++ | 1.72 ± 0.03 a | ++ | 1.64 ± 0.06 a | ++ |
| Oxydirus | 5 | 0.58 ± 0.01 a | + | 0.54 ± 0.02 b | + | 0.58 ± 0.03 ab | + |
| Cephalenchus | 3 | 0.33 ± 0.03 b | + | 0.33 ± 0.06 b | + | 0.47 ± 0.03 a | + |
| Xiphinema | 5 | 0.36 ± 0.02 b | + | 0.45 ± 0.05 a | + | 0.48 ± 0.03 a | + |
| Material | Ba | Fu | OP | PP | Total |
|---|---|---|---|---|---|
| BQ-2 | 1176.22 ± 21.99 a | 96.33 ± 0.67 ab | 90.67 ± 3.28 b | 526.11 ± 2.46 a | 1889.33 ± 20.51 a |
| Qi319 | 1175.44 ± 2.83 a | 99.22 ± 3.37 a | 103.44 ± 3.66 a | 513.22 ± 12.74 a | 1891.33 ± 17.14 a |
| B73 | 1180.67 ± 11.86 a | 94.11 ± 1.17 b | 95.00 ± 1.86 b | 513.89 ± 5.74 a | 1883.67 ± 18.93 a |
| Factor | Ba | Fu | OP | PP | Total |
|---|---|---|---|---|---|
| Material | 0.14 | 1.22 | 7.03 ** | 1.80 | 0.11 |
| years | 2.35 | 0.50 | 1.39 | 1.17 | 2.54 |
| Material × Year | 0.62 | 0.16 | 0.07 | 0.56 | 0.01 |
| Material | S | H | C | J | RNC | IW | IM | IPP |
|---|---|---|---|---|---|---|---|---|
| BQ-2 | 4.77 ± 0.01 a | 2.71 ± 0.02 b | 0.11 ± 0.00 a | 0.75 ± 0.00 b | 0.92 ± 0.00 b | 2.42 ± 0.05 a | 2.34 ± 0.01 a | 0.83 ± 0.01 a |
| Qi319 | 4.77 ± 0.01 a | 2.75 ± 0.01 a | 0.11 ± 0.00 a | 0.76 ± 0.00 a | 0.92 ± 0.00 b | 2.49 ± 0.05 a | 2.34 ± 0.00 a | 0.81 ± 0.01 a |
| B73 | 4.77 ± 0.01 a | 2.71 ± 0.01 b | 0.11 ± 0.00 a | 0.75 ± 0.00 b | 0.93 ± 0.00 a | 2.48 ± 0.01 a | 2.32 ± 0.00 b | 0.81 ± 0.00 a |
| Factor | S | H | C | J | RNC | IW | IM | IPP |
|---|---|---|---|---|---|---|---|---|
| Material | 0.11 | 6.73 ** | 2.75 | 6.72 ** | 1.68 | 1.72 | 11.18 ** | 2.41 |
| years | 2.56 | 2.56 | 2.56 | 2.56 | 0.11 | 0.01 | 0.71 | 0.05 |
| Material × Year | 0.02 | 0.48 | 0.38 | 0.48 | 0.38 | 1.16 | 0.41 | 0.96 |
Publisher’s Note: MDPI stays neutral with regard to jurisdictional claims in published maps and institutional affiliations. |
© 2022 by the authors. Licensee MDPI, Basel, Switzerland. This article is an open access article distributed under the terms and conditions of the Creative Commons Attribution (CC BY) license (https://creativecommons.org/licenses/by/4.0/).
Share and Cite
Zeng, X.; Pei, T.; Song, Y.; Guo, P.; Zhang, H.; Li, X.; Li, H.; Di, H.; Wang, Z. A Three-Year Plant Study of Salt-Tolerant Transgenic Maize Showed No Effects on Soil Enzyme Activity and Nematode Community. Life 2022, 12, 412. https://doi.org/10.3390/life12030412
Zeng X, Pei T, Song Y, Guo P, Zhang H, Li X, Li H, Di H, Wang Z. A Three-Year Plant Study of Salt-Tolerant Transgenic Maize Showed No Effects on Soil Enzyme Activity and Nematode Community. Life. 2022; 12(3):412. https://doi.org/10.3390/life12030412
Chicago/Turabian StyleZeng, Xing, Tongtong Pei, Yongfeng Song, Pei Guo, Huilan Zhang, Xin Li, Hao Li, Hong Di, and Zhenhua Wang. 2022. "A Three-Year Plant Study of Salt-Tolerant Transgenic Maize Showed No Effects on Soil Enzyme Activity and Nematode Community" Life 12, no. 3: 412. https://doi.org/10.3390/life12030412
APA StyleZeng, X., Pei, T., Song, Y., Guo, P., Zhang, H., Li, X., Li, H., Di, H., & Wang, Z. (2022). A Three-Year Plant Study of Salt-Tolerant Transgenic Maize Showed No Effects on Soil Enzyme Activity and Nematode Community. Life, 12(3), 412. https://doi.org/10.3390/life12030412

