Initial Transarterial Chemoembolization (TACE) Using HepaSpheres 20–40 µm and Subsequent Lipiodol TACE in Patients with Hepatocellular Carcinoma > 5 cm
Abstract
1. Introduction
2. Materials and Methods
2.1. Patient Population
2.2. Preparation for HepaSphere Treatment
2.3. HepaSphere and Cisplatin-Based Lipiodol Transarterial Chemoembolization
2.4. Follow-Up
2.5. Definitions and Statistical Analysis
3. Results
3.1. Technical Outcomes after DEB-TACE Using HepaSpheres 20–40 µm
3.2. Safety
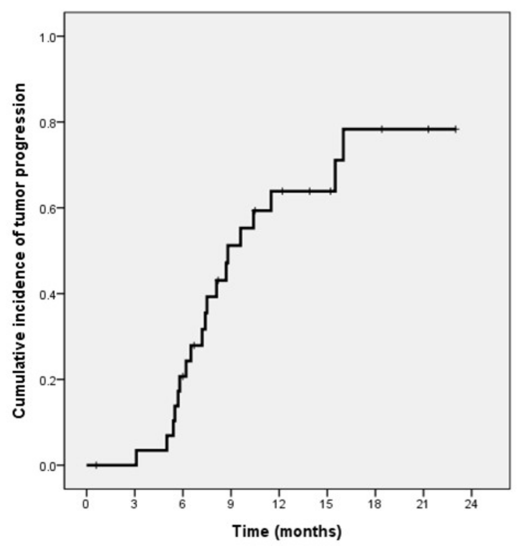
3.3. Tumor Response
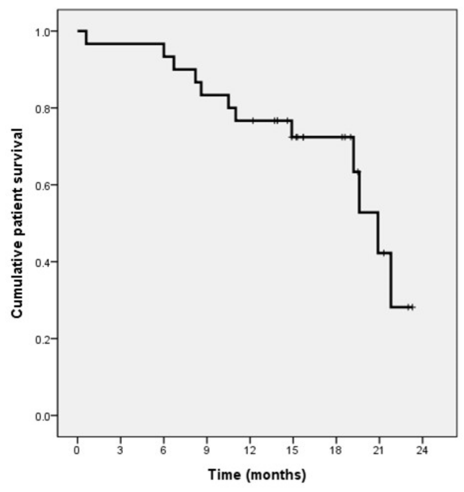
3.4. Survival and Follow-Up Outcomes
4. Discussion
5. Conclusions
Author Contributions
Funding
Institutional Review Board Statement
Informed Consent Statement
Conflicts of Interest
References
- Lo, C.M.; Ngan, H.; Tso, W.K.; Liu, C.L.; Lam, C.M.; Poon, R.T.P.; Fan, S.-T.; Wong, J. Randomized controlled trial of transarterial lipiodol chemoembolization for unresectable hepatocellular carcinoma. Hepatology 2002, 35, 1164–1171. [Google Scholar] [CrossRef]
- Kim, J.H.; Shim, J.H.; Lee, H.C.; Sung, K.B.; Ko, H.K.; Ko, G.Y.; Gwon, D.I.; Kim, J.W.; Lim, Y.-S.; Park, S.H. New intermediate-stage subclassification for patients with hepatocellular carcionoma treated with transarterial chemoembolization. Liver Int. 2017, 37, 1861–1868. [Google Scholar] [CrossRef]
- Fritsche, M.R.; Watchmaker, J.M.; Lipnik, A.J.; Baker, J.C.; Geevarghese, S.; Banovac, F.; Omary, R.A.; Brown, D.B. Outpatient transarterial chemoembolization of hepatocellular carcinoma: Review of a same-day discharge strategy. J. Vasc. Interv. Radiol. 2018, 29, 550–555. [Google Scholar] [CrossRef]
- Grosso, M.; Vignali, C.; Quaretti, P.; Nicolini, A.; Melchiorre, F.; Gallarato, G.; Bargellini, I.; Petruzzi, P.; Saluzzo, C.M.; Crespi, S.; et al. Transarterial chemoembolization for hepatocellular carcinoma with drug-eluting microspheres: Preliminary results from an Italian multicentre study. Cardiovasc. Intervent. Radiol. 2008, 31, 1141–1149. [Google Scholar] [CrossRef] [PubMed]
- Lammer, J.; Malagari, K.; Vogl, T.; Pilleul, F.; Denys, A.; Watkinson, A.; Pitton, M.; Sergent, G.; Pfammatter, T.; Terraz, S.; et al. Prospective randomized study of doxorubicin eluting-bead embolization in the treatment of hepatocellular carcinoma: Results of the PRECISION V study. Cardiovasc. Intervent. Radiol. 2010, 33, 41–52. [Google Scholar] [CrossRef]
- Sun, J.H.; Zhou, G.H.; Zhang, Y.L.; Nie, C.H.; Zhou, T.Y.; Ai, J.; Zhu, T.-Y.; Wamg, W.-L.; Zheng, S.-S. Chemoembolization of liver cancer with drug loading microsphere 50–100μm. Oncotarget 2017, 8, 5392–5399. [Google Scholar] [CrossRef] [PubMed]
- Lee, M.; Chung, J.W.; Lee, K.H.; Won, J.Y.; Chun, H.J.; Lee, H.C.; Kim, J.H.; Lee, I.J.; Hur, S.; Kim, H.-C.; et al. Korean multicenter registry of transcatheter arterial chemoembolization with drug-eluting embolic agents for nodular hepatocellular carcinomas: Six-month outcome analysis. J. Vasc. Interv. Radiol. 2017, 28, 502–512. [Google Scholar] [CrossRef] [PubMed]
- D’inca, H.; Piot, O.; Diebold, M.D.; Piardi, T.; Marcus, C.; Burde, F.; Sommacale, D.; Manfait, M.; Thiéfin, G. Doxorubicin drug-eluting embolic chemoembolization of hepatocellular carcinoma: Study of midterm doxorubicin delivery in resected liver specimens. J. Vasc. Interv. Radiol. 2017, 28, 804–810. [Google Scholar] [CrossRef] [PubMed]
- Varela, M.; Real, M.I.; Burrel, M.; Forner, A.; Sala, M.; Brunet, M.; Ayuso, C.; Castells, L.; Montañá, X.; Llovet, J.M.; et al. Chemoembolization of hepatocellular carcinoma with drug-eluting polyethylene glycol embolic agents: Single-center retrospective analysis in 302 patients. J. Vasc. Interv. Radiol. 2018, 29, 841–849. [Google Scholar]
- Chu, H.H.; Gwon, D.I.; Kim, J.H.; Ko, G.Y.; Shin, J.H.; Yoon, H.K. Drug-eluting microsphere versus cisplatin-based transarterial chemoembolization for the treatment of hepatocellular carcinoma: Propensity score-matched analysis. AJR Am. J. Roentgenol. 2020, 215, 745–752. [Google Scholar] [CrossRef]
- Song, M.J.; Chun, H.J.; Kim, H.Y.; Yoo, S.H.; Park, C.H.; Bae, S.H.; Choi, J.Y.; Chang, U.I.; Yang, J.M.; Lee, H.G.; et al. Comparative study between doxorubicin-eluting beads and conventional transarterial chemoembolization for treatment of hepatocellular carcinoma. J. Hepatol. 2012, 57, 1244–1250. [Google Scholar] [CrossRef]
- Kucukay, F.; Badem, S.; Karan, A.; Ozdemir, M.; Okten, R.S.; Ozbulbul, N.I.; Kucukay, M.B.; Unlu, I.; Bostanci, E.B.; Akdogan, M. A single-center retrospective comparison of doxorubicin-loaded HepaSphere transarterial chemoembolization with conventional transarterial chemoembolization for patients with unresectable hepatocellular carcinoma. J. Vasc. Interv. Radiol. 2015, 26, 1622–1629. [Google Scholar] [CrossRef] [PubMed]
- Gao, S.; Yang, Z.; Zheng, Z.; Yao, J.; Deng, M.; Xie, H.; Zheng, S.; Zhou, L. Doxorubicin-eluting bead versus conventional TACE for unresectable hepatocellular carcinoma: A meta-analysis. Hepatogastroenterology 2013, 60, 813–820. [Google Scholar]
- Kloeckner, R.; Weinmann, A.; Prinz, F.; dos Santos, D.P.; Ruckes, C.; Dueber, C.; Pitton, M.B. Conventional transarterial chemoembolization versus drug-eluting bead transarterial chemoembolization for the treatment of hepatocellular carcinoma. BMC Cancer 2015, 15, 465. [Google Scholar] [CrossRef]
- Lee, Y.K.; Jung, K.S.; Kim, D.Y.; Choi, J.Y.; Kim, B.K.; Kim, S.U.; Park, S.I.; Won, J.Y.; Lee, D.Y. Conventional versus drug-eluting beads chemoembolization for hepatocellular carcinoma: Emphasis on the impact of tumor size. J. Gastroenterol. Hepatol. 2017, 32, 487–496. [Google Scholar] [CrossRef] [PubMed]
- Malagari, K.; Pomoni, M.; Moschouris, H.; Bouma, E.; Koskinas, J.; Stefaniotou, A.; Marinis, A.; Kelekis, A.; Alexopoulou, E.; Chatziioannou, A.; et al. Chemoembolization with doxorubicin eluting beads for unresectable hepatocellular carcinoma: Five-year survival analysis. Cardiovasc. Intervent. Radiol. 2012, 35, 1119–1128. [Google Scholar] [CrossRef]
- Malagari, K.; Pomoni, M.; Spyridopoulos, T.N.; Moschouris, H.; Kelekis, A.; Dourakis, S.; Alexopoulou, E.; Koskinas, J.; Angelopoulos, M.; Kornezos, J.; et al. Safety profile of sequential transcatheter chemoembolization with DC beadTM: Results of 237 hepatocellular carcinoma (HCC) patients. Cardiovasc. Interv. Radiol. 2011, 34, 774–785. [Google Scholar] [CrossRef] [PubMed]
- Padia, S.A.; Shivaram, G.; Bastawrous, S.; Bhargava, P.; Vo, N.J.; Vaidya, S.; Valji, K.; Harris, W.P.; Hippe, D.S.; Kogut, M.J. Safety and efficacy of drug-eluting bead chemoembolization for hepatocellular carcinoma: Comparison of small- versus medium-size particles. J. Vasc. Interv. Radiol. 2013, 24, 301–306. [Google Scholar] [CrossRef]
- Odisio, B.C.; Ashton, A.; Yan, Y.; Wei, W.; Kaseb, A.; Wallace, M.J.; Vauthey, J.N.; Gupta, S.; Tam, A.L. Transarterial hepatic chemoembolization with 70–150 μm drug-eluting beads: Assessment of clinical safety and liver toxicity profile. J. Vasc. Interv. Radiol. 2015, 26, 965–971. [Google Scholar] [CrossRef] [PubMed]
- Aliberti, C.; Carandina, R.; Lonardi, S.; Dadduzio, V.; Vitale, A.; Gringeri, E.; Zanus, G.; Cillo, U. Transarterial chemoembolization with small drug-eluting beads in patients with hepatocellular carcinoma: Experience from a cohort of 421 patients at an Italian center. J. Vasc. Interv. Radiol. 2017, 28, 1495–1502. [Google Scholar] [CrossRef] [PubMed]
- Nouri, Y.M.; Kim, J.H.; Yoon, H.K.; Ko, H.K.; Shin, J.H.; Gwon, D.I. Update on transarterial chemoembolization with drug-eluting microspheres for hepatocellular carcinoma. Korean J. Radiol. 2019, 20, 34–49. [Google Scholar] [CrossRef] [PubMed]
- Malagari, K.; Pomoni, M.; Moschouris, H.; Kelekis, A.; Charokopakis, A.; Bouma, E.; Spyridopoulos, T.; Chatziioannou, A.; Sotirchos, V.; Karampelas, T.; et al. Chemoembolization of hepatocellular carcinoma with HepaSphere 30–60 μm. Safety and efficacy study. Cardiovasc. Intervent. Radiol. 2014, 37, 165–175. [Google Scholar] [CrossRef]
- Lencioni, R.; Llovet, J.M. Modified RECIST (mRECIST) assessment for hepatocellular carcinoma. Semin. Liver Dis. 2010, 30, 52–60. [Google Scholar] [CrossRef]
- Malagari, K.; Moschouris, H.; Kiakidis, T.; Harward, S.; Kelekis, A.; Vrakas, S.; Elefsiniotis, I.; Koskinas, J.; Dourakis, S.; Kelekis, N. Five-years outcome analysis of 142 consecutive hepatocellular carcinoma patients treated with doxorubicin eluting microscpheres 30–60 μm: Results from a single-centre prospective phase II trial. J. Vasc. Interv. Radiol. 2019, 42, 1551–1562. [Google Scholar]
- Sacks, D.; McClenny, T.E.; Cardella, J.F.; Lewis, C.A. Society of Interventional Radiology clinical practice guidelines. J. Vasc. Interv. Radiol. 2003, 14, S199–S202. [Google Scholar] [CrossRef]
- Prajapati, H.J.; Xing, M.; Spivey, J.R.; Hanish, S.I.; El-Rayes, B.F.; Kauh, J.S.; Chen, Z.; Kim, H.S. Survival, efficacy, and safety of small versus large doxorubicin drug-eluting beads TACE chemoembolization in patients with unresectable HCC. AJR Am. J. Roentgenol. 2014, 203, W706–W714. [Google Scholar] [CrossRef] [PubMed]
- Vesselle, G.; Quirier-Leleu, C.; Velasco, S.; Charier, F.; Silvain, C.; Boucebci, S.; Ingrand, P.; Tasu, J.P. Predictive factors for complete response of chemoembolization with drug-eluting beads (DEB-TACE) for hepatocellular carcinoma. Eur. Radiol. 2016, 26, 1640–1648. [Google Scholar] [CrossRef] [PubMed]
- Nakano, M.M.; Yamamoto, A.; Nishida, N.; Hamuro, M.; Hamamoto, S.; Jogo, A.; Sohgawa, E.; Kageyama, K.; Minami, T.; Miki, Y. Risk factors for local recurrence of hepatocellular carcinoma after transcatheter arterial chemoembolization with drug-eluting beads (DEB-TACE). Jpn. J. Radiol. 2019, 37, 543–548. [Google Scholar] [CrossRef]
- Lee, S.; Kim, K.M.; Lee, S.J.; Lee, K.H.; Lee, D.Y.; Kim, M.D.; Kim, D.Y.; Kim, S.U.; Won, J.Y. Hepatic arterial damage after transarterial chemoembolization for the treatment of hepatocellular carcinoma: Comparison of drug-eluting bead and conventional chemoembolization in a retrospective controlled study. Acta Radiol. 2017, 58, 131–139. [Google Scholar] [CrossRef]
- Suh, C.H.; Shin, J.H.; Yoon, H.M.; Yoon, H.K.; Ko, G.Y.; Gwon, D.I.; Kim, J.H.; Sung, K.B. Angiographic evaluation of hepatic arterial injury after cisplatin and Gelfoam-based transcatheter arterial chemoembolization for hepatocellular carcinoma in a 205 patient cohort during a 6-year follow-up. Br. J. Radiol. 2014, 87, 20140054. [Google Scholar] [CrossRef] [PubMed]
- Yoon, H.M.; Kim, J.H.; Kim, E.J.; Gwon, D.I.; Ko, G.Y.; Ko, H.K. Modified cisplatin-based transcatheter arterial chemoembolization for large hepatocellular carcinoma: Multivariate analysis of predictive factors for tumor response and survival in a 163-patient cohort. J. Vasc. Interv. Radiol. 2013, 24, 1639–1646. [Google Scholar] [CrossRef]
- Liu, P.H.; Su, C.W.; Hsu, C.Y.; Hsia, C.Y.; Lee, Y.H.; Huang, Y.H.; Lee, R.C.; Lin, H.C.; Huo, T.I. Solitary large hepatocellular carcinoma: Staging and treatment starategy. PLoS ONE 2016, 11, e0155588. [Google Scholar] [CrossRef]
- Zhou, J.; Liu, Y.; Ren, Z.; Zhang, Y.; Zhang, M. Transarterial chemoembolization with gelatin sponge microparticles for barcelona clinic liver cancer stage C and large hepatocellular carcinoma: Initial clinical experience. J. Cancer Bes. Ther. 2017, 13, 767–772. [Google Scholar]
- Kallini, J.R.; Gabr, A.; Salem, R.; Lewandowski, R.J. Transarterial Radioembolization with Yttrium-90 for the Treatment of Hepatocellular Carcinoma. Adv. Ther. 2016, 33, 699–714. [Google Scholar] [CrossRef] [PubMed]
- Salem, R.; Gordon, A.C.; Mouli, S.; Hickey, R.; Kallini, J.; Gabr, A.; Mulcahy, M.F.; Baker, T.; Abecassis, M.; Miller, F.H.; et al. Y90 Radioembolization Significantly Prolongs Time to Progression Compared with Chemoembolization in Patients With Hepatocellular Carcinoma. Gastroenterology 2016, 151, 1155–1163. [Google Scholar] [CrossRef] [PubMed]
- Fidelman, N.; Kerlan, R.K., Jr. Transarterial Chemoembolization and (90)Y Radioembolization for Hepatocellular Carcinoma: Review of Current Applications Beyond Intermediate-Stage Disease. AJR Am. J. Roentgenol. 2015, 205, 742–752. [Google Scholar] [CrossRef] [PubMed]
- Greco, G.; Cascella, T.; Facciorusso, A.; Nani, R.; Lanocita, R.; Morosi, C.; Vaiani, M.; Calareso, G.; Greco, F.G.; Ragnanese, A.; et al. Transarterial chemoembolization using 40 µm drug eluting beads for hepatocellular carcinoma. World J. Radiol. 2017, 9, 245–252. [Google Scholar] [CrossRef]
- Richter, G.; Radeleff, B.; Stroszczynski, C.; Pereira, P.; Helmberger, T.; Barakat, M.; Huppert, P. Safety and feasibility of chemoembolization with doxorubicin-loaded small calibrated microspheres in patients with hepatocellular carcinoma: Results of the MIRACLE I prospective multicenter study. Cardiovasc. Intervent. Radiol. 2018, 41, 587–593. [Google Scholar] [CrossRef]
- Malagari, K.; Kiakidis, T.; Pomoni, M.; Moschouris, H.; Emmanouil, E.; Spiridopoulos, T.; Sotirchos, V.; Tandeles, S.; Tandeles, D.; Kelekis, A.; et al. Pharmacokinetics, safety, and efficacy of chemoembolization with doxorubicin-loaded tightly calibrated small microspheres in patients with hepatocellular carcinoma. Cardiovasc. Intervent. Radiol. 2016, 39, 1379–1391. [Google Scholar] [CrossRef] [PubMed]




| Characteristics | Value |
|---|---|
| Age (y) | 63.8 ± 11.5 |
| Sex | |
| Male | 34 (87.2) |
| Female | 5 (12.8) |
| Etiology of cirrhosis | |
| Hepatitis B virus infection | 26 (66.7) |
| Hepatitis C virus infection | 2 (5.1) |
| Alcohol | 4 (10.3) |
| Others | 7 (17.9) |
| Child–Pugh classification | |
| A | 31 (79.5) |
| B | 8 (20.5) |
| BCLC 1 classification | |
| A | 11 (28.2) |
| B | 14 (35.9) |
| C | 14 (35.9) |
| Initial distant metastasis | 3 (7.7) |
| Initial lymph node metastasis | 4 (10.3) |
| Maximum tumor size | |
| Mean (cm) | 8.2 ± 2.4 |
| Range (cm) | 5.1–13 |
| 5–10 cm | 27 (69.2) |
| 10 cm | 12 (30.8) |
Publisher’s Note: MDPI stays neutral with regard to jurisdictional claims in published maps and institutional affiliations. |
© 2021 by the authors. Licensee MDPI, Basel, Switzerland. This article is an open access article distributed under the terms and conditions of the Creative Commons Attribution (CC BY) license (https://creativecommons.org/licenses/by/4.0/).
Share and Cite
Cho, S.M.; Chu, H.H.; Kim, J.W.; Kim, J.H.; Gwon, D.I. Initial Transarterial Chemoembolization (TACE) Using HepaSpheres 20–40 µm and Subsequent Lipiodol TACE in Patients with Hepatocellular Carcinoma > 5 cm. Life 2021, 11, 358. https://doi.org/10.3390/life11040358
Cho SM, Chu HH, Kim JW, Kim JH, Gwon DI. Initial Transarterial Chemoembolization (TACE) Using HepaSpheres 20–40 µm and Subsequent Lipiodol TACE in Patients with Hepatocellular Carcinoma > 5 cm. Life. 2021; 11(4):358. https://doi.org/10.3390/life11040358
Chicago/Turabian StyleCho, Su Min, Hee Ho Chu, Jong Woo Kim, Jin Hyung Kim, and Dong Il Gwon. 2021. "Initial Transarterial Chemoembolization (TACE) Using HepaSpheres 20–40 µm and Subsequent Lipiodol TACE in Patients with Hepatocellular Carcinoma > 5 cm" Life 11, no. 4: 358. https://doi.org/10.3390/life11040358
APA StyleCho, S. M., Chu, H. H., Kim, J. W., Kim, J. H., & Gwon, D. I. (2021). Initial Transarterial Chemoembolization (TACE) Using HepaSpheres 20–40 µm and Subsequent Lipiodol TACE in Patients with Hepatocellular Carcinoma > 5 cm. Life, 11(4), 358. https://doi.org/10.3390/life11040358

