Validating the Use of Corifollitropin Alfa in Progestin-Primed Ovarian Stimulation Protocol on Normal and High Responders by Comparing with Conventional Antagonist Protocol: A Retrospective Study
Abstract
1. Introduction
2. Materials and Methods
2.1. Study Setting and Patients
2.2. Treatment Protocol of Ovarian Stimulation and Oocyte Retrieval
2.3. Endometrial Preparation for Frozen–Thawed Embryo Transfer
2.4. Outcome Measures
2.5. Statistical Analysis
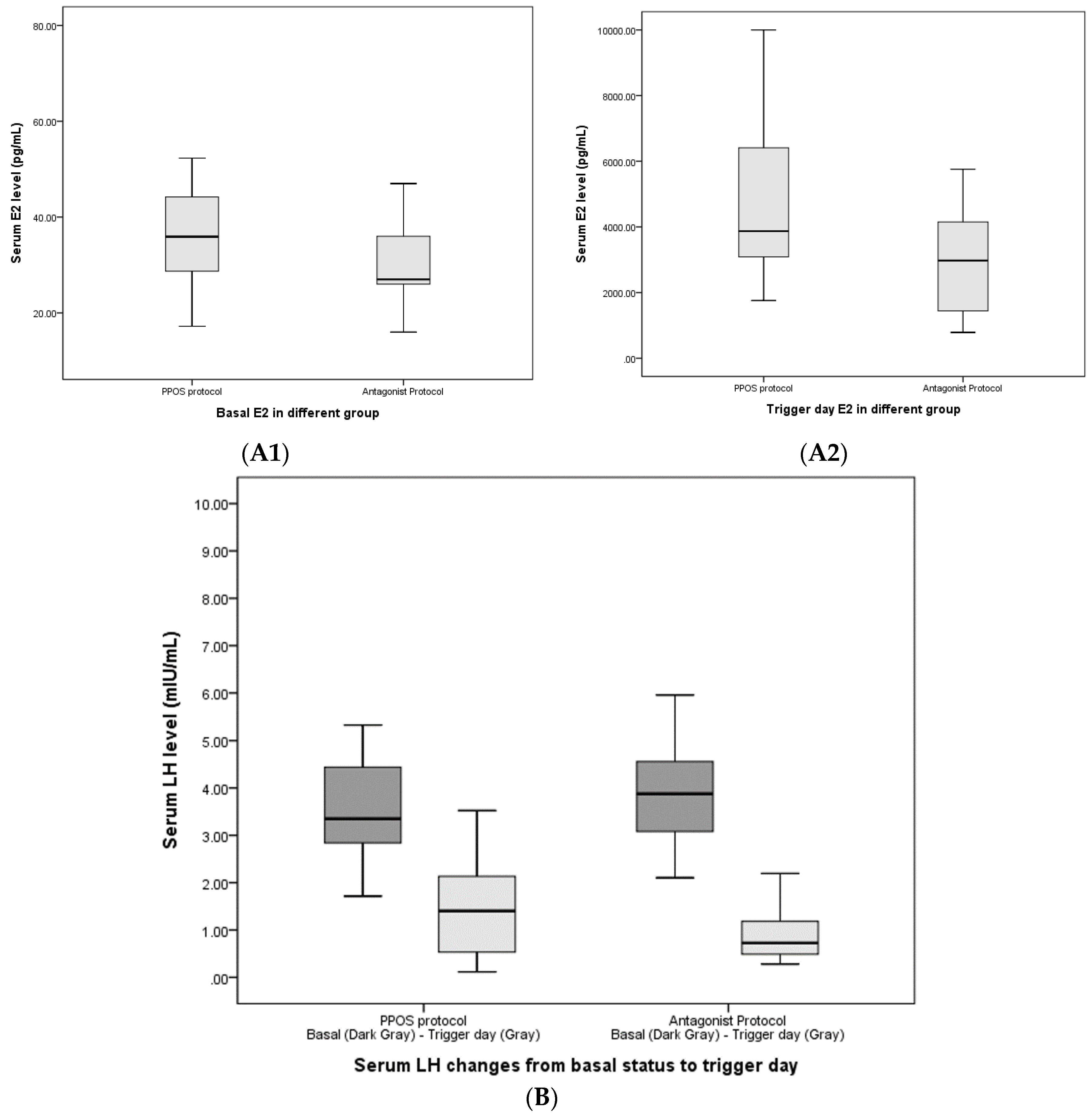
3. Results
4. Discussion
5. Conclusions
Author Contributions
Funding
Acknowledgments
Conflicts of Interest
Abbreviations
| AMH | anti-Mullerian hormone |
| AFC | antral follicle count |
| ART | assisted reproductive technology |
| BMI | body mass index |
| E2 | estradiol |
| FET | frozen–thawed embryo transfer |
| rFSH | follicular stimulation hormone (FSH), recombinant FSH |
| GnRH | gonadotropin-releasing hormone |
| hCG | human chorionic gonadotropin |
| HMG | human menopausal gonadotropin |
| ICSI | intracytoplasmic sperm injection |
| IVF | in vitro fertilization |
| LH | luteinizing hormone |
| MPA | medroxyprogesterone acetate |
| OHSS | ovarian hyperstimulation syndrome |
| P | progesterone |
| PPOS | progestin-primed ovarian stimulation |
| SD | standard deviation |
| sc | subcutaneous |
| IU | international unit |
| Kg | kilogram |
| L | liter |
References
- Maheshwari, A.; Gibreel, A.; Siristatidis, C.S.; Bhattacharya, S. Gonadotrophin releasing hormone agonist protocols for pituitary suppression in assisted reproduction. Cochrane Database Syst. Rev. 2011, CD006919. [Google Scholar] [CrossRef]
- Al-Inany, H.G.; Youssef, M.A.; Ayeleke, R.O.; Brown, J.; Lam, W.S.; Broekmans, F. Gonadotrophin-releasing hormone antagonists for assisted reproductive technology. Cochrane Database Syst. Rev. 2016, CD001750. [Google Scholar] [CrossRef]
- Von Wolff, M.; Thaler, C.J.; Frambach, T.; Zeeb, C.; Lawrenz, B.; Popovici, R.M.; Strowitzki, T. Ovarian stimulation to cryopreserve fertilized oocytes in cancer patients can be started in the luteal phase. Fertil. Steril. 2009, 92, 1360–1365. [Google Scholar] [CrossRef] [PubMed]
- Boots, C.E.; Meister, M.; Cooper, A.R.; Hardi, A.; Jungheim, E.S. Ovarian stimulation in the luteal phase: Systematic review and meta-analysis. J. Assist. Reprod. Genet. 2016, 33, 971–980. [Google Scholar] [CrossRef] [PubMed]
- Kuang, Y.; Hong, Q.; Chen, Q.; Lyu, Q.; Ai, A.; Fu, Y.; Shoham, Z. Luteal-phase ovarian stimulation is feasible for producing competent oocytes in women undergoing in vitro fertilization/intracytoplasmic sperm injection treatment, with optimal pregnancy outcomes in frozen-thawed embryo transfer cycles. Fertil. Steril. 2014, 101, 105–111. [Google Scholar] [CrossRef] [PubMed]
- Wang, N.; Wang, Y.; Chen, Q.; Dong, J.; Tian, H.; Fu, Y.; Ai, A.; Lyu, Q.; Kuang, Y. Luteal-phase ovarian stimulation vs conventional ovarian stimulation in patients with normal ovarian reserve treated for IVF: A large retrospective cohort study. Clin. Endocrinol. 2016, 84, 720–728. [Google Scholar] [CrossRef] [PubMed]
- Chen, H.; Wang, Y.; Lyu, Q.; Ai, A.; Fu, Y.; Tian, H.; Cai, R.; Hong, Q.; Chen, Q.; Shoham, Z.; et al. Comparison of live-birth defects after luteal-phase ovarian stimulation vs. conventional ovarian stimulation for in vitro fertilization and vitrified embryo transfer cycles. Fertil. Steril. 2015, 103, 1194–1201.e2. [Google Scholar] [CrossRef]
- Kuang, Y.; Chen, Q.; Fu, Y.; Wang, Y.; Hong, Q.; Lyu, Q.; Ai, A.; Shoham, Z. Medroxyprogesterone acetate is an effective oral alternative for preventing premature luteinizing hormone surges in women undergoing controlled ovarian hyperstimulation for in vitro fertilization. Fertil. Steril. 2015, 104, 62–70.e3. [Google Scholar] [CrossRef]
- Zhu, X.; Zhang, X.; Fu, Y. Utrogestan as an effective oral alternative for preventing premature luteinizing hormone surges in women undergoing controlled ovarian hyperstimulation for in vitro fertilization. Medicine 2015, 94, e909. [Google Scholar] [CrossRef]
- Zhu, X.; Ye, H.; Fu, Y. Duphaston and human menopausal gonadotropin protocol in normally ovulatory women undergoing controlled ovarian hyperstimulation during in vitro fertilization/intracytoplasmic sperm injection treatments in combination with embryo cryopreservation. Fertil. Steril. 2017, 108, 505–512.e2. [Google Scholar] [CrossRef]
- Fauser, B.C.; Mannaerts, B.M.; Devroey, P.; Leader, A.; Boime, I.; Baird, D.T. Advances in recombinant DNA technology: Corifollitropin alfa, a hybrid molecule with sustained follicle-stimulating activity and reduced injection frequency. Hum. Reprod. Update 2009, 15, 309–321. [Google Scholar] [CrossRef] [PubMed]
- Pouwer, A.W.; Farquhar, C.; Kremer, J.A. Long-acting FSH versus daily FSH for women undergoing assisted reproduction. Cochrane Database Syst. Rev. 2015, CD009577. [Google Scholar] [CrossRef] [PubMed]
- Sarais, V.; Paffoni, A.; Pagliardini, L.; Filippi, F.; Martinelli, F.; Mangili, G.; Candiani, M.; Papaleo, E. Long-acting recombinant folliclestimulating hormone in random-start ovarian stimulation protocols for fertility preservation in women with cancer. Acta Obstet. Gynecol. Scand. 2017, 96, 949–953. [Google Scholar] [CrossRef] [PubMed]
- Huang, C.Y.; Chen, G.Y.; Shieh, M.L.; Li, H.Y. An extremely patient-friendly and efficient stimulation protocol for assisted reproductive technology in normal and high responders. Reprod. Biol. Endocrinol. 2018, 16, 18. [Google Scholar] [CrossRef] [PubMed]
- Massin, N. New stimulation regimens: Endogenous and exogenous progesterone use to block the LH surge during ovarian stimulation for IVF. Hum. Reprod. Update 2017, 23, 211–220. [Google Scholar] [CrossRef]
- Wang, Y.; Chen, Q.; Wang, N.; Chen, H.; Lyu, Q.; Kuang, Y. Controlled ovarian stimulation using Medroxyprogesterone acetate and hMG in patients with polycystic ovary syndrome treated for IVF: A double-blind randomized crossover clinical trial. Medicine 2016, 95, e2939. [Google Scholar] [CrossRef]
- Zhu, X.; Ye, H.; Fu, Y. The Utrogestan and hMG protocol in patients with polycystic ovarian syndrome undergoing controlled ovarian hyperstimulation during IVF/ICSI treatments. Medicine 2016, 95, e4193. [Google Scholar] [CrossRef]
- Tobler, K.J.; Zhao, Y.; Weissman, A.; Majumdar, A.; Leong, M.; Shoham, Z. Worldwide survey of IVF practices: Trigger, retrieval and embryo transfer techniques. Arch. Gynecol. Obstet. 2014, 290, 561–568. [Google Scholar] [CrossRef]
- Xiao, Z.N.; Peng, J.L.; Yang, J.; Xu, W.M. Flexible GnRH Antagonist Protocol versus Progestin-primed Ovarian Stimulation (PPOS) Protocol in Patients with Polycystic Ovary Syndrome: Comparison of Clinical Outcomes and Ovarian Response. Curr. Med. Sci. 2019, 39, 431–436. [Google Scholar] [CrossRef]
- Eftekhar, M.; Hoseini, M.; Saeed, L. Progesterone-primed ovarian stimulation in polycystic ovarian syndrome: An RCT. Int. J. Reprod. BioMed. 2019, 17, 671–676. [Google Scholar] [CrossRef]
- Iwami, N.; Kawamata, M.; Ozawa, N.; Yamamoto, T.; Watanabe, E.; Moriwaka, O.; Kamiya, H. New trial of progestin-primed ovarian stimulation using dydrogesterone versus a typical GnRH antagonist regimen in assisted reproductive technology. Arch. Gynecol. Obstet. 2018, 298, 663–671. [Google Scholar] [CrossRef] [PubMed]
- De Greef, R.; Zandvliet, A.S.; de Haan, A.F.; Ijzerman-Boon, P.C.; Marintcheva-Petrova, M.; Mannaerts, B.M. Dose selection of corifollitropin alfa by modeling and simulation in controlled ovarian stimulation. Clin. Pharmacol. Ther. 2010, 88, 79–87. [Google Scholar] [CrossRef] [PubMed]
- Veeck, L.L. An Atlas of Human Gametes and Conceptuses; Parthenon: New York, NY, USA, 1998; pp. 40–45. [Google Scholar]
- Hill, M.J.; Levens, E.D.; Levy, G.; Ryan, M.E.; Csokmay, J.M.; DeCherney, A.H.; Whitcomb, B.W. The use of recombinant luteinizing hormone in patients undergoing assisted reproductive techniques with advanced reproductive age: A systematic review and meta-analysis. Fertil. Steril. 2012, 97, 1108–1114.e1. [Google Scholar] [CrossRef]
- Xiong, Y.; Bu, Z.; Dai, W.; Zhang, M.; Bao, X.; Sun, Y. Recombinant luteinizing hormone supplementation in women undergoing in vitro fertilization/intracytoplasmic sperm injection with gonadotropin releasing hormone antagonist protocol: A systematic review and meta-analysis. Reprod. Biol. Endocrinol. 2014, 12, 109. [Google Scholar] [CrossRef] [PubMed]
- Mochtar, M.H.; Danhof, N.A.; Ayeleke, R.O.; Van der Veen, F.; van Wely, M. Recombinant luteinizing hormone (rLH) and recombinant follicle stimulating hormone (rFSH) for ovarian stimulation in IVF/ICSI cycles. Cochrane Database Syst. Rev. 2017, CD005070. [Google Scholar] [CrossRef] [PubMed]
- Buendgen, N.K.; Schultze-Mosgau, A.; Cordes, T.; Diedrich, K.; Griesinger, G. Initiation of ovarian stimulation independent of the menstrual cycle: A case-control study. Arch. Gynecol. Obstet. 2013, 288, 901–904. [Google Scholar] [CrossRef] [PubMed]
- Martínez, F.; Clua, E.; Devesa, M.; Rodríguez, I.; Arroyo, G.; González, C.; Solé, M.; Tur, R.; Coroleu, B.; Barri, P.N. Comparison of starting ovarian stimulation on day 2 versus day 15 of the menstrual cycle in the same oocyte donor and pregnancy rates among the corresponding recipients of vitrified oocytes. Fertil. Steril. 2014, 102, 1307–1311. [Google Scholar] [CrossRef]
- Yu, S.; Long, H.; Chang, H.Y.; Liu, Y.; Gao, H.; Zhu, J.; Quan, X.; Lyu, Q.; Kuang, Y.; Ai, A. New application of dydrogesterone as a part of a progestin-primed ovarian stimulation protocol for IVF: A randomized controlled trial including 516 first IVF/ICSI cycles. Hum. Reprod. 2018, 33, 229–237. [Google Scholar] [CrossRef]
- Dong, J.; Wang, Y.; Chai, W.R.; Hong, Q.Q.; Wang, N.L.; Sun, L.H.; Long, H.; Wang, L.; Tian, H.; Lyu, Q.F.; et al. The pregnancy outcome of progestin-primed ovarian stimulation using 4 versus 10 mg of medroxyprogesterone acetate per day in infertile women undergoing in vitro fertilisation: A randomised controlled trial. BJOG Int. J. Obstet. Gynaecol. 2017, 124, 1048–1055. [Google Scholar] [CrossRef]
- Zhu, X.; Ye, J.; Fu, Y.; Ai, A.; Cai, R.; Wang, Y.; Hong, Q.; Hui, T.; Lyu, Q.; Chen, Q.; et al. The effect of human chorionic gonadotrophin contained in human menopausal gonadotropin on the clinical outcomes during progestin-primed ovarian stimulation. Oncotarget 2017, 8, 87340–87352. [Google Scholar] [CrossRef]
- Zhu, X.; Ye, H.; Fu, Y. Use of Utrogestan during controlled ovarian hyperstimulation in normally ovulating women undergoing in vitro fertilization or intracytoplasmic sperm injection treatments in combination with a “freeze all” strategy: A randomized controlled dose-finding study of 100 mg versus 200 mg. Fertil. Steril. 2017, 107, 379–386.e4. [Google Scholar] [CrossRef] [PubMed]
- Liu, Y.; Chen, Q.; Yu, S.; Wang, Y.; He, W.; Chang, H.Y.; Wang, B.; Gao, H.; Long, H.; Wang, L.; et al. Progestin-primed ovarian stimulation with or without clomiphene citrate supplementation in normal ovulatory women undergoing in vitro fertilization/intracytoplasmic sperm injection: A prospective randomized controlled trial. Clin. Endocrinol. 2018, 88, 442–452. [Google Scholar] [CrossRef] [PubMed]
- Ye, H.; Tian, H.; He, W.; Lyu, Q.; Kuang, Y.; Chen, Q.; Sun, L. Progestin-primed milder stimulation with clomiphene citrate yields fewer oocytes and suboptimal pregnancy outcomes compared with the standard progestin-primed ovarian stimulation in infertile women with polycystic ovarian syndrome. Reprod. Biol. Endocrinol. 2018, 16, 53. [Google Scholar] [CrossRef] [PubMed]
- Guo, H.; Wang, Y.; Chen, Q.; Chai, W.; Sun, L.; Ai, A.; Fu, Y.; Lyu, Q.; Kuang, Y. Use of medroxyprogesterone acetate in women with ovarian endometriosis undergoing controlled ovarian hyperstimulation for in vitro fertilization. Sci. Rep. 2017, 7, 11927. [Google Scholar] [CrossRef] [PubMed]
- Yildiz, S.; Turkgeldi, E.; Angun, B.; Eraslan, A.; Urman, B.; Ata, B. Comparison of a novel flexible progestin primed ovarian stimulation protocol and the flexible gonadotropin-releasing hormone antagonist protocol for assisted reproductive technology. Fertil. Steril. 2019, 112, 677–683. [Google Scholar] [CrossRef] [PubMed]
- Xi, Q.; Tao, Y.; Qiu, M.; Wang, Y.; Kuang, Y. Comparison between PPOS and GnRHa-Long Protocol in Clinical Outcome with the First IVF/ICSI Cycle: A Randomized Clinical Trial. Clin. Epidemiol. 2020, 12, 261–272. [Google Scholar] [CrossRef]
- Zhu, X.; Ye, H.; Fu, Y. Comparison of neonatal outcomes following progesterone use during ovarian stimulation with frozen-thawed embryo transfer. Sci. Rep. 2017, 7, 7835. [Google Scholar] [CrossRef]
- Adeleye, A.J.; Aghajanova, L.; Kao, C.N.; Cedars, M.I.; Sauer, M.V. Impact of the levonorgestrel-releasing intrauterine device on controlled ovarian stimulation outcomes. Fertil. Steril. 2018, 110, 83–88. [Google Scholar] [CrossRef]
- Seeber, B.; Ziehr, S.C.; Gschlieβer, A.; Moser, C.; Mattle, V.; Seger, C.; Griesmacher, A.; Concin, N.; Concin, H.; Wildt, L. Quantitative levonorgestrel plasma level measurements in patients with regular and prolonged use of the levonorgestrel-releasing intrauterine system. Contraception 2012, 86, 345–349, Erratum in 2013, 88, 194. [Google Scholar] [CrossRef]
- Terzic, M.; Aimagambetova, G.; Garzon, S.; Bapayeva, G.; Ukybassova, T.; Terzic, S.; Norton, M.; Laganà, A.S. Ovulation induction in infertile women with endometriotic ovarian cysts: Current evidence and potential pitfalls. Minerva Med. 2020, 111, 50–61. [Google Scholar] [CrossRef]
- Mathieu d’Argent, E.; Ferrier, C.; Zacharopoulou, C.; Ahdad-Yata, N.; Boudy, A.S.; Cantalloube, A.; Levy, R.; Antoine, J.M.; Daraï, E.; Bendifallah, S. Outcomes of fertility preservation in women with endometriosis: Comparison of progestin-primed ovarian stimulation versus antagonist protocols. J. Ovar. Res. 2020, 13, 18. [Google Scholar] [CrossRef] [PubMed]
- Blockeel, C.; Drakopoulos, P.; Santos-Ribeiro, S.; Polyzos, N.P.; Tournaye, H. A fresh look at the freeze-all protocol: A SWOT analysis. Hum. Reprod. 2016, 31, 491–497. [Google Scholar] [CrossRef] [PubMed]
- Humaidan, P.; Quartarolo, J.; Papanikolaou, E.G. Preventing ovarian hyperstimulation syndrome: Guidance for the clinician. Fertil. Steril. 2010, 94, 389–400. [Google Scholar] [CrossRef] [PubMed]
- Duan, L.; Bao, S.; Li, K.; Teng, X.; Hong, L.; Zhao, X. Comparing the long-acting and short-acting forms of gonadotropin-releasing hormone agonists in the long protocol of IVF/ICSI cycles: A retrospective study. J. Obstet. Gynaecol. Res. 2017, 43, 1037–1042. [Google Scholar] [CrossRef]
- Albuquerque, L.E.; Tso, L.O.; Saconato, H.; Albuquerque, M.C.; Macedo, C.R. Depot versus daily administration of gonadotrophin-releasing hormone agonist protocols for pituitary down regulation in assisted reproduction cycles. Cochrane Database Syst. Rev. 2013, CD002808. [Google Scholar] [CrossRef] [PubMed]
- Wang, H.L.; Lai, H.H.; Chuang, T.H.; Shih, Y.W.; Huang, S.C.; Lee, M.J.; Chen, S.U. A patient friendly Corifollitropin alfa protocol without routine pituitary suppression in normal responders. PLoS ONE 2016, 11, e0154123. [Google Scholar] [CrossRef]
- Eibschitz, I.; Belaisch-Allart, J.C.; Frydman, R. In vitro fertilization management and results in stimulated cycles with spontaneous luteinizing hormone discharge. Fertil. Steril. 1986, 45, 231–236. [Google Scholar] [CrossRef]




| Characteristics | Long-Acting FSH + MPA (Group 1, n = 57) | Long-Acting FSH + Cetrorelix (Group 2, n = 53) | p-Value |
|---|---|---|---|
| Age (Mean ± SD) | 34.8 ± 2.73 | 34.9 ± 3.41 | 0.865 |
| BMI (Mean ± SD) | 21.54 ± 2.55 | 21.75 ± 2.97 | 0.693 |
| BMI ≤ 24 (n, %) § | 45, 78.95% | 39, 73.58% | 0.519 |
| BMI > 24 (n, %) § | 12, 21.05% | 14, 26.42% | |
| AFC (median (minimum–maximum)) # | 16 (6–64) | 14 (4–62) | 0.202 |
| Basal FSH (IU/L) (mean ± SD) | 6.37 ± 1.15 | 6.48 ± 1.92 | 0.733 |
| Basal LH (IU/L) (mean ± SD) | 4.37 ± 2.29 | 3.90 ± 1.71 | 0.235 |
| Primary infertility (n, %) § | 35, 61.40% | 26, 49.06% | 0.193 |
| The indication for IVF/ICSI treatments § | 0.283 | ||
| Male factor (n, %) | 20, 35.08% | 16, 30.19% | |
| Tubal factor (n, %) | 9, 15.78% | 15, 28.30% | |
| Other (n, %) | 28, 49.12% | 22, 41.51% |
| Variable | Long-Acting FSH + MPA (Group 1, n = 57) | Long-Acting FSH + Cetrorelix (Group 2, n = 53) | p-Value |
|---|---|---|---|
| No. of injections before trigger (median (minimum–maximum)) # | 3 (2–9) | 10 (5–18) | <0.001 * |
| No. of visits between long-acting FSH injection and trigger (median (minimum–maximum)) # | 1 (1–2) | 2 (1–3) | <0.001 * |
| Duration of stimulation (days) (median (minimum–maximum)) # | 9 (8–15) | 9 (6–13) | 0.724 |
| Total dosage of gonadotropin other than long-acting FSH (IU) (median (minimum–maximum)) # | 450 (225–1800) | 600 (150–1800) | <0.001 * |
| Premature LH surge | 0 | 0 | - |
| No. of oocytes retrieved (median (minimum–maximum)) # | 12 (1–43) | 13 (2–39) | 0.679 |
| Fertilization rate (%) (median (minimum–maximum)) # | 83.33 (26.67–100) | 73.87 (0–100) | 0.070 |
| Cleavage rate (%) (median (minimum–maximum)) # | 100 (65–100) | 90 (25–100) | 0.203 |
| D2 good embryo rate (%) (median (minimum–maximum)) # | 66.67 (0–100) | 58.33 (0–100) | 0.804 |
| Incidence of ovarian hyperstimulation syndrome (OHSS) | 0 | 0 | - |
| Long-Acting FSH + MPA (Group 1, n = 54) | Long-Acting FSH + Cetrorelix (Group 2, n = 48) | Difference (95% Confidence Interval) | p-Value | |
|---|---|---|---|---|
| Cumulative clinical pregnancy rate with good fetal heartbeat ※ | 30 (55.56%) | 28 (58.33%) | 2.77% (−16.00% ~ 21.15%) | 0.779 |
| Cumulative live birth rate at the time of submission ※ | 28 (51.85%) | 26 (54.17%) | 2.32% (−16.53% ~ 20.89%) | 0.816 |
© 2020 by the authors. Licensee MDPI, Basel, Switzerland. This article is an open access article distributed under the terms and conditions of the Creative Commons Attribution (CC BY) license (http://creativecommons.org/licenses/by/4.0/).
Share and Cite
Huang, C.-Y.; Chen, G.-Y.; Shieh, M.-L.; Li, H.-Y. Validating the Use of Corifollitropin Alfa in Progestin-Primed Ovarian Stimulation Protocol on Normal and High Responders by Comparing with Conventional Antagonist Protocol: A Retrospective Study. Life 2020, 10, 90. https://doi.org/10.3390/life10060090
Huang C-Y, Chen G-Y, Shieh M-L, Li H-Y. Validating the Use of Corifollitropin Alfa in Progestin-Primed Ovarian Stimulation Protocol on Normal and High Responders by Comparing with Conventional Antagonist Protocol: A Retrospective Study. Life. 2020; 10(6):90. https://doi.org/10.3390/life10060090
Chicago/Turabian StyleHuang, Chen-Yu, Guan-Yeu Chen, Miawh-Lirng Shieh, and Hsin-Yang Li. 2020. "Validating the Use of Corifollitropin Alfa in Progestin-Primed Ovarian Stimulation Protocol on Normal and High Responders by Comparing with Conventional Antagonist Protocol: A Retrospective Study" Life 10, no. 6: 90. https://doi.org/10.3390/life10060090
APA StyleHuang, C.-Y., Chen, G.-Y., Shieh, M.-L., & Li, H.-Y. (2020). Validating the Use of Corifollitropin Alfa in Progestin-Primed Ovarian Stimulation Protocol on Normal and High Responders by Comparing with Conventional Antagonist Protocol: A Retrospective Study. Life, 10(6), 90. https://doi.org/10.3390/life10060090
