A Digital Twin-Based System to Manage the Energy Hub and Enhance the Electrical Grid Resiliency
Abstract
1. Introduction
- Virtually mapping out a real system provides data derived from the physical world, aiming to respond to the varied applications [14].
- The digital twin is the digital image of equipment akin to industrial machines and products based on their information, which indicates their behavior [15].
- Describing a virtual infrastructure of data arising from the physical smart products, from the macro geometrical perspective to the micro atomic ones [16].
- Figure 1 shows a digital twin concept in the power system.
- Improving the vulnerability induces using a novel water-power system in the electrical grid, considering various contingencies, and improving the resiliency.
- Proposing and developing a real-time vulnerability analysis based on the proposed digital twin model.
- Proposing an uncertainty model based on the unscented transformation concept to model the randomness of inputs to the digital twin structure to make the real-time analysis meticulous.
2. Modeling of the Physical Layer of the Hub System on the Resiliency and Vulnerability Analysis
2.1. The Mathematical Definition of the Electrical Grid
2.2. The Physical Model of the Proposed Water-Power System
- Objective Function
- Constraints: Electrical
- Constraints: Heat
- Constraints: Water
3. Vulnerability Model of the Proposed Water-Power System
3.1. The Bus Vulnerability Indices
3.2. The Line Vulnerability Indices
3.3. The Vulnerability Indices of Generators
3.4. θ-Modified Bat Optimization Algorithm
4. Digital Twin Model of the Proposed Water-Power System
4.1. The DT Development Process of the Water-Power System into the Electrical Grid
4.2. Definition of the Proposed Digital Twin Model
5. Uncertainty Model of the Proposed Energy Management
6. Simulation and Evaluation
6.1. The Vulnerability Analysis of the Physical Water-Power System Based Electrical Grid
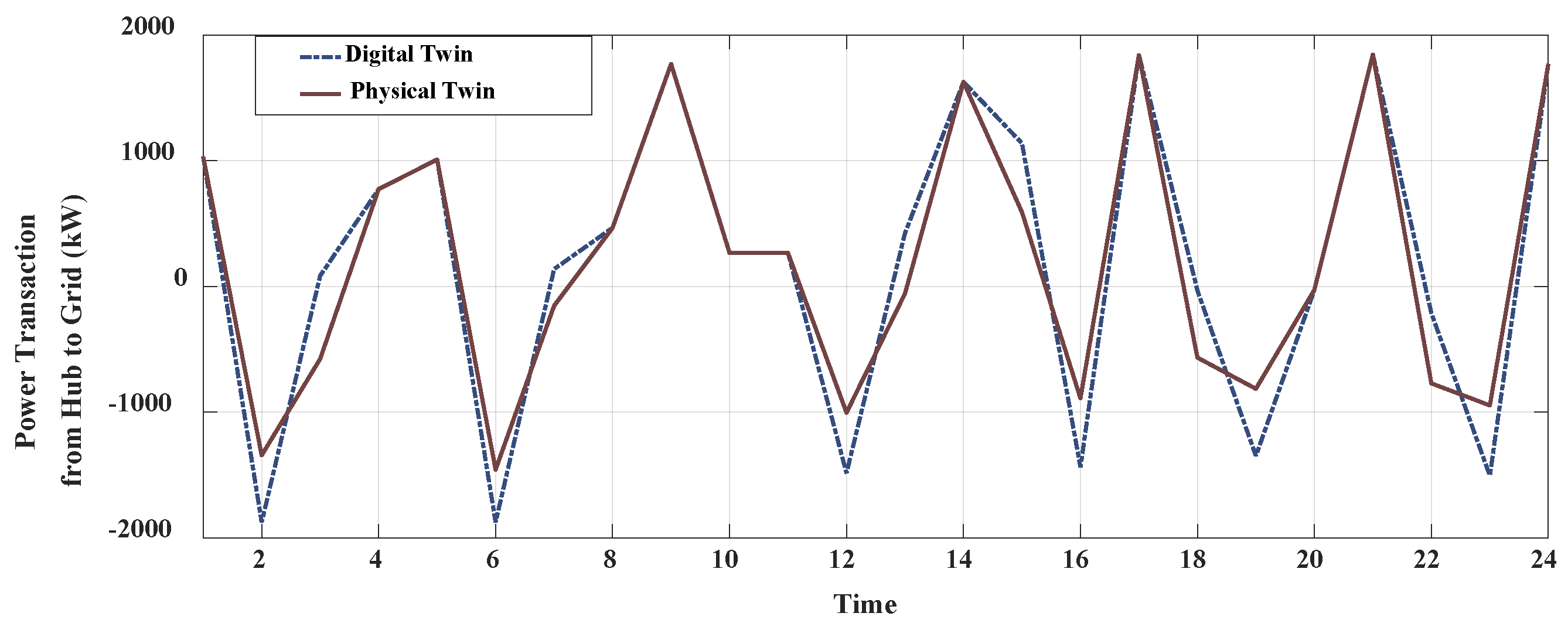
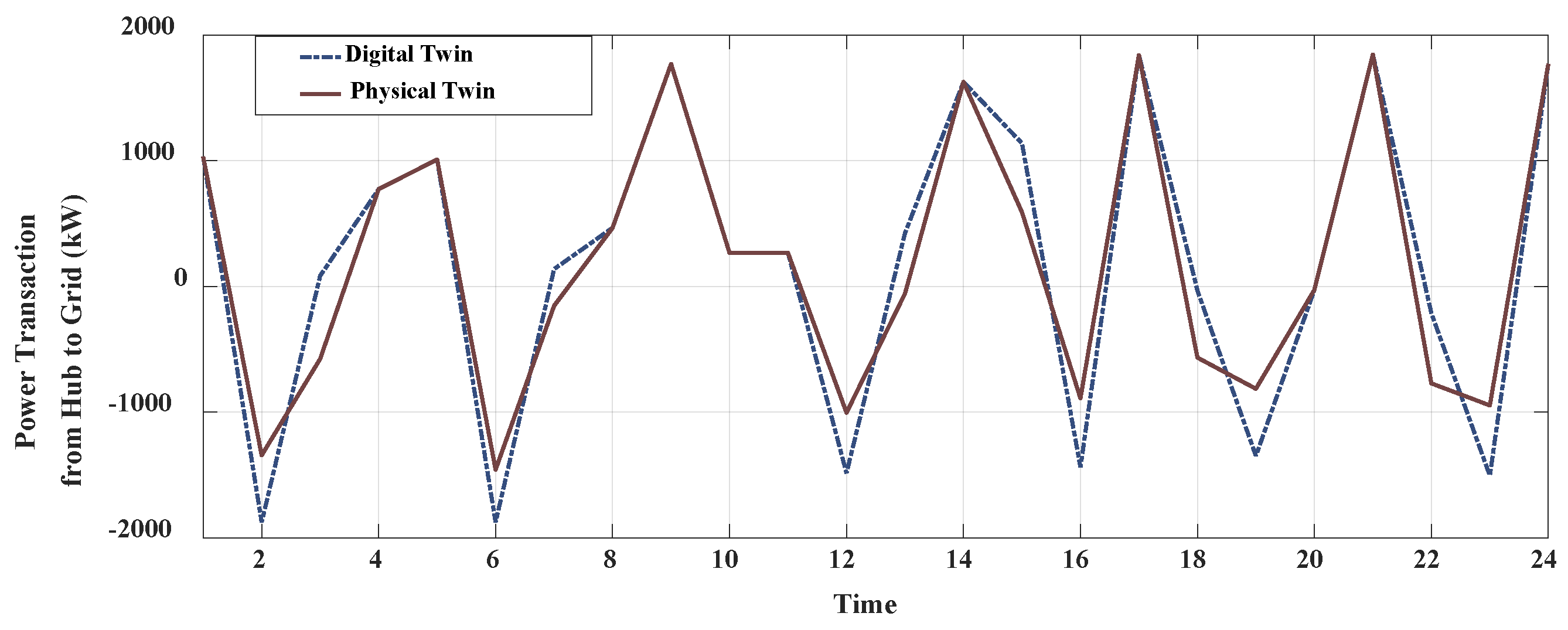
6.2. The Digital Twin Model-Based Water-Power System
6.3. The Evaluation of the Uncertainty Model
7. Conclusions
Author Contributions
Funding
Data Availability Statement
Conflicts of Interest
Abbreviations
| Sets/Indices | Sets/Indices |
| Limitations | Limitations |
| Technical characteristics of line. | |
| Unit start-up, shut down. | |
| Active power limitations. | |
| Line active power limitations. | |
| Line reactive power limitations. | |
| Reactive power limitations. | |
| , | Up/down limits of reserve. |
| Limits of voltage. | |
| Limits of angle. | |
| Smart grid active demand in each bus. | |
| Smart grid reactive demand in each bus. | |
| Generation price of the generator. | |
| , | The max/min of energy level of the battery, respectively. |
| , | The max/min of power exchange of the battery, respectively. |
| , | Electrical demand of the multi-EH system, thermal demand of the multi-EH, respectively. |
| , , | Nominal capacities of the transformer, CHP, and boiler units, respectively. |
| , , | Direct normal irradiation, solar radiation, and power loss of PV, respectively. |
| , , | Wind density, area of rotor blades, and wind speed, respectively. |
| , , | The power capture coefficient, seawater density, and swept area of the turbine blades, respectively. |
| Line outage index of bus n. | |
| Bus index. | |
| Line outage index of line l. | |
| Line index. | |
| Unit outage active index of line l. | |
| Unit index. | |
| Unit outage reactive index of line l. | |
| Unit index. | |
| VUL | The objective function. |
| Generator and feeder reactive power at time t. | |
| Generator and line active power at time t. | |
| Binary variables of the generator. | |
| Bus voltage or angle. | |
| Operation cost functions of smart grid. |
References
- Geidl, M.; Koeppel, G.; Favre-Perrod, P.; Klöckl, B.; Andersson, G.; Fröhlich, K. Energy Hubs for the futures. IEEE Power Energy Mag. 2007, 5, 24–30. [Google Scholar] [CrossRef]
- Xiaping, Z.; Shahidehpour, M.; Alabdulwahab, A.; Abusorrah, A. Optimal expansion planning of energy hub with multiple energy infrastructures. IEEE Trans. Smart Grid 2015, 6, 2302–2311. [Google Scholar]
- Dolatabadi, A.; Mohammadi-Ivatloo, B. Stochastic risk-constrained scheduling of smart energy hub in the presence of wind power and demand response. Appl. Therm. Eng. 2017, 123, 40–49. [Google Scholar] [CrossRef]
- Roustai, M.; Rayati, M.; Sheikhi, A.; Ranjbar, A.M. A scenario-based optimization of Smart Energy Hub operation in a stochastic environment using conditional-value-at-risk. Sustain. Cities Soc. 2018, 39, 309–316. [Google Scholar] [CrossRef]
- Mehdizadeh, A.; Taghizadegan, N. Robust optimisation approach for bidding strategy of renewable generation-based microgrid under demand side management. IET Ren. Power Gen. 2017, 11, 1446–1455. [Google Scholar] [CrossRef]
- Abedi, A.; Hesamzadeh, M.R.; Romerio, F. An ACOPF-based bilevel optimization approach for vulnerability assessment of a power system. Int. J. Electr. Power Energy Syst. 2021, 125, 106455. [Google Scholar] [CrossRef]
- Mohamed, M.A.; Chen, T.; Su, W.; Jin, T. Proactive resilience of power systems against natural disasters: A literature review. IEEE Access 2019, 7, 163778–163795. [Google Scholar] [CrossRef]
- Liu, Y.; Jin, T.; Mohamed, M.A.; Wang, Q. A Novel Three-Step Classification Approach Based on Time-Dependent Spectral Features for Complex Power Quality Disturbances. IEEE Trans. Instrum. Meas. 2021, 70, 3000814. [Google Scholar] [CrossRef]
- Kavousi-Fard, A.; Samet, H.; Marzbani, F. A new hybrid modified firefly algorithm and support vector regression model for accurate short term load forecasting. Expert Syst. Appl. 2014, 41, 6047–6056. [Google Scholar] [CrossRef]
- Dehghani, M.; Kavousi-Fard, A.; Niknam, T.; Avatefipour, O. A robust voltage and current controller of parallel inverters in smart island: A novel approach. Energy 2021, 214, 118879. [Google Scholar] [CrossRef]
- Kavousi-Fard, A.; Su, W.; Jin, T. A Machine Learning Based Cyber Attack Detection Model for Wireless Sensor Networks in Microgrids. IEEE Trans. Ind. Inform. 2021, 17, 20115703. [Google Scholar] [CrossRef]
- Abedi, A.; Gaudard, L.; Romerio, F. Power flow-based approaches to assess vulnerability, reliability, and contingency of the power systems: The benefits and limitations. Reliab. Eng. Syst. Saf. 2020, 201, 106961. [Google Scholar] [CrossRef]
- Jafari, M.; Kavousi-fard, A.; Chen, T.; Karimi, M. A Review on Digital Twin Technology in Smart Grid, Transportation System and Smart City: Challenges and Future. IEEE Access 2023, 11, 2169–3536. [Google Scholar] [CrossRef]
- Danilczyk, W.; Sun, Y.; He, H. Angel: An intelligent digital twin framework for microgrid security. In Proceedings of the 2019 North American Power Symposium (NAPS), Wichita, KS, USA, 13–15 October 2019. [Google Scholar]
- Olivares-Rojas, J.; Reyes-Archundia, E.; Gutierrez-Gnecchi, A.; Molina-Moreno, I.; Cerda-Jacobo, J.; Méndez-Patiño, A. Towards cybersecurity of the smart grid using digital twins. IEEE Internet Comput. 2021, 26, 52–57. [Google Scholar] [CrossRef]
- Jafari, M.; Kavousi-Fard, A.; Dabbaghjamanesh, M.; Karimi, M. A Survey on Deep Learning Role in Distribution Automation System: A New Collaborative Learning-to-Learning (L2L) Concept. IEEE Access 2022, 10, 2169–3536. [Google Scholar] [CrossRef]
- Zhang, L.; Cheng, L.; Alsokhiry, F.; Mohamed, M.A. A Novel Stochastic Blockchain-Based Energy Management in Smart Cities Using V2S and V2G. IEEE Trans. Intell. Transp. Syst 2022, 24, 915–922. [Google Scholar] [CrossRef]
- Zhang, C.; Chen, X. Stochastic nonlinear complementarity problem and applications to traffic equilibrium under uncertainty. J. Optim. Theory Appl. 2018, 137, 277–295. [Google Scholar] [CrossRef]
- Rivera-Durán, Y.; Berna-Escriche, C.; Córdova-Chávez, Y.; Muñoz-Cobo, J.L. Assessment of a Fully Renewable Generation System with Storage to Cost-Effectively Cover the Electricity Demand of Standalone Grids: The Case of the Canary Archipelago by 2040. Machines 2023, 11, 101. [Google Scholar] [CrossRef]
- Sheikh, M.; Aghaei, J.; Chabok, H.; Roustaei, M.; Niknam, T.; Kavousi-Fard, A.; Shafie-Khah, M.; Catalão, J.P. Synergies Between Transportation Systems, Energy Hub and the Grid in Smart Cities. IEEE Trans. Intell. Transp. Syst. 2021, 23, 7371–7385. [Google Scholar] [CrossRef]
- Mohammadi, M.; Kavousi-Fard, A.; Dehghani, M.; Karimi, M.; Loia, V.; Alhelou, H.H.; Siano, P. Reinforcing data integrity in renewable hybrid AC-DC microgrids from social-economic perspectives. ACM Trans. Sens. Netw. 2022, 19, 1–19. [Google Scholar] [CrossRef]
- Hamza, A.; Rizvi, S.T.; Safder, M.U.; Asif, H. A Novel Mathematical Approach to Model Multi-Agent-Based Main Grid and Microgrid Networks for Complete System Analysis. Machines 2022, 10, 110. [Google Scholar] [CrossRef]
- Dabbaghjamanesh, M.; Kavousi-Fard, A.; Mehraeen, S.; Zhang, J.; Dong, Z.Y. Sensitivity analysis of renewable energy integration on stochastic energy management of automated reconfigurable hybrid AC–DC microgrid considering DLR security constraint. IEEE Trans. Ind. Inform. 2018, 16, 120–131. [Google Scholar] [CrossRef]














Disclaimer/Publisher’s Note: The statements, opinions and data contained in all publications are solely those of the individual author(s) and contributor(s) and not of MDPI and/or the editor(s). MDPI and/or the editor(s) disclaim responsibility for any injury to people or property resulting from any ideas, methods, instructions or products referred to in the content. |
© 2023 by the authors. Licensee MDPI, Basel, Switzerland. This article is an open access article distributed under the terms and conditions of the Creative Commons Attribution (CC BY) license (https://creativecommons.org/licenses/by/4.0/).
Share and Cite
Nasiri, G.; Kavousi-Fard, A. A Digital Twin-Based System to Manage the Energy Hub and Enhance the Electrical Grid Resiliency. Machines 2023, 11, 392. https://doi.org/10.3390/machines11030392
Nasiri G, Kavousi-Fard A. A Digital Twin-Based System to Manage the Energy Hub and Enhance the Electrical Grid Resiliency. Machines. 2023; 11(3):392. https://doi.org/10.3390/machines11030392
Chicago/Turabian StyleNasiri, Gholamreza, and Abdollah Kavousi-Fard. 2023. "A Digital Twin-Based System to Manage the Energy Hub and Enhance the Electrical Grid Resiliency" Machines 11, no. 3: 392. https://doi.org/10.3390/machines11030392
APA StyleNasiri, G., & Kavousi-Fard, A. (2023). A Digital Twin-Based System to Manage the Energy Hub and Enhance the Electrical Grid Resiliency. Machines, 11(3), 392. https://doi.org/10.3390/machines11030392

