Hydrodynamic Characteristic-Based Adaptive Model Predictive Control for the Spherical Underwater Robot under Ocean Current Disturbance
Abstract
1. Introduction
2. Modeling and AMPC Strategy
2.1. Problem Description and Numerical Modeling
2.2. AMPC with ESO
3. Hydrodynamic Analysis of ASR Robot
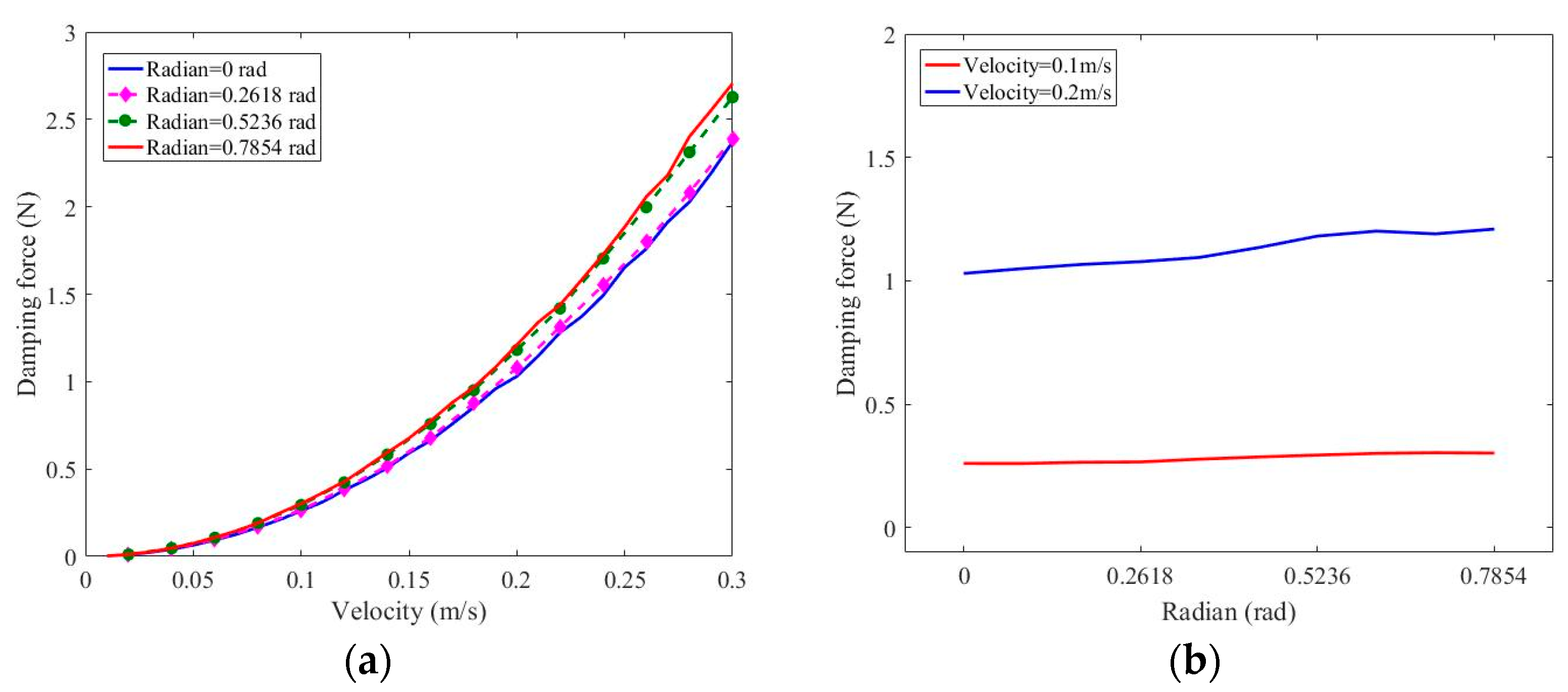
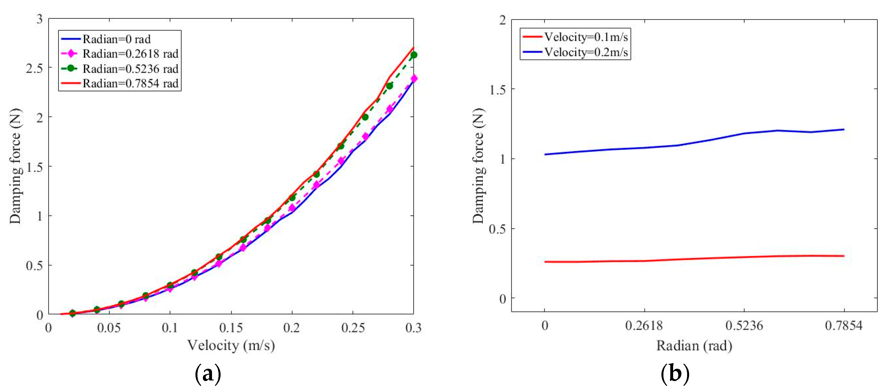
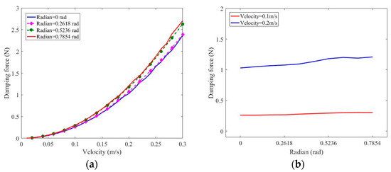
3.1. Hydrodynamic Characteristics
3.2. Coefficients of Dynamic Model under Different Flow Disturbances
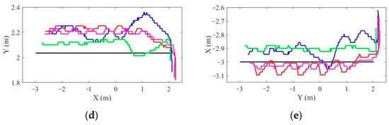
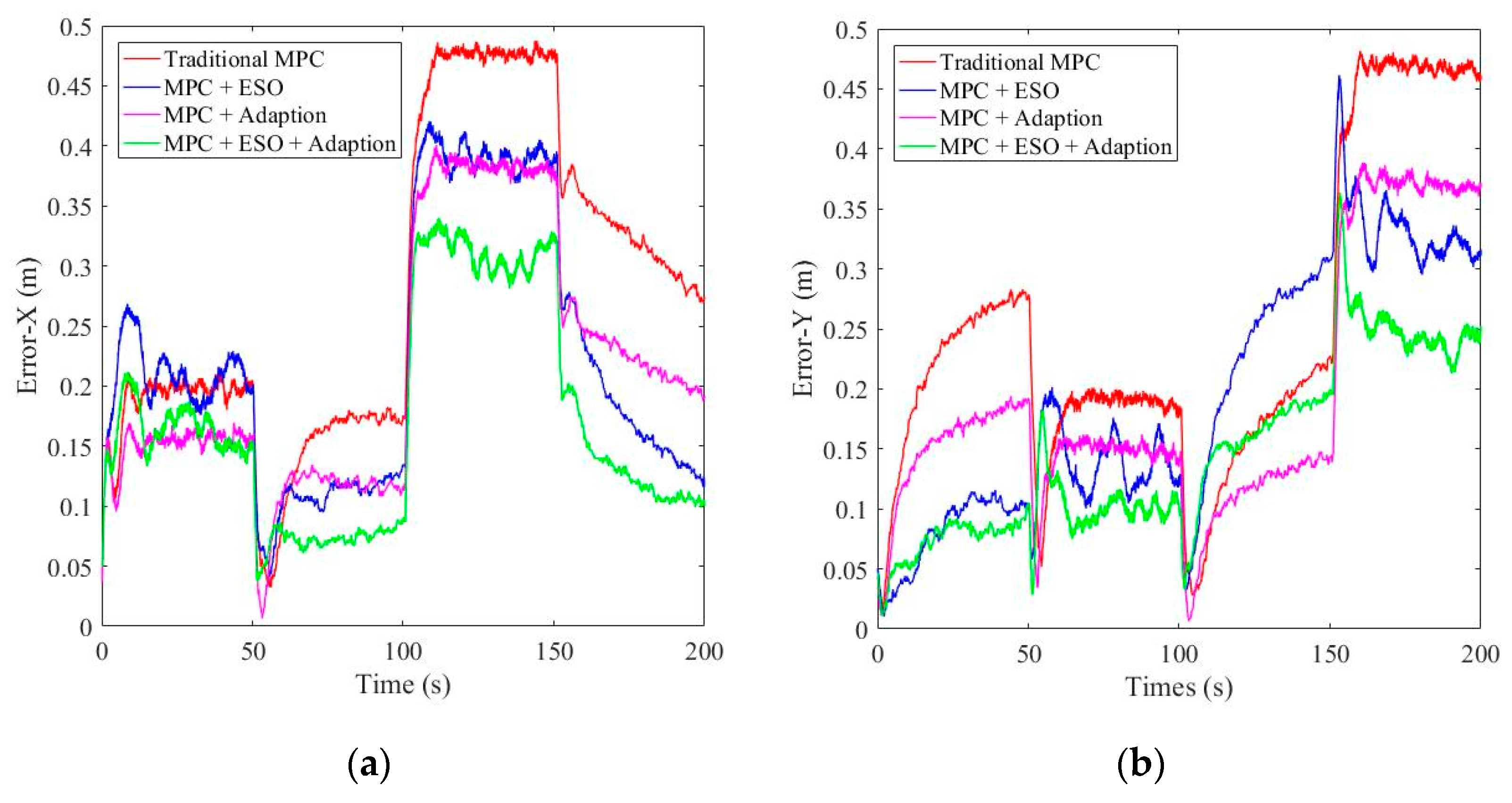
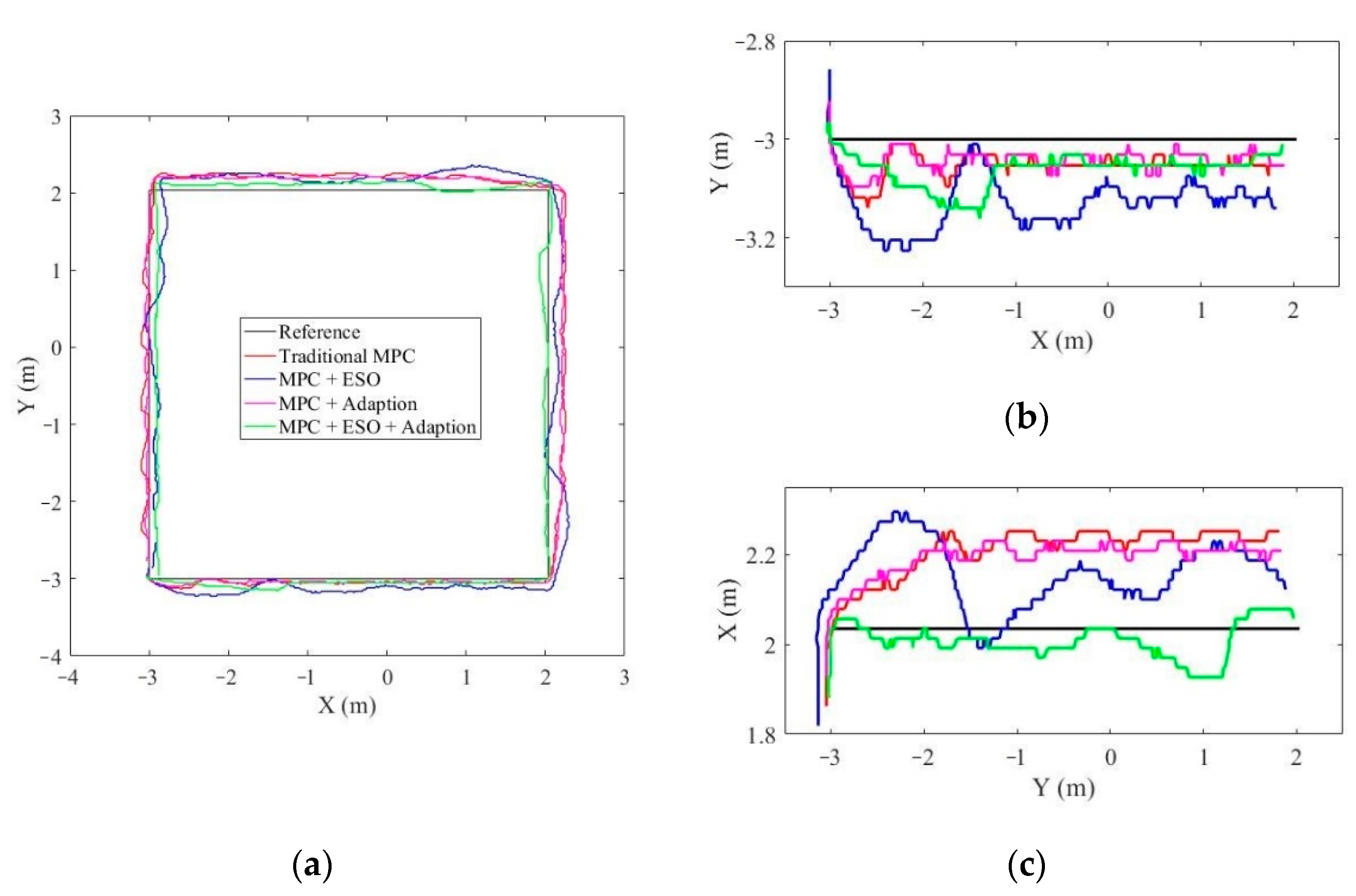
4. Experimental Evaluation and Discussion
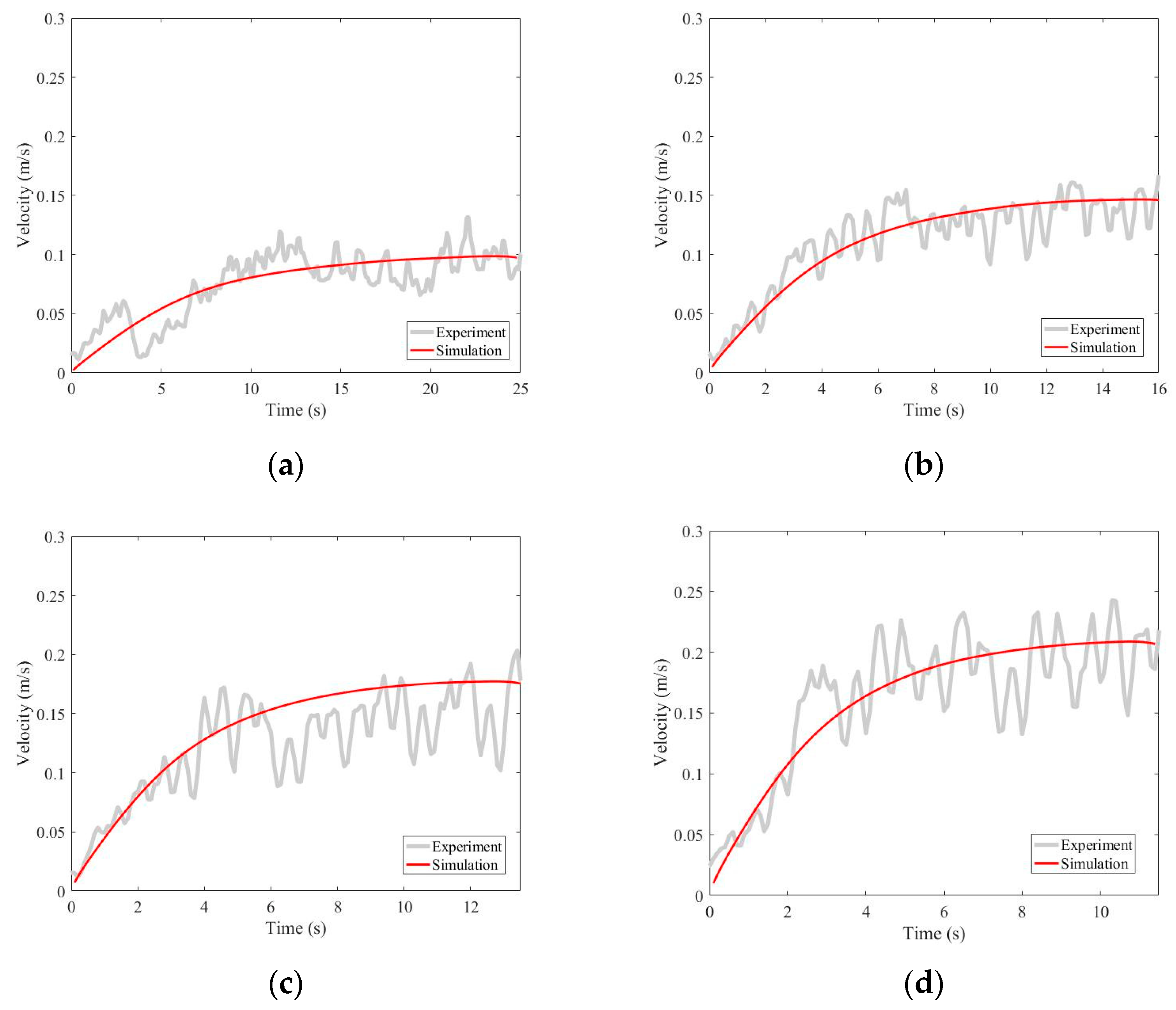
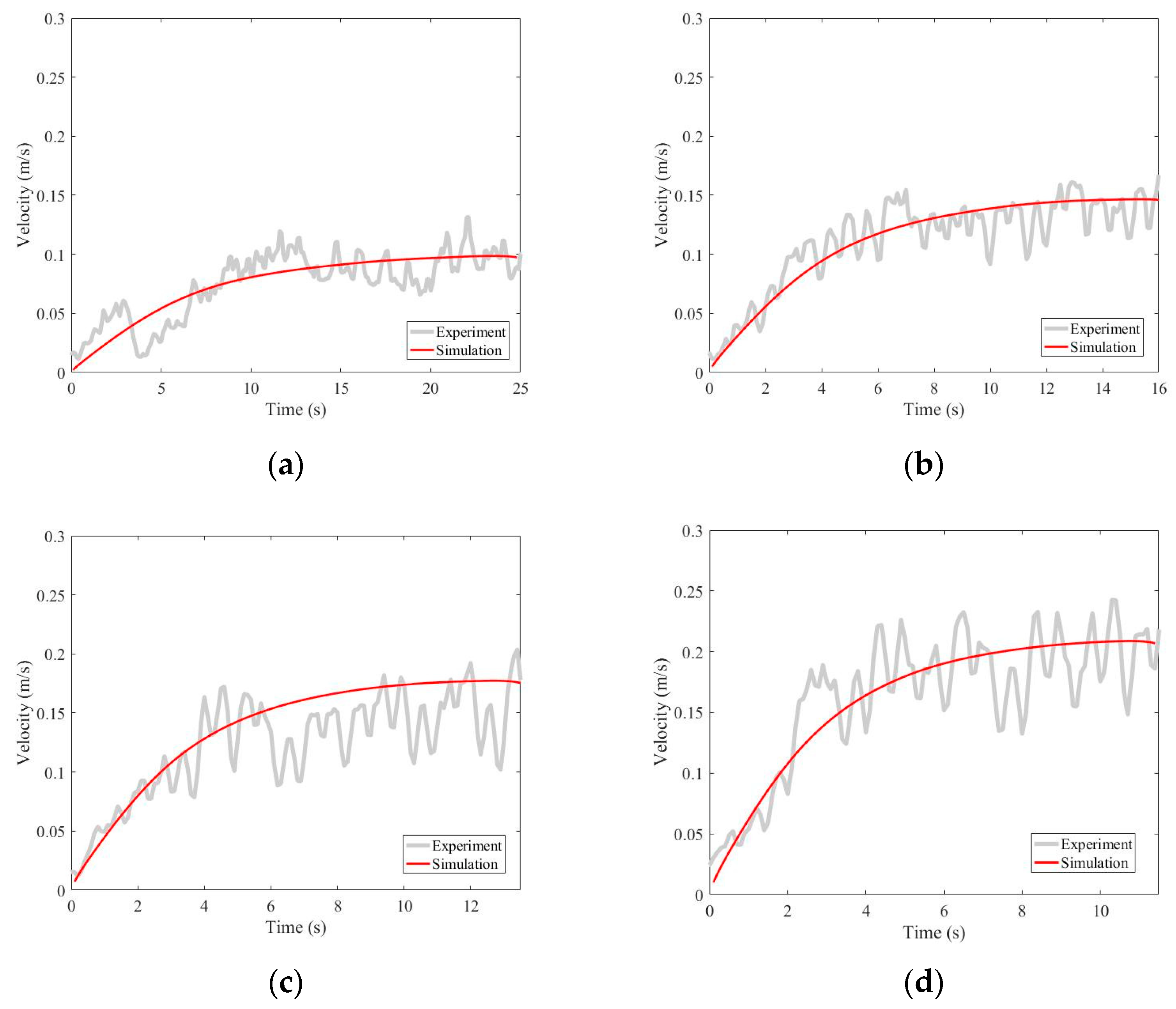
4.1. Validation of Numerical Model
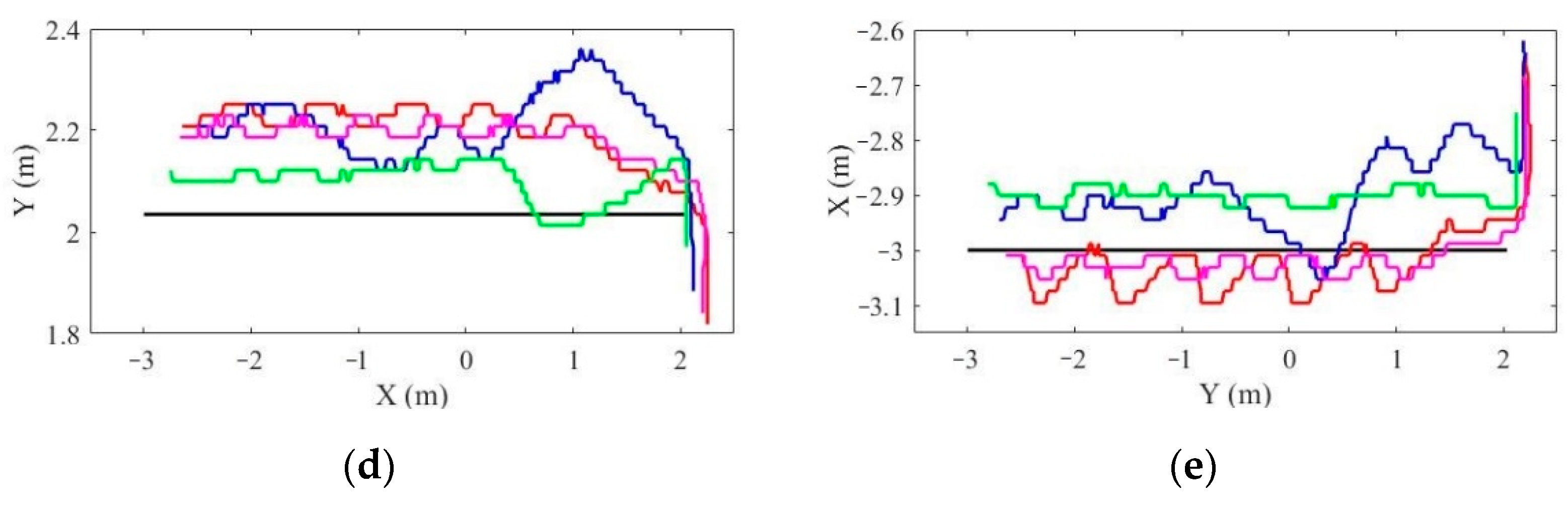
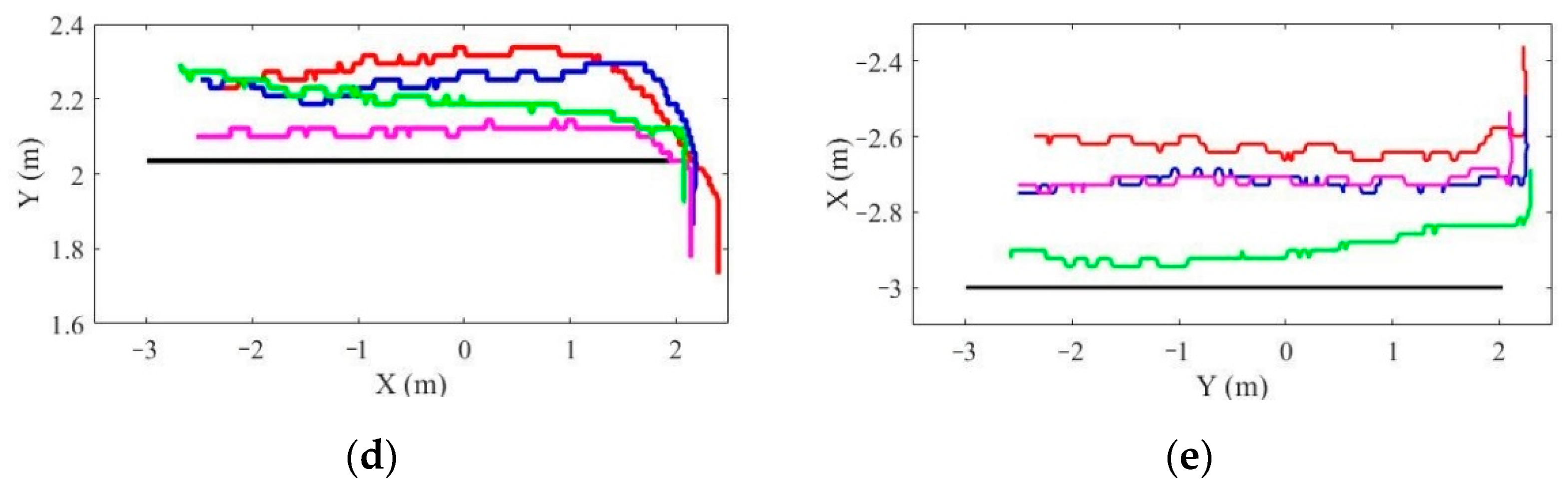
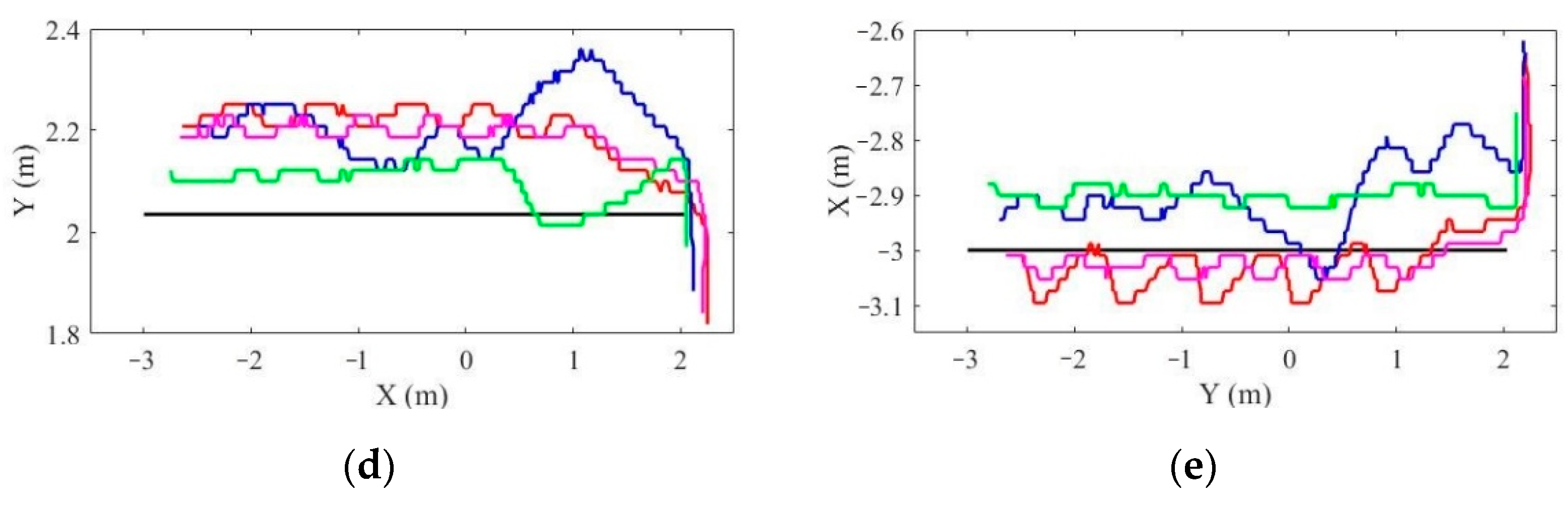
4.2. Adaptive Model Predictive Control (AMPC) under Flow Disturbance
5. Conclusions
Author Contributions
Funding
Institutional Review Board Statement
Informed Consent Statement
Data Availability Statement
Conflicts of Interest
References
- Xing, H.; Shi, L.; Hou, X.; Liu, Y.; Hu, Y.; Xia, D.; Li, Z.; Guo, S. Design, Modeling and Control of a Miniature Bio-Inspired Amphibious Spherical Robot. Mechatronics 2021, 77, 102574. [Google Scholar] [CrossRef]
- Katzschmann, R.K.; DelPreto, J.; MacCurdy, R.; Rus, D. Exploration of Underwater Life with an Acoustically Controlled Soft Robotic Fish. Sci. Robot. 2018, 3, eaar3449. [Google Scholar] [CrossRef]
- Costa, D.; Palmieri, G.; Palpacelli, M.-C.; Panebianco, L.; Scaradozzi, D. Design of a Bio-Inspired Autonomous Underwater Robot. J. Intell. Robot. Syst. 2018, 91, 181–192. [Google Scholar] [CrossRef]
- Honaryar, A.; Ghiasi, M. Design of a Bio-Inspired Hull Shape for an AUV from Hydrodynamic Stability Point of View through Experiment and Numerical Analysis. J. Bionic Eng. 2018, 15, 950–959. [Google Scholar] [CrossRef]
- Chemori, A.; Kuusmik, K.; Salumäe, T.; Kruusmaa, M. Depth Control of the Biomimetic U-CAT Turtle-Like AUV with Experiments in Real Operating Conditions. In Proceedings of the 2016 IEEE International Conference on Robotics and Automation (ICRA), Stockholm, Sweden, 16–21 May 2016. [Google Scholar]
- Guo, J.; Li, C.; Guo, S. A Novel Step Optimal Path Planning Algorithm for the Spherical Mobile Robot Based on Fuzzy Control. IEEE Access 2020, 8, 1394–1405. [Google Scholar] [CrossRef]
- Guo, J.; Li, C.; Guo, S. Study on the Autonomous Multirobot Collaborative Control System Based on Spherical Amphibious Robots. IEEE Syst. J. 2021, 15, 4950–4957. [Google Scholar] [CrossRef]
- Hou, X.; Li, Z.; Guo, S.; Shi, L.; Xing, H.; Yin, H. An Improved Backstepping Controller with an LESO and TDs for Robust Underwater 3D Trajectory Tracking of a Turtle-Inspired Amphibious Spherical Robot. Machines 2022, 10, 450. [Google Scholar] [CrossRef]
- Allotta, B.; Costanzi, R.; Pugi, L.; Ridolfi, A. Identification of the Main Hydrodynamic Parameters of Typhoon AUV from a Reduced Experimental Dataset. Ocean Eng. 2018, 147, 77–88. [Google Scholar] [CrossRef]
- Li, C.; Guo, S.; Guo, J. Performance Evaluation of a Hybrid Thruster for Spherical Underwater Robots. IEEE Trans. Instrum. Meas. 2022, 71, 7503110. [Google Scholar] [CrossRef]
- Xing, H.; Liu, Y.; Guo, S.; Shi, L.; Hou, X.; Liu, W.; Zhao, Y. A Multi-Sensor Fusion Self-Localization System of a Miniature Underwater Robot in Structured and GPS-Denied Environments. IEEE Sens. J. 2021, 21, 27136–27146. [Google Scholar] [CrossRef]
- An, R.; Guo, S.; Yu, Y.; Li, C.; Awa, T. Multiple Bio-Inspired Father-Son Underwater Robot for Underwater Target Object Acquisition and Identification. Micromachines 2022, 13, 25. [Google Scholar] [CrossRef]
- Mitra, A.; Panda, J.P.; Warrior, V.H. Experimental and Numerical Investigation of the Hydrodynamic Characteristics of Autonomous Underwater Vehicles over Sea-Beds with Complex Topography. Ocean Eng. 2020, 198, 106978. [Google Scholar] [CrossRef]
- Panda, J.P.; Mitra, A.; Warrior, V.H. A Review on the Hydrodynamic Characteristics of Autonomous Underwater Vehicles. Proc. Inst. Mech. Eng. Part M-J. Eng. Marit. Environ. 2021, 235, 15–29. [Google Scholar] [CrossRef]
- Guo, S.; He, Y.; Shi, L.; Pan, S.; Xiao, R.; Tang, K.; Guo, P. Modeling and Experimental Evaluation of an Improved Amphibious Robot with Compact Structure. Robot. Comput. Integr. Manuf. 2018, 51, 37–52. [Google Scholar] [CrossRef]
- Milgram, J.H. Strip Theory for Underwater Vehicles in Water of Finite Depth. J. Eng. Math. 2007, 58, 31–50. [Google Scholar] [CrossRef][Green Version]
- Gu, S.; Guo, S. Performance Evaluation of a Novel Propulsion System for the Spherical Underwater Robot (SURIII). Appl. Sci. 2017, 7, 1196. [Google Scholar] [CrossRef]
- Porez, M.; Boyer, F.; Ijspeert, A.J. Improved Lighthill Fish Swimming Model for Bio-Inspired Robots: Modeling, Computational Aspects and Experimental Comparisons. Int. J. Robot. Res. 2014, 33, 1322–1341. [Google Scholar] [CrossRef]
- Gu, S.; Guo, S.; Zheng, L. A Highly Stable and Efficient Spherical Underwater Robot with Hybrid Propulsion Devices. Auton. Robots 2020, 44, 759–771. [Google Scholar] [CrossRef]
- Hou, X.; Guo, S.; Shi, L.; Xing, H.; Liu, Y.; Liu, H.; Hu, Y.; Xia, D.; Li, Z. Hydrodynamic Analysis-Based Modeling and Experimental Verification of a New Water-Jet Thruster for an Amphibious Spherical Robot. Sensors 2019, 19, 259. [Google Scholar] [CrossRef]
- Mostafapour, K.; Nouri, N.M.; Zeinali, M. The Effects of the Reynolds Number on the Hydrodynamics Characteristics of an AUV. J. Appl. Fluid Mech. 2018, 11, 343–352. [Google Scholar] [CrossRef]
- Zhang, B.; Lu, X.; She, W. Resistance Performance Simulation of Remotely Operated Vehicle in Deep Sea Considering Propeller Rotation. Proc. Inst. Mech. Eng. Part M-J. Eng. Marit. Environ. 2020, 234, 585–598. [Google Scholar] [CrossRef]
- Saghafi, M.; Lavimi, R. Optimal Design of Nose and Tail of an Autonomous Underwater Vehicle Hull to Reduce Drag Force Using Numerical Simulation. Proc. Inst. Mech. Eng. Part M-J. Eng. Marit. Environ. 2020, 234, 76–88. [Google Scholar] [CrossRef]
- Anbarsooz, M. A Numerical Study on Drag Reduction of Underwater Vehicles Using Hydrophobic Surfaces. Proc. Inst. Mech. Eng. Part M-J. Eng. Marit. Environ. 2019, 233, 301–309. [Google Scholar] [CrossRef]
- Zhang, Y.; Pan, G.; Zhang, Y.; Haeri, S. A Relaxed Multi-Direct-Forcing Immersed Boundary-Cascaded Lattice Boltzmann Method Accelerated on GPU. Comput. Phys. Commun. 2020, 248, 106980. [Google Scholar] [CrossRef]
- Meng, C.; Zhang, X. Distributed Leaderless Formation Control for Multiple Autonomous Underwater Vehicles Based on Adaptive Nonsingular Terminal Sliding Mode. Appl. Ocean. Res. 2021, 115, 102781. [Google Scholar] [CrossRef]
- Vu, M.T.; Le Thanh, H.N.N.; Huynh, T.-T.; Do, Q.T.; Do, T.D.; Hoang, Q.-D.; Le, T.-H. Station-Keeping Control of a Hovering over-Actuated Autonomous Underwater Vehicle under Ocean Current Effects and Model Uncertainties in Horizontal Plane. IEEE Access 2021, 9, 6855–6867. [Google Scholar] [CrossRef]
- Wu, H.-M.; Karkoub, M. Finite-Time Robust Tracking Control of an Autonomous Underwater Vehicle in the Presence of Uncertainties and External Current Disturbances. Adv. Mech. Eng. 2021, 13, 16878140211053429. [Google Scholar] [CrossRef]
- Wang, H.; Dong, J.; Liu, Z.; Yan, L.; Wang, S. Control Algorithm for Trajectory Tracking of an Underactuated USV under Multiple Constraints. Math. Probl. Eng. 2022, 2022, 5274452. [Google Scholar] [CrossRef]
- Wei, H.; Shen, C.; Shi, Y. Distributed Lyapunov-Based Model Predictive Formation Tracking Control for Autonomous Underwater Vehicles Subject to Disturbances. IEEE Trans. Syst. Man Cybern. 2021, 51, 5198–5208. [Google Scholar] [CrossRef]
- Mu, W.; Wang, Y.; Sun, H.; Liu, G. Double-Loop Sliding Mode Controller with an Ocean Current Observer for the Trajectory Tracking of ROV. J. Mar. Sci. Eng. 2021, 9, 1000. [Google Scholar] [CrossRef]
- Zhang, H.; Zhu, D.; Liu, C.; Hu, Z. Tracking Fault-Tolerant Control Based on Model Predictive Control for Human Occupied Vehicle in Three-Dimensional Underwater Workspace. Ocean Eng. 2022, 249, 110845. [Google Scholar] [CrossRef]
- Zhou, Y.; Sun, X.; Sang, H.; Yu, P. Robust Dynamic Heading Tracking Control for Wave Gliders. Ocean Eng. 2022, 256, 111510. [Google Scholar] [CrossRef]
- Vu, M.T.; Le, T.-H.; Thanh, H.L.N.N.; Huynh, T.-T.; Van, M.; Hoang, Q.-D.; Do, T.D. Robust Position Control of an over-Actuated Underwater Vehicle under Model Uncertainties and Ocean Current Effects Using Dynamic Sliding Mode Surface and Optimal Allocation Control. Sensors 2021, 21, 747. [Google Scholar] [CrossRef]
- Miao, J.; Wang, S.; Tomovic, M.M.; Zhao, Z. Compound Line-of-Sight Nonlinear Path Following Control of Underactuated Marine Vehicles Exposed to Wind, Waves, and Ocean Currents. Nonlinear Dyn. 2017, 89, 2441–2459. [Google Scholar] [CrossRef]
- Dong, Z.; Wan, L.; Liu, T.; Zeng, J. Horizontal-Plane Trajectory-Tracking Control of an Underactuated Unmanned Marine Vehicle in the Presence of Ocean Currents. Int. J. Adv. Robot. Syst. 2016, 13, 83. [Google Scholar] [CrossRef]
- Gibson, S.B.; Stilwell, D.J. Hydrodynamic Parameter Estimation for Autonomous Underwater Vehicles. IEEE J. Ocean. Eng. 2020, 45, 385–394. [Google Scholar] [CrossRef]
- Mirzaei, M.; Taghvaei, H. A Full Hydrodynamic Consideration in Control System Performance Analysis for an Autonomous Underwater Vehicle. J. Intell. Robot. Syst. 2020, 99, 129–145. [Google Scholar] [CrossRef]
- Alam, K.; Ray, T.; Anavatti, S.G. Design Optimization of an Unmanned Underwater Vehicle Using Low- and High-Fidelity Models. IEEE Trans. Syst. Man Cybern. 2017, 47, 2794–2808. [Google Scholar] [CrossRef]
- Rath, B.N.; Subudhi, B. A Robust Model Predictive Path Following Controller for an Autonomous Underwater Vehicle. Ocean Eng. 2022, 244, 110265. [Google Scholar] [CrossRef]
- Bibuli, M.; Zereik, E.; De Palma, D.; Ingrosso, R.; Indiveri, G. Analysis of an Unmanned Underwater Vehicle Propulsion Model for Motion Control. J. Guid. Control. Dyn. 2022, 45, 1046–1059. [Google Scholar] [CrossRef]
- Barjuei, E.S.; Gasparetto, A. Predictive Control of Spatial Flexible Mechanisms. Int. J. Mech. Control 2015, 16, 85–96. [Google Scholar]
- Prasad, M.P.R.; Swarup, A. Position and Velocity Control of Remotely Operated Underwater Vehicle Using Model Predictive Control. Indian J. Geo-Mar. Sci. 2015, 44, 1920–1927. [Google Scholar]
- Hou, X.; Guo, S.; Shi, L.; Xing, H.; Yin, H.; Li, Z.; Zhou, M.; Xia, D. Improved Model Predictive-Based Underwater Trajectory Tracking Control for the Biomimetic Spherical Robot under Constraints. Appl. Sci. 2020, 10, 8106. [Google Scholar] [CrossRef]
- Chu, Z.; Wang, D.; Meng, F. An Adaptive RBF-NMPC Architecture for Trajectory Tracking Control of Underwater Vehicles. Machines 2021, 9, 105. [Google Scholar] [CrossRef]
- Shen, C.; Shi, Y.; Buckham, B. Path-Following Control of an AUV: A Multiobjective Model Predictive Control Approach. IEEE Trans. Control Syst. Technol. 2019, 27, 1334–1342. [Google Scholar] [CrossRef]
- Gao, J.; Liang, X.; Chen, Y.; Zhang, L.; Jia, S. Hierarchical Image-Based Visual Serving of Underwater Vehicle Manipulator Systems Based on Model Predictive Control and Active Disturbance Rejection Control. Ocean Eng. 2021, 229, 108814. [Google Scholar] [CrossRef]
- Li, A.; Xu, G.-M.; Ma, J.-T.; Xu, Y.-Q. Study on the Binding Focusing State of Particles in Inertial Migration. Appl. Math. Model. 2021, 97, 1–18. [Google Scholar] [CrossRef]
- Xu, Y.-Q.; Wang, M.-Y.; Liu, Q.-Y.; Tang, X.-Y.; Tian, F.-B. External Force-Induced Focus Pattern of a Flexible Filament in a Viscous Fluid. Appl. Math. Model. 2018, 53, 369–383. [Google Scholar] [CrossRef]
- Zhou, W.; Guo, S.; Guo, J.; Meng, F.; Chen, Z. ADRC-Based Control Method for the Vascular Intervention Master-Slave Surgical Robotic System. Micromachines 2021, 12, 1439. [Google Scholar] [CrossRef]
- Lamas, I.M.; Rodriguez, C.G. Hydrodynamics of Biomimetic Marine Propulsion and Trends in Computational Simulations. J. Mar. Sci. Eng. 2020, 8, 479. [Google Scholar] [CrossRef]
- Russell, D.; Wang, Z.J. A Cartesian Grid Method for Modeling Multiple Moving Objects in 2D Incompressible Viscous Flow. J. Comput. Phys. 2003, 191, 177–205. [Google Scholar] [CrossRef]
- Linnick, M.N.; Fasel, H.F. A High-Order Immersed Interface Method for Simulating Unsteady Incompressible Flows on Irregular Domains. J. Comput. Phys. 2005, 204, 157–192. [Google Scholar] [CrossRef]
- Hu, Y.; Yuan, H.; Shu, S.; Niu, X.; Li, M. An Improved Momentum Exchanged-Based Immersed Boundary-Lattice Boltzmann Method by Using an Iterative Technique. Comput. Math. Appl. 2014, 68, 140–155. [Google Scholar] [CrossRef]




















| Re | 40 | 100 | |||
|---|---|---|---|---|---|
| Cd | Lw/D | Cd | Cl | St | |
| Russell [52] | 1.60 | 2.29 | 1.43 | 0.322 | 0.172 |
| Linnick [53] | 1.54 | 2.28 | 1.38 | 0.337 | 0.169 |
| Hu [54] | 1.66 | 2.55 | 1.48 | 0.367 | 0.166 |
| Present | 1.60 | 1.60 | 1.44 | 0.341 | 0.157 |
| Mean Error | Traditional MPC | MPC + ESO | MPC + Adaption | MPC + ESO + Adaption |
|---|---|---|---|---|
| X direction (m) | 0.148 | 0.141 | 0.124 | 0.141 |
| Y direction (m) | 0.129 | 0.126 | 0.122 | 0.128 |
| Mean Error | Traditional MPC | MPC + ESO | MPC + Adaption | MPC + ESO + Adaption |
|---|---|---|---|---|
| X direction (m) | 0.279 | 0.220 | 0.215 | 0.169 |
| Y direction (m) | 0.251 | 0.194 | 0.191 | 0.146 |
| Mean Error | Traditional MPC | MPC + ESO | MPC + Adaption | MPC + ESO + Adaption |
|---|---|---|---|---|
| X direction (m) | 0.302 | 0.273 | 0.250 | 0.235 |
| Y direction (m) | 0.258 | 0.120 | 0.133 | 0.056 |
Publisher’s Note: MDPI stays neutral with regard to jurisdictional claims in published maps and institutional affiliations. |
© 2022 by the authors. Licensee MDPI, Basel, Switzerland. This article is an open access article distributed under the terms and conditions of the Creative Commons Attribution (CC BY) license (https://creativecommons.org/licenses/by/4.0/).
Share and Cite
Li, A.; Guo, S.; Liu, M.; Yin, H. Hydrodynamic Characteristic-Based Adaptive Model Predictive Control for the Spherical Underwater Robot under Ocean Current Disturbance. Machines 2022, 10, 798. https://doi.org/10.3390/machines10090798
Li A, Guo S, Liu M, Yin H. Hydrodynamic Characteristic-Based Adaptive Model Predictive Control for the Spherical Underwater Robot under Ocean Current Disturbance. Machines. 2022; 10(9):798. https://doi.org/10.3390/machines10090798
Chicago/Turabian StyleLi, Ao, Shuxiang Guo, Meng Liu, and He Yin. 2022. "Hydrodynamic Characteristic-Based Adaptive Model Predictive Control for the Spherical Underwater Robot under Ocean Current Disturbance" Machines 10, no. 9: 798. https://doi.org/10.3390/machines10090798
APA StyleLi, A., Guo, S., Liu, M., & Yin, H. (2022). Hydrodynamic Characteristic-Based Adaptive Model Predictive Control for the Spherical Underwater Robot under Ocean Current Disturbance. Machines, 10(9), 798. https://doi.org/10.3390/machines10090798

