A Rosenzweig–MacArthur Model with Continuous Threshold Harvesting in Predator Involving Fractional Derivatives with Power Law and Mittag–Leffler Kernel
Abstract
1. Introduction
2. The Caputo Fractional-Order Rosenzweig–MacArthur Model with THP in Predator
2.1. Model Formulation
2.2. Existence and Uniqueness
2.3. Non-Negativity and Boundedness
2.4. The Existence of Equilibrium Point
- (i)
- The equilibrium points when are
- (i.a)
- the origin point which always exists;
- (i.b)
- the predator extinction point which always exists; and
- (i.c)
- the first co-existence point , with , which exists if and .
- (ii)
- The equilibrium point when is the second co-existence point where and is the positive roots of polynomial whereexists if and .
2.5. Local Asymptotic Stability
- (i)
- ; or
- (ii)
- , , and .
- (i)
- and ; or
- (ii)
- , , and .
2.6. Global Asymptotic stability
2.7. The Existence of Hopf Bifurcation
- (i)
- where ;
- (ii)
- ; and
- (iii)
- .
- (i)
- Let and . The first co-existence point undergoes a Hopf bifurcation when α passes through in the region .
- (ii)
- Let and . The second co-existence point undergoes a Hopf bifurcation when α passes through in the region .
3. The Atangana–Baleanu Fractional-Order Rosenzweig–MacArthur Model with THP in Predator
3.1. Model Formulation
3.2. Existence and Uniqueness
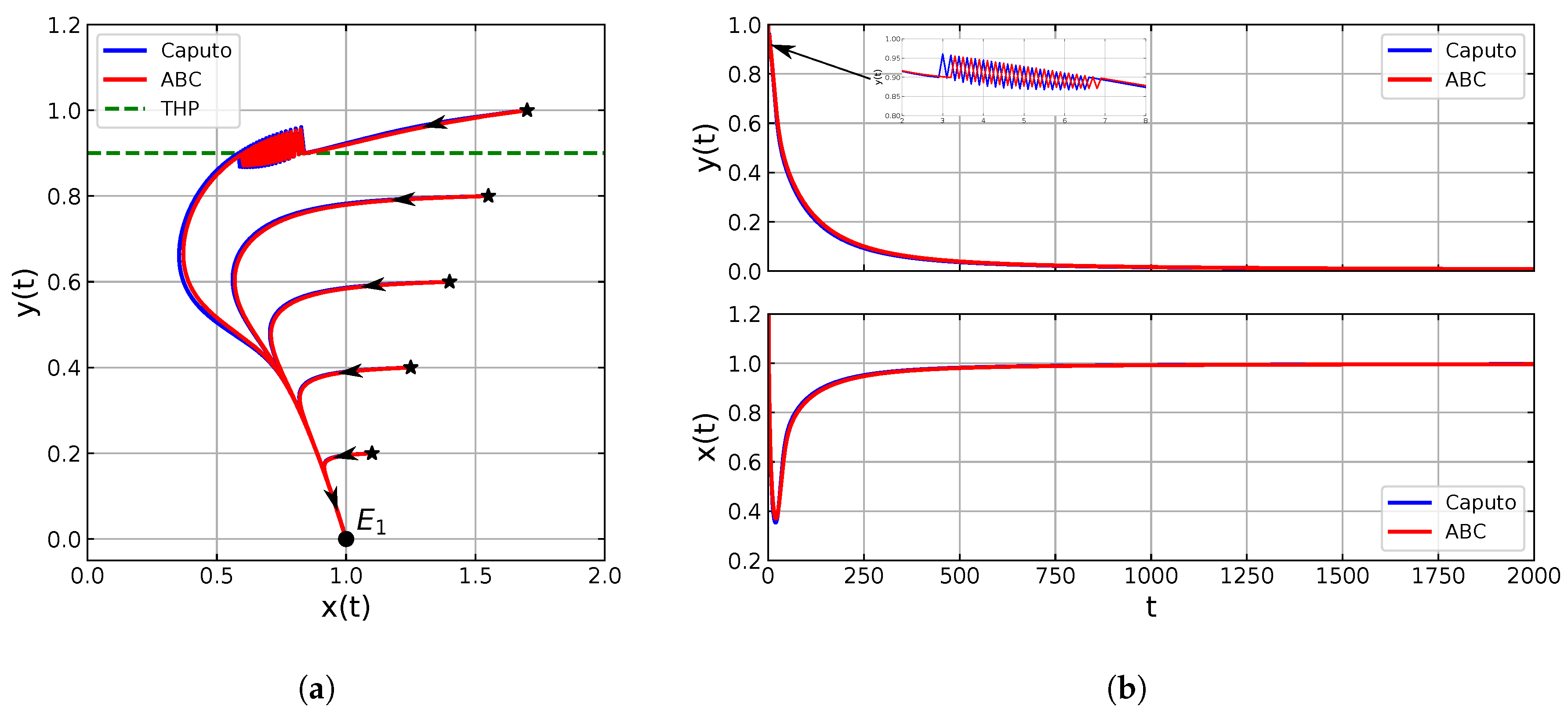
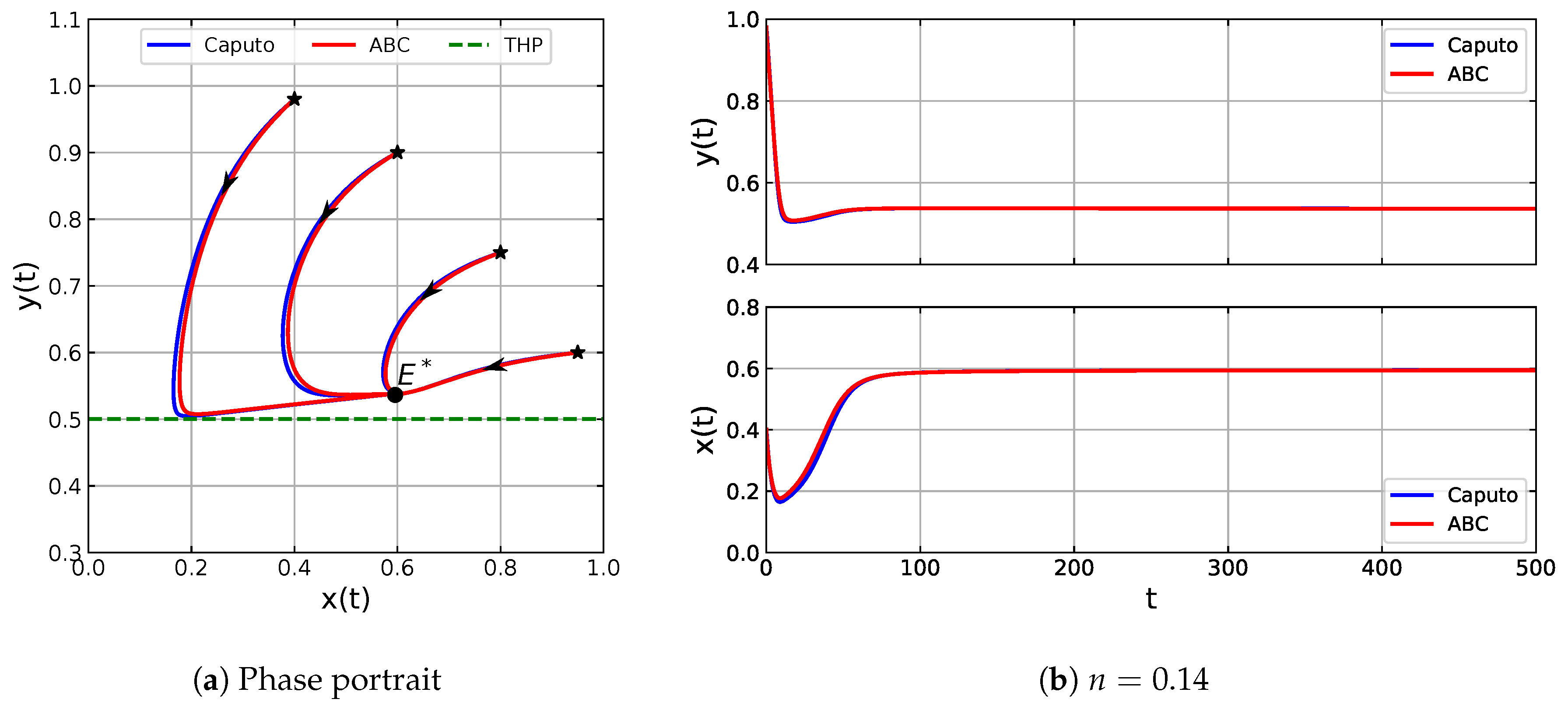
4. Numerical Simulations
5. Conclusions
Author Contributions
Funding
Acknowledgments
Conflicts of Interest
References
- Rosenzweig, M.L.; MacArthur, R.H. Graphical representation and stability conditions of predator-prey interactions. Am. Nat. 1963, 97, 209–223. [Google Scholar] [CrossRef]
- Moustafa, M.; Mohd, M.H.; Ismail, A.I.; Abdullah, F.A. Stage structure and refuge effects in the dynamical analysis of a fractional order Rosenzweig-MacArthur prey-predator model. Prog. Fract. Differ. Appl. 2019, 5, 49–64. [Google Scholar] [CrossRef]
- Beay, L.K.; Suryanto, A.; Darti, I.; Trisilowati, T. Hopf bifurcation and stability analysis of the Rosenzweig-MacArthur predator-prey model with stage-structure in prey. Math. Biosci. Eng. 2020, 17, 4080–4097. [Google Scholar] [CrossRef] [PubMed]
- González-Olivares, E.; Ramos-Jiliberto, R. Dynamic consequences of prey refuges in a simple model system: More prey, fewer predators and enhanced stability. Ecol. Model. 2003, 166, 135–146. [Google Scholar] [CrossRef]
- Chen, L.; Chen, F.; Chen, L. Qualitative analysis of a predator–prey model with Holling type II functional response incorporating a constant prey refuge. Nonlinear Anal. Real World Appl. 2010, 11, 246–252. [Google Scholar] [CrossRef]
- Almanza-Vasquez, E.; Ortiz-Ortiz, R.D.; Marin-Ramirez, A.M. Bifurcations in the dynamics of Rosenzweig-Macarthur predator-prey model considering saturated refuge for the preys. Appl. Math. Sci. 2015, 9, 7475–7482. [Google Scholar] [CrossRef]
- Das, M.; Maiti, A.; Samanta, G.P. Stability analysis of a prey-predator fractional order model incorporating prey refuge. Ecol. Genet. Genom. 2018, 7-8, 33–46. [Google Scholar] [CrossRef]
- Moustafa, M.; Mohd, M.H.; Ismail, A.I.; Abdullah, F.A. Dynamical analysis of a fractional-order Rosenzweig–MacArthur model incorporating a prey refuge. Chaos Solitons Fractals 2018, 109, 1–13. [Google Scholar] [CrossRef]
- Sarkar, K.; Khajanchi, S. Impact of fear effect on the growth of prey in a predator-prey interaction model. Ecol. Complex. 2020, 42, 100826. [Google Scholar] [CrossRef]
- Zu, J.; Mimura, M. The impact of Allee effect on a predator-prey system with Holling type II functional response. Appl. Math. Comput. 2010, 217, 3542–3556. [Google Scholar] [CrossRef]
- Pal, P.J.; Saha, T. Qualitative analysis of a predator-prey system with double Allee effect in prey. Chaos Solitons Fractals 2015, 73, 36–63. [Google Scholar] [CrossRef]
- Bodine, E.N.; Yust, A.E. Predator–prey dynamics with intraspecific competition and an Allee effect in the predator population. Lett. Biomath. 2017, 4, 23–38. [Google Scholar] [CrossRef]
- Mukherjee, D. Role of fear in predator–prey system with intraspecific competition. Math. Comput. Simul. 2020, 177, 263–275. [Google Scholar] [CrossRef]
- Van Den Bosch, F. Cannibalism in an age-structured predator-prey system. Bull. Math. Biol. 1997, 59, 551–567. [Google Scholar] [CrossRef]
- Mondal, S.; Lahiri, A.; Bairagi, N. Analysis of a fractional order eco-epidemiological model with prey infection and type 2 functional response. Math. Methods Appl. Sci. 2017, 40, 6776–6789. [Google Scholar] [CrossRef]
- Suryanto, A.; Darti, I.; Anam, S. Stability analysis of pest-predator interaction model with infectious disease in prey. AIP Conf. Proc. 2018, 1937, 020018. [Google Scholar] [CrossRef]
- Panigoro, H.S.; Suryanto, A.; Kusumawinahyu, W.M.; Darti, I. Dynamics of a fractional-order predator-prey model with infectious diseases in prey. Commun. Biomath. Sci. 2019, 2, 105–117. [Google Scholar] [CrossRef]
- Kumar, T.; And, K.; Chakraborty, K. Effort dynamics in a prey-predator model with harvesting. Int. J. Inf. Syst. Sci. 2000, 6, 318–332. [Google Scholar]
- Javidi, M.; Nyamoradi, N. Dynamic analysis of a fractional order prey-predator interaction with harvesting. Appl. Math. Model. 2013, 37, 8946–8956. [Google Scholar] [CrossRef]
- Zhu, C.; Kong, L. Bifurcations analysis of Leslie-Gower predator-prey models with nonlinear predator-harvesting. Discret. Contin. Dyn. Syst. 2017, 10, 1187–1206. [Google Scholar] [CrossRef]
- Suryanto, A.; Darti, I. Dynamics of Leslie-Gower pest-predator model with disease in pest including pest-harvesting and optimal implementation of pesticide. Int. J. Math. Math. Sci. 2019, 2019, 1–9. [Google Scholar] [CrossRef]
- Ang, T.K.; Safuan, H.M. Harvesting in a toxicated intraguild predator–prey fishery model with variable carrying capacity. Chaos Solitons Fractals 2019, 126, 158–168. [Google Scholar] [CrossRef]
- Leard, B.; Rebaza, J. Analysis of predator-prey models with continuous threshold harvesting. Appl. Math. Comput. 2011, 217, 5265–5278. [Google Scholar] [CrossRef]
- Bohn, J.; Rebaza, J.; Speer, K. Continuous threshold prey harvesting in predator-prey models. Int. J. Math. Comput. Sci. 2011, 5, 964–971. [Google Scholar]
- Rebaza, J. Dynamics of prey threshold harvesting and refuge. J. Comput. Appl. Math. 2012, 236, 1743–1752. [Google Scholar] [CrossRef]
- Lv, Y.; Yuan, R.; Pei, Y. Dynamics in two nonsmooth predator–prey models with threshold harvesting. Nonlinear Dyn. 2013, 74, 107–132. [Google Scholar] [CrossRef]
- Wu, D.; Zhao, H.; Yuan, Y. Complex dynamics of a diffusive predator–prey model with strong Allee effect and threshold harvesting. J. Math. Anal. Appl. 2019, 469, 982–1014. [Google Scholar] [CrossRef]
- Toaha, S. The effect of harvesting with threshold on the dynamics of prey predator model. J. Phys. Conf. Ser. 2019, 1341. [Google Scholar] [CrossRef]
- Panigoro, H.S.; Suryanto, A.; Kusumawinahyu, W.M.; Darti, I. Continuous threshold harvesting in a gause-type predator-prey model with fractional-order. AIP Conf. Proc. 2020, 2264, 040001. [Google Scholar] [CrossRef]
- Shepard, B.M.; Carner, G.R.; Barrion, A.T.; Ooi, P.A.C.; Van den Berg, H. Insects and Their Natural Enemies Associated with Vegetables and Soybean in Southeast Asia; Clemson Univ. Coastal Research: Orangeburg, SC, USA, 1999. [Google Scholar]
- Li, H.L.; Zhang, L.; Hu, C.; Jiang, Y.L.; Teng, Z. Dynamical analysis of a fractional-order predator-prey model incorporating a prey refuge. J. Appl. Math. Comput. 2017, 54, 435–449. [Google Scholar] [CrossRef]
- Das, S.; Gupta, P.K. A mathematical model on fractional Lotka-Volterra equations. J. Theor. Biol. 2011, 277, 1–6. [Google Scholar] [CrossRef]
- Panja, P. Dynamics of a fractional order predator-prey model with intraguild predation. Int. J. Model. Simul. 2019, 39, 256–268. [Google Scholar] [CrossRef]
- Suryanto, A.; Darti, I.; Panigoro, H.S.; Kilicman, A. A fractional-order predator–prey model with ratio-dependent functional response and linear harvesting. Mathematics 2019, 7, 1100. [Google Scholar] [CrossRef]
- Alidousti, J.; Ghafari, E. Dynamic behavior of a fractional order prey-predator model with group defense. Chaos Solitons Fractals 2020, 134, 109688. [Google Scholar] [CrossRef]
- Ghanbari, B.; Djilali, S. Mathematical analysis of a fractional-order predator-prey model with prey social behavior and infection developed in predator population. Chaos Solitons Fractals 2020, 138, 109960. [Google Scholar] [CrossRef]
- Xie, Y.; Wang, Z.; Meng, B.; Huang, X. Dynamical analysis for a fractional-order prey–predator model with Holling III type functional response and discontinuous harvest. Appl. Math. Lett. 2020, 106, 106342. [Google Scholar] [CrossRef]
- Sekerci, Y. Climate change effects on fractional order prey-predator model. Chaos Solitons Fractals 2020, 134, 109690. [Google Scholar] [CrossRef]
- Caputo, M. Linear models of dissipation whose Q is almost fFrequency independent–II. Geophys. J. Int. 1967, 13, 529–539. [Google Scholar] [CrossRef]
- Atangana, A.; Baleanu, D. New fractional derivatives with nonlocal and non-singular kernel: Theory and application to heat transfer model. Therm. Sci. 2016, 20, 763–769. [Google Scholar] [CrossRef]
- Atangana, A.; Koca, I. Chaos in a simple nonlinear system with Atangana–Baleanu derivatives with fractional order. Chaos Solitons Fractals 2016, 89, 447–454. [Google Scholar] [CrossRef]
- Tajadodi, H. A Numerical approach of fractional advection-diffusion equation with Atangana–Baleanu derivative. Chaos Solitons Fractals 2020, 130, 109527. [Google Scholar] [CrossRef]
- Ghanbari, B.; Kumar, D. Numerical solution of predator-prey model with Beddington-DeAngelis functional response and fractional derivatives with Mittag-Leffler kernel. Chaos Interdiscip. J. Nonlinear Sci. 2019, 29, 063103. [Google Scholar] [CrossRef] [PubMed]
- Morales-Delgado, V.F.; Gómez-Aguilar, J.F.; Saad, K.; Escobar Jiménez, R.F. Application of the Caputo-Fabrizio and Atangana-Baleanu fractional derivatives to mathematical model of cancer chemotherapy effect. Math. Methods Appl. Sci. 2019, 42, 1167–1193. [Google Scholar] [CrossRef]
- Shah, S.A.A.; Khan, M.A.; Farooq, M.; Ullah, S.; Alzahrani, E.O. A fractional order model for Hepatitis B virus with treatment via Atangana–Baleanu derivative. Phys. A Stat. Mech. Its Appl. 2020, 538, 122636. [Google Scholar] [CrossRef]
- Bourafa, S.; Abdelouahab, M.S.; Moussaoui, A. On some extended Routh–Hurwitz conditions for fractional-order autonomous systems of order α∈(0,2) and their applications to some population dynamic models. Chaos Solitons Fractals 2020, 133. [Google Scholar] [CrossRef]
- Ahmed, E.; El-Sayed, A.; El-Saka, H.A. On some Routh–Hurwitz conditions for fractional order differential equations and their applications in Lorenz, Rössler, Chua and Chen systems. Phys. Lett. A 2006, 358, 1–4. [Google Scholar] [CrossRef]
- Petras, I. Fractional-Order Nonlinear Systems: Modeling, Analysis and Simulation; Springer: London, UK; Beijing, China, 2011. [Google Scholar]
- Diethelm, K. The Analysis of Fractional Differential Equations: An Application-Oriented Exposition Using Differential Operators of Caputo Type; Springer: Braunschweig, Germany, 2010. [Google Scholar]
- Podlubny, I. Fractional Differential Equations: An Introduction to Fractional Derivatives, Fractional Differential Equations, to Methods of Their Solution and Some of Their Applications; Academic Press: San Diego CA, USA, 1999. [Google Scholar]
- Vargas-De-León, C. Volterra-type Lyapunov functions for fractional-order epidemic systems. Commun. Nonlinear Sci. Numer. Simul. 2015, 24, 75–85. [Google Scholar] [CrossRef]
- Huo, J.; Zhao, H.; Zhu, L. The effect of vaccines on backward bifurcation in a fractional order HIV model. Nonlinear Anal. Real World Appl. 2015, 26, 289–305. [Google Scholar] [CrossRef]
- Abdelouahab, M.S.; Hamri, N.E.; Wang, J. Hopf bifurcation and caos in fractional-order modified hybrid optical system. Nonlinear Dyn. 2012, 69, 275–284. [Google Scholar] [CrossRef]
- Deshpande, A.S.; Daftardar-Gejji, V.; Sukale, Y.V. On Hopf bifurcation in fractional dynamical systems. Chaos Solitons Fractals 2017, 98, 189–198. [Google Scholar] [CrossRef]
- Diethelm, K. A fractional calculus based model for the simulation of an outbreak of dengue fever. Nonlinear Dyn. 2013, 71, 613–619. [Google Scholar] [CrossRef]
- Moustafa, M.; Mohd, M.H.; Ismail, A.I.; Abdullah, F.A. Dynamical analysis of a fractional-order eco-epidemiological model with disease in prey population. Adv. Differ. Equ. 2020, 2020, 48. [Google Scholar] [CrossRef]
- Li, Y.; Chen, Y.; Podlubny, I. Stability of fractional-order nonlinear dynamic systems: Lyapunov direct method and generalized Mittag–Leffler stability. Comput. Math. Appl. 2010, 59, 1810–1821. [Google Scholar] [CrossRef]
- Odibat, Z.M.; Shawagfeh, N.T. Generalized Taylor’s formula. Appl. Math. Comput. 2007, 186, 286–293. [Google Scholar] [CrossRef]
- Matignon, D. Stability results for fractional differential equations with applications to control processing. Comput. Eng. Syst. Appl. 1996, 2, 963–968. [Google Scholar]
- Kuznetsov, Y.A. Elements of Applied Bifurcation Theory, 3rd ed.; Springer: New York, NY, USA, 2004. [Google Scholar]
- Baisad, K.; Moonchai, S. Analysis of stability and Hopf bifurcation in a fractional Gauss-type predator–prey model with Allee effect and Holling type-III functional response. Adv. Differ. Equ. 2018, 2018. [Google Scholar] [CrossRef]
- Li, X.; Wu, R. Hopf bifurcation analysis of a new commensurate fractional-order hyperchaotic system. Nonlinear Dyn. 2014, 78, 279–288. [Google Scholar] [CrossRef]
- Tavazoei, M.S.; Haeri, M. A proof for non existence of periodic solutions in time invariant fractional order systems. Automatica 2009, 45, 1886–1890. [Google Scholar] [CrossRef]
- Fulger, D.; Scalas, E.; Germano, G. Monte Carlo simulation of uncoupled continuous-time random walks yielding a stochastic solution of the space-time fractional diffusion equation. Phys. Rev. E 2008, 77, 021122. [Google Scholar] [CrossRef]
- Scherer, R.; Kalla, S.L.; Tang, Y.; Huang, J. The Grünwald–Letnikov method for fractional differential equations. Comput. Math. Appl. 2011, 62, 902–917. [Google Scholar] [CrossRef]
- Suryanto, A.; Darti, I. Stability analysis and nonstandard Grünwald-Letnikov scheme for a fractional order predator-prey model with ratio-dependent functional response. AIP Conf. Proc. 2017, 1913, 020011. [Google Scholar] [CrossRef]
- Diethelm, K.; Ford, N.J.; Freed, A.D. A predictor-corrector approach for the numerical solution of fractional differential equations. Nonlinear Dyn. 2002, 29, 3–22. [Google Scholar] [CrossRef]
- Wang, Z. A numerical method for delayed fractional-order differential equations. J. Appl. Math. 2013, 2013, 256071. [Google Scholar] [CrossRef]
- Baleanu, D.; Jajarmi, A.; Hajipour, M. On the nonlinear dynamical systems within the generalized fractional derivatives with Mittag–Leffler kernel. Nonlinear Dyn. 2018, 94, 397–414. [Google Scholar] [CrossRef]








| Variables and Parameters | Description |
|---|---|
| The density of prey | |
| The density of predator | |
| r | The intrinsic growth rate of prey |
| K | The environmental carrying capacity of prey |
| m | The maximum uptake rate for prey |
| n | The conversion rate of consumed prey into predator birth |
| a | The environment protection for prey |
| d | The natural death rate of predator |
| h | The harvesting rate |
| c | The half saturation constant for harvesting |
| T | The threshold level of harvesting |
Publisher’s Note: MDPI stays neutral with regard to jurisdictional claims in published maps and institutional affiliations. |
© 2020 by the authors. Licensee MDPI, Basel, Switzerland. This article is an open access article distributed under the terms and conditions of the Creative Commons Attribution (CC BY) license (http://creativecommons.org/licenses/by/4.0/).
Share and Cite
Panigoro, H.S.; Suryanto, A.; Kusumawinahyu, W.M.; Darti, I. A Rosenzweig–MacArthur Model with Continuous Threshold Harvesting in Predator Involving Fractional Derivatives with Power Law and Mittag–Leffler Kernel. Axioms 2020, 9, 122. https://doi.org/10.3390/axioms9040122
Panigoro HS, Suryanto A, Kusumawinahyu WM, Darti I. A Rosenzweig–MacArthur Model with Continuous Threshold Harvesting in Predator Involving Fractional Derivatives with Power Law and Mittag–Leffler Kernel. Axioms. 2020; 9(4):122. https://doi.org/10.3390/axioms9040122
Chicago/Turabian StylePanigoro, Hasan S., Agus Suryanto, Wuryansari Muharini Kusumawinahyu, and Isnani Darti. 2020. "A Rosenzweig–MacArthur Model with Continuous Threshold Harvesting in Predator Involving Fractional Derivatives with Power Law and Mittag–Leffler Kernel" Axioms 9, no. 4: 122. https://doi.org/10.3390/axioms9040122
APA StylePanigoro, H. S., Suryanto, A., Kusumawinahyu, W. M., & Darti, I. (2020). A Rosenzweig–MacArthur Model with Continuous Threshold Harvesting in Predator Involving Fractional Derivatives with Power Law and Mittag–Leffler Kernel. Axioms, 9(4), 122. https://doi.org/10.3390/axioms9040122

