Abstract
This paper addresses the solution of the incompressible second-grade fluid models. Fundamental qualitative properties of the solution are primarily studied for proving the adequacy of the physical interpretations of the proposed model. We use the Liouville-Caputo fractional derivative with its generalized version that gives more comprehensive physical results in the analysis and investigations. In this work, both the -Laplace homotopy transform method (-LHTM) and the heat balance integral method (HBIM) are successfully combined to solve the fractional incompressible second-grade fluid differential equations. Numerical simulations and their physical interpretations of the mentioned incompressible second-grade fluid model are ensured to illustrate the main findings. It is also proposed that one can recognize the differences in physical analysis of diffusions such as ballistic diffusion, super diffusion, and subdiffusion cases by considering the impact of the orders and .
1. Introduction
Fractional calculus is a field trying to understand the real-world phenomena modeled with non-integer-order derivatives [1,2], finance [3,4], biological processes and epidemic models [5,6,7,8], science and engineering [9,10,11,12,13,14,15,16,17], mechanics, etc. There exist at present numerous fractional operators which are defined by virtue of singular and nonsingular kernels. Since fractional terminology began with Leibniz’s question in 1695, the list of the existing fractional operators is naturally long. With singular kernels, we have the Caputo operator [18] and the Riemann-Liouville operator [18]. Without singular kernels, we have two types: the fractional derivative with exponential kernel [19,20] and the fractional operator which has Mittag–Leffler function as a kernel known as the Atangana–Baleanu operator [21,22,23]. We also summarized the existing FDs, which are the most popular in the literature. Some other types of derivatives as conformable [24], the Hilfer derivation [25], the Erdélyi–Kober derivation, and others. Note the discrete forms of the fractional derivatives previously cited exist in the literature; for more information, see the following investigations [26,27].
In the literature, there exist several investigations related to these fractional differential equations. We briefly enumerate some of them. Reference [28] proposed a discretization of the Rayleigh and Stokes equation for a heated generalized second-grade fluid (HGSGF). Reference [29] presented the numerical discretization for Stokes’ first problem for the HGSGF described by a fractional operator. Reference [30] provided a discretization for Stokes’ equation for the HGSGF that contains the Riemann-Liouville derivative. For further information about the HGSGF, one could see works in [1,31,32,33]. In addition, there are many other investigations for fractional heat equations; some numerical studies exist as well. Reference [34] investigated a numerical computation for the wave diffusion problem in fractional context. Reference [35] illustrated the numerical technique for the diffusion problem with fractional order derivative. Reference [36] proposed the numerical approximation with high order accuracy for the fractional reaction-sub-diffusion equation. In [37], authors considered a heat conduction equation with respect to the Caputo–Fabrizio fractional derivative (CFFD). In [38], authors formulated a fractional optimal control problem for an anomalous diffusion process. We conclude the literature review by giving the next remark. Many other works in terms of analytical solution and numerical discretization for the fractional diffusion equation may also be found in the literature [35,39,40].
In this paper, we address the diffusion processes. We mainly investigate the solution of the incompressible second-grade fluids model which is constructed with the generalization of a fractional operator. The primary importance of this paper is the fractional aspect of the presented model. We apply the generalized fractional operator in mechanics fluids. Our paper yields providing the application of the fractional analysis in mathematical physics and mechanics fluids.
One of the main novelties of this paper is to propose new procedures which give the semi-analytical solutions of the nanofluid equations as well. The process of getting the solutions combines the heat integral balance method and the homotopy method (which is used classically for getting the approximate solutions for nanofluid equations). In our paper, we prove when we combine these two approaches, we obtain more accurate solutions for the fractional incompressible second-grade fluids models. In addition, the structure of the obtained solutions is more useful, and the graphical representations are most straightforward. As another contribution of the paper, we analyze the behavior of the obtained solutions when the order is into or outside . In other words, we consider the subdiffusion process and the superdiffusion process. In other words, what is the impact of the order into the behavior of the solutions of the fractional the incompressible second-grade fluids models?
In Section 2, we offer the fractional-order derivatives that are used in our paper. In Section 3, we provide and give the model presentations which are constructed with a fractional operator. In Section 4, we present the fundamental qualitative properties of the fractional incompressible second-grade fluids model and its solutions as well. In Section 5, we describe the solution methods which are combination of two different methods that get the approximate solutions of the fractional incompressible second-grade fluids model. In Section 6, we provide the solutions of the mentioned problem. In Section 7, we illustrate our main results by the graphical representations and discuss the impact of the order when we fix the fractional order . In addition, finally, we give the conclusions which we have pointed out in the paper and the corresponding perspectives in Section 8.
2. Basic Definitions on Fractional Derivations and Their Generalizations
In this section, we call to mind the fundamental definitions and features of the fractional analysis and their generalized form recently proposed in the literature by Tomovski et al. [41], Sene and Srivastava [42], Jarad and Abdeljawad [43,44] and Jarad et al. [45]. We first define the so-called fractional integral proposed by Riemann and Liouville. Let be a strictly increasing function with continuous derivative on the interval . The left Riemann-Liouville fractional integral of f with respect to the function g of order is defined by
It is clear that when , Equation (1) is the classical Riemann-Liouville fractional integral. Taking the function , we define the integral of order , of the function f starting at 0 as the following construction [46]
where represents the Euler Gamma function and and .
Its generalized form introduced in the literature by the authors in [41,43,44,45] is described as follows. From the function defined by , and taking in Equation (1) we obtain a special case of the the generalized integral of order , of f starting at 0 as the following form
We use these definitions above to define the Riemann-Liouville fractional operator in its classical form and its generalized form. The left Riemann-Liouville fractional derivative of f with respect to the function g of order is defined by
It can be easily noticed that when , Equation (4) is the classical Riemann-Liouville fractional derivative. By using , we define the Riemann-Liouville operator of order , starting at 0 as the following form
Its generalized form introduced in the literature by the authors in [41,43,44,45] is described as follows. From the function defined by , and taking in Equation (4) we obtain a special case of the the generalized Riemann-Liouville derivative of order , of f starting at 0 as the following form.
In the same way, the Liouville-Caputo fractional derivative of f with respect to the function g of order is defined by
It can be easily noticed that when , Equation (7) gives the classical Liouville-Caputo fractional derivative which is given
From the function defined by , and taking in Equation (7) we obtain a special case of the the generalized Liouville-Caputo derivative of order , of f starting at 0 as the following form:
Remark 1.
Each of these generalized forms given in Equations (6) and (9) is derivable from the classical Riemann-Liouville derivative given by Equation (5) and the Liouville-Caputo fractional derivative given by Equation (8), respectively, by changing the variable, the parameter and the functional notation appropriately. In other words, and
In what follows, we recall the -Laplace transform (-LT) of a real-valued function and -LT of the Liouville-Caputo operator which we take into account throughout the paper in our investigations. The -Laplace transform of the real-valued function is described by
where for all s values the integral is valid.
Theorem 1.
Let the function be continuous and of exponential order such that is piecewise continuous over every finite interval Then ρ-Laplace transform of exists for and
where and
Proof.
The proof can be found in [43]. □
The -LT of the Liouville-Caputo operator of order is defined by [43] with Corollary 3.3 as:
where is the space of absolutely continuous functions on for any and is -exponential order
Then the following Remark may be given:
Remark 2.
ρ-generalized variation of the Laplace transform is derivable from the classical Laplace transform itself by suitably changing the variable and the index and the functional notation.
The main relationship between the -LT and the classical Laplace transform is given by [44] with Theorem 3.2.
where are the real-valued functions such that is continuous and on such that the generalized Laplace transform of f exists and and . We now give the following particular relationship which we will use in our calculations
Remark 3.
As the usual Laplace transform (1-Laplace) is a tool to solve classical fractional Riemann-Liouville and Liouville-Caputo derivatives, we use the ρ-Laplace transform to solve the incompressible second-grade fluids model in the frame of Riemann-Liouville and Liouville-Caputo type fractional generalized operators. This confirms that these fractional generalized operators that can be used to produce more general types of fractional derivatives with memory effect. Therefore, it is always of interest to introduce new local derivatives of arbitrary order and use them by a fractionalization process to produce new types of fractional derivatives of different kernels [42].
The Mittag-Leffler function with the parameters and is presented with the following sum
where and . Note convergence of this series result from the assumptions and .
The Mittag-Leffler approximation will be used for expressing the obtained approximate solution of the fractional incompressible second grade fluid.
3. Model Presentation and Work Project
In this part, we combine two useful methods of obtaining the solutions of FDEs. We propose in our investigations the approximate solution of the ISGF model which is covered with the left generalized fractional operator expressed by the equations
where the conditions at are
and furthermore, the function u represents the velocity of the fluid and represents the temperature of the fluid. Moreover, these functions satisfy the following relations
In the above equation, represents the Grashof number, represents the Prandtl number and H represents the Heaviside function. f indicates the constant which has the velocity’s dimension, represents the heat capacity at constant pressure, k represents the thermal conductivity and q the constant density. denotes the kinematic of the fluid, g shows the gravitation acceleration, represents the volumetric number of the thermal expansion, denotes the plate temperature and represents the ambient fluid temperature of the plate [47]. The main importance of our problem is two-equations constitute it. The first equation is used in nanofluid, and the second is a fractional diffusion equation. The fractional diffusion Equation (12) represents an exogenous input for the first problem Equation (11). The governing Equations (11) and (12) model the heat transfer in a second grade fluid over and oscillating vertical plate. For more pieces of information and the graphical description of the model can be found in [47]. Furthermore, is a constant where is the second grade parameter, and is the diffusion term. The solution of the model presented by Equations (11) and (12) can be approximated by many methods: the homotopy perturbed method and the homotopy analysis method. Equation (12) is a heat equation and many methods can be considered to determine its analytical or approximate solutions. We can use the Fourier sine transform, the Fourier transform, the integral balance method, and many others. Our motivation in this paper is to bring a more precise solutions of the model presented by Equations (11) and (12) by first solving Equation (11) using Homotopy perturbation method and the HBIM to give a more precise approximate solution for Equation (12). The impact of the order will be analyzed.
4. Fundamental Qualitative Properties of the Solutions
In this section, we consider the Banach sketch (BS) to provide the conditions to obtain the qualitative properties to the incompressible SGF constructed with the left generalized fractional derivative.
Theorem 2.
The solution of the fractional differential equation described by Equation (11) exists.
Proof.
We begin with the first equation of the proposed model. We take into account the following function.
Let us prove that is Lipschitz and continuous (L-C). Here for simplification, we use the classical norm. By considering triangular inequality and taking the norm to both sides of Equation (15), we get
Let us assume that u is Lipschitz and continuous. We obtain the following expression after calculation when we consider the second term null
where a is a constant. From the condition , we provide the Picard’s operator (PsO) as follows
where and H is a compact set. The operator M should be bounded before continuing our reasoning. We recall the Euclidean norm, we have the expression
Using the assumption that is bounded by b and , we have the inequality
Equation (17) proves that the PsO is bounded. Let’s prove this operator is now a contraction or we will provide a condition under which the PsO is a contraction. Applying the classical norm, we obtain the following inequality
Using the fact that is L-C (Equation (16)), we obtain the following relationships
From which the PsO is a contraction if the following relation is provided
Theorem 3.
The solution of the fractional differential equation described by Equation (12) is unique.
Proof.
For the heat Equation (12), we repeat the same procedures. We consider the following function
Let us prove that is Lipschitz and continuous with constant c. Here for simplification, we use the classical norm. By considering triangular inequality and taking the norm of Equation (18), we get
Let us suppose that is Lipschitz continuous, and c is a constant such that the following relationship holds
From initial condition , we define the Picard’s operator as follows
where and H is a Banach space. The operator N should be bounded before continuing our reasoning. We recall the classical norm; we have the following expression
By using the assumption that is bounded by d and , we get the following inequality
Equation (19) proves that the PsO is bounded. We prove that this operator is now a contraction or we will provide a condition under which the PsO is a contraction. If we apply the norm, we obtain the following inequality
Using is Lipschitz and continuous, we get the following connection
From which the PsO is a contraction if the following relation is ensured
In conclusion, we can now give an approximate solution of Equation (12) because the problem of getting the exact solution is well defined.
5. Description of Proposed Solution Methods
5.1. Heat Balance Integral Method (HBIM)
In this subsection, we provide briefly the method that is used for obtaining the solution of the second equations. The method exists in the literature and provided in different studies as in [1,48]. According to the HBIM method, we suppose the solution is regarded as the following form
where n represents the exponent and will be fixed to . However, as we will discuss later, there exist techniques to get the approximate value of the exponent n proposed by Myers and Mitchell [49]. The technique which is used in the study provides a physical concept. The main argument is to integrate the heat Equation (12) between 0 to the depth . That is
5.2. -Homotopy Perturbation Laplace Transformation
In this subsection, we define the -Laplace homotopy transformation method (-LHTM) to solve the problem mentioned in Section 3. This method is combined with the classical homotopy technique and -Laplace transform and it was proposed firstly by Sene and Fall [50]. Consider the following PDE in the generalized fractional sense:
with Dirichlet initial and boundary conditions given by
and
where shows the generalized-Caputo fractional operator (GCFO). Other variables stated in Equation (22) are the same with those which were defined in Section 3. Using the -Laplace transform, we assign the . Then applying the homotopy to Equation (22) we derive the homotopies for the GCFO. Taking the LT of both sides of Equation (22), yields
We assume that
then substituting Equation (26) into Equation (25) and applying the homotopy steps, we have
where is mth iteration of the expression If we compare the values of the powers of z, we generate the homotopies for the generalized Caputo fractional operator as follows:
Then the corresponding solution of Equation (22) is given by
6. Procedure Solutions
In this Part, we give the solution of the incompressible fluid described by the left GDD defined in Equation (12). We begin the resolution by solving the fractional heat equation described by Equation (12). We use the HBIM which consists of expressing the similarity variable of the heat equation using the penetration depth denoted in this paper by . This technique is to integrate the heat diffusion equation from 0 to the depth . We suppose the suggested solution of Equation (12) is expressed as
It follows the following identity
Considering the integration in the interval , we arrive to the following relation
For the rest of the paper we take and because in the present investigation its influence in the dynamics of the considered model is not under consideretion. The LT to both sides of Equation (31), we get the relationships with the condition
Inverting Equation (32), we have the approximate equivalent
Thus, using Equation (29), the approximate solution of the heat Equation (12) can be formed in the following expression
For the heat diffusion equation, we have a parabolic equation; thus, in this study, we stipulate the exponent . There exist in the literature many discussions related to the good choose of the exponent for the diffusion and the fractional diffusion equations. In this context, Myers [51] provided an excellent method for getting the exponent n by minimizing the residual term of the diffusion equation. However, in many cases, we choose , to obtain a more accurate profile. In our study, the approximate solution of Equation (12) is clarified as the expression of
The importance of our method is the physical propose. Our method gives the estimate of the similarity variable of the diffusion equation of fractional order. That is
Another importance of our method, is it propose a classification of the nature of the diffusion processes. For classification, let’s the square penetration depth
Here we give a brief classification. Some detail will be give in forthcoming paper. Note when , we have a normal diffusive. When , we have a sub-diffusion process. When , the diffusion is super-diffusion. In addition, when , we have a ballistic diffusion. The solution of Equation (12) can be expressed in the following form
where . Thus, the first Equation (11), will have been solved using the -LHTM. Now considering the solution obtained in Equation (36) we aim to solve by homotopy technique explained in Section 5.2 the following equation
For this aim, we apply the homotopy steps to the last equation. Then we have
From the last homotopies and taking the inverse -LT of each terms we can get the followings:
Then the solution of the incompressible fluid equation is given by
7. Graphics and Discussions
In this part, we have the graphical representations of super-diffusion, ballistic-diffusion, and sub-diffusion cases. Also, we discuss the results of the solutions obtained in this study.
We first depict and analyze the solution of fractional diffusion equation (FDE) (12), which has been represented in Equation (33). We make the following assumptions and , and we depict the solution according to the state variable x of the diffusion process. In Figure 1, we demonstrate the solutions of FDE for different values of the order . We observe the solutions decrease considerably and converge the normal diffusion obtained with the values ( when the order increases to 1. We note the order has a prominent effect on the diffusion processes. In general, it generates a retardation impact on the diffusion processes. Physically, the behaviors are explained by the sub-diffusion process generated by the fractional heat equation when .
Figure 1.
Solution of Equation (12) for versus x when and .
In Figure 2, we present the solutions of the heat equation for varied values of the order satisfying the condition . We note the solutions decrease according to the state variable x. Analyzing the behaviors of the solutions according to one another, we observe when the order increases and satisfies the condition ; all the curves increase as well and converge to the normal diffusion. The arrow in Figure 2 indicates these observations. The super-diffusion process explains the behaviors of the solutions when we fix and . Here we note the order generates an acceleration impact.
Figure 2.
Solution of Equation (12) when and .
We fix and , and we depict the solutions according to time t of the diffusion process. We obtain the opposite behaviors, contrary to the previous cases. We note after certain times, all the curves increase and converge to infinity. See the example in Figure 3. Please note that the effects of the order are the same as in previous analysis: retardation and acceleration effects.
Figure 3.
Solution of Equation (12) for versus t when and .
In Figure 4, Figure 5 and Figure 6, we point out the solutions with respect to the Super-diffusion, Ballistic-diffusion and Sub-diffusion cases, respectively. These mentioned graphical representations have been obtained by using the exact solution which is defined with the -Laplace homotopy perturbation transform method and given in Equation (39). This mentioned method is very influential and accurate in finding the analytical solution of the ISGF equation of fractional order. Since, when looking at the solution, one can understand that by using only the first two iterations the solution has been provided. The truncation error does not need to have occurred for this problem. This situation may be possible for the solution of some kind of linear problems as well as it is may differ according to the nature of the problem [52].
Figure 4.
Super-diffusion case of incompressible second grade fluid dynamics.
Figure 5.
Ballistic-diffusion case of incompressible second grade fluid dynamics.
Figure 6.
Sub-diffusion case of incompressible second grade fluid dynamics.
In Figure 4, we obtain the super-diffusion-type process which is considered when . In this graphical representation we took and . In Figure 5, we have the ballistic-type diffusion process which is obtained when and here we have and . In Figure 6, we have regarded as sub-diffusion-type process which is taken into account when . For this representation we take and .
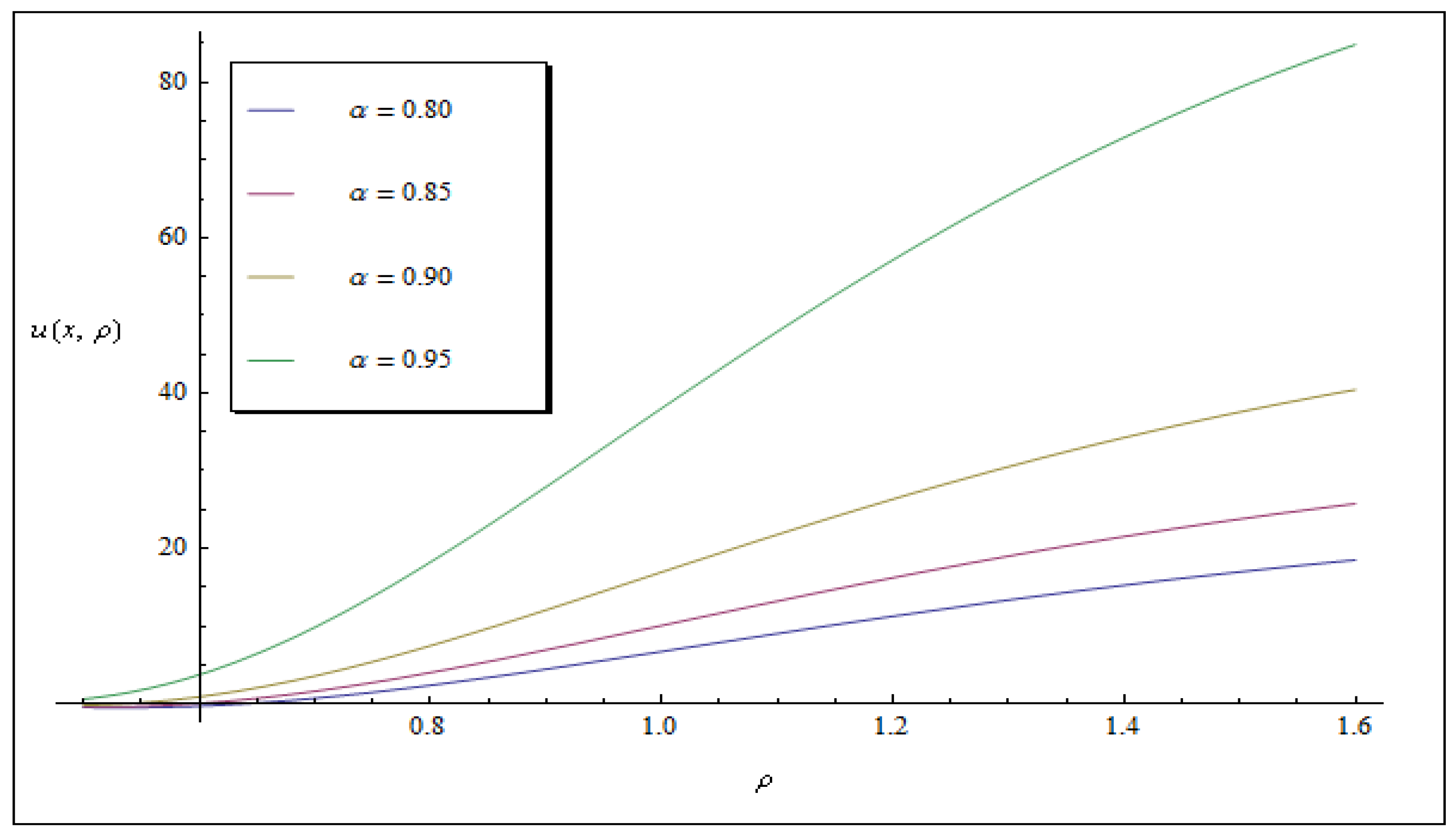
In Figure 7, we can see the effect of diffusion parameter for different values of the space variable when and . It is clear to recognize that when values increase, the diffusion process approaches to the normal diffusion.
Figure 7.
Solution of Equation (11) when and .
In Figure 8, we represent the solution of the problem in Equation (11) for different values of the fractional parameter and diffusion term. It is concluded that both of the fractional parameter and diffusion term approach to the unit, the process designates to the normal diffusion case.
Figure 8.
Solution of Equation (11) for various values of and .
8. Concluding Remarks
In this study, the existence and uniqueness have been investigated for the FDD described by a fractional operator with its generalized form. The approximate solutions of the incompressible second-grade fluid have been provided. The -Laplace homotopy perturbation transform method and the HBIM have been combined for proposing a new procedure to obtain the solution of the second-grade fluid model. In conclusion, our approach is useful and can be considered for the second grade fluids models, because the obtained solutions converge as well. They approach the exact solution as well. We represented the solutions of the equations composing the second-grade model studied in this paper. We pointed out the physical aspect of the considered model. We note the order has retardation or acceleration impact in the diffusion processes. The numerical simulations and interpretations of the main results were presented. According to the numerical computations we have pointed out that the behavior of the temperature of the fluid has an important effect on the behavior of the velocity of the fluid. In other words, the type of the diffusion process in the fractional heat equation generates the same diffusion process in the fractional velocity equation. Another result in this paper concerns the exponent for the heat balance integral method. The exponent considered in this paper can be revised according to Myers method related to the exponent in future works. Future direction of investigation is to find a the best value of the exponent n for the semi-analytical solution of the second grade model considered in this paper using Myers method.
Author Contributions
Conceptualization, M.Y. and N.S.; methodology, N.S.; investigation, M.Y. and N.S.; writing—original draft preparation, M.Y. and N.S.; writing—review and editing, M.Y. and N.S.; visualization, M.Y. and N.S. All authors have read and agreed to the published version of the manuscript.
Funding
This research received no external funding.
Acknowledgments
M. Yavuz was supported by TUBITAK (The Scientific and Technological Research Council of Turkey).
Conflicts of Interest
The authors declare no conflict of interest.
References
- Hristov, J. Approximate solutions to fractional subdiffusion equations. Eur. Phys. J. Spec. Top. 2011, 193, 229–243. [Google Scholar] [CrossRef]
- Darzi, R.; Agheli, B. An analytical approach for systems of fractional differential equations by means of the innovative homotopy perturbation method. Math. Moravica 2018, 22, 93–105. [Google Scholar] [CrossRef]
- Yavuz, M.; Ozdemir, N. European vanilla option pricing model of fractional order without singular kernel. Fractal Fract. 2018, 2, 3. [Google Scholar] [CrossRef]
- Bas, E.; Acay, B.; Ozarslan, R. The price adjustment equation with different types of conformable derivatives in market equilibrium. AIMS Math. 2019, 47, 805. [Google Scholar] [CrossRef]
- Yavuz, M.; Bonyah, E. New approaches to the fractional dynamics of schistosomiasis disease model. Phys. A Stat. Mech. Appl. 2019, 525, 373–393. [Google Scholar] [CrossRef]
- Naik, P.A.; Owolabi, K.M.; Yavuz, M.; Zu, J. Chaotic dynamics of a fractional order HIV-1 model involving AIDS-related cancer cells. Chaos Solitons Fract. 2020, 140, 110272. [Google Scholar] [CrossRef]
- Yavuz, M.; Sene, N. Stability Analysis and Numerical Computation of the Fractional Predator–Prey Model with the Harvesting Rate. Fract. Fract. 2020, 4, 35. [Google Scholar] [CrossRef]
- Yavuz, M.; Ozdemir, N. Analysis of an epidemic spreading model with exponential decay law. Math. Sci. Appl. E-Notes 2020, 8, 142–154. [Google Scholar] [CrossRef]
- Santos, M.D. Fractional Prabhakar Derivative in Diffusion Equation with Non-Static Stochastic Resetting. Physics 2019, 1, 40–58. [Google Scholar] [CrossRef]
- Hristov, J. The heat radiation diffusion equation: Explicit analytical solutions by improved integral-balance method. Ther. Sci. 2018, 22, 777–788. [Google Scholar] [CrossRef]
- Khader, M.M. On the numerical solutions for the fractional diffusion equation. Commun. Nonlinear Sci. Numer. Simul. 2011, 16, 2535–2542. [Google Scholar] [CrossRef]
- Tasbozan, O.; Esen, A.; Yagmurlu, N.M.; Ucar, Y. A Numerical Solution to Fractional Diffusion Equation for Force-Free Case. Abstr. Appl. Anal. 2013, 2013, 6. [Google Scholar] [CrossRef]
- Yokus, A.; Bulut, H. On the numerical investigations to the Cahn-Allen equation by using finite difference method. Int. J. Optim. Control Theor. Appl. 2018, 9, 18–23. [Google Scholar] [CrossRef]
- Sene, N. Second-grade fluid model with Caputo–Liouville generalized fractional derivative. Chaos Solitons Fract. 2020, 133, 109631. [Google Scholar] [CrossRef]
- Pendra, S.K.; Abdeljawad, T.; Ravichandran, C.; Jarad, F. A complex valued approach to the solution of Riemann-Liouville integral, Atangana-Baleanu integral operator and non-linear Telegraph equation via fixed point method. Chaos Solitons Fract. 2020, 130, 109439. [Google Scholar]
- Evirgen, F.; Yavuz, M. An alternative approach for nonlinear optimization problem with Caputo-Fabrizio derivative. ITM Web Conf. 2018, 22, 01009. [Google Scholar] [CrossRef]
- Usta, F.; Budak, H.; Sarikaya, M.Z. Yang-Laplace Transform Method Volterra and Abels Integro-Differential Equations of Fractional Order. Int. J. Nonlinear Anal. Appl. 2017, 9, 203–214. [Google Scholar]
- Caputo, M. Linear models of dissipation whose Q is almost frequency independent—II. Geophys. J. Int. 1967, 13, 529–539. [Google Scholar] [CrossRef]
- Caputo, M.; Fabrizio, M. A new definition of fractional derivative without singular kernel. Progr. Fract. Differ. Appl. 2015, 1, 1–15. [Google Scholar]
- Hristov, J. Transient heat diffusion with a non-singular fading memory: From the Cattaneo constitutive equation with Jeffrey’s kernel to the Caputo-Fabrizio time-fractional derivative. Ther. Sci. 2016, 20, 757–762. [Google Scholar] [CrossRef]
- Atangana, A.; Baleanu, D. New fractional derivatives with nonlocal and non-singular kernel: Theory and application to heat transfer model. Ther. Sci. 2016, 20, 763–769. [Google Scholar] [CrossRef]
- Abro, K.A.; Gomez-Aguilar, J.F. A comparison of heat and mass transfer on a Walter’s-B fluid via Caputo-Fabrizio versus Atangana-Baleanu fractional derivatives using the Fox-H function. Eur. Phys. J. Plus 2019, 134, 101. [Google Scholar] [CrossRef]
- Yavuz, M.; Abdeljawad, T. Nonlinear regularized long-wave models with a new integral transformation applied to the fractional derivative with power and Mittag-Leffler kernel. Adv. Differ. Equ. 2020, 2020, 367. [Google Scholar] [CrossRef]
- Khalil, R.; Al Horani, M.; Yousef, A.; Sababheh, M. A new definition of fractional derivative. J. Comput. Appl. Math. 2014, 264, 65–70. [Google Scholar] [CrossRef]
- Hilfer, R. Applications of Fractional Calculus in Physics; World Scientific: Singapore, 1999; pp. 87–130. [Google Scholar]
- Abdeljawad, T.; Al-Mdallal, Q.M. Discrete Mittag-Leffler kernel type fractional difference initial value problems and Gronwall’s inequality. J. Comput. Appl. Math. 2018, 339, 218–230. [Google Scholar] [CrossRef]
- Abdeljawad, T.; Baleanu, D. Discrete fractional differences with non-singular discrete Mittag-Leffler kernels. Adv. Differ. Equ. 2016, 2016, 232. [Google Scholar] [CrossRef]
- Zhuang, P.H.; Liu, Q.X. Numerical method of Rayleigh-Stokes problem for heated generalized second grade fluid with fractional derivative. Appl. Math. Mech. 2009, 30, 1533–1546. [Google Scholar] [CrossRef]
- Wu, C. Numerical solution for Stokes’ first problem for a heated generalized second grade fluid with fractional derivative. Appl. Num. Math. 2009, 59, 2571–2583. [Google Scholar] [CrossRef]
- Ye, C.; Luo, X.; Wen, L. High-order numerical methods of fractional-order Stokes’ first problem for heated generalized second grade fluid. Appl. Math. Mech. Engl. 2012, 33, 65–80. [Google Scholar] [CrossRef]
- Hristov, J. Integral-balance solution to nonlinear subdiffusion equation. In Frontiers in Fractional Calculus, 1st ed.; Bhalekar, S., Ed.; Bentham Science Publishers: Sharjah, UAE, 2017; Volume 1, pp. 71–106. [Google Scholar]
- Hashemi, M.S.; Baleanu, D.; Haghighi, M.P. Solving the time fractional diffusion equation using a lie group integrator. Ther. Sci. 2015, 19, 77–83. [Google Scholar] [CrossRef]
- Meerschaert, M.M.; Tadjeran, C. Finite difference approximations for fractional advection-dispersion flow equations. J. Comput. Appl. Math. 2004, 172, 65–67. [Google Scholar] [CrossRef]
- Delic, A. Fractional in Time Diffusion-Wave Equation and its Numerical Approximation. Filomat 2016, 30, 1375–1385. [Google Scholar] [CrossRef]
- Sene, N. Analytical solutions and numerical schemes of certain generalized fractional diffusion models. Eur. Phys. J. Plus 2019, 134, 199. [Google Scholar] [CrossRef]
- Bhrawy, A.H.; Baleanu, D.; Mallawi, F. A new numerical technique for solving fractional sub-diffusion and reaction sub-diffusion equations with a nonlinear source term. Ther. Sci. 2015, 19, 25–34. [Google Scholar] [CrossRef]
- Avci, D.; Yavuz, M.; Ozdemir, N. Fundamental Solutions to the Cauchy and Dirichlet Problems for a Heat Conduction Equation Equipped with the Caputo-Fabrizio Differentiation. In Heat Conduction: Methods, Applications and Research, 1st ed.; Hristov, J., Bennacer, R., Eds.; Nova Science Publishers: New York, NY, USA, 2019; Volume 1, pp. 95–107. [Google Scholar]
- Avci, D.; Ozdemir, N.; Yavuz, M. Fractional Optimal Control of Diffusive Transport Acting on a Spherical Region. In Methods of Mathematical Modelling: Fractional Differential Equations, 1st ed.; Singh, H., Kumar, D., Baleanu, D., Eds.; CRC Press: Boca Raton, FL, USA, 2019; Volume 1, pp. 63–82. [Google Scholar]
- Hristov, J. A transient flow of a non-newtonian fluid modelled by a mixed time-space derivative: An improved integral-balance approach. In Mathematical Methods in Engineering, 1st ed.; Tas, K., Baleanu, D., Tenreiro Machado, J.A., Eds.; Springer: Cham, Switzerland, 2019; Volume 1, pp. 153–174. [Google Scholar]
- Ravichandran, C.; Logeswari, K.; Jarad, F. New results on existence in framework of Atangana-Baleanu derivative for fractional integro-differential equations. Chaos Solitons Fract. 2019, 125, 194–200. [Google Scholar] [CrossRef]
- Tomovski, Z.; Hilfer, R.; Srivastava, H.M. Fractional and operational calculus with generalized fractional derivative operators and Mittag–Leffler type functions. Integral Transform. Spec. Funct. 2010, 21, 797–814. [Google Scholar] [CrossRef]
- Sene, N.; Srivastava, G. Generalized Mittag-Leffler input stability of the fractional differential equations. Symmetry 2019, 11, 608. [Google Scholar] [CrossRef]
- Jarad, F.; Abdeljawad, T. A modified Laplace transform for certain generalized fractional operators. Res. Nonlinear Anal. 2018, 2, 88–98. [Google Scholar]
- Jarad, F.; Abdeljawad, T. Generalized fractional derivatives and Laplace transform. Discret. Contin. Dyn. Syst. S 2020, 13, 709–722. [Google Scholar] [CrossRef]
- Jarad, F.; Abdeljawad, T.; Baleanu, D. On the generalized fractional derivatives and their Caputo modification. J. Nonlinear Sci. Appl. 2017, 10, 2607–2619. [Google Scholar] [CrossRef]
- Kilbas, A.A.; Srivastava, H.M.; Trujillo, J.J. Theory and Applications of Fractional Differential Equations; Elsevier: Amsterdam, The Netherlands, 2006; Volume 204. [Google Scholar]
- Shah, N.A.; Khan, I. Heat transfer analysis in a second grade fluid over and oscillating vertical plate using fractional Caputo–Fabrizio derivatives. Eur. Phys. J. C 2016, 76, 362. [Google Scholar] [CrossRef]
- Sene, N. Integral Balance Methods for Stokes’ First, Equation Described by the Left Generalized Fractional Derivative. Physics 2019, 1, 154–166. [Google Scholar] [CrossRef]
- Mitchell, S.L.; Myers, T.G. Improving the accuracy of heat balance integral methods applied to thermal problems with time dependent boundary conditions. Int. J. Heat Mass Transf. 2010, 53, 3540–3551. [Google Scholar] [CrossRef]
- Sene, N.; Fall, A.N. Homotopy Perturbation ρ-Laplace Transform Method and Its Application to the Fractional Diffusion Equation and the Fractional Diffusion-Reaction Equation. Fract. Fract. 2019, 3, 14. [Google Scholar] [CrossRef]
- Myers, T.G. Optimal exponent heat balance and refined integral methods applied to Stefan problems. Int. J. Heat Mass Transf. 2010, 53, 1119–1127. [Google Scholar] [CrossRef]
- Yavuz, M.; Ozdemir, N. Numerical inverse Laplace homotopy technique for fractional heat equations. Ther. Sci. 2018, 22, 185–194. [Google Scholar] [CrossRef]
Publisher’s Note: MDPI stays neutral with regard to jurisdictional claims in published maps and institutional affiliations. |
© 2020 by the authors. Licensee MDPI, Basel, Switzerland. This article is an open access article distributed under the terms and conditions of the Creative Commons Attribution (CC BY) license (http://creativecommons.org/licenses/by/4.0/).







