Revisiting Primordial Black Hole Evolution
Abstract
1. Introduction
2. A Refined Analysis of Regime of Black Hole Forbidden to Baryon Accretion
2.1. Fundamentals of the Analysis
2.2. Improvised Eddington Luminosity Limit
2.3. Determining
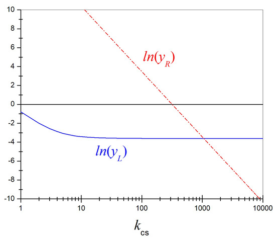
2.4. Determining the Cross-Sections ()
2.5. Final Step of Analysis
3. There Is No Radiation Trapping
4. Where Does Bafrbh Apply?
- (1).
- To test if there is always a practical relevance of considering baryon accretion by mini black holes of every mass-regime.
- (2).
- To judge the growth versus evaporation for black holes trapped in local cosmological matter inhomogeneities, while dissociating the truly viable PBH mass-range for the possibility of prolongation of decay.
- (3).
- To better anticipate and probe the potential ‘cosmological, high energy photon background due to PBHs’ in galactic and extragalactic scenario.
4.1. Pbhs by the End of Radiation Dominated Era and How Effective ‘Bafrbh’ Could Be!
4.2. Understanding Growth Versus Evaporation of a Marginally Accretive Mini Black Hole Trapped Inside Patchy, Dense Matter Cloud
4.3. Time Scale of Growth of Marginally Accretive Mini Pbhs and Its Context
4.4. Time Scale of Evaporation of Bafrbh-Pbhs and Its Context
4.5. Summarizing the Constraints in Probing Observational Evidences of Pbhs
5. Conclusions
Author Contributions
Funding
Acknowledgments
Conflicts of Interest
Appendix A. There Is No Radiation Trapping (Extended Discussion)
Appendix B. Are the Dark Matter and/or Dark Energy Accretion(s) Significant?
Appendix C. Growth Versus Evaporation of a Black Hole (Extended Discussion)
References
- Hawking, S.W. Black hole explosions. Nature 1974, 248, 30–31. [Google Scholar] [CrossRef]
- Page, D.N. Hawking radiation and black hole thermodynamics. New J. Phys. 2005, 7, 203–235. [Google Scholar] [CrossRef]
- Paik, B. Regimes of mini black hole abandoned to accretion. Int. J. Mod. Phys. A 2018, 33, 1850024. [Google Scholar] [CrossRef]
- John, A.J.; Ghosh, S.G.; Maharaj, S.D. Accretion onto a higher dimensional black hole. Phys. Rev. D 2013, 88, 104005. [Google Scholar] [CrossRef]
- Ganguly, A.; Ghosh, S.G.; Maharaj, S.D. Accretion onto a black hole in a string cloud background. Phys. Rev. D 2014, 90, 064037. [Google Scholar] [CrossRef]
- Hossenfelder, S. Minimal length scale scenarios for quantum gravity. Living Rev. Relativ. 2013, 16, 2–90. [Google Scholar] [CrossRef]
- Zeldovich, Y.B.; Novikov, I.D. The hypothesis of cores retarded during expansion and the hot cosmological model. Sov. Astron. 1967, 10, 602–609. [Google Scholar]
- Hawking, S.W. Gravitationally collapsed objects of very low mass. Mon. Not. R. Astron. Soc. 1971, 152, 75–78. [Google Scholar] [CrossRef]
- Carr, B.J. Primordial Black Holes—Recent Developments. In Proceedings of the 22nd Texas Symposium on Relativistic Astrophysics, Stanford, CA, USA, 13–17 December 2004. [Google Scholar]
- Polnarev, A.G.; Khlopov, M.Y. Cosmology, primordial black Holes, and supermassive particles. Sov. Phys. Uspekhi 1985, 28, 213–232. [Google Scholar] [CrossRef]
- Khlopov, M.Y.; Polnarev, A.G. Primordial black holes as a cosmological test of grand unification. Phys. Let. B 1980, 97, 383–387. [Google Scholar] [CrossRef]
- Polnarev, A.G.; Khlopov, M.Y. Primordial black holes and the ERA of superheavy particle dominance in the early universe. Sov. Astron. 1981, 25, 406–411. [Google Scholar]
- Khlopov, M.Y. Primordial black holes. Res. Astron. Astrophys. 2010, 10, 495–528. [Google Scholar] [CrossRef]
- Khlopov, M. Cosmological Reflection of Particle Symmetry. Symmetry 2016, 8, 81. [Google Scholar] [CrossRef]
- Khlopov, M. Fundamental particle structure in the cosmological dark matter. Int. J. Mod. Phys. A 2013, 28, 1330042. [Google Scholar] [CrossRef]
- Carr, B.J.; Hawking, S.W. Black holes in the early Universe. Mon. Not. R. Astron. Soc. 1974, 168, 399–415. [Google Scholar] [CrossRef]
- Carr, B.J.; Lidsey, J.E. Primordial black holes and generalized constraints on chaotic inflation. Phys. Rev. D 1993, 48, 543–553. [Google Scholar] [CrossRef]
- Lehoucq, R.; Cassè, M.; Casandjian, J.M.; Grenier, I. New constraints on the primordial black hole number density from Galactic γ-ray astronomy. Astron. Astrophys. 2009, 502, 37–43. [Google Scholar] [CrossRef][Green Version]
- Carr, B.J.; Kohri, K.; Sendouda, Y.; Yokoyama, J. New cosmological constraints on primordial black holes. Phys. Rev. D 2010, 81, 104019. [Google Scholar] [CrossRef]
- Ukwatta, T.N.; Stump, D.R.; Linnemann, J.T.; MacGibbon, J.H.; Marinelli, S.S.; Yapici, T.; Tollefson, K. Primordial Black Holes: Observational characteristics of the final evaporation. Astropart. Phys. 2016, 80, 90–114. [Google Scholar] [CrossRef]
- Carr, B.; Kühnel, F.; Sandstad, M. Primordial black holes as dark matter. Phys. Rev. D 2016, 94, 083504. [Google Scholar] [CrossRef]
- Carr, B.J.; MacGibbon, J.H. Cosmic rays from primordial black holes and constraints on the early universe. Phys. Rep. 1998, 307, 141–154. [Google Scholar] [CrossRef]
- Page, D.N.; Hawking, S.W. Gamma rays from primordial black holes. Astrophys. J. 1976, 206, 1–7. [Google Scholar] [CrossRef]
- Barrau, A.; Boudoul, G.; Donato, F.; Maurin, D.; Salati, P.; Taillet, R. Antiprotons from primordial black holes. Astron. Astrophys. 2002, 388, 676–687. [Google Scholar] [CrossRef]
- Barrau, A.; Blais, D.; Boudoul, G.; Polarski, D. Galactic Cosmic Rays from PBHs and Primordial Spectra with a Scale. Phys. Lett. B 2003, 551, 218–225. [Google Scholar] [CrossRef]
- Zel’dovich, Y.B.; Starobinskii, A.A.; Khlopov, M.Y.; Chechetkin, V.M. Primordial black holes and the problem of deuterium. Sov. Astron. Lett. 1977, 3, 110–112. [Google Scholar]
- Chechetkin, V.M.; Khlopov, M.Y.; Sapozhnikov, M.G. Antiproton interactions with light elements as a test of GUT cosmology. Riv. Nuovo Cim. 1982, 5, 1–79. [Google Scholar] [CrossRef]
- Belotsky, K.M.; Kirillov, A.A. Primordial black holes with mass 1016–1017 g and reionization of the Universe. JCAP 2015, 01, 041. [Google Scholar] [CrossRef]
- Hu, W.; Silk, J. Thermalization constraints and spectral distortions for massive unstable relic particles. Phys. Rev. Lett. 1993, 70, 2661–2664. [Google Scholar] [CrossRef]
- Cline, D.B.; Sanders, D.A.; Hong, W. Further evidence for some gamma-ray burst consistent with primordial black hole evaporation. Astrophys. J. 1997, 486, 169–178. [Google Scholar] [CrossRef]
- Ukwatta, T.N.; MacGibbon, J.H.; Parke, W.C.; Dhuga, K.S.; Eskandarian, A.; Gehrels, N.; Maximon, L.; Morris, D.C. Spectral Lags of Gamma-Ray Bursts from Primordial Black Hole (PBH) Evaporations. AIP Conf. Proc. 2009, 1133, 440–442. [Google Scholar]
- MacGibbon, J.H. Quark-and gluon-jet emission from primordial black holes. II. The emission over the black-hole lifetime. Phys. Rev. D 1991, 44, 376–392. [Google Scholar] [CrossRef]
- Custódio, P.S.; Horvath, J.E. Evolution of a primordial black hole population. Phys. Rev. D 1998, 58, 023504. [Google Scholar] [CrossRef]
- Thompson, K.A. Formation and evolution of primordial black holes after hybrid inflation. arXiv 2005, arXiv:Astro-ph/0504606. [Google Scholar]
- Ostlie, D.A.; Carroll, B.W. An Introduction to modern astrophysics; Addison-Wesley: Reading, MA, USA, 2007. [Google Scholar]
- Page, D.N. Particle emission rates from a black hole: Massless particles from an uncharged, nonrotating hole. Phys. Rev. D 1976, 13, 198–206. [Google Scholar] [CrossRef]
- Page, D.N. Particle emission rates from a black hole. II. Massless particles from a rotating hole. Phys. Rev. D 1976, 14, 3260–3273. [Google Scholar] [CrossRef]
- Page, D.N. Particle emission rates from a black hole. III. Charged leptons from a nonrotating hole. Phys. Rev. D 1977, 16, 2402–2411. [Google Scholar] [CrossRef]
- MacGibbon, J.H.; Carr, B.J. Cosmic rays from primordial black holes. Astrophys. J. 1991, 371, 447–469. [Google Scholar] [CrossRef]
- Carr, B.J.; Kohri, K.; Sendouda, Y.; Yokoyama, J. Constraints on primordial black holes from the Galactic gamma-ray background. Phys. Rev. D 2016, 94, 044029. [Google Scholar] [CrossRef]
- Mott, N.F.; Massey, H.S.W. The Theory of Atomic Collisions, 3rd ed.; Oxford University Press: London, UK, 1965. [Google Scholar]
- Leroy, C.; Rancoita, P.G. Principles of Radiation Interaction in Matter and Detection, 3rd ed.; World Scientific: Singapore, 2011. [Google Scholar]
- Hirayama, H. Lecture Note on Photon Interactions and Cross-Sections; KEK, High Energy Accelerator Research Organization: Ibaraki, Japan, 2000. [Google Scholar]
- Grupen, C.; Shwartz, B. Particle Detectors; Cambridge University Press: Cambridge, UK, 2008; Volume 26. [Google Scholar]
- Particle Data Group. Available online: Pdg.lbl.gov/2016/hadronic-xsections/hadron.html (accessed on 1 January 2019).
- Sahoo, D. Notes on Elementary Particle Physics. 2012. Available online: www.imsc.res.in/~murthy/Papers/notes-hep-v2.pdf (accessed on 1 February 2019).
- Antognini, A.; Nez, F.; Schuhmann, K. Proton structure from the measurement of 2S-2P transition frequencies of muonic hydrogen. Science 2013, 339, 417–420. [Google Scholar] [CrossRef]
- Coleman, S.; Preskill, J.; Wilczek, F. Dynamical effect of quantum hair. Mod. Phys. Lett. A 1991, 6, 1631–1642. [Google Scholar] [CrossRef]
- Bonanno, A.; Reuter, M. Renormalization group improved black hole spacetimes. Phys. Rev. D 2000, 62, 043008. [Google Scholar] [CrossRef]
- Bondi, H. On spherically symmetrical accretion. Mon. Not. R. Astron. Soc. 1952, 112, 195–204. [Google Scholar] [CrossRef]
- Shapiro, S.L.; Teukolsky, S.A. Black Holes, White Dwarfs and Neutron Stars: The Physics of Compact Objects; John Wiley and Sons, Inc.: Hoboken, NJ, USA, 1983. [Google Scholar]
- Michel, F.C. Accretion of matter by condensed objects. Astrophys. Space Sci. 1972, 15, 153–160. [Google Scholar] [CrossRef]
- Tavernier, S. Experimental Techniques in Nuclear and Particle Physics; Springer: Berlin/Heidelberg, Germany, 2010. [Google Scholar]
- Babichev, E.; Dokuchaev, V.; Eroshenko, Y. Black hole mass decreasing due to phantom energy accretion. Phys. Rev. Lett. 2004, 93, 021102. [Google Scholar] [CrossRef]
- Babichev, E.; Dokuchaev, V.; Eroshenko, Y. The accretion of dark energy onto a black hole. J. Exp. Theor. Phys. 2005, 100, 528–538. [Google Scholar] [CrossRef]
- Carr, B.J. Pregalactic black hole accretion and the thermal history of the universe. Mon. Not. R. Astron. Soc. 1981, 194, 639–668. [Google Scholar] [CrossRef]
- Frank, J.; King, A.; Raine, D. Accretion Power in Astrophysics; Cambridge University Press: Cambridge, UK, 2002. [Google Scholar]
- Shapiro, S.L. Accretion onto black holes: The emergent radiation spectrum. III. Rotating (Kerr) black holes. Astrophys. J. 1974, 189, 343–351. [Google Scholar] [CrossRef]
- Mészáros, P. Radiation from spherical accretion onto black holes. Astron. Astrophys. 1975, 44, 59–68. [Google Scholar]
- Ipser, J.R.; Price, R.H. Accretion onto pregalactic black holes. Astrophys. J. 1977, 216, 578–590. [Google Scholar] [CrossRef]
- Rees, M.J. Quasar theories. Ann. N.Y. Acad. Sci. USA 1977, 302, 613–636. [Google Scholar] [CrossRef]
- Colpi, M.; Maraschi, L.; Treves, A. Two-temperature model of spherical accretion onto a black hole. Astrophys. J. 1984, 280, 319–327. [Google Scholar] [CrossRef]
- Zanotti, O.; Roedig, C.; Rezzolla, L.; Del Zanna, L. General relativistic radiation hydrodynamics of accretion flows-I. Bondi-Hoyle accretion. Mon. Not. R. Astron. Soc. 2011, 417, 2899–2915. [Google Scholar] [CrossRef]
- Roedig, C.; Sesana, A. Migration of massive black hole binaries in self-gravitating discs: Retrograde versus prograde. Mon. Not. R. Astron. Soc. 2014, 439, 3476–3489. [Google Scholar] [CrossRef]
- Debnath, U. Accretion and evaporation of modified Hayward black hole. Eur. Phys. J. C 2015, 75, 129. [Google Scholar] [CrossRef]
- Thorne, K.S. Disk-accretion onto a black hole. II. Evolution of the hole. Astrophys. J. 1974, 191, 507–519. [Google Scholar] [CrossRef]
- Tassis, K.; Mouschovias, T.C. Ambipolar-diffusion timescale, star formation timescale, and the ages of molecular clouds: Is there a discrepancy? Astrophys. J. 2004, 616, 283. [Google Scholar] [CrossRef][Green Version]
- Zhang, L.; Chen, X.; Kamionkowski, M.; Si, Z.-G.; Zheng, Z. Constraints on radiative dark-matter decay from the cosmic microwave background. Phys. Rev. D 2007, 76, 061301. [Google Scholar] [CrossRef]
- Bicknell, G.V.; Henriksen, R.N. Self-similar growth of primordial black holes. I-Stiff equation of state. Astrophys. J. 1978, 219, 1043–1057. [Google Scholar] [CrossRef]
- Bicknell, G.V.; Henriksen, R.N. Self-similar growth of primordial black holes. II–General sound speed. Astrophys. J. 1978, 225, 237–251. [Google Scholar] [CrossRef]
- Nadëzhin, D.K.; Novikov, I.D.; Polnarev, A.G. The hydrodynamics of primordial black hole formation. Astron. Zh. 1978, 55, 216–230. [Google Scholar]
- Tashiro, H.; Sugiyama, N. Constraints on primordial black holes by distortions of the cosmic microwave background. Phys. Rev. D 2008, 78, 023004. [Google Scholar] [CrossRef]
- Chen, P.; Adler, R.J. Black hole remnants and dark matter. Nucl. Phys. B Proc. Suppl. 2003, 124, 103–106. [Google Scholar] [CrossRef]
- Chen, P. Inflation induced Planck-size black hole remnants as dark matter. New Astron. Rev. 2005, 49, 233–239. [Google Scholar] [CrossRef]
- Ricotti, M.; Ostriker, J.P.; Mack, K.J. Effect of primordial black holes on the cosmic microwave background and cosmological parameter estimates. Astrophys. J. 2008, 680, 829–845. [Google Scholar] [CrossRef]
- Sakharov, A.S.; Khlopov, M.Y. The nonhomogeneity problem for the primordial axion field. Phys. Atom. Nucl. 1994, 57, 485–487. [Google Scholar]
- Sakharov, A.S.; Khlopov, M.Y.; Sokoloff, D.D. primordial axion field in the Universe. Phys. Atom. Nucl. 1996, 59, 1005–1010. [Google Scholar]
- Sakharov, A.S.; Khlopov, M.Y.; Sokoloff, D.D. The nonlinear modulation of the density distribution in standard axionic CDM and its cosmological impact. Nucl. Phys. B Proc. Suppl. 1999, 72, 105–109. [Google Scholar]
- Belotsky, K.M.; Dokuchaev, V.I.; Eroshenko, Y.N.; Esipova, E.A.; Khlopov, M.Y.; Khromykh, L.A.; Kirillov, A.A.; Nikulin, V.V.; Rubin, S.G.; Svadkovsky, I.V. Clusters of primordial black holes. Eur. Phys. J. C 2019, 79, 246. [Google Scholar] [CrossRef]
- Martin-Moruno, P.; Madrid, J.A.J.; Gonzalez-Diaz, P.F. Will black holes eventually engulf the Universe? Phys. Lett. B 2006, 640, 117–120. [Google Scholar] [CrossRef]

© 2020 by the authors. Licensee MDPI, Basel, Switzerland. This article is an open access article distributed under the terms and conditions of the Creative Commons Attribution (CC BY) license (http://creativecommons.org/licenses/by/4.0/).
Share and Cite
Khlopov, M.; Paik, B.; Ray, S. Revisiting Primordial Black Hole Evolution. Axioms 2020, 9, 71. https://doi.org/10.3390/axioms9020071
Khlopov M, Paik B, Ray S. Revisiting Primordial Black Hole Evolution. Axioms. 2020; 9(2):71. https://doi.org/10.3390/axioms9020071
Chicago/Turabian StyleKhlopov, Maxim, Biplab Paik, and Saibal Ray. 2020. "Revisiting Primordial Black Hole Evolution" Axioms 9, no. 2: 71. https://doi.org/10.3390/axioms9020071
APA StyleKhlopov, M., Paik, B., & Ray, S. (2020). Revisiting Primordial Black Hole Evolution. Axioms, 9(2), 71. https://doi.org/10.3390/axioms9020071

