You are currently viewing a new version of our website. To view the old version click .
Axioms
  • Article
  • Open Access

21 March 2025

The Derivation of a Multiquadric Variant Solver for the Three-Dimensional Heston-Hull-White PDE

,
,
and
1
Foundation Department, Changchun Guanghua University, Changchun 130033, China
2
Sydney Smart Technology College, Northeastern University at Qinhuangdao, Qinhuangdao 066004, China
3
Eighth Geological Brigade of Hebei Bureau of Geology and Mineral Resources Exploration (Hebei Center of Marine Geological Resources Survey), Qinhuangdao 066000, China
4
School of Mathematics and Statistics, Northeastern University at Qinhuangdao, Qinhuangdao 066004, China
This article belongs to the Special Issue Applied Mathematics and Numerical Analysis: Theory and Applications

Abstract

The Heston-Hull-White (HHW) model is a generalization of the classical Heston approach that incorporates stochastic interest rates, making it a more accurate representation of financial markets. In this work, we investigate a computational procedure via a three-dimensional partial differential equation (PDE) to solve option pricing problems under the HHW framework. We propose a local radial basis function–finite difference (RBF–FD) framework under the integration of a new variant of the multiquadric function for efficiently resolving the model. Our study highlights the error analysis of the proposed weights for the first and second derivatives of a suitable function and demonstrates the effectiveness of the RBF–FD approach for this high-dimensional financial model.

1. Introductory Notes

Option pricing models play a crucial role in financial mathematics, enabling traders and risk managers to determine fair prices for derivative instruments. The seminal Black–Scholes model [1] assumes constant volatility and interest rates (IRs), which simplifies analytical pricing but fails to capture the stochastic nature of financial markets [2]. In contrast, the Heston model [3] incorporates stochastic volatility, providing a more realistic description of implied volatility surfaces. However, IRs in real markets are also stochastic, necessitating an extension to the Heston framework. The Hull-White (HW) model [4] introduces stochastic IRs, leading to the combined Heston-Hull-White (HHW) approach [5], which better captures market dynamics.
The HHW partial differential equation (PDE) is utilized in equity markets to price derivatives where both stochastic volatility and stochastic IRs significantly influence valuation. This model integrates the Heston stochastic volatility framework with the HW stochastic rate of interest model, making it suitable for scenarios where ignoring either factor would lead to material mispricing [6]. Its applications are particularly prominent in long-dated equity derivatives, hybrid structured products, and risk management strategies requiring accurate sensitivity analysis.
One key application is the pricing of long-dated equity options, such as LEAPS (long-term equity anticipation securities), which have maturities exceeding two to three years. Over such extended horizons, the consideration of constant IRs becomes inadequate because fluctuations in rates substantially affect discount factors and forward prices. The HHW model explicitly incorporates the dynamics of stochastic IRs [7], allowing it to capture the combined effects of equity price movements, volatility clustering, and rate changes. This is critical for instruments like forward-starting options or cliquets, where the interaction between rates and volatility impacts convexity adjustments.
The HHW PDE is also employed in pricing hybrid and structured products, such as convertible bonds, equity-linked notes, and autocallable certificates. These instruments often embed dependencies on both equity performance and IR levels [8]. For example, convertible bonds exhibit sensitivity to equity volatility, credit spreads, and IRs, as their conversion feature ties the bond’s value to the underlying stock, while their fixed-income component depends on rate dynamics. Similarly, autocallables with rate-dependent coupons or barriers require modeling the correlation between equity volatility (via Heston) and IR paths (via HW). The HHW framework enables joint simulation of these risk factors, improving the accuracy of exotic pricing.
Another practical use case involves dividend-paying stocks where dividends are linked to floating rates, such as benchmarks tied to SOFR or LIBOR. In such cases, stochastic IRs directly affect projected dividend yields, necessitating a model that couples equity, volatility, and rate processes [9]. The HHW PDE accounts for this by including a stochastic drift term for the equity price, which depends on the instantaneous short rate. This is particularly relevant for pricing total return swaps or dividend futures, where the term structure of dividends must be dynamically adjusted for rate changes.
A key contribution of this work lies in constructing the radial basis function–finite difference (RBF–FD) approximations [10] on adaptive non-uniform grids, optimizing computational performance in regions where solution behavior exhibits rapid variations. We discuss the derivation of the HHW PDE and its complexities due to mixed derivative terms and high dimensionality. The numerical experiments validate the accuracy and stability of the furnished RBF–FD framework, showcasing its superiority in capturing the intricate financial dynamics modeled by the HHW framework. Additionally, this study suggests that using RBF–FD with the new proposed variant of the multiquadric (MQ) function integrals [11] provides an efficient alternative to traditional numerical techniques. The problem addressed in this study shares similarities with multiscale problems, for which several authors have developed semi-implicit strategies [12,13,14,15,16,17].
The remainder of the study is presented as follows. Section 2 offers the mathematical formulation of the HHW model. Section 3 presents a brief literature review in solving the problem. We will specifically focus on a discretized equation utilizing the RBF–FD framework and its implementation in Section 4. Section 5 furnishes the novel weighting coefficients under a new variant of the MQ RBF and the local RBF–FD framework. The weights will later be utilized for interpolation of differential equations solving efficiently. The findings are accompanied by some theorems regarding the convergence order of the weights in exact arithmetic. Section 6 discusses how the weights can be used to numerically resolve the HHW PDE. Section 7 validates the proposed weights and efficiency with various test scenarios. Section 8 provides concluding summaries.

2. Mathematical Formulation of the HHW Model

The HHW model improves the Heston approach by incorporating stochastic IRs, resulting in the following set of stochastic differential equations (SDEs) [5]:
d S ( t ) S ( t ) = r ( t ) d t + v ( t ) d W t S , S ( 0 ) > 0 ,
d v ( t ) = ( v ( t ) + v ¯ ) κ d t + γ v ( t ) d W t v , v ( 0 ) > 0 ,
d r ( t ) = ( r ( t ) + θ ) λ d t + η d W t r , r ( 0 ) > 0 ,
where S ( t ) represents the asset price, v ( t ) is the variance, θ and v ¯ are suitable constants, and r ( t ) is the short-term IR. The correlated Wiener processes satisfy the following:
d W t S d W t v = ρ S , v d t ,
d W t S d W t r = ρ S , r d t ,
d W t v d W t r = 0 ,
where ρ S , v and ρ S , r are the correlation parameters. The parameters κ and λ govern the mean reversion of variance and IR, in a respective manner, while γ and η control their volatilities. The Feller condition 2 κ v ¯ > γ 2 ensures that v ( t ) remains positive.

Derivation of the Option Pricing PDE

Applying Itô’s lemma and risk-neutral valuation leads to the three-dimensional HHW pricing PDE [18]:
V ( x , α , β , τ ) τ = 1 2 x 2 α 2 V ( x , α , β , τ ) x 2 + 1 2 σ 1 2 α 2 V ( x , α , β , τ ) α 2 + 1 2 σ 2 2 2 V ( x , α , β , τ ) β 2 + ρ 12 σ 1 x α 2 V ( x , α , β , τ ) x α + ρ 13 σ 2 x α 2 V ( x , α , β , τ ) x β + ρ 23 σ 1 σ 2 α 2 V ( x , α , β , τ ) α β + β x V ( x , α , β , τ ) x + υ ( η α ) V ( x , α , β , τ ) α + a ( θ ( T τ ) β ) V ( x , α , β , τ ) β β V ( x , α , β , τ ) ,
where x denotes the asset price, while α and β correspond to the instantaneous variance and the IR, in a respective manner. The parameter τ signifies the temporal progression in the context of the PDE formulation. Here, σ i , λ , a, η , and θ are suitable scalars and functions, respectively. This PDE is challenging due to its high dimensionality and mixed derivative terms. Standard numerical techniques like FDs, and spectral methods struggle with stability and efficiency [19,20], motivating the use of RBF–FD methods.
Additionally, ρ 12 , ρ 13 , and ρ 23 are correlation coefficients constrained within the interval [ 1 , 1 ] . The nonsmooth initial condition, representing the payoff structure for the call option scenario, is furnished as follows:
V ( x , α , β , 0 ) = ( x ϑ , 0 ) + ,
where ϑ designates the price at strike. The equation is valid for all values of α and β . Additionally, we define the notation ( x ϑ , 0 ) + = max { x ϑ , 0 } . A significant advantage of (7) is its capability to handle negative IRs, in contrast to the HCIR model, which, as highlighted by [18], necessitates strictly positive IRs.

3. Brief Literature Review

The Heston model has been extensively studied for option pricing, leading to various numerical techniques such as FD methods [21]. The addition of stochastic IRs through the HW process introduces further complexity, necessitating high-dimensional numerical solutions.
Several studies have focused on efficient computational schemes in tackling the HHW PDE. The ADI method [19] is widely used due to its stability and efficiency in handling multi-dimensional PDEs. Fourier-cosine methods [22] have been employed for pricing under affine approximations of the HHW model, but these methods are limited by their requirement for an affine structure.
Mesh-less methods, particularly RBF–FD, have gained attention for solving PDEs in computational finance [23]. These methods eliminate the need for structured grids, making them well-suited for high-dimensional problems such as the HHW PDE. Recent works [24] have demonstrated the effectiveness of RBF–FD for option pricing, showing superior accuracy compared to traditional FD schemes.
Ref. [25] presents an innovative numerical approach for solving the three-dimensional HHW PDE, a crucial model in mathematical finance that accounts for stochastic volatility and IR dynamics. The authors develop a local RBF–FD scheme, where the coefficients are obtained from integrations of the MQ RBF. The proposed method employs three-point non-uniform stencils, allowing for higher accuracy and computational efficiency.
In this paper, we improve an RBF–FD approach tailored for the three-dimensional HHW PDE (7). We provide a detailed numerical formulation and error estimates to approximate the initial and secondary derivative of a given adequately smooth function. The derived weighting coefficients are in exact arithmetic and do not suffer from numerical insatiability caused by the process of obtaining the weight of the RBF–FD method through numerical input values. Theoretical convergence rates of the newly derived RBF–FD coefficients are provided, ensuring the robustness of the approximation. The study demonstrates the effectiveness of the approach through numerical experiments and comparisons against conventional solvers.

4. Methodology of the RBF–FD Approach

The RBF–FD scheme is a mesh-free numerical technique that develops classic FD schemes to scattered node distributions [26]. Unlike standard FD schemes, which rely on structured grids, RBF–FD employs a set of scattered points to approximate derivatives, making it highly adaptable for high-dimensional problems, such as the three-dimensional HHW PDE (7). This flexibility is particularly beneficial in financial modeling, where the solution behavior can exhibit localized steep gradients.
The RBF–FD method constructs differentiation matrices (DMs) using RBFs to approximate spatial derivatives. Given a collection of points { x i } in the numerical domain, the function z ( x ) is approximated as a linear combination of RBFs [27]:
z ( x ) i = 1 n λ i ϕ ( x x i ) ,
where ϕ ( μ ) is an RBF, and λ i are the unknown coefficients. This set comprises the central point x c along with n 1 of its closest neighboring nodes, thereby constructing a stencil where n remains significantly smaller than N.
To compute derivatives, the DM is obtained by solving a local system of equations within a stencil of n nearest neighboring nodes. This local approach ensures sparsity in the resulting system matrix, enhancing computational efficiency. For each i { 1 , , n } , the stencil-base differentiation is formulated as follows:
z x | x i j = 1 n w j z ( x j ) ,
where w j are differentiation weights derived from the RBF interpolation process. For second-order derivatives, a similar formulation applies using second-order differentiation matrices. A crucial advantage of RBF–FD over conventional FD methods is its ability to handle non-uniformly distributed nodes. The scheme’s accuracy and stability rely on the selection of RBF, stencil size, and the selection of shape parameters [28].

5. Constriction of Novel Weights

We state that a new variant of the infinitely differentiable MQ RBF [27] is provided by the following:
g ( μ ) = ( q 2 + μ 2 ) 5 / 2 ,
where q is the shape parameter controlling the function’s smoothness, and μ stands for the radius. Here, the exponent 5 / 2 is introduced to provide a more versatile and adaptable variant of the MQ function for derivative approximation. Notably, this choice, which has not yet been explored in the literature, leads to new sets of weighting coefficients for approximating both the first and second derivatives of a given function.
To explore this process, we analyze the functions obtained through the integration of (11). The resulting expressions for the first and second integrals of (11) in one dimension, formulated exclusively in terms of the Euclidean distance, are provided by the following:
g 1 ( μ ) = g ( μ ) d μ = q 5 μ μ 2 q 2 + 1 7 / 2 1 6 15 8 μ 2 q 2 + 1 3
+ 5 4 μ 2 q 2 + 1 2 + 1 μ 2 q 2 + 1 + 5 q sinh 1 μ q 16 μ μ 2 q 2 + 1 7 / 2 ,
g 2 ( μ ) = g ( μ ) d μ d μ = 1 7 q 5 μ 2 μ 2 q 2 + 1 5 / 2 q 2 μ 2 q 2 + 1 5 / 2 1 + 7 μ 2 μ 2 q 2 + 1 7 / 2 1 6 15 8 μ 2 q 2 + 1 3 + 5 4 μ 2 q 2 + 1 2 + 1 μ 2 q 2 + 1 + 5 q sinh 1 μ q 16 μ μ 2 q 2 + 1 7 / 2 .
Subsequently, we proceed to derive the coefficients in the RBF–FD framework in 1D, specifically in relation to the second integral of the MQ function (11), with a particular focus on (13). Consider a collection of distinct points, denoted as X = { x 1 , x 2 , , x N } , forming a discretized partition within the computational domain. Following this, we introduce the three-point non-uniform consideration:
{ x i 1 , x i , x i + 1 } = { x i h , x i , x i + l h } , h > 0 ,
where the parameter l governs the spacing of the three nearest neighboring nodes, with their positions determined by the relation x i + 1 = x i + l h . Here, l has an important action to control the spacing from the center point to the point ahead in 1D. Clearly, when imposed on a set of discretization non-uniform points, this value changes for each three adjacent points.

5.1. First Differentiation Weights

Formula (9) is utilized for the specific case of n = 3 , as seen in [29]:
z ( x i ) z ^ ( x i ) = a i 1 z ( x i 1 ) + a i z ( x i ) + a i + 1 z ( x i + 1 ) , 2 i N 1 ,
where z ^ serves as an approximation for the first derivative. To express z at the knot points, relation (13) is applied, leading to
1 7 a i + 1 h 2 ( l + 1 ) 2 + q 2 7 / 2 + 7 h 2 ( l + 1 ) 2 q 5 a i + 1 ( h l + h ) 2 q 2 + 1 7 / 2 ς 1 + h 2 + q 2 7 / 2 a i + 7 h q 5 h 2 q 2 + 1 7 / 2 h a i 1 ς 4 + q 7 a i + q 7 a i + 1 = 0 ,
1 7 a i + 1 h 2 l 2 + q 2 7 / 2 + 7 h 2 l 2 q 5 h 2 l 2 q 2 + 1 7 / 2 ς 2 + q 7 + a i 1 h 2 + q 2 7 / 2 + 7 h 2 q 5 h 2 q 2 + 1 7 / 2 ς 5 + q 7 = 0 ,
1 7 a i h 2 l 2 + q 2 7 / 2 + 7 h l q 5 h 2 l 2 q 2 + 1 7 / 2 h l a i + 1 ς 3 + a i 1 h 2 ( l + 1 ) 2 + q 2 7 / 2 + 7 h 2 ( l + 1 ) 2 q 5 ( h l + h ) 2 q 2 + 1 7 / 2 ς 6 + q 7 + q 7 a i = 0 ,
where
ς 1 = 1 6 5 4 ( h l + h ) 2 q 2 + 1 2 + 15 8 ( h l + h ) 2 q 2 + 1 3 + 1 ( h l + h ) 2 q 2 + 1 + 5 q sinh 1 h l + h q 16 ( h l + h ) ( h l + h ) 2 q 2 + 1 7 / 2 , ς 2 = 1 6 5 4 h 2 l 2 q 2 + 1 2 + 15 8 h 2 l 2 q 2 + 1 3 + 1 h 2 l 2 q 2 + 1 + 5 q sinh 1 h l q 16 h l h 2 l 2 q 2 + 1 7 / 2 , ς 3 = 1 6 5 4 h 2 l 2 q 2 + 1 2 + 15 8 h 2 l 2 q 2 + 1 3 + 1 h 2 l 2 q 2 + 1 + 5 q sinh 1 h l q 16 h l h 2 l 2 q 2 + 1 7 / 2 , ς 4 = 1 6 5 4 h 2 q 2 + 1 2 + 15 8 h 2 q 2 + 1 3 + 1 h 2 q 2 + 1 + 5 q sinh 1 h q 16 h h 2 q 2 + 1 7 / 2 , ς 5 = 1 6 5 4 h 2 q 2 + 1 2 + 15 8 h 2 q 2 + 1 3 + 1 h 2 q 2 + 1 + 5 q sinh 1 h q 16 h h 2 q 2 + 1 7 / 2 , ς 6 = 1 6 5 4 ( h l + h ) 2 q 2 + 1 2 + 15 8 ( h l + h ) 2 q 2 + 1 3 + 1 ( h l + h ) 2 q 2 + 1 + 5 q sinh 1 h l + h q 16 ( h l + h ) ( h l + h ) 2 q 2 + 1 7 / 2 .
Solving the system of Equations (16)–(18) by applying Taylor expansions around zero, with the objective of achieving maximum simplification, yields the following:
a i 1 = l 5 h 12 q 2 1 h l + h ,
a i = l 1 h l 5 h ( l 1 ) 12 q 2 ,
a i + 1 = 1 h l 2 + h l 5 h 12 q 2 .
Theorem 1. 
Let us consider g 2 ( μ ) , as specified in (13). The expression (15), which provides an estimate for the first derivative of an adequately smooth function z ( x ) evaluated at the nodes defined in (14), shows a second-order convergence.
Proof. 
To validate the theorem, it is necessary to employ the analytically derived weights from Equations (19)–(21) and substitute them into Formula (15). Exploring the Taylor expansions centered at zero and retaining terms until the second order, we obtain the following expression for the error equation:
ε 1 ( x i ) = 1 6 l z ( 3 ) ( t ) 5 z ( t ) q 2 h 2 + O h 3 ,
where ε 1 ( x i ) = z ^ ( x i ) z ( x i ) . The equation for error (22) establishes that the proposed approximate exhibits a quadratic order of convergence, which remains valid for both uniform and nonuniform grid configurations. This completes the proof. □
In the particular case where l = 1 , a uniformly spaced stencil is generated. As a consequence, the coefficients undergo significant simplifications, as demonstrated below:
a i 1 = 5 h 12 q 2 1 2 h , a i = 0 , a i + 1 = a i 1 .

5.2. Second Differentiation Weights

To tackle the problem of the second-order derivative, we employ (14) and develop the formula below:
z ( x i ) z ^ ( x i ) = b i 1 z ( x i 1 ) + b i z ( x i ) + b i + 1 z ( x i + 1 ) , 2 i N 1 ,
where z ^ denotes the RBF–FD approximate for the second derivative. In a similar manner, the next step involves formulating the associated linear set at the designated stencil nodes:
h 2 + q 2 5 / 2 = 1 7 q 5 b i + 1 7 h 2 ( l + 1 ) 2 ( h l + h ) 2 q 2 + 1 7 / 2 ς 7 h 2 ( l + 1 ) 2 + q 2 7 / 2 q 5 + q 2 + b i 7 h 2 h 2 q 2 + 1 7 / 2 ς 10 h 2 + q 2 7 / 2 q 5 + q 2 ,
1 7 b i + 1 h 2 l 2 + q 2 7 / 2 + 7 h 2 l 2 q 5 h 2 l 2 q 2 + 1 7 / 2 ς 8 + q 7 + b i 1 h 2 + q 2 7 / 2 + 7 h 2 q 5 h 2 q 2 + 1 7 / 2 ς 11 + q 7 7 q 5 = 0 ,
h 2 l 2 + q 2 5 / 2 = 1 7 q 5 b i ς 9 + b i 1 7 h 2 ( l + 1 ) 2 ( h l + h ) 2 q 2 + 1 7 / 2 1 6 ς 12 + 5 q sinh 1 h l + h q 16 ( h l + h ) ( h l + h ) 2 q 2 + 1 7 / 2 h 2 ( l + 1 ) 2 + q 2 7 / 2 q 5 + q 2 ,
where
ς 7 = 1 6 5 4 ( h l + h ) 2 q 2 + 1 2 + 15 8 ( h l + h ) 2 q 2 + 1 3 + 1 ( h l + h ) 2 q 2 + 1 + 5 q sinh 1 h l + h q 16 ( h l + h ) ( h l + h ) 2 q 2 + 1 7 / 2 , ς 8 = 1 6 5 4 h 2 l 2 q 2 + 1 2 + 15 8 h 2 l 2 q 2 + 1 3 + 1 h 2 l 2 q 2 + 1 + 5 q sinh 1 h l q 16 h l h 2 l 2 q 2 + 1 7 / 2 , ς 9 = 7 h 2 l 2 h 2 l 2 q 2 + 1 7 / 2 1 6 5 4 h 2 l 2 q 2 + 1 2 + 15 8 h 2 l 2 q 2 + 1 3 + 1 h 2 l 2 q 2 + 1 + 5 q sinh 1 h l q 16 h l h 2 l 2 q 2 + 1 7 / 2 h 2 l 2 + q 2 7 / 2 q 5 + q 2 , ς 10 = 1 6 5 4 h 2 q 2 + 1 2 + 15 8 h 2 q 2 + 1 3 + 1 h 2 q 2 + 1 + 5 q sinh 1 h q 16 h h 2 q 2 + 1 7 / 2 , ς 11 = 1 6 5 4 h 2 q 2 + 1 2 + 15 8 h 2 q 2 + 1 3 + 1 h 2 q 2 + 1 + 5 q sinh 1 h q 16 h h 2 q 2 + 1 7 / 2 , ς 12 = 5 4 ( h l + h ) 2 q 2 + 1 2 + 15 8 ( h l + h ) 2 q 2 + 1 3 + 1 ( h l + h ) 2 q 2 + 1 .
The resolution for (25)–(27) (again by imposing some Taylor series on zero up to the first order terms to make the final formulas user-friendly and avoid bulky expressions) yields the following:
b i 1 = 12 h 2 + 5 l 2 l 1 q 2 6 ( l + 1 ) ,
b i = 12 h 2 + 5 l 2 3 l + 1 q 2 6 l ,
b i + 1 = 12 q 2 5 h 2 l 2 + l 1 6 h 2 l ( l + 1 ) q 2 .
Theorem 2. 
Let the function g 2 ( μ ) be defined as in (13). The second differentiation of an adequately smooth function z ( x ) , expressed in (24) and computed using Equations (28) to (30) at the nodes (14), exhibits a first rate of convergence.
Proof. 
The proof pursues procedure steps employed in establishing Theorem 1. By expanding the coefficients in a Taylor expansion on zero up to the first order with respect to h and subsequently substituting these approximations into (24), we attain the following error expression:
ε 2 ( x i ) = ( l 1 ) q 2 z ( 3 ) ( t ) 5 z ( t ) 3 q 2 h + O h 2 .
We considered the definition ε 2 ( x i ) = z ^ ( x i ) z ( x i ) in (31). The proof is concluded. □
For the specific case where l = 1 , the stencil becomes uniformly distributed. Consequently, the analytical weights undergo simplification, which in turn results in a corresponding reduction in complexity for the error equation, provided by
b i 1 = 1 h 2 5 12 q 2 ,
b i = 5 6 q 2 2 h 2 ,
b i + 1 = b i 1 ,
and
ε 2 ( x i ) = 1 12 z ( 4 ) ( t ) 5 z ( t ) q 2 h 2 + O h 3 .
Also, note that the procedure for determining the weights used in approximating higher-order derivatives can be investigated in a similar manner. The primary challenge, however, is that three-point stencils are no longer sufficient for such approximations, necessitating the use of denser stencils. For instance, for approximating the third and fourth derivatives of a smooth function, a minimum of five points is required to compute the corresponding weighting coefficients.
Furthermore, the weights derived in this study are obtained using exact arithmetic analysis, ensuring numerical stability. This prevents potential instabilities that may arise in interpolation or differential equation solving when the weights are computed numerically, particularly when solving the associated linear systems.
In Equations (15) and (24), the formulation is stated for 2 i N 1 . It must be stated that at the boundary points, i = 1 and i = N , similar RBF–FD formulations can be written but in a sided format, i.e., RBF–FD sided approximation can be written, and the weights must be extracted to fill up the required matrices.

6. The Numerical Method for HHW

The HHW 3D PDE (7) is formulated within the domain
( x , α , β , τ ) [ 0 , + ) × [ 0 , + ) × ( , + ) × ( 0 , T ] .
To numerically solve the HHW PDE (7), the domain must first be truncated in the following manner:
( x , α , β , τ ) [ 0 , x maximum ] × [ 0 , α maximum ] × [ β maximum , β maximum ] × ( 0 , T ] ,
where x maximum , α maximum , and β maximum are positive scalar values defining the boundaries.
Next, consider { x i } i = 1 m 1 as a discretization of the interval x [ x minimum , x maximum ] . For i = 1 , 2 , , m 1 , a highly effective graded mesh, widely recognized for its computational efficiency, can be constructed using the approach proposed by [19]:
x i = Υ ( ϖ i ) ,
where m 1 3 and
ϖ maximum = ϖ m 1 > > ϖ 2 > ϖ 1 = ϖ minimum
are m 1 uniform points and are provided by
ϖ minimum = sinh 1 x minimum x left d 1 , ϖ int = x right x left d 1 , ϖ maximum = ϖ int + sinh 1 x maximum x right d 1 .
We also consider x minimum = 0 and x maximum = 14 ϑ in this study. The density of nodes in the vicinity of x = ϑ is governed by the parameter d 1 , which is constrained to be strictly positive. Additionally, the subsequent relationship is established:
Υ ( ϖ ) = x left + d 1 sinh ( ϖ ) , ϖ minimum ϖ < 0 , x left + d 1 ϖ , 0 ϖ ϖ int , x right + d 1 sinh ( ϖ ϖ int ) , ϖ int < ϖ ϖ maximum .
Here, d 1 = ϑ 20 , while x left = maximum { e 0.0025 T , 0.5 } × ϑ , x right = ϑ , and [ x left , x right ] [ 0 , x maximum ] .
Once the non-uniform discretization knots along x have been established, a corresponding set of knots is generated for the independent variable α , denoted as { α j } j = 1 m 2 , using an analogous approach as described in [19]:
α j = sinh ( ς j ) d 2 , j = 1 , 2 , , m 2 ,
where the parameter d 2 > 0 controls the nodal concentration in the vicinity of α = 0 . In the present analysis, the value d 2 = α maximum 500 is employed, with α maximum set to 10. Furthermore, for each index j satisfying 1 j m 2 , the points ς j are uniformly distributed and determined by
Δ ς = sinh 1 α maximum d 2 ( 1 / ( m 2 1 ) ) , ς j = ( j 1 ) Δ ς .
Finally, the non-uniform discretization points corresponding to the β dimension are constructed as follows:
β k = d 3 sinh ( ζ k ) , 1 k m 3 ,
where β maximum = 1 , Δ ζ = 1 m 3 1 sinh 1 β maximum d 3 , ζ k = ( k 1 ) ( Δ ζ ) , and d 3 = β maximum 500 is a scalar, see also [30].
The side conditions for the variables x, α , and β are specified as follows [23]:
V x ( x , α , β , τ ) = 1 , x = x maximum ,
V ( x , α , β , τ ) = 0 , x = 0 ,
V ( x , α , β , τ ) = x , α = α maximum ,
V β ( x , α , β , τ ) = 0 , β = β maximum ,
V β ( x , α , β , τ ) = 0 , β = β maximum .
It should be noted that when α = 0 , the PDE (7) exhibits degeneracy, and as a result, no additional boundary conditions are required to be enforced (for further details, refer to [31]).
To construct our numerical scheme in a systematic manner, we begin by applying a semi-discretization approach to the time-dependent PDE (7) [32,33]. This involves discretizing all spatial variables, thereby transforming the problem into a system of linear ordinary differential equations (ODEs). Following this, DMs must be populated, incorporating the coefficients derived from the RBF–FD methodology applied to unequally spaced stencils, as detailed in Section 5, in the manner below:
D x = a i , j via ( 16 ) i j = 1 , a i , j via ( 17 ) i j = 0 , a i , j via ( 18 ) j i = 1 , 0 otherwise ,
and
D x x = b i , j via ( 28 ) i j = 1 , b i , j via ( 29 ) i j = 0 , b i , j via ( 30 ) j i = 1 , 0 otherwise .
To elaborate further, the weights were computed using a three-node stencil. During each iteration, three interior nodes from the stencil are selected, and their corresponding weights are determined. It is noteworthy that these coefficients remain unchanged unless the three neighboring stencil nodes or their respective spacings (h or l) are modified. In this way, we obtain our system of ODEs having the size m 1 × m 2 × m 3 .
Upon incorporating the boundary conditions (43), our final set of ODEs is expressed in the form below:
v ( τ ) = G ¯ v ( τ ) ,
where G ¯ encapsulates the boundary criteria. The resulting system (50) can be efficiently solved using a variety of time-marching methods [34]. Here, we employ the second-order mid-point method for time marching. To avoid repeating its formulas, we do not include its formulation here.

7. Performance Evaluation of Numerical Solvers

This section is dedicated to assessing the computational efficiency and accuracy of various numerical solvers in solving (7) within a unified numerical framework. The analysis is conducted under the specific parameter values: α 0 = 0.04 , ϑ = 100 $ , T = 1 year, and β 0 = 10 % . Here, q is consistently selected to be three times that of h for each collection of three neighboring knots in every direction. Furthermore, the function θ ( · ) is provided in the form below:
θ ( T τ ) = ω 1 ω 2 exp ( ω 3 τ ) ϱ , τ 0 ,
where ω 1 , ω 2 , ω 3 , and ϱ are predefined constants. The value of ϱ can be determined through a zero-order Taylor expansion of (51) using the provided constants ω 1 , ω 2 , and ω 3 . While this approach may not initially appear highly effective, in practice, the values of ω 1 , ω 2 , and ω 3 are typically neither excessively large nor extremely small, ensuring that their influence on oscillations in the behavior of the function in (51) remains minimal. Consequently, approximating the function with a linear representation proves advantageous. Moreover, this procedure provides a significant advantage by yielding constant coefficient matrices, thereby enabling the replacement of time-stepping solvers with a one-step Krylov-type method for efficiently solving the resulting large system of ODEs.
We consider this in a similar fashion as in [25]. The conventional FD scheme employs a second-order spatial discretization with uniformly distributed grid points combined with the explicit first-order Euler’s method. This method is designated as FD [18,23]. Haentjens’s solver (HM), originally introduced in [19], is implemented on similar non-uniform stencils. This approach is chosen due to its fundamental role and superior computational efficiency in addressing (7). The newly proposed integrated RBF–FD scheme, developed in Section 5 and Section 6, is referred to as PM.
A critical aspect of this study is the selection of an appropriate stencil configuration and collocation point distribution. Initially, an adequate number of discretization points is generated along each spatial dimension using the non-uniform point generation strategy outlined in Section 6. Specifically, the discretization consists of m 1 , m 2 , and m 3 points in a one-dimensional space. For every set of 1D nodes, three-point stencils are utilized throughout, except at boundary locations. This implies that for all internal nodes, ranging from the second to the penultimate grid point, the corresponding coefficients are computed and incorporated into the relevant rows of the DM.
All numerical experiments are implemented using Wolfram 13.3 [35]. The computational efficacy of the numerical accuracy is evaluated through the relative absolute error, defined as follows:
Er = V ref V num V ref ,
where V ref [23] represents the reference solution, and V num denotes the computed numerical solution.
Example 1 
([23]). We undertake the pricing of options under the following parameter configurations:
a = 0.20 , η = 0.12 , υ = 3.0 , σ 1 = 0.80 , σ 2 = 0.03 , ρ 23 = 0.4 , ρ 13 = 0.2 , ρ 12 = 0.6 , ω 1 = 0.05 , ω 2 = 0 , ω 3 = 0 ,
where the reference value is provided by V ref ( ϑ , α 0 , β 0 , T ) 16.176 .
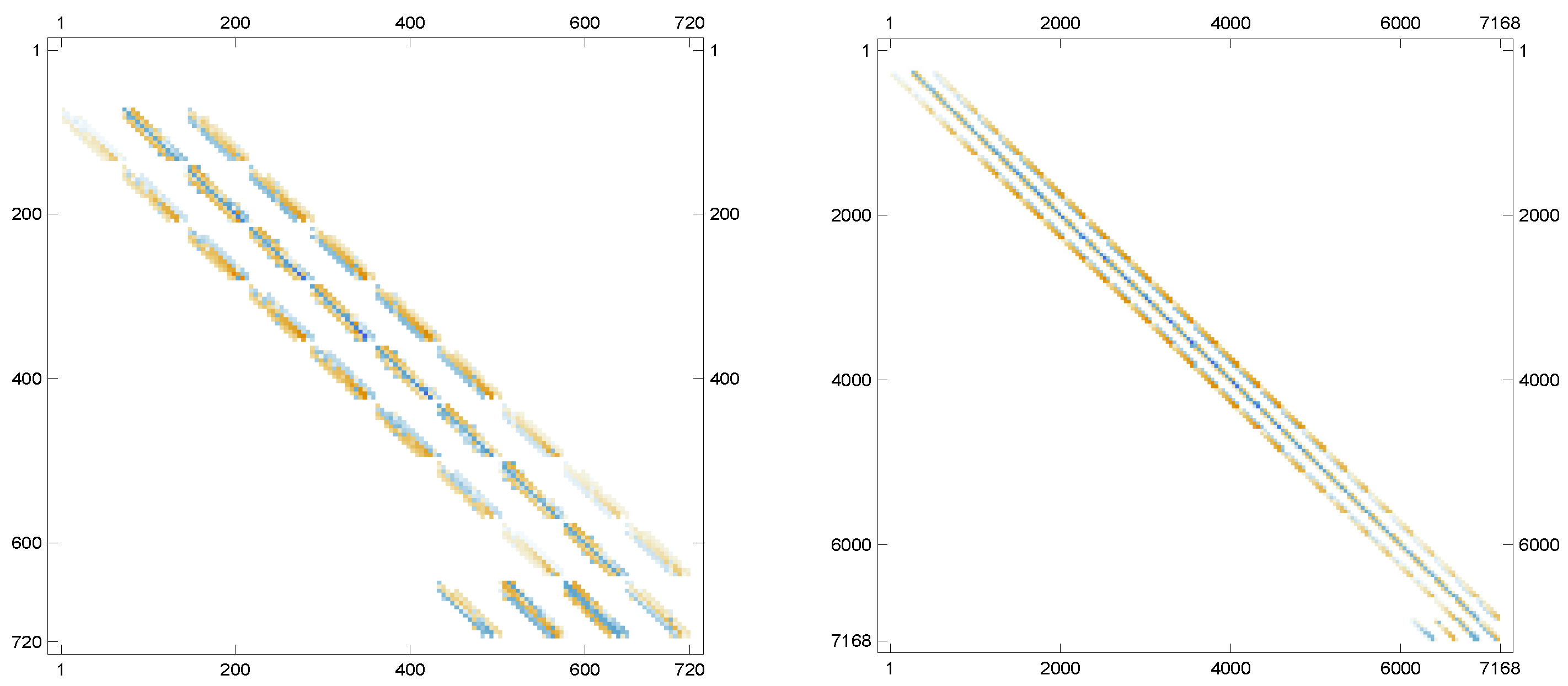
The sparsity pattern for the matrix G ¯ in the constructed systems of ODEs using our novel weights for different input sets is provided in Figure 1. The corresponding numerical solutions using PM are brought forward in Figure 2.
Figure 1. The sparsity pattern in Example 1 when m 1 = 10 , m 2 = 8 , and m 3 = 6 in (left) and m 1 = 28 , m 2 = 16 , and m 3 = 16 in (right). They show how a sparse solver can help in speeding up the solving process.
Figure 2. The numerical solution using PM in Example 1 when m 1 = 10 , m 2 = 8 , and m 3 = 6 in (left) and m 1 = 28 , m 2 = 16 , and m 3 = 16 in (right). They show the numerical solution is not only stable but also positive in two different cases of numerical discretization points.
Example 2 
([23]). For comparative analysis, a distinct collection of parameters is employed to evaluate the performance of different numerical methods:
a = 0.16 , υ = 0.5 , σ 1 = 0.90 , σ 2 = 0.03 , ρ 23 = 0.1 , ρ 13 = 0.2 , ρ 12 = 0.5 , η = 0.8 , ω 1 = 0.055 , ω 2 = 0 , ω 3 = 0 ,
with the corresponding reference value being V ref ( ϑ , α 0 , β 0 , T ) 20.994 .
Given that the truncated area along the x-axis is significantly bigger compared to the other spatial dimensions, it is advantageous to utilize a greater number of discretization points, particularly when employing unequally spaced stencils for x. The computational outcomes are summarized in Table 1. These tables reveal that increasing the number of discretization points boosts the accuracy across all methods. However, the graded meshes and the effective architecture of the furnished method of Section 6 enable the attainment of higher precision more rapidly.
Table 1. Numerical comparisons for Example 2.
The numerical results presented in Table 1 provide a comprehensive comparison between the FD, HM, and the proposed PM scheme for solving the given problem. The accuracy of each method is assessed using the numerical value V num and the associated error E r for various parameter settings. It is evident that the FD method exhibits larger errors across all cases, with error values ranging from 4.9 × 10 2 to 1.7 × 10 1 . While the HM method demonstrates an improvement over FD, achieving lower error values between 1.6 × 10 2 and 6.7 × 10 3 , its overall performance remains suboptimal in comparison to PM. The PM scheme significantly outperforms its competitors by achieving the lowest error values, reaching as low as 9.5 × 10 4 . Additionally, PM maintains a consistently higher accuracy with reduced temporal step size, thereby enhancing numerical stability.
The superiority of PM is further emphasized when considering convergence behavior and efficiency. Unlike FD, which requires extremely small temporal step sizes to control error growth, PM achieves remarkable accuracy with relatively larger step sizes, thereby reducing computational costs. Furthermore, as the discretization parameters increase, the error in PM diminishes more rapidly than in FD and HM, showcasing its superior convergence properties. The numerical value V num in PM remains stable and exhibits minimal variation, ensuring better reliability in practical applications. These findings suggest that PM under the new weights of Section 5 is an effective and robust approach among the tested schemes, making it the preferred choice for solving the given problem with high precision and efficiency.

8. Conclusions

The HHW model has led to a 3D PDE for option pricing, where the state variables include asset price, stochastic variance, and stochastic IR. Due to the non-affine structure of the full HHW PDE, traditional analytical methods such as Fourier-based techniques and the characteristic function approach have not been directly applicable. Consequently, numerical techniques have been essential for solving the HHW PDE. In this study, we have explored a mesh-less method via local RBF–FD to address the HHW PDE, leveraging its flexibility and high accuracy. We have introduced a novel variant of the MQ function under integration to enhance the efficiency of solving the PDE. Furthermore, our study has provided a detailed error analysis of the proposed weights, demonstrating the effectiveness of the RBF–FD approach for this high-dimensional financial model. There are several potential directions for future research. One possible extension is to incorporate adaptive node placement strategies to further enhance the accuracy and numerical efficiency of the RBF–FD method, particularly in regions where the solution exhibits rapid variations. Another promising direction is to extend the proposed method to higher-dimensional financial models, such as those involving multiple correlated assets, where mesh-less methods could provide advantages over traditional grid-based techniques.

Author Contributions

Conceptualization, S.W. and T.L.; methodology, S.W.; software, Z.W.; validation, S.W., Z.W. and Y.Q.; formal analysis, Z.W.; investigation, S.W. and Z.W.; resources, T.L.; data curation, Y.Q.; writing—original draft preparation, S.W. and Z.W.; writing—review and editing, S.W. and T.L.; visualization, Z.W.; supervision, T.L.; project administration, S.W. and T.L.; funding acquisition, S.W., Y.Q. and T.L. All authors have read and agreed to the published version of the manuscript.

Funding

This research was funded by the Scientific Research Project of Jilin Provincial Department of Education (JJKH20251638KJ), the Open Fund Project of Marine Ecological Restoration and Smart Ocean Engineering Research Center of Hebei Province (HBMESO2321), the Technical Service Project of Eighth Geological Brigade of Hebei Bureau of Geology and Mineral Resources Exploration (KJ2022-021), the Technical Service Project of Hebei Baodi Construction Engineering Co., Ltd. (KJ2024-012), the Natural Science Foundation of Hebei Province of China (A2020501007), and the Fundamental Research Funds for the Central Universities (N2123015).

Data Availability Statement

The data presented in this study are available on request from the corresponding author. The data are not publicly available because the research data are confidential.

Acknowledgments

We are grateful to two referees for their constructive comments that helped to improve the manuscript.

Conflicts of Interest

The writers state that they have no known financial conflicts of interest.

References

  1. Black, F.; Scholes, M. The pricing of options and corporate liabilities. J. Political Econ. 1973, 81, 637–654. [Google Scholar]
  2. Duffie, D.; Pan, J.; Singleton, K. Transform analysis and asset pricing for affine jump-diffusions. Econometrica 2000, 68, 1343–1376. [Google Scholar]
  3. Heston, S. A closed-form solution for options with stochastic volatility with applications to bond and currency options. Rev. Financ. Stud. 1993, 6, 327–343. [Google Scholar]
  4. Hull, J.; White, A. Pricing interest-rate-derivative securities. Rev. Financ. Stud. 1990, 3, 573–592. [Google Scholar]
  5. Guo, S.; Grzelak, L.; Oosterlee, C. Analysis of an affine version of the Heston-Hull-White option pricing PDE. Appl. Numer. Math. 2013, 72, 143–159. [Google Scholar]
  6. Djeutcha, E.; Aime Fono, L. Pricing for options in a Hull-White-Vasicek volatility and interest rate model. Appl. Math. Sci. 2021, 15, 377–384. [Google Scholar]
  7. Hull, J.; White, A. The general Hull-White model and supercalibration. Finan. Analysts J. 2001, 57, 34–43. [Google Scholar] [CrossRef]
  8. Cao, J.; Lian, G.; Roslan, T.R.N. Pricing variance swaps under stochastic volatility and stochastic interest rate. Appl. Math. Comput. 2016, 277, 72–81. [Google Scholar] [CrossRef]
  9. Grzelak, L.A.; Oosterlee, C.W. On the Heston model with stochastic interest rates. SIAM J. Finan. Math. 2011, 2, 255–286. [Google Scholar]
  10. Cavoretto, R.; De Marchi, S.; De Rossi, A.; Perracchione, E.; Santin, G. Partition of unity interpolation using stable kernel-based techniques. Appl. Numer. Math. 2017, 116, 95–107. [Google Scholar]
  11. Mai-Duy, N.; Tran-Cong, T. Numerical solution of differential equations using multiquadric radial basis function networks. Neural Netw. 2001, 14, 185–199. [Google Scholar] [CrossRef]
  12. Baeza, A.; Bürger, R.; Martí, M.C.; Mulet, P.; Zorxixo, D. On approximate implicit Taylor methods for ordinary differential equations. Comput. Appl. Math. 2020, 39, 304. [Google Scholar] [CrossRef]
  13. Boscarino, S.; Filbet, F.; Russo, G. High order semi-implicit schemes for time dependent partial differential equations. J. Sci. Comput. 2016, 68, 975–1001. [Google Scholar] [CrossRef]
  14. Boscheri, W.; Tavelli, M. High order semi-implicit schemes for viscous compressible flows in 3D. Appl. Math. Comput. 2022, 434, 127457. [Google Scholar] [CrossRef]
  15. Casulli, V.; Cattani, E. Stability, accuracy and efficiency of a semiimplicit method for three-dimensional shallow water flow. Comput. Math. Appl. 1994, 27, 99–112. [Google Scholar] [CrossRef]
  16. Garres-Díaz, J.; Fernández-Nieto, E.D.; Narbona-Reina, G. A semiimplicit approach for sediment transport models with gravitational effects. Appl. Math. Comput. 2022, 421, 126938. [Google Scholar]
  17. Macca, E.; Avgerinos, S.; Castro-Diaz, M.-J.; Russo, G. A semi-implicit finite volume method for the Exner model of sediment transport. J. Comput. Phys. 2024, 499, 112714. [Google Scholar] [CrossRef]
  18. Liu, T.; Ullah, M.Z.; Shateyi, S.; Liu, C.; Yang, Y. An efficient localized RBF-FD method to simulate the Heston-Hull-White PDE in finance. Mathematics 2023, 11, 833. [Google Scholar] [CrossRef]
  19. Haentjens, T.; In’t Hout, K.J. Alternating direction implicit finite difference schemes for the Heston-Hull-White partial differential equation. J. Comput. Finance 2012, 16, 83–110. [Google Scholar] [CrossRef]
  20. Company, R.; Egorova, V.N.; Jòdar, L.; Soleymani, F. A mixed derivative terms removing method in multi-asset option pricing problems. Appl. Math. Lett. 2016, 60, 108–114. [Google Scholar] [CrossRef]
  21. Andersen, L.B.; Brotherton-Ratcliffe, R. The equity option volatility smile: An implicit finite-difference approach. J. Comput. Financ. 2007, 10, 1–42. [Google Scholar]
  22. Fang, F.; Oosterlee, C.W. A novel pricing method for European options based on Fourier-cosine series expansions. SIAM J. Sci. Comput. 2008, 31, 826–848. [Google Scholar] [CrossRef]
  23. Ullah, M.Z. Numerical solution of Heston-Hull-White three-dimensional PDE with a high order FD scheme. Mathematics 2019, 7, 704. [Google Scholar] [CrossRef]
  24. Flyer, N.; Fornberg, B. Radial Basis Functions: Developments and Applications to Numerical PDEs; Cambridge University Press: Cambridge, UK, 2016. [Google Scholar]
  25. Liu, T.; Zhao, Z.; Ling, S.; Chao, H.; Nafchi, H.F.; Shateyi, S. Efficient scheme for the economic Heston-Hull-White problem using novel RBF-FD coefficients derived from multiquadric function integrals. Mathematics 2024, 12, 2234. [Google Scholar] [CrossRef]
  26. Fasshauer, G.E. Meshfree Approximation Methods with MATLAB; World Scientific Publishing Co.: Singapore, 2007. [Google Scholar]
  27. Fornberg, B.; Flyer, N. A Primer on Radial Basis Functions with Applications to the Geosciences; SIAM: Philadelphia, PA, USA, 2015. [Google Scholar]
  28. Ling, L.; Marchetti, F. A stochastic extended Rippa’s algorithm for LpOCV. Appl. Math. Lett. 2022, 129, 107955. [Google Scholar] [CrossRef]
  29. Satyanarayana, C.; Yadav, M.K.; Nath, M. Multiquadric based RBF-HFD approximation formulas and convergence properties. Eng. Anal. Bound. Elem. 2024, 160, 234–257. [Google Scholar] [CrossRef]
  30. Kluge, T. Pricing Derivatives in Stochastic Volatility Models Using the Finite Difference Method. Diploma Thesis, TU Chemnitz, Chemnitz, Germany, 2002. [Google Scholar]
  31. Wong, H.Y.; Zhao, J. An artificial boundary method for the Hull-White model of American interest rate derivatives. Appl. Math. Comput. 2011, 217, 4627–4643. [Google Scholar] [CrossRef]
  32. Meyer, G.H. The Time-Discrete Method of Lines for Options and Bonds: A PDE Approach; World Scientific Publishing: Hackensack, NJ, USA, 2015. [Google Scholar]
  33. Knapp, R. A method of lines framework in Mathematica. J. Numer. Anal. Indust. Appl. Math. 2008, 3, 43–59. [Google Scholar]
  34. Ebadi, M.; Shahriari, M. A class of two stage multistep methods in solutions of time dependent parabolic PDEs. Calcolo 2024, 61, 4. [Google Scholar] [CrossRef]
  35. Adhikari, R. Foundations of Computational Finance. Math. J. 2020, 22, 1–59. [Google Scholar] [CrossRef]
Disclaimer/Publisher’s Note: The statements, opinions and data contained in all publications are solely those of the individual author(s) and contributor(s) and not of MDPI and/or the editor(s). MDPI and/or the editor(s) disclaim responsibility for any injury to people or property resulting from any ideas, methods, instructions or products referred to in the content.

Article Metrics

Citations

Article Access Statistics

Multiple requests from the same IP address are counted as one view.