Numerical Analysis of the Cylindrical Shell Pipe with Preformed Holes Subjected to a Compressive Load Using Non-Uniform Rational B-Splines and T-Splines for an Isogeometric Analysis Approach
Abstract
1. Introduction
2. Materials and Methods
- Weak formulation
- Bilinear and linear forms:
2.1. Bézier Extraction of T-Spline Basis
2.2. Incorporating Bézier Extraction of T-Splines into Finite Element Method
2.3. Theoretically Stress Lateral Loading
- ;
- P: the concentered load (N);
- X: the impact position;
- S: the section modulus of a circular hollow section;
- : the outer diameter;
- : the inner diameters of the pipe.
2.4. Mechanical Failure Criteria
3. Computational Modeling and Simulation
3.1. Cylindrical Shell 3D Pipe Geometry
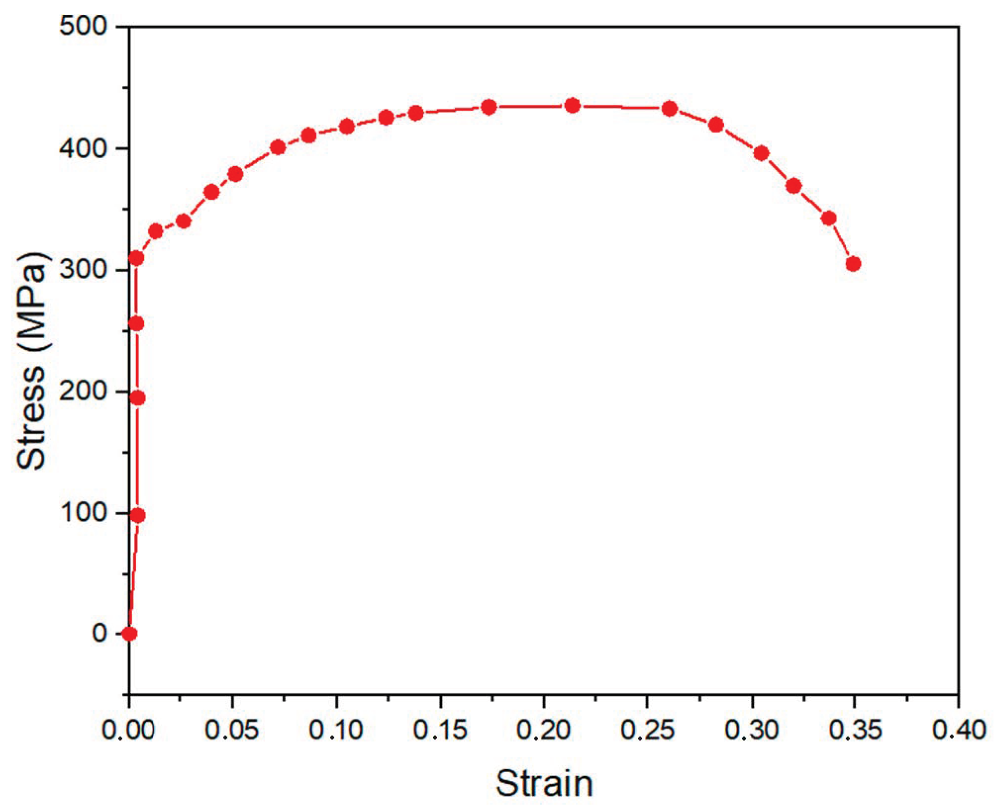
3.2. Material
3.3. Meshing, Loadings, and Boundary Conditions
4. Numerical Results and Discussion
4.1. Cylindrical Shell 3D Pipe under Concentrated Load
4.2. Cylindrical 3D Shell Pipe under Compressive Loading
4.3. Three-Dimensional Cylindrical Shell Pipe with Preformed Holes and Pipe Junction under Compressive Loading
5. Conclusions
Author Contributions
Funding
Data Availability Statement
Conflicts of Interest
References
- Bazilevs, Y.; Calo, V.; Cottrell, J.; Evans, J.; Hughes, T.; Lipton, S.; Scott, M.; Sederberg, T. Isogeometric analysis using T-splines. Comput. Methods Appl. Mech. Eng. 2010, 199, 229–263. [Google Scholar] [CrossRef]
- Cottrell, J.A.; Hughes, T.J.R.; Bazilevs, Y. Isogeometric Analysis: Toward Integration of CAD and FEA, 1st ed.; Wiley: Hoboken, NJ, USA, 2009. [Google Scholar]
- Scutaru, M.L.; Guendaoui, S.; Koubaiti, O.; El Ouadefli, L.; El Akkad, A.; Elkhalfi, A.; Vlase, S. Flow of Newtonian Incompressible Fluids in Square Media: Isogeometric vs. Standard Finite Element Method. Mathematics 2023, 11, 3702. [Google Scholar] [CrossRef]
- Oesterle, B.; Geiger, F.; Forster, D.; Fröhlich, M.; Bischoff, M. A study on the approximation power of NURBS and the significance of exact geometry in isogeometric pre-buckling analyses of shells. Comput. Methods Appl. Mech. Eng. 2022, 397, 115144. [Google Scholar] [CrossRef]
- Koubaiti, O.; Elkhalfi, A.; El-Mekkaoui, J. WEB-Spline Finite Elements for the Approximation of Navier-Lamé System with CA, B Boundary Condition. Abstr. Appl. Anal. 2020, 2020, 1–14. [Google Scholar] [CrossRef]
- Koubaiti, O.; El Fakkoussi, S.; El-Mekkaoui, J.; Moustachir, H.; Elkhalfi, A.; Pruncu, C.I. The treatment of constraints due to standard boundary conditions in the context of the mixed Web-spline finite element method. Eng. Comput. 2021, 38, 2937–2968. [Google Scholar] [CrossRef]
- Farahat, A.; Verhelst, H.M.; Kiendl, J.; Kapl, M. Isogeometric analysis for multi-patch structured Kirchhoff–Love shells. Comput. Methods Appl. Mech. Eng. 2023, 411, 116060. [Google Scholar] [CrossRef]
- Hattori, G.; Trevelyan, J.; Gourgiotis, P. An isogeometric boundary element formulation for stress concentration problems in couple stress elasticity. Comput. Methods Appl. Mech. Eng. 2023, 407, 115932. [Google Scholar] [CrossRef]
- Sederberg, T.W.; Cardon, D.L.; Finnigan, G.T.; North, N.S.; Zheng, J.; Lyche, T. T-spline Simplification and Local Refinement. ACM Trans. Graph. 2004, 23, 239–247. [Google Scholar] [CrossRef]
- Evans, E.; Scott, M.; Li, X.; Thomas, D. Hierarchical T-splines: Analysis-suitability, Bézier extraction, and application as an adaptive basis for isogeometric analysis. Comput. Methods Appl. Mech. Eng. 2015, 284, 1–20. [Google Scholar] [CrossRef]
- Wei, X.; Zhang, Y.; Liu, L.; Hughes, T.J. Truncated T-splines: Fundamentals and methods. Comput. Methods Appl. Mech. Eng. 2017, 316, 349–372. [Google Scholar] [CrossRef]
- Maier, R.; Morgenstern, P.; Takacs, T. Adaptive refinement for unstructured T-splines with linear complexity. Comput. Aided Geom. Des. 2022, 96, 102117. [Google Scholar] [CrossRef]
- Toshniwal, D. Quadratic splines on quad-tri meshes: Construction and an application to simulations on watertight reconstructions of trimmed surfaces. Comput. Methods Appl. Mech. Eng. 2022, 388, 114174. [Google Scholar] [CrossRef]
- Liu, Z.; Cheng, J.; Yang, M.; Yuan, P.; Qiu, C.; Gao, W.; Tan, J. Isogeometric analysis of large thin shell structures based on weak coupling of substructures with unstructured T-splines patches. Adv. Eng. Softw. 2019, 135, 102692. [Google Scholar] [CrossRef]
- Dörfel, M.R.; Jüttler, B.; Simeon, B. Adaptive isogeometric analysis by local h-refinement with T-splines. Comput. Methods Appl. Mech. Eng. 2010, 199, 264–275. [Google Scholar] [CrossRef]
- Fathi, F.; de Borst, R. Geometrically nonlinear extended isogeometric analysis for cohesive fracture with applications to delamination in composites. Finite Elem. Anal. Des. 2021, 191, 103527. [Google Scholar] [CrossRef]
- Zhuang, C.; Xiong, Z.; Ding, H. Bézier extraction based isogeometric topology optimization with a locally-adaptive smoothed density model. J. Comput. Phys. 2022, 467, 111469. [Google Scholar] [CrossRef]
- Coradello, L.; D’angella, D.; Carraturo, M.; Kiendl, J.; Kollmannsberger, S.; Rank, E.; Reali, A. Hierarchically refined isogeometric analysis of trimmed shells. Comput. Mech. 2020, 66, 431–447. [Google Scholar] [CrossRef]
- Reichle, M.; Arf, J.; Simeon, B.; Klinkel, S. Smooth multi-patch scaled boundary isogeometric analysis for Kirchhoff–Love shells. Meccanica 2023, 58, 1693–1716. [Google Scholar] [CrossRef]
- Du, X.; Zhao, G.; Wang, W.; Guo, M.; Zhang, R.; Yang, J. NLIGA: A MATLAB framework for nonlinear isogeometric analysis. Comput. Aided Geom. Des. 2020, 80, 101869. [Google Scholar] [CrossRef]
- Du, X.; Zhao, G.; Zhang, R.; Wang, W.; Yang, J. Numerical implementation for isogeometric analysis of thin-walled structures based on a Bézier extraction framework: NligaStruct. Thin-Walled Struct. 2022, 180, 109844. [Google Scholar] [CrossRef]
- Shan, X.; Yu, W.; Gong, J.; Wen, K.; Wang, H.; Ren, S.; Wei, S.; Wang, B.; Gao, G.; Zhang, G. A methodology to determine the target reliability of natural gas pipeline systems based on risk acceptance criteria of pipelines. J. Pipeline Sci. Eng. 2023, 4, 100150. [Google Scholar] [CrossRef]
- El Fakkoussi, S.; Vlase, S.; Marin, M.; Koubaiti, O.; Elkhalfi, A.; Moustabchir, H. Predicting Stress Intensity Factor for Aluminum 6062 T6 Material in L-Shaped Lower Control Arm (LCA) Design Using Extended Finite Element Analysis. Materials 2023, 17, 206. [Google Scholar] [CrossRef] [PubMed]
- Li, Y.; Chen, C.; Yao, L.; Fan, M.; Zhang, Y. Reliability analysis of gas pipelines under global bending and thermal loadings considering a high chloride ion environment. Eng. Fail. Anal. 2024, 156, 107802. [Google Scholar] [CrossRef]
- Choudhury, D.; Chaudhuri, C.H. A critical review on performance of buried pipeline subjected to pipe bursting and earthquake induced permanent ground deformation. Soil Dyn. Earthq. Eng. 2023, 173, 108152. [Google Scholar] [CrossRef]
- Zhang, J.; Gu, X.; Zhou, Y.; Wang, Y.; Zhang, H.; Zhang, Y. Mechanical Properties of Buried Gas Pipeline under Traffic Loads. Processes 2023, 11, 3087. [Google Scholar] [CrossRef]
- El Fakkoussi, S.; Moustabchir, H.; Elkhalfi, A.; Pruncu, C.I. Computation of the stress intensity factor KI for external longitudinal semi-elliptic cracks in the pipelines by FEM and XFEM methods. Int. J. Interact. Des. Manuf. IJIDeM 2019, 13, 545–555. [Google Scholar] [CrossRef]
- El Fakkoussi, S.; Moustabchir, H.; Elkhalfi, A.; Pruncu, C.I. Application of the Extended Isogeometric Analysis (X-IGA) to Evaluate a Pipeline Structure Containing an External Crack. J. Eng. 2018, 2018, 4125765. [Google Scholar] [CrossRef]
- Hussain, M.; Zhang, T.; Chaudhry, M.; Jamil, I.; Kausar, S.; Hussain, I. Review of Prediction of Stress Corrosion Cracking in Gas Pipelines Using Machine Learning. Machines 2024, 12, 42. [Google Scholar] [CrossRef]
- Koubaiti, O.; Elkhalfi, A.; El-Mekkaoui, J.; Mastorakis, N. Solving the Problem of Constraints Due to Dirichlet Boundary Conditions in the Context of the Mini Element Method. Int. J. Mech. 2020, 14, 12–22. [Google Scholar] [CrossRef]
- Scott, M.A.; Borden, M.J.; Verhoosel, C.V.; Sederberg, T.W.; Hughes, T.J.R. Isogeometric finite element data structures based on Bézier extraction of T-splines. Int. J. Numer. Methods Eng. 2011, 88, 126–156. [Google Scholar] [CrossRef]
- Xue, M.; Li, D.; Hwang, K. Theoretical stress analysis of intersecting cylindrical shells subjected to external loads transmitted through branch pipes. Int. J. Solids Struct. 2005, 42, 3299–3319. [Google Scholar] [CrossRef]
- Tafsirojjaman, T.; Manalo, A.; Tien, C.M.T.; Wham, B.P.; Salah, A.; Kiriella, S.; Karunasena, W.; Dixon, P. Analysis of failure modes in pipe-in-pipe repair systems for water and gas pipelines. Eng. Fail. Anal. 2022, 140, 106510. [Google Scholar] [CrossRef]
- Moustabchir, H.; Pruncu, C.I.; Azari, Z.; Hariri, S.; Dmytrakh, I. Fracture mechanics defect assessment diagram on pipe from steel P264GH with a notch. Int. J. Mech. Mater. Des. 2016, 12, 273–284. [Google Scholar] [CrossRef]
- Guo, M.; Wang, W.; Zhao, G.; Du, X.; Zhang, R.; Yang, J. T-Splines for Isogeometric Analysis of the Large Deformation of Elastoplastic Kirchhoff–Love Shells. Appl. Sci. 2023, 13, 1709. [Google Scholar] [CrossRef]
- Li, W.; Wang, P.; Feng, G.-P.; Lu, Y.-G.; Yue, J.-Z.; Li, H.-M. The deformation and failure mechanism of cylindrical shell and square plate with pre-formed holes under blast loading. Def. Technol. 2021, 17, 1143–1159. [Google Scholar] [CrossRef]
- Marin, M.; Öchsner, A.; Bhatti, M.M. Some results in Moore-Gibson-Thompson thermoelasticity of dipolar bodies. Zamm 2020, 100, e202000090. [Google Scholar] [CrossRef]
- Marin, M.; Hobiny, A.; Abbas, I. The Effects of Fractional Time Derivatives in Porothermoelastic Materials Using Finite Element Method. Mathematics 2021, 9, 1606. [Google Scholar] [CrossRef]





















| Young’s modulus | E = 207 GPa |
| Poisson’s ration | v = 0.3 |
| Yield stress | Re = 340 MPa |
| Ultimate tensile strength | Rm = 440 MPa |
| Elongation to fracture | A = 35% |
| Method | FEM (Abaqus/CAE) | IGA NURBS | IGA T-Splines |
|---|---|---|---|
| Time Calculation (s) | 3.30 | 0.99 | 0.42 |
Disclaimer/Publisher’s Note: The statements, opinions and data contained in all publications are solely those of the individual author(s) and contributor(s) and not of MDPI and/or the editor(s). MDPI and/or the editor(s) disclaim responsibility for any injury to people or property resulting from any ideas, methods, instructions or products referred to in the content. |
© 2024 by the authors. Licensee MDPI, Basel, Switzerland. This article is an open access article distributed under the terms and conditions of the Creative Commons Attribution (CC BY) license (https://creativecommons.org/licenses/by/4.0/).
Share and Cite
EL Fakkoussi, S.; Koubaiti, O.; Elkhalfi, A.; Vlase, S.; Marin, M. Numerical Analysis of the Cylindrical Shell Pipe with Preformed Holes Subjected to a Compressive Load Using Non-Uniform Rational B-Splines and T-Splines for an Isogeometric Analysis Approach. Axioms 2024, 13, 529. https://doi.org/10.3390/axioms13080529
EL Fakkoussi S, Koubaiti O, Elkhalfi A, Vlase S, Marin M. Numerical Analysis of the Cylindrical Shell Pipe with Preformed Holes Subjected to a Compressive Load Using Non-Uniform Rational B-Splines and T-Splines for an Isogeometric Analysis Approach. Axioms. 2024; 13(8):529. https://doi.org/10.3390/axioms13080529
Chicago/Turabian StyleEL Fakkoussi, Said, Ouadie Koubaiti, Ahmed Elkhalfi, Sorin Vlase, and Marin Marin. 2024. "Numerical Analysis of the Cylindrical Shell Pipe with Preformed Holes Subjected to a Compressive Load Using Non-Uniform Rational B-Splines and T-Splines for an Isogeometric Analysis Approach" Axioms 13, no. 8: 529. https://doi.org/10.3390/axioms13080529
APA StyleEL Fakkoussi, S., Koubaiti, O., Elkhalfi, A., Vlase, S., & Marin, M. (2024). Numerical Analysis of the Cylindrical Shell Pipe with Preformed Holes Subjected to a Compressive Load Using Non-Uniform Rational B-Splines and T-Splines for an Isogeometric Analysis Approach. Axioms, 13(8), 529. https://doi.org/10.3390/axioms13080529

