Sign in to use this feature.

Years

Between: -

Subjects

remove_circle_outline
remove_circle_outline
remove_circle_outline
remove_circle_outline
remove_circle_outline
remove_circle_outline
remove_circle_outline
remove_circle_outline
remove_circle_outline

Journals

Article Types

Countries / Regions

Search Results (155)

Search Parameters:
Keywords = NURBS

Order results
Result details
Results per page
Select all
Export citation of selected articles as:
38 pages, 65263 KB  
Article
Generation of Digital Elevation Models Using the Poisson Equation and the Finite Element Method
by Eduardo Conde López, Jesús Flores Escribano, Eduardo Salete Casino and Antonio Vargas Ureña
Modelling 2026, 7(1), 10; https://doi.org/10.3390/modelling7010010 - 2 Jan 2026
Viewed by 153
Abstract
This paper presents a finite element methodology for generating continuous digital elevation models (DEMs) from discrete terrain data using the Poisson equation under steady-state conditions. Unlike conventional DEM interpolation techniques, the proposed methodology formulates terrain reconstruction as a constrained harmonic problem, solved directly [...] Read more.
This paper presents a finite element methodology for generating continuous digital elevation models (DEMs) from discrete terrain data using the Poisson equation under steady-state conditions. Unlike conventional DEM interpolation techniques, the proposed methodology formulates terrain reconstruction as a constrained harmonic problem, solved directly on scattered point sets using standard finite element procedures, without requiring structured grids or intermediate interpolation stages. The approach interprets the elevation field as a harmonic scalar function whose smoothness is enforced by the variational formulation of the Poisson problem. The governing equation is solved using standard finite element procedures with Dirichlet boundary conditions applied at the measurement points, ensuring that the reconstructed surface passes exactly through the known elevations. The isotropic conductivity coefficient is set to unity and the source term to zero, which simplifies the formulation and yields a harmonic interpolation independent of any physical parameters. The resulting surfaces exhibit continuous slopes and reduced sensitivity to irregular data distributions. Numerical tests comprising two analytical examples and a real terrain case show that, compared with thin-plate FEM and RBF–NURBS reconstructions, the proposed Poisson-based approach yields smoother and more stable surfaces, with global errors of the same order of magnitude and reduced computational cost. Full article
Show Figures

Figure 1

18 pages, 5530 KB  
Article
A Hybrid Fractal-NURBS Model for Characterizing Material-Specific Mechanical Surface Contact
by Leilei Zhang, Yingkun Mu, Kui Luo, Guang Ren and Zisheng Wang
Machines 2026, 14(1), 49; https://doi.org/10.3390/machines14010049 - 30 Dec 2025
Viewed by 204
Abstract
The reliability of mechanical systems hinges on analyzing the actual surface-to-surface contact area, which critically influences dynamic behavior, friction, material performance, and thermal dissipation. Uneven surfaces lead to incomplete contact, where only a fraction of asperities touch, creating a nominal contact area. This [...] Read more.
The reliability of mechanical systems hinges on analyzing the actual surface-to-surface contact area, which critically influences dynamic behavior, friction, material performance, and thermal dissipation. Uneven surfaces lead to incomplete contact, where only a fraction of asperities touch, creating a nominal contact area. This study proposes a novel fractal contact model for various mechanical behaviors between mechanical contact surfaces, integrating the Weierstrass–Mandelbrot fractal function and nonuniform rational B-spline interpolation (NURBS) to model material-dependent actual contact conditions. Furthermore, this research delved into the changes in thermal conductivity across the surfaces of metal materials within a simulated setting. It maintained a contact ratio ranging from 0.038% to 15.2%, a factor that remained unaffected by contact pressure. Both experimental and simulated findings unveiled an actual contact rate spanning from 0.44% to 1.06%, thereby underscoring the distinctive interface behaviors specific to different materials. The proposed approach provides fresh perspectives for investigating material–contact interactions and tackling associated engineering hurdles. Full article
Show Figures

Figure 1

31 pages, 4772 KB  
Article
Conic Section Elements Based on the Rational Absolute Nodal Coordinate Formulation
by Yaxiong Liu, Manyu Shi, Manlan Liu and Peng Lan
Mathematics 2025, 13(24), 3951; https://doi.org/10.3390/math13243951 - 11 Dec 2025
Viewed by 259
Abstract
The construction of rational absolute nodal coordinate formulation (RANCF) elements is usually based on a linear transformation of non-uniform rational B-spline (NURBS) geometry. However, this linear transformation can lead to property transfer issues, which greatly reduce the modeling efficiency, especially for conic sections. [...] Read more.
The construction of rational absolute nodal coordinate formulation (RANCF) elements is usually based on a linear transformation of non-uniform rational B-spline (NURBS) geometry. However, this linear transformation can lead to property transfer issues, which greatly reduce the modeling efficiency, especially for conic sections. To overcome this limitation, we first analyze the geometric constraints of conic sections and derive a unique defining equation in rational parametric form. A corresponding degree-elevation formula is also obtained. Using these results, we propose a direct definition method for RANCF elements that explicitly exploits the analytic properties of conic sections. The method provides fast and accurate expressions for the nodal coordinates and weights, and thus enables efficient modeling of RANCF elements for conic-section configurations. We also mitigate the arbitrariness in element definition by introducing, for the first time, the concept of a mapping factor K, which characterizes the mapping between the physical space and the parameter space. Based on this mapping factor, we establish a parameterization procedure for RANCF conic-section elements. An evaluation criterion for K is further proposed and used to define the optimal mapping factor Kopt, which yields an optimal parameterization and allows the construction of Kopt elements. Numerical examples demonstrate that, in large-deformation analyses of flexible systems, the proposed elements can achieve a given accuracy with fewer elements than conventional approaches. Full article
Show Figures

Figure 1

26 pages, 9287 KB  
Article
Tooth Surface Contact Characteristics of Non-Circular Gear Based on Ease-off Modification
by Shukai Liu and Yanzhong Wang
Appl. Sci. 2025, 15(23), 12707; https://doi.org/10.3390/app152312707 - 1 Dec 2025
Viewed by 277
Abstract
To address edge contact in non-circular gears arising from installation errors, a modification strategy represented by elliptical gears and driven by an ease-off topological surface is proposed. A tooth surface model for non-circular gears was first derived from meshing theory. The modification magnitude [...] Read more.
To address edge contact in non-circular gears arising from installation errors, a modification strategy represented by elliptical gears and driven by an ease-off topological surface is proposed. A tooth surface model for non-circular gears was first derived from meshing theory. The modification magnitude was defined using a second-order ease-off differential surface, and the modified surface is represented through non-uniform rational B-spline (NURBS) fitting. A tooth contact analysis (TCA) model is then built to evaluate how installation errors and modification amount influence contact behavior. The results indicate that an increase in center distance error reduces the contact ratio. For equal perturbations of axial horizontal and axial vertical mounting angles, the horizontal error has the stronger impact on the size and location of the contact patch. As the longitudinal modification coefficient grows, the contact path and peak pressure position shift from the tooth edge toward the mid-width; the contact ellipse first enlarges and then shrinks, while the contact pressure shows the opposite trend. The elastic deformation of the tooth surface increases with the mounting angle. Transmission tests confirm that the proposed modification lowers the transmission error relative to the unmodified gear pair. Full article
(This article belongs to the Special Issue Structural Mechanics in Materials and Construction—2nd Edition)
Show Figures

Figure 1

15 pages, 1461 KB  
Article
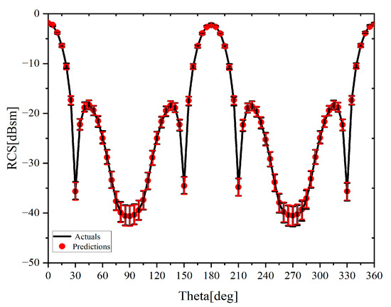
RCS Prediction for Flexible Targets with Uncertain Shape Based on CNN-LSTM
by Huimin Zhang, Jiqin Huang and Ying Zhao
Electronics 2025, 14(23), 4668; https://doi.org/10.3390/electronics14234668 - 27 Nov 2025
Viewed by 504
Abstract
Traditional radar cross-section (RCS) prediction methods struggle with dynamically uncertain shapes of flexible targets, because they cannot disentangle intrinsic geometry from transient deformation, leading to degraded accuracy and prohibitive computational cost. To bridge this gap, we propose a dual-branch deep learning architecture that [...] Read more.
Traditional radar cross-section (RCS) prediction methods struggle with dynamically uncertain shapes of flexible targets, because they cannot disentangle intrinsic geometry from transient deformation, leading to degraded accuracy and prohibitive computational cost. To bridge this gap, we propose a dual-branch deep learning architecture that explicitly separates static geometric features from dynamic deformation characteristics, suppressing deformation noise in target identity representation. Training data are generated by coupling non-uniform rational B-spline (NURBS) parametric modeling with computational electromagnetics. The dynamic branch employs a one-dimensional convolutional neural network-long short-term memory-Transformer (1D-CNN-LSTM-Transformer) to extract temporal deformation features, while the static branch encodes baseline geometry via fully connected layers; their fused outputs deliver high-fidelity RCS predictions. Trained and tested on 1000 deformed metasurface samples, the proposed method achieves mean squared error (MSE) = 0.0541, root mean squared error (RMSE) = 0.2326 and coefficient of determination (R2) = 0.9997. The results demonstrate end-to-end accurate prediction under shape uncertainty, extending RCS modeling for flexible targets beyond recent studies that focus on static scenarios, and offering a reliable tool for flexible stealth design and high-resolution radar target recognition. Full article
Show Figures

Figure 1

15 pages, 4001 KB  
Article
Model-Based Prediction and Compensation of Structural Loop Cross-Talk-Induced Geometric Errors in Machine Tools
by Feng Wei, Yuchao Fan, Fei Yan, Yubin Huang, Xin Tong and Jian Li
Coatings 2025, 15(11), 1261; https://doi.org/10.3390/coatings15111261 - 1 Nov 2025
Viewed by 501
Abstract
This study compares one traditional prediction model—the conventional single-variable interpolation method—with two newly developed models: an improved multi-variable interpolation model extended from the single-variable formulation, and a more advanced NURBS-based multi-variable interpolation model. All models are integrated into a real-time volumetric error compensation [...] Read more.
This study compares one traditional prediction model—the conventional single-variable interpolation method—with two newly developed models: an improved multi-variable interpolation model extended from the single-variable formulation, and a more advanced NURBS-based multi-variable interpolation model. All models are integrated into a real-time volumetric error compensation framework embedded within a CNC controller, enabling in-kernel correction without external hardware. Accuracy verification is carried out using planar body diagonal measurements obtained from a dense on-machine PDGE data grid across the coupling plane. Quantitatively, the improved multi-variable interpolation model reduces diagonal errors by 71%–74%, while the NURBS-based model achieves 82% (T1) and 84% (T2) reductions, delivering an additional 18%–19% improvement relative to the single-variable baseline. The in-kernel evaluation satisfies 2–4 ms interpolation cycles, confirming real-time feasibility. The proposed framework provides a compact, data-driven solution for predicting and compensating cross-talk-induced PDGEs in precision machine tools. Full article
(This article belongs to the Special Issue Cutting Performance of Coated Tools)
Show Figures

Figure 1

24 pages, 8530 KB  
Article
Morphology-Embedded Synergistic Optimization of Thermal and Mechanical Performance in Free-Form Single-Layer Grid Structures
by Bowen Hou, Baoshi Jiang and Bangjian Wang
Technologies 2025, 13(11), 485; https://doi.org/10.3390/technologies13110485 - 27 Oct 2025
Viewed by 378
Abstract
Free-form grid structures offer both aesthetic appeal and structural efficiency in long-span roof design and application, yet the potential of morphological design to optimize thermal performance has been long overlooked. This study proposes a multi-objective synergistic optimization framework which can improve the thermal [...] Read more.
Free-form grid structures offer both aesthetic appeal and structural efficiency in long-span roof design and application, yet the potential of morphological design to optimize thermal performance has been long overlooked. This study proposes a multi-objective synergistic optimization framework which can improve the thermal environment and mechanical performance simultaneously for the roof. Focusing on public buildings in hot–humid climates, the research investigates the impact of roof geometry on indoor temperature under extreme thermal loading conditions and long-term thermal loading conditions. Furthermore, the evolution of thermal performance during mechanical performance-driven surface optimization is systematically analyzed. Subsequently, a dynamic proportional adjustment factor is introduced to explore the performance of the optimized results under different performance weights, with thermal and mechanical performance serving as the optimization objectives. Results demonstrate that thermal performance-driven optimization generates saddle-shaped free-form surfaces with alternating peak–valley configurations to achieve self-shadowing effects, reducing indoor temperature by approximately 2 °C but significantly compromising structural stiffness. Conversely, strain energy minimization yields moderate indoor temperature reductions, revealing a positive correlation between strain energy decrease and thermal performance improvement. In the multi-objective optimization considering thermal and mechanical properties, when the strain energy ratio is 0.5–0.7 (optimization balance zone), the indoor temperature decreases, while the structural stiffness and stability bearing capacity increase. This study provides a morphological–structural–environmental synergistic design reference for low-carbon long-span building roofs. Full article
(This article belongs to the Section Construction Technologies)
Show Figures

Figure 1

23 pages, 5585 KB  
Article
NURBS Morphing Optimization of Drag and Lift in a Coupe-Class Vehicle Using Symmetry-Plane Comparison of Aerodynamic Performance
by Sohaib Guendaoui, Abdeslam El Akkad, Ahmed El Khalfi, Sorin Vlase and Marin Marin
Symmetry 2025, 17(9), 1571; https://doi.org/10.3390/sym17091571 - 19 Sep 2025
Viewed by 682
Abstract
This study presents a morphing Non-Uniform Rational B-Spline (NURBS) optimization method for enhancing sports car aerodynamics, with performance evaluation conducted in the vehicle’s symmetry plane. The morphing approach enables precise, smooth deformations of rear-end and spoiler geometries while preserving shape continuity, allowing controlled [...] Read more.
This study presents a morphing Non-Uniform Rational B-Spline (NURBS) optimization method for enhancing sports car aerodynamics, with performance evaluation conducted in the vehicle’s symmetry plane. The morphing approach enables precise, smooth deformations of rear-end and spoiler geometries while preserving shape continuity, allowing controlled aerodynamic modifications suitable for comparative analysis. Flow simulations were carried out in ANSYS Fluent 2022 using the Reynolds-Averaged Navier–Stokes (RANS) equations with the standard k-ε turbulence model, selected for its stability and accuracy in predicting boundary-layer evolution, wake behavior, and flow separation in external automotive flows. Three configurations were assessed: the baseline model, a spoiler-equipped version, and two NURBS-morphed designs. The symmetry-plane evaluation ensured bilateral balance across all variants, enabling direct comparison of drag and lift performance. The results show that the proposed morphing strategy achieved notable lift reduction and favorable drag-to-lift ratios while maintaining manufacturability. The findings demonstrate that combining NURBS-based morphing with symmetry-plane aerodynamic assessment offers an efficient, reliable framework for vehicle aerodynamic optimization, bridging geometric flexibility with robust computational evaluation. Full article
(This article belongs to the Section Mathematics)
Show Figures

Figure 1

13 pages, 3903 KB  
Article
CAD Model Reconstruction by Generative Design of an iQFoil Olympic Class Foiling Windsurfing Wing
by Antonino Cirello, Tommaso Ingrassia, Antonio Mancuso and Vito Ricotta
J. Mar. Sci. Eng. 2025, 13(9), 1698; https://doi.org/10.3390/jmse13091698 - 2 Sep 2025
Viewed by 970
Abstract
This work presents a generative design algorithm for the semi-automatic reconstruction of sweepable surfaces from point clouds obtained through three-dimensional scanning. The proposed algorithm enables, starting from a 3D acquisition dataset, the correct automatic orientation of the mesh, the selection of a suitable [...] Read more.
This work presents a generative design algorithm for the semi-automatic reconstruction of sweepable surfaces from point clouds obtained through three-dimensional scanning. The proposed algorithm enables, starting from a 3D acquisition dataset, the correct automatic orientation of the mesh, the selection of a suitable cutting edge, and the specification of the number of transversal sections for an effective 3D model reconstruction. Additionally, it suggests a maximum number of points to be used for reconstructing the sectional curves. The mesh reconstruction is performed through a lofting operation, resulting in a non-uniform rational B-spline (NURBS) surface. The algorithm has been applied to a case study involving the front wing surface of a foil from the Olympic class iQFoil, which has recently garnered significant attention from researchers in the field of performance analysis. The obtained reconstructed surface exhibits very low deviation values when compared to the original mesh. This demonstrates the reliability of the results obtained with the proposed approach, which provides sufficient accuracy and is obtained in a considerably shorter time compared to the traditional manual reconstruction approach, enabling the reconstruction of a 3D model in just a few semi-automatic steps, ready for subsequent numerical analyses if needed. Full article
Show Figures

Figure 1

15 pages, 4368 KB  
Article
On the Construction of Freeform Volumetric 3D Puzzles
by Gershon Elber
Modelling 2025, 6(3), 90; https://doi.org/10.3390/modelling6030090 - 25 Aug 2025
Viewed by 911
Abstract
We present a simple algorithm for synthesizing volumetric 3D puzzles from a 3D freeform geometric model represented volumetrically as trivariate NURBs functions, M. The construction algorithm is based on the functional composition of puzzle elements, positioned in the domain of M, [...] Read more.
We present a simple algorithm for synthesizing volumetric 3D puzzles from a 3D freeform geometric model represented volumetrically as trivariate NURBs functions, M. The construction algorithm is based on the functional composition of puzzle elements, positioned in the domain of M, with M. The puzzle elements can be (heterogeneous) freeform polygonal models or freeform surface or trivariate functions and of arbitrary shape, and can include added joints to neighboring puzzle elements. The proposed approach is demonstrated via several examples of such volumetric puzzles, 3D printed and assembled. Full article
Show Figures

Figure 1

18 pages, 15177 KB  
Article
Optimization-Driven Reconstruction of 3D Space Curves from Two Views Using NURBS
by Musrrat Ali, Deepika Saini, Sanoj Kumar and Abdul Rahaman Wahab Sait
Mathematics 2025, 13(14), 2256; https://doi.org/10.3390/math13142256 - 12 Jul 2025
Viewed by 913
Abstract
In the realm of 3D curve reconstruction, Non-Uniform Rational B-Splines (NURBSs) offer a versatile mathematical tool due to their ability to precisely represent complex geometries. However, achieving high fitting accuracy in stereo-based applications remains challenging, primarily due to the nonlinear nature of weight [...] Read more.
In the realm of 3D curve reconstruction, Non-Uniform Rational B-Splines (NURBSs) offer a versatile mathematical tool due to their ability to precisely represent complex geometries. However, achieving high fitting accuracy in stereo-based applications remains challenging, primarily due to the nonlinear nature of weight optimization. This study introduces an enhanced iterative strategy that leverages the geometric significance of NURBS weights to incrementally refine curve fitting. By formulating an inverse optimization problem guided by model deformation principles, the proposed method progressively adjusts weights to minimize reprojection error. Experimental evaluations confirm the method’s convergence and demonstrate its superiority in fitting accuracy when compared to conventional optimization techniques. Full article
Show Figures

Figure 1

33 pages, 7555 KB  
Article
A Quasi-Bonjean Method for Computing Performance Elements of Ships Under Arbitrary Attitudes
by Kaige Zhu, Jiao Liu and Yuanqiang Zhang
Systems 2025, 13(7), 571; https://doi.org/10.3390/systems13070571 - 11 Jul 2025
Viewed by 768
Abstract
Deep-sea navigation represents the future trend of maritime navigation; however, complex seakeeping conditions often lead to unconventional ship attitudes. Conventional calculation methods are insufficient for accurately assessing hull performance under heeled or extreme trim conditions. Drawing inspiration from Bonjean curve principles, this study [...] Read more.
Deep-sea navigation represents the future trend of maritime navigation; however, complex seakeeping conditions often lead to unconventional ship attitudes. Conventional calculation methods are insufficient for accurately assessing hull performance under heeled or extreme trim conditions. Drawing inspiration from Bonjean curve principles, this study proposes a Quasi-Bonjean (QB) method to compute ship performance elements in arbitrary attitudes. Specifically, the QB method first constructs longitudinally distributed hull sections from the Non-Uniform Rational B-Spline (NURBS) surface model, then simulates arbitrary attitudes through dynamic waterplane adjustments, and finally calculates performance elements via sectional integration. Furthermore, an Adaptive Surface Tessellation (AST) method is proposed to optimize longitudinal section distribution by minimizing the number of stations while maintaining high geometric fidelity, thereby enhancing the computational efficiency of the QB method. Comparative experiments reveal that the AST-generated 100-station sections achieve computational precision comparable to 200-station uniform distributions under optimal conditions, and the performance elements calculated by the QB method under multi-attitude conditions meet International Association of Classification Societies accuracy thresholds, particularly excelling in the displacement and vertical center of buoyancy calculations. These findings confirm that the QB method effectively addresses the critical limitations of traditional hydrostatic tables, providing a theoretical foundation for analyzing damaged ship equilibrium and evaluating residual stability. Full article
Show Figures

Figure 1

20 pages, 876 KB  
Article
Evaluation Algorithms for Parametric Curves and Surfaces
by Lanlan Yan
Mathematics 2025, 13(14), 2248; https://doi.org/10.3390/math13142248 - 11 Jul 2025
Cited by 1 | Viewed by 943
Abstract
This paper extends Woźny and Chudy’s linear-complexity Bézier evaluation algorithm (2020) to all parametric curves/surfaces with normalized basis functions via a novel basis function matrix decomposition. The unified framework covers the following: (i) B-spline/NURBS models; (ii) Bézier-type surfaces (tensor-product, rational, and triangular); (iii) [...] Read more.
This paper extends Woźny and Chudy’s linear-complexity Bézier evaluation algorithm (2020) to all parametric curves/surfaces with normalized basis functions via a novel basis function matrix decomposition. The unified framework covers the following: (i) B-spline/NURBS models; (ii) Bézier-type surfaces (tensor-product, rational, and triangular); (iii) enhanced models with shape parameters or non-polynomial basis spaces. For curves, we propose sequential and reverse corner-cutting modes. Surface evaluation adapts to type: non-tensor-product surfaces are processed through index-linearization to match the curve format, while tensor-product surfaces utilize nested curve evaluation. This approach reduces computational complexity, resolves cross-model compatibility issues, and establishes an efficient evaluation framework for diverse parametric geometries. Full article
Show Figures

Figure 1

18 pages, 3000 KB  
Article
Multi-Objective Trajectory Planning for Robotic Arms Based on MOPO Algorithm
by Mingqi Zhang, Jinyue Liu, Yi Wu, Tianyu Hou and Tiejun Li
Electronics 2025, 14(12), 2371; https://doi.org/10.3390/electronics14122371 - 10 Jun 2025
Viewed by 1230
Abstract
This research describes a multi-objective trajectory planning method for robotic arms based on time, energy, and impact. The quintic Non-Uniform Rational B-Spline (NURBS) curve was employed to interpolate the trajectory in joint space. The quintic NURBS interpolation curve can make the trajectory become [...] Read more.
This research describes a multi-objective trajectory planning method for robotic arms based on time, energy, and impact. The quintic Non-Uniform Rational B-Spline (NURBS) curve was employed to interpolate the trajectory in joint space. The quintic NURBS interpolation curve can make the trajectory become constrained within the kinematic limits of velocity, acceleration, and jerk while also satisfying the continuity of jerk. Then, based on the Parrot Optimization (PO) algorithm, through improvements to reduce algorithmic randomness and the introduction of appropriate multi-objective strategies, the algorithm was extended to the Multi-Objective Parrot Optimization (MOPO) algorithm, which better balances global search and local convergence, thereby more effectively solving multi-objective optimization problems and reducing the impact on optimization results. Subsequently, by integrating interpolation curves, the multi-objective optimization of joint trajectories could be performed under robotic kinematic constraints based on time–energy-jerk criteria. The obtained Pareto optimal front can provide decision-makers in industrial robotic arm applications with flexible options among non-dominated solutions. Full article
Show Figures

Figure 1

12 pages, 5225 KB  
Proceeding Paper
Denoising and Voxelization for Finite Element Analysis: A Review
by Sara Gonizzi Barsanti
Eng. Proc. 2025, 96(1), 6; https://doi.org/10.3390/engproc2025096006 - 6 Jun 2025
Viewed by 897
Abstract
The conservation of cultural heritage is fundamental, and it is difficult to predict how heritage objects will relate with structural damages. For these objects, the most used process for the analyses involves NURBS models that may introduce an excessive level of approximation leading [...] Read more.
The conservation of cultural heritage is fundamental, and it is difficult to predict how heritage objects will relate with structural damages. For these objects, the most used process for the analyses involves NURBS models that may introduce an excessive level of approximation leading to wrong simulation results. This work presents the preliminary review of literature and first tests regarding denoising and voxel algorithms and their application for the creation of volumetric models of a reconstruction of an ancient scorpionide, to identify the bottlenecks of the post-processing method for the creation of volumetric data for the FEA of cultural heritage. Full article
Show Figures

Figure 1

Back to TopTop