Abstract
We present a mathematical model that captures the dynamics of the immune system
during allergic reactions. Using delay differential equations, we depict the evolution of T cells,
APCs, and IL6, considering cell migration between various body compartments. The biological
discussions and interpretations within the article revolve around drug desensitization, highlighting
one potential application of the model. We conduct stability analysis on certain equilibrium points,
demonstrating stability in some cases and only partial stability in others. Numerical simulations
validate the theoretical findings.
Keywords:
mathematical model; immune system dynamics; allergic reactions; delay differential equations; T cells; APCs; IL; cell migration; drug desensitization; stability analysis; equilibrium points; numerical simulations; partial stability analysis MSC:
92D25; 34K20; 92C60
1. Introduction
An allergic response stems from an exaggerated reaction of the immune system. When the body encounters an allergen, it triggers the production of a substantial amount of IgE (immunoglobulin E) antibodies, responsible for instigating allergic reactions. Allergy symptoms can vary widely, from itching, rash, swelling, and cramps to the severe and potentially life-threatening anaphylactic shock.
Among the myriad potential allergens, drug-induced allergic reactions pose significant challenges. As remarked in [1], the widespread use of chemotherapy drugs has escalated hypersensitivity reactions (HSRs) globally. These specific allergic responses can endanger lives, restricting the use of primary medications and jeopardizing both patient survival and quality of life. Re-exposure to allergic-induced medications has tragically resulted in fatalities. A study of such drug-induced allergies was carried out in [2]. In this paper, we focus on modeling general allergic reactions.
The immune system comprises a complex network of biological elements and processes crucial for defending the body against diseases. Central to this system are white blood cells (lymphocytes), categorized into myeloid cells and lymphoid cells. Myeloid cells encompass various types, such as neutrophils, basophils, dendritic cells, and macrophages. Lymphoid cells consist of T cells, B cells, and natural killer cells.
T cells can be further categorized into helper T cells, memory T cells, cytotoxic T cells, and regulatory T cells. Regulatory T cells (Treg) play a pivotal role in modulating immune system activation and preventing autoimmune responses.
Antigen-presenting cells (APCs) aid in activating T cells. They are classified as professional APCs (including dendritic cells, macrophages, and B cells) or non-professional APCs (found in various nucleated cell types within the body). Upon contact with an allergen, APCs capture the allergen and present it to naive T helper cells.
The immune system relies significantly on cytokines, small proteins that coordinate immune responses. Interleukins, a type of cytokine, facilitate communication among white blood cells. These cytokines, produced predominantly by white blood cells, regulate the differentiation of other cells and can either stimulate or inhibit their functions. Notably, the same cytokine may be produced by various cell types.
Immunoglobulins, or antibodies, are generated by plasma cells derived from mature B cells. There are five primary antibody classes—IgA, IgD, IgE, IgG, and IgM—each with distinct structures, functions, and responses to antigens. Elevated levels of IgE are associated with allergic reactions.
Maintaining immunological balance is crucial in managing allergies, which involves a well-balanced Type 1 T helper (Th1) and Type 2 T helper (Th2) response. T helper cells, major cytokine producers, influence this balance. Certain Th2-type cytokines correlate with IgE production, suggesting that an imbalance toward Th2 may lead to allergies [3].
Mature T cells exhibit autocrine action, regulating their population and suppressing other cells via their cytokines. Th1 and Th2 cells suppress each other, while Treg cells suppress both Th1 and Th2 cells without being suppressed themselves.
Interleukin-6 (IL-6) is a cytokine known for promoting Th2 cell differentiation and inhibiting Th1 and Treg growth and differentiation in response to allergens [4]. It can be produced by both professional antigen-presenting cells (APCs) and T helper cells [4,5]. The authors of [6] were the first to demonstrate the influence of IL-6 on tilting the Th1/Th2 balance toward Th2.
Drug desensitization, a process for inducing temporary immunological tolerance in individuals hypersensitive to certain drugs, has proven safe and effective in improving clinical outcomes. This method involves gradually administering increasing doses of the drug [7,8]. Rapid IgE desensitization inhibits IL-6 [8], and studies [9] showed a 75% reduction in IL-6 production post-desensitization.
According to [10], the body consists of two compartments: the central compartment comprising the blood and well-perfused organs, and the peripheral compartment encompassing poorly perfused tissues and organs.
As argued in the paper by Fishman and Segel [11], effective immunotherapy for allergies necessitates considering at least two compartments within the peripheral immune system: one centered on mucosal lymph nodes (referred to as compartment-) and another on non-mucosal lymphatic tissues draining the immunotherapeutic injection sites (compartment- in [11]).
Based on this analysis, our model introduces three compartments: the central compartment and the peripheral compartment divided into mucosal and non-mucosal compartments.
Referring to [11], T cells initially recruited into the -compartment will transit through lymphatic tissues in the -compartment and vice versa.
The mathematical modeling is performed through delayed differential equations (DDEs). Through these types of equations, we can take into account the cell migration time or the time required for the production of antibodies (which are not instantaneous). Thus, we obtain a more accurate description of the phenomena we want to model.
The paper’s structure is as follows: Section 2 introduces and elaborates on the mathematical model; Section 3 explores the relevant solutions’ properties; Section 4 investigates the biologically significant equilibria and their stability; Section 5 presents numerical simulations with biological interpretations; Section 6 lists the parameter values used in the simulations; and Section 7 concludes the article.
2. The Model Establishment
The model we propose comprises 10 delay differential equations, building upon the models presented in [12,13,14,15]. A notable difference lies in our consideration of three body compartments and the introduction of three delays to accurately capture the biological timeframe.
The initial four equations depict the dynamics within the non-mucosal compartment (-compartment) following allergen entry, describing the concentrations of naive T cells, Th1, Th2, and cells denoted as , , , and , respectively.
Subsequently, Equations (5)–(7) detail the behavior within the mucosal compartment (-compartment) concerning the concentrations of Th1, Th2, and cells (, , ).
Equations (8) and (9) elucidate a two-stage maturation process of APCs post-allergen contact, where signifies the concentration of naive APCs and represents mature APCs. The final equation characterizes the production of IL-6, denoted by I.
Therefore, the model is as follows:
The initial equation represents the variation in the concentration of naive T cells characterized by a constant production rate and a constant death rate . The last three terms signify the differentiation of naive cells into , , and cells upon encountering mature APCs ().
The subsequent three equations illustrate the evolution of the concentrations of , , and in the -compartment. Following [14], these concentrations are related to naive cells, the presented allergen concentration, and their respective cytokines.
In each equation, the first two terms account for migration between the - and -compartments, cell degradation, and the third term indicates the differentiation of naive cells into , , and . Notably, for , differentiation is suppressed by and cells, while for , suppression occurs from and cells. The last term in each equation represents the effect of during chemotherapy with desensitization dose . Additionally, the equations for and incorporate inhibition rates and , while the equation for includes a stimulation rate [6,16,17].
Parameters like v determine the proliferation rate of differentiated T cells from a single naive cell, while and account for autocrine action differences among mature T helper cell subsets. The suppression strengths of , , and are controlled by parameters , , and .
Equations (5)–(7)model concentrations of , , and cells in the -compartment, considering migration to and from the -compartment with migration probability ().
Equations (8) and (9) portray the progression of naive and mature APCs post-allergen contact. The chemotherapeutic drug-induced allergen remains constant. According to [13], cells play a regulatory role in limiting APC maturation.
Naive APCs exhibit a constant production rate and a constant death rate . The third term in Equation (9) represents APC activation by the antigen.
Equation (10) illustrates the production of IL-6, where mature APCs and mature T-cells, following [4], contribute to its production. The first term denotes the death rate of cells, while the second term depicts I cell production by mature APCs, Naive T cells, Th1 cells, Th2 cells, and Treg cells.
To ensure biological accuracy, three delays are introduced as follows:
- is the time necessary for the production of IL-6;
- is the allergen’s propagation time from the central compartment to the peripheral compartment [18];
- is the transit time due to the inter-compartmental migration of Th1, Th2 and Treg cells between the mucosal and non-mucosal compartment. The delay is prescribed by the probability of migration ():
A comprehensive list detailing the model’s parameters and their descriptions is available in Section 6.
Introducing New Notations for State Variables
Initially, the model is introduced using common notations frequently found in the literature, aiming for ease of comprehension from a biological perspective. To facilitate the mathematical analysis of the delay differential equation (DDE) system, subsequently, the following notations are introduced:
- concentration of naive T-cells ( ).
- concentration of Th1 cells in -compartment.
- concentration of Th2 cells in -compartment.
- concentration of cells in -compartment.
- concentration of Th1 cells in -compartment.
- concentration of Th2 cells in -compartment.
- concentration of cells in -compartment.
- concentration of naive APCs.
- concentration of mature APCs.
- concentration of IL-6.
Thus, (1) becomes:
3. General Properties of the Solutions
Because the model describes a biological mechanism, a critical step is to demonstrate the positivity of the solutions.
Define and let denote the space of piecewise continuous functions defined on with values in . The norm in will be defined by
with the Euclidean norm in . For (2), consider the initial data
Proposition 1.
Proof.
Suppose . Then, if , it follows that so will increase for . If , then so increases for . The same reasoning applies to . □
From now on, the initial data for (2) will be supposed positive.
Proposition 2.
are bounded on the whole interval of existence.
Proof.
The following estimation for the second term holds:
It follows that for some positive .
It is elementary to see that
so for some .
Concerning , the variation of constants formula gives
The first term is obviously bounded for . For the second one, we have the following estimations:
so with . □
Proposition 3.
The solution of (2) exists on .
Proof.
The proposition follows from a slight generalization of Theorem 1.2. in [19]. Namely, the condition imposed to the right-hand side of the equation should hold only for the solutions of the equation instead of all functions from . So we must show that, with , a solution of (2) and , the right-hand side of (2),
We will show that there exist constants so that
The proposition is proved. □
4. Equilibria and Stability Analysis
Both equilibrium points hold positive implications for patients. In the scenario of , there exists no immune response to the allergen, while for , the immune response lacks association with allergies, evidenced by (). The stability of these equilibrium points is pivotal for patient well-being.
Subsequently, we analyze the stability properties of these equilibrium points.
4.1. Equilibrium Point
Let with
The matrix A, comprising partial derivatives concerning the undelayed variables and computed at , exhibits the following non-zero elements:
The matrix of partial derivatives concerning the -delayed variables contains the only non-zero elements.
The matrix pertaining to partial derivatives concerning the -delayed variables is zero. Lastly, the matrix , representing partial derivatives concerning the -delayed variables, contains the nonzero elements:
The characteristic equation for is
To address the challenges associated with analyzing the latter part of the characteristic equation, we will employ an alternative approach for the case where . It is noteworthy that the equation represents the characteristic equation of a linear system:
where is diagonal, and follows the Meltzer structure (see [20]). One can then apply the criterion from [20] as presented in Proposition 2.3: If the matrix is Hurwitz, and if the delay is sufficiently small, the system (4) is exponentially stable. Consequently, it follows that if
and this is indeed the case, then the equilibrium point is asymptotically stable.
Below, sufficient conditions ensuring that is Hurwitz are provided. It is worth noting that the polynomial derived from when should be Hurwitz, meaning the roots of the corresponding equation must have negative real parts.
Now, when , the equation transforms into:
Consequently, the roots of the following equations must have real parts smaller than zero:
The following necessary and sufficient conditions ensure that Equation (8) possess roots with negative real parts:
The following theorem results.
Theorem 1.
Proof.
The conclusion is reached by applying Proposition 2.3. from [20] and the preceding reasoning. □
4.2. Equilibrium Point
Let us now consider the equilibrium point
The values for are derived from the following equations:
Substitute these values into the second Equation of (2) and simplify . Let . The subsequent equation yields :
(10) can be expressed as:
Calculate, as previously done, the partial derivatives in , and denote
Revisit now the following definitions from [21]. Consider the system
Assume that is a given real number, is defined by , with the norm . Introduce the partition
(T denotes transposition), where , .
is assumed to be continuous and X maps every (bounded set) into a bounded set, in the domain D defined by
The solutions of (11) are assumed to be unique and uncontinuable: the solutions are defined for every where . If we suppose that (12) holds for all , then the solution is defined for all .
Let denote a solution of the system (11) with initial condition .The same notation will be applied for the solutions of each of the two equations in (14).
Definition 1
- 1.
- z-stable, if for every and every , there exists a such that implies for all . It is called uniformly z-stable if δ does not depend on .
- 2.
- 3.
- Uniformly asymptotically z-stable, if it is uniformly z-stable with respect to in terms of point 1, and one can find such that relation (15) is met uniformly with respect to () from the domain (for any numbers , one can find the number such that for all , )
The following theorem will be used to prove the stability of with respect to some of its variables.
Theorem 2
([21], Th.5.2.1). Suppose there exists a function of class and continuously increasing functions.
with so that, in the domain (12),
where denotes the derivative along system (11), then the equilibrium point x = 0 of system (11) is z-stable.
If, in addition,
then the z-stability is uniform.
Theorem 3.
Suppose , and . Then the equilibrium point exhibits partial stability concerning the variables .
Proof.
Shift the equilibrium to zero by utilizing , where (assuming ). Introduce , and define
Denote as Additionally, it should be noted that the initial condition to establish a (partial) Lyapunov–Krasovskii functional is confirmed by V:
By removing some negative terms and using , we obtain
with being strictly positively defined. It is important to note that, according to Propositions 1 and 2, the terms multiplying and in F are bounded, and therefore,
for some positive C. Therefore, the derivative of V along system (3) is strictly negatively defined for , establishing uniform partial stability as mentioned (see [21,22,23,24,25,26]). □
Remark 1.
The same reasoning can be applied to demonstrate partial stability for the equilibrium points where and .
Remark 2.
The partial asymptotic stability extends to through direct computation of the solution’s behavior.
5. Numerical Simulations
The numerical simulations were obtained with the values for the parameters given in Section 6. These were taken from the existing literature.
When the stability for holds, we will have a successful therapy, and it shows that small quantities of allergens do not cause harm. Fortunately, using the above mentioned parameter values, we can show that the equilibrium point is stable (see Figure 1).
Figure 1.
For a small disturbance in the initial conditions near , the system exhibits stability. Here, .
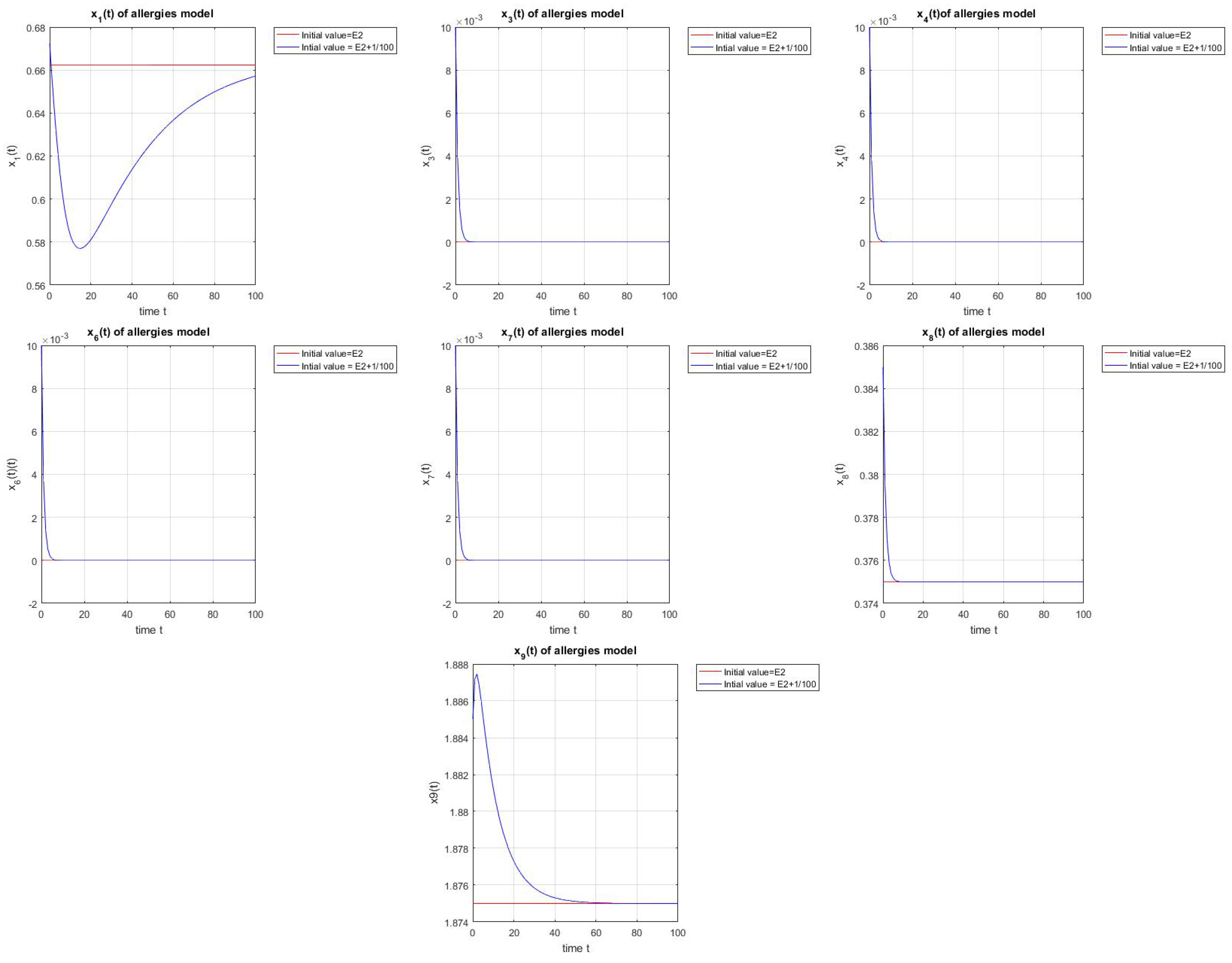
When the stability for holds, we will have successful immunotherapy of allergies induced by chemotherapy because the Th1 cell population will dominate Th2 cell population (see Figure 2 and Figure 3).
Figure 2.
The stable variables in as proved in Theorem 3.
Figure 3.
The remaining variables in . 1.0549 × 10−4, 9.5901 × 10−6, .
6. List of Parameters
The numerical values for the system’s parameters were taken from the relevant literature (see Table 1).
Table 1.
Parameter values.
7. Conclusions
We proposed a mathematical model which describes the evolution of T helper cells, APCs and IL-6 in the case of drug allergies with exposure to drug desensitization during chemotherapy. The novelty of the model consists in a more detailed approach of the biological mechanism. We considered a partition of the body into a central compartment and a peripheral one, where the latter is comprised of the mucosal and the non-mucosal compartments.
The separation of the mucosal and non-mucosal compartments is biologically accurate. It influences the evolution of the cell population, as the migration impacts the number of cells remaining in the non-mucosal compartment.
Another important improvement from the existing literature is the presence of time delays. These help to better capture the correct timeframe of the biological processes. We considered three delays which model the time necessary for the production and migration of different cell populations.
From a mathematical point of view, we studied the existence, boundedness and positivity of solutions. The positivity of the solutions was an essential study to undertake, as we are modeling cell populations. We also gave parameter conditions for stability in the case of some equilibrium points. The stability of the equilibrium points in question illustrate the benefits of drug desensitization. The numerical simulations we performed validate the theoretical results, basically showing that a small amount of allergen does not cause any harm in therapy.
Simply put, this paper introduces a delay differential equations model that describes the cellular changes that occur in the action of the immune system, in the presence of an allergen. The biological insights provided by the model can aid in the desensitization process, a process often necessary in the case of strong allergic reactions or allergies induced by drug therapy. We improved the existing mathematical models on the evolution of the immune system during allergies by offering a more detailed perspective of the biological workings (we introduced time delays and considered that the body is partitioned into two relevant compartments). The stability study performed, along with the numerical simulations and biological interpretations presented, show how one can obtain scenarios for treatment without allergic reactions. The model can be used to find the optimal allergen dose for desensitization and to adjust it accordingly throughout the desensitization process.
Although our focus was on drug-induced allergies, the model is of a versatile nature and can be adapted to describe other types of allergies.
Author Contributions
Validation, I.B.; Formal analysis, A.H.; Writing—original draft, R.A. All authors have read and agreed to the published version of the manuscript.
Funding
This research received no external funding.
Data Availability Statement
The data is included in the manucripts.
Conflicts of Interest
The authors declare no conflicts of interest.
References
- Castells, M. Drug hypersensitivity and anaphylaxis in cancer and chronic inflammatory diseases, the role of desensitizations. Front. Immunol. 2017, 8, 1472. [Google Scholar] [CrossRef]
- Abdullah, R.; Badralexi, I.; Halanay, A. Stability Analysis in a New Model for Desenzitization of Allergic Reactions Induced by Chemotherapy of Chronic Lymphocytic Leukemia. Mathemaics 2023, 11, 3225. [Google Scholar] [CrossRef]
- Berger, A. Th1 and Th2 responses: What are they? BMJ 2000, 321, 424. [Google Scholar] [CrossRef]
- Gubernatorova, E.; Gorshkova, E.; Namakanova, O.; Zvartsev, R.; Hidalgo, J.; Drutskaya, M.; Tumanov, A.; Nedospasov, S. Non-redundant functions of IL-6 produced by macrophages and dendritic cells in allergic airway inflammation. Front. Immunol. 2018, 9, 2718. [Google Scholar] [CrossRef] [PubMed]
- Brahmakshatriya, V.; Kuang, Y.; Devarajan, P.; Xia, J.; Zhang, W.; Vong, A.M.; Swain, S.L. IL-6 Production by TLR-Activated APC Broadly Enhances Aged Cognate CD4 Helper and B Cell Antibody Responses In Vivo. J. Immunol. 2017, 198, 2819–2833. [Google Scholar] [CrossRef]
- Dienz, O.; Rincon, M. The effects of IL-6 on CD4 T cell responses. Clin. Immunol. 2009, 130, 27–33. [Google Scholar] [CrossRef] [PubMed]
- Hong, D. Desensitization for allergic reactions to chemotherapy. Yonsei Med. J. 2019, 60, 119. [Google Scholar] [CrossRef]
- Sancho-Serra, M.D.; Simarro, M.; Castells, M. Rapid ige desensitization is antigen specific and impairs early and late mast cell responses targeting fceri internalization. Eur. J. Immunol. 2011, 41, 1004–1013. [Google Scholar] [CrossRef] [PubMed]
- Etemadifar, M.; Salari, M.; Saeri, M.; Sigari, A.A.; Ebrahimi, S. Rituximab induced cytokine release syndrome in an MS patient: A case report. Clin. Case Rep. 2021, 9, e04407. [Google Scholar] [CrossRef] [PubMed]
- Chen, W. Pharmacokinetic and Pharmacodynamic Modeling of Erythropoiesis. Ph.D Thesis, Drexel University, Philadelphia, PA, USA, 2010; pp. 27–30. [Google Scholar]
- Segel, L.A.; Fishman, M.A. Modeling immunotherapy for allergy. Bull. Math. Biol. 1996, 58, 1099–1121. [Google Scholar]
- Dambeck, H.; Metzner, G.; Behn, U. Modeling Th1-Th2 regulation, allergy, and hyposensitization. In Dynamical Modeling in Biotechnology; Lectures Presented at the EU Advanced Workshop; World Scientific: Singapore, 2001; pp. 227–243. [Google Scholar]
- Fouchet, D.; Regoes, R. A Population Dynamics Analysis of the Interaction between Adaptive Regulatory T Cells and Antigen Presenting Cells. PLoS ONE 2008, 3, e2306. [Google Scholar] [CrossRef]
- Gross, F.; Metzner, G.; Behn, U. Mathematical modeling of allergy and specific immunotherapy: Th1, Th2 and Treg interactions. J. Theor. Biol. 2011, 269, 70–78. [Google Scholar] [CrossRef] [PubMed]
- Vogel, R.; Behn, U. Th1–Th2 Regulation and Allergy: Bifurcation Analysis of the Non-Autonomous System. Math. Model. Biol. Syst. 2008, 2, 145–155. [Google Scholar]
- Diehl, S.; Anguita, J.; Hoffmeyer, A.; Zapton, T.; Ihle, J.N.; Fikrig, E.; Rinco, M. Inhibition of Th1 Differentiation by IL-6 is Mediated by SOCS1. Immunity 2000, 13, 805–815. [Google Scholar] [CrossRef]
- Friedman, A.; Liao, K.L.; Bai, X.F. Mathematical modeling of interleukin-27 induction of anti-tumor t cells response. PLoS ONE 2014, 9, e91844. [Google Scholar]
- Wu, G. Calculation of steady-state distribution delay between central and peripheral compartments in two-compartment models with infusion regimen. Eur. J. Drug Metab. Pharmacokinet. 2002, 27, 259–264. [Google Scholar] [CrossRef]
- Kharitonov, V.L. Time-Delay Systems: Lyapunov Functionals and Matrices; Springer: Berlin/Heidelberg, Germany, 2013. [Google Scholar]
- Domoshnitsky, A.; Friedman, E. A positivity-based approach to delay-dependent stability of systems with large time-varying delays. Syst. Control Lett. 2016, 97, 139–148. [Google Scholar] [CrossRef]
- Rumyantsev, V.V.; Vorotnikov, V.I. Foundations of Partial Stability and Control; Publisher: Nijnii Tagil, Russia, 2014. (In Russian) [Google Scholar]
- Aleksandrov, A.; Aleksandrova, E.; Zhabko, A.; Chen, Y. Partial stability analysis of some classes of nonlinear systems. Acta Math. Sci. 2017, 37, 329–341. [Google Scholar] [CrossRef]
- Corduneanu, C. On partial stability for delay systems. Ann. Pol. Math. 1975, 29, 357–362. [Google Scholar] [CrossRef]
- Halanay, A. Differential Equation: Stability, Oscillations, Time-Lags; Academic Press: New York, NY, USA, 1966. [Google Scholar]
- Hatvani, L. On partial asymptotic stability and instability, I (Autonomous systems). Acta Sci. Math. 1983, 45, 219–231. [Google Scholar]
- Vorotnikov, V.I. Partial Stability and Control: The State-of-the-Art and Development Prospects. Ph.D. Thesis, Ural State Technical University, Nizhni Tagil, Russia, 2003. [Google Scholar]
- Kim, P.; Lee, P.; Levy, D. A theory of immunodominance and adaptive regulation. Bull. Math. Biol. 2010, 73, 1645–1665. [Google Scholar] [CrossRef] [PubMed]
- Nazari, F.; Pearson, A.T.; NoÈ, J.E.; Jackson, T.L. A mathematical model for IL-6-mediated, stem cell driven tumor growth and targeted treatmen. PLoS Comput. Biol. 2018, 14, e1005920. [Google Scholar] [CrossRef] [PubMed]
- Silva, J.; Morais, R.; Rodrigues da Silva, I.; Adimy, M.; Mancera, P. A Mathematical model for treatment of papillary thyroid cancer using the allee effect. J. Biol. Syst. 2020, 28, 701–718. [Google Scholar] [CrossRef]
Disclaimer/Publisher’s Note: The statements, opinions and data contained in all publications are solely those of the individual author(s) and contributor(s) and not of MDPI and/or the editor(s). MDPI and/or the editor(s) disclaim responsibility for any injury to people or property resulting from any ideas, methods, instructions or products referred to in the content. |
© 2024 by the authors. Licensee MDPI, Basel, Switzerland. This article is an open access article distributed under the terms and conditions of the Creative Commons Attribution (CC BY) license (https://creativecommons.org/licenses/by/4.0/).


