Abstract
This research focuses on biological systems with sexual reproduction in which female and male individuals coexist together, forming female–male couples with the purpose of procreation. The couples can originate new females and males according to a certain probability law. Consequently, in this type of biological systems, two biological phases are involved: a mating phase in which the couples are formed, and a reproduction phase in which the couples, independently of the others, originate new offspring of both sexes. Due to several environmental factors of a random nature, these phases usually develop over time in a non-predictable (random) environment, frequently influenced by the numbers of females and males in the population and by the number of couples participating in the reproduction phase. In order to investigate the probabilistic evolution of these biological systems, in previous papers, by using a methodology based on branching processes, we had introduced a new class of two-sex mathematical models. Some probabilistic properties and limiting results were then established. Additionally, under a non-parametric statistical framework, namely, not assuming to have known the functional form of the offspring law, estimates for the main parameters affecting the reproduction phase were determined. We now continue this research line focusing the attention on the estimation of such reproductive parameters under a parametric statistical setting. In fact, we consider offspring probability laws belonging to the family of bivariate power series distributions. This general family includes the main probability distributions used to describe the offspring dynamic in biological populations with sexual reproduction. Under this parametric context, we propose accurate estimates for the parameters involved in the reproduction phase. With the aim of assessing the quality of the proposed estimates, we also determined optimal credibility intervals. For these purposes, we apply the Bayesian estimation methodology. As an illustration of the methodology developed, we present a simulated study about the demographic dynamics of Labord’s chameleon populations, where a sensitivity analysis on the prior density is included.
Keywords:
mathematical modeling; dynamical systems; branching processes; two-sex processes; parametric inference; bivariate power series distribution family; Bayesian estimation methodology MSC:
60J80; 60J85; 62M20
1. Introduction
An issue that has aroused great interest in the scientific literature has been the mathematical modeling of dynamical systems formed by individuals of the same nature that coexist together. Usually, such systems evolve over time in a non-predictable environment. Hence, deterministic mathematical models are not appropriated to describe their demographic dynamics. Some methodologies for the modeling of dynamical systems, such as procedures based on population viability analysis, are used in conservation biology (see, e.g., refs. [1,2]) or procedures concerning compartmental modeling, applied in epidemiology, physiology, pharmacology, and related sciences (see, e.g., refs. [3,4]) require information about mortality rates, growth rates, environmental variables, etc. In practice, such information is difficult to obtain. Consequently, these methodologies are not usually feasible to apply. Models based on other mathematical methods have not been sufficiently developed.
We have considered the mathematical approximation provided by the branching process theory. This theory investigates stochastic models to describe the evolution over time of systems whose components, after a certain life period, reproduce and die in such a way that transitions from one state to another of the system are made according to probability laws. Branching processes are simple to analyze and have wide applicability as mathematical models for a great variety of phenomena. They particularly play a crucial role in studies of the dynamics of biological systems. For theoretical concepts, methodological results, and interesting applications concerning branching processes, we refer the reader to some classical monographs; see, e.g., refs. [5,6,7].
In particular, multi-type branching processes are mathematical models describing the dynamics of populations where several types of individuals coexist together; see, e.g., ref. [8]. Migratory phenomena in multi-type branching processes were first considered in ref. [9]. From then on, these special processes have been treated by various authors in very different frameworks. In fact, branching processes with immigration as models of two-type cell populations in vivo were investigated in refs. [10,11]. In a genetic setting, see, e.g., refs. [12,13]; the spacial dispersion of a neutral allele has been described through multi-type branching processes in which the corresponding types represent colonies among which individuals can migrate. By considering two-type branching processes in random environments, optimal population growth was studied when migrations between habitats occurred in ref. [14] and related papers [15,16]. Multi-type branching processes with immigration in a random environment were applied as models for a class of polling systems in ref. [17]. See also the contributions, based on branching processes, provided in refs. [18,19] in nuclear physics and complex contagion adoption dynamics, respectively, the survey [20] and the references cited therein.
In this work, let us focus our attention on two-sex biological systems with sexual reproduction in which females and males co-exist with the purpose of procreation. In this type of systems, two important biological phases must be considered: a mating phase in which female–male couples are formed and a reproduction phase in which each couple, independently of the others, produces new female and male individuals. It should be noted that the inclusion of the mating phase introduces a mathematical complexity not previously considered in modeling through multi-type branching processes. With the intention of providing solutions to this added mathematical complexity, several two-sex branching processes have been introduced; see, for details, the surveys [21,22]. Usually, due to environmental factors of a random nature, mating and reproduction take place in a non-predictable environment. In fact, we will assume that both phases develop over time in a variable environment affected by the number of couples formed in the population. In a previous paper (see ref. [23]), in order to describe the evolution of this type of biological systems, a class of discrete-time two-sex branching processes was introduced and some probabilistic results were then established. Furthermore, in ref. [24], under a non-parametric statistical context, estimates were proposed for the main reproductive parameters involved in the mathematical model. The motivation behind the present work is to continue this research line focusing the interest on statistical inference under a parametric framework. More specifically, we will consider offspring probability laws belonging to the family of bivariate power series distributions. This family of distributions includes the most important offspring probability laws usually considered in the modeling of biological populations with sexual reproduction (bivariate Poisson, bivariate geometric, trinomial, or negative trinomial distributions). As innovative scientific contributions, by considering a Bayesian perspective, we determine estimators for the main probabilistic parameters involved in offspring laws belonging to the aforementioned family of probability distributions, and we also study their accuracy. These parameters play a crucial role in the reproductive phase of the biological species with sexual reproduction, and consequently, they have transcendental importance in their demographic dynamics. In particular, the results obtained will be of interest in modeling the population dynamics of semelparous biological species, namely, species characterized by a single reproductive episode before death.
This work is organized as follows: In Section 2, we mathematically describe and intuitively interpret the two-sex probability model in a random environment considered. Section 3 is devoted to presenting the parametric estimation methodology developed with the aim of approximating the main reproductive parameters involved in the probability model. For this purpose, the necessary information regarding the bivariate power series distribution family is provided. By using the Bayesian estimation methodology, we determine estimates for such parameters and also the corresponding 95% optimal credibility intervals. To illustrate the proposed statistical methodology, a simulated study about the demographic dynamic of Labord’s chameleon populations is presented in Section 4. Concluding remarks and some directions for research are given in Section 5.
2. Probability Model
Let us consider two-sex biological systems (populations) where mating and reproduction are developed in a non-predictable environment influenced by the number of couples formed in the population. With the aim of describing the probabilistic evolution over time of this type of biological systems, in ref. [23] was introduced a class of discrete-time two-sex branching processes defined through the stochastic sequences and , where , , and are random variables representing, respectively, the numbers of couples, females, and males, in the population at time (generation) n.
Initially, we assume a positive number of couples in the population, . The two-sex probability model is then defined as follows:
where the empty sum is assumed to be and denotes the non-negative integers. In this stochastic model, given that at the n-th generation , the functions and the random variables are involved,
- is a deterministic function, defined on and taking values in , referred to as mating function. Its role is to determine the number of female–male couples formed. It is a function assumed to be non-decreasing in its two arguments such that
- is a non-negative integer-valued random variable. Its role is to determine the number of couples that will participate in the reproduction phase (called progenitor couples) at the n-th generation. For each fixed, the variables , are assumed to be independent and identically distributed (i.i.d.). For each , it is also considered that and , .Assume that ; then independently of n are i.i.d. random vectors, with and representing, respectively, the numbers of female and male individuals descending from the i-th progenitor couple at generation n. Simply, the probability law of will be denoted as , , whereIt is referred to as the offspring distribution when j progenitor couples take part in the reproductive phase. Clearly, .
Remark 1.
Sequence , defined in (1), is a stochastic process representing the evolution of the numbers of females and males in the population in an environment that changes, randomly in time, influenced by the number of couples formed in the population. Indeed, if at time n, we have k couples formed in the population, then the mating function and the offspring distribution governing the mating and reproduction phases are given by and , respectively. Furthermore, in this two-sex model, the immigration/emigration of couples in the population is also considered. In fact, when , then immigrant couples come to the population from external populations and they take part in the reproduction phase. When , then couples leave the population and they do not take part in the reproductive phase.
Remark 2.
In addition to its theoretical interest, model (1) includes as particular cases the mathematical models investigated in refs. [25,26,27,28]. This class of two-sex processes has also interesting applications. In fact, as mentioned in the previous section, it can be applied as a mathematical model to describe the probabilistic evolution of semelparous species. Semelparity, sometimes called big-bang reproduction, occurs in very diverse biological species, including amphibians (e.g., Hyla frogs), arachnids (e.g., Pardosa lycosidae spider, Australian redback spider, desert spider, or black widow spider), fish (e.g., Pacific salmon, or sockeye salmon), insects (e.g., some butterflies, cicadas, or mayflies), mammals (e.g., some didelphids or dasyurid marsupials), mollusks (some squids or octopuses), reptiles (e.g., Labord’s chameleon, or some lizards), etc. See ref. [29].
3. Estimation of Parameters
Let us consider the stochastic model described in (1). Clearly, the offspring laws will play a crucial role in the dynamics of this class of two-sex systems. Hence, it is of great methodological and practical importance to determine close approximations for the main parameters involved in such offspring laws. In ref. [24], with no assumption about the functional form of the offspring law (non-parametric setting), estimates for such parameters were determined. Now, in this Section, with the purpose of obtaining more accurate estimates, we will investigate this issue from a parametric point of view. Simply, we will consider a positive number of offspring distributions as follows:
In fact, let be a partition of (set of positive integers), namely,
Given that at time n, , the corresponding offspring distribution is then determined by considering the following expression:
where and 0 otherwise.
From now on, we will assume that , belongs to the bivariate power series distribution family. This well-known parametric family of distributions includes, as particular cases, the most usual probability laws considered in biological reproductive phenomena. The section is organized as follows: First, in Section 3.1, we provide general information about such a family of probability distributions. Then, in Section 3.2, by using the Bayesian estimation methodology, we determine accurate approximations for the main parameters involved in the reproductive phase. Finally, in Section 3.3, with the purpose of evaluating the quality of the estimates, we derive optimal credibility sets for such parameters.
3.1. Bivariate Power Series Distribution Family
Assume that the offspring distributions given in (2) belong to the bivariate power series distribution family. Hence, can be expressed in the following functional form:
where, for , are vectors of unknown parameters and are functions of f and m.
Let and be, respectively, the expected numbers of females and males produced per couple when is the offspring distribution, i.e., when the number of progenitor couples belongs to . Additionally, let
be the corresponding variances and covariance associated with . From (3), it is easy to check the following:
3.2. Bayesian Estimation
Assume the observation, up to a certain generation where is reached, of the variables , , and . Therefore, we will have available the following data sample:
where , , and denote, respectively, the observed values for , , and , . From this sample information, we will determine estimates for the parameters involved in the corresponding observed offspring distributions. We will study this inferential question from the Bayesian perspective.
Suppose that , . Taking into account that , we deduce the following:
where we remember that . Now, from (3),
Let us define the following:
with if and 0 otherwise. Thus, represents the number of times that has intervened as offspring distribution in the reproduction process. Clearly, from the sample , it will only be possible to estimate vectors provided that . Let us introduce the following set:
If we denote by the corresponding likelihood function, then from (6) and (7), we derive the following:
where, for ,
The Bayesian methodology requires, as a starting point, expressing the beliefs about the population by using an appropriate prior density on the space . Now, taking into account expression (8), an appropriate conjugate class of prior densities, flexible enough to describe several prior beliefs (see ref. [6], page 140), is given by the following:
where , , and are real constants such that
Remark 4.
Note that, given a certain parameter , by considering a squared error loss function and provided that , we deduce the following Bayes estimator based on :
Taking into account Remark 4, in order to determine Bayes estimators for and , , based on , we will assume a squared error loss function and we will consider the conjugate class of prior densities on given in (9). Therefore, by taking in expression (11),
we will obtain the following expressions for the Bayes estimates about the expected numbers of females and males per couple concerning the offspring distribution :
Analogously, for , by taking in (11),
we will derive the Bayes estimates for the variances and covariance concerning the offspring distribution as follows:
Remark 5.
With the purpose of explicitly determining the previous Bayes estimates, it will be necessary to compute through the integral given in (10). Sometimes (see, e.g., the illustrative study presented in the next section), it will be possible to analytically calculate that integral. When an analytical solution is not possible, then the computation of this integral must be performed by numerical or approximated methods. For this purpose, the so-called Laplace method provides reasonable approximations; see ref. [31].
3.3. Optimal Credibility Sets
From the posterior distributions , we can determine the highest posterior density (HPD) credibility sets as follows:
where, given a credibility coefficient , the constant c is chosen such that
Hence, by using the posterior densities of and , , we can derive the corresponding HPD credibility sets. It is not easy to obtain closed expressions for such posterior densities. Next, we propose a procedure, based on the Monte Carlo method, to obtain accurate approximations. The posterior densities , , , and can be approximated by using the following computational algorithm:
- To generate a sufficiently large number of values for from the posterior density ;
- To estimate the posterior densities of and , , with the data simulated in step 2. To this end, Gaussian kernel estimation can be used; see e.g., [32].
Remark 6.
The prior density is an element that could affect the results of the algorithm. In order to check this possibility, it would be advisable to perform a sensitivity analysis.
4. Simulated Study
We now present an application of model (1) to the dynamics of Labord’s chameleon populations. Labord’s chameleon (Furcifer labordi) is a native reptile of southwestern Madagascar where it usually lives in dry deciduous forests. It is considered the shortest-lived tetrapod animal. In fact, it spends most of its life in the developing embryo phase (8 to 9 months), and it experiences rapid growth. It has a short lifespan (4 to 5 months), reaching its sexual maturity at an early age (2 months).
This species of chameleon constitutes a particular example of semelparous life (progenitors die shortly after reproducing). Their mating and reproductive phases, highly conditioned by the number of female–male couples in the habitat, must adapt to the temporal limitations, existing an intense competition and fighting between males. It has been deduced that they possess a wide range of different mating systems, generally polygamous mating. Each male can mate with more than one female, and the females can mate with different males during the same ovarian cycle (the male color change could affect the choice of partner). The female lays a clutch of eggs, and the progenitor male and female die. Some studies reported that females can lay between six and eight eggs. Due to various random factors, mainly predators and environmental conditions, a high percentage of eggs will not hatch. For more information about this interesting biological species, see, e.g., ref. [33].
There are no rigorous studies in the specialized scientific literature about their social organization and also about their mating and reproduction strategies. The few studies that have been carried out are based on monitoring experiments through radio telemetry; see refs. [34,35]. From the information recorded, it has been detected that females exhibit high habitat fidelity, moving small cumulative and linear distances with low dispersion rates. Males move greater distances, in a less predictable manner, with higher dispersal rates than females. In these experimental studies, some information on the occurrence of reproductive events is given. However, no information is provided about the estimation of the main parameters affecting the reproductive phase. The computation of such estimates is crucial to understanding the demographic dynamics of these species. The application of the estimation methodology considered in the previous section could provide reasonable approximations for such parameters.
Unfortunately, there are no real data available on the demographic dynamics of this reptile species. Next, taking into account the singular characteristics of this biological species, a simulated study is presented where mating and reproduction phases are assumed to be close to reality. In fact, let us consider a biological system formed by Labord’s chameleons. Given that, at time n, we have couples in the population, let us assume the following population dynamics:
- Mating phase.We consider the sequence of mating functions where, for ,with representing an appropriate threshold for the number of couples formed in the population.
- Reproduction phase.We consider the sequence of random variables where andwith and being positive integers ( and denoting a random variable distributed according to a Poisson law with the mean . Taking into account the number of progenitor couples, determined by the random variable , involved in the reproduction , offspring distributions are considered as follows:where, for , is the trinomial probability law as follows:
Remark 7.
Thus, we are considering a biological population with sexual reproduction that develops in an environment that, influenced by the number of couples formed in the population, changes over time. In fact, if, in a certain generation, there have been formed k couples, then, if , the mating function is (mating with perfect fidelity), and if , then it is (completely promiscuous mating). According to the first mating function, the females and males practice fidelity (they are allowed to have at most one mate). According to the second mating function, in each generation, a dominant male mates with each female (the other males do not participate in the mating process). Moreover, the number of progenitor couples in such a generation is randomly determined through the random variable . Notice that if , then using the fact that , the immigration of couples is promoted. On the contrary, if , then using the fact that , the emigration of couples is promoted. The progenitor couples produce new female and male individuals according to a trinomial probability distribution, whose parameters , , and change depending on or .
Note that that the expression for the offspring distribution given in (12) does not fit the functional form given in (3) for the bivariate power series distribution family. Making the following change in the parameters:
it is easy to verify that the distribution given in (12), written in terms of the new parameters, has the following expression:
which is a particular case of (3) where
Hence, the prior density proposed in (9) will take the following form:
In this case, provided that , the constants can be calculated analytically as follows:
where, for , denotes the classical Gamma function.
On the other hand, provided that , according to the methodology developed in the previous section, the corresponding posterior density in terms of , and is given by the following:
where we remember that, for ,
and .
Clearly, (15) can be expressed in terms of the original parameters and . To this end, we have to undo the transformation (13). Now, in the Bayesian framework, the parameters are the random variables associated with the densities, so it will be necessary to apply the well-known change of variable theorem. Taking into account that the Jacobian of transformation (13) is equal to , we deduce that the posterior density, in terms of , , and , is given by the following:
which is the product of density functions of two Dirichlet probability distributions with the parameters , and , .
Remark 8.
Applying a similar reasoning to the prior density (14), we deduce that the prior density expressed in terms of , , and is also a product of independent Dirichlet probability distributions with the parameters , , and , . Though this fact does not affect to the inference performed in this model, it does allow us to express our beliefs on the behavior about the biological species under consideration in the values of the hyperparameters , , and , .
On the basis of the moments of a Dirichlet distribution (see, e.g., ref. [36], page 488), we then determine the following Bayes estimates for the means, variances, and covariance of the reproductions laws:
- ,
- ,
- .
Moreover, in order to compute optimal credibility sets (HPD intervals) for these parameters, we will use the posterior density of , that is, the Dirichlet distribution with the parameters , , and . Consequently, the corresponding marginal distribution of , is a Beta law with the parameters and . Using this fact, and the algorithm described in Section 3.3, we can compute the HPD intervals for , , and , .
Under these conditions, considering initially couples in the habitat, we have performed a simulation for Labord’s chameleon population previously defined. As illustration, we have taken the following values for the constants included in the mating and reproduction phases considered in the two-sex model:
Consequently,
Remark 9.
The parameters used for the simulation have been chosen according to the information provided in the above-mentioned studies on Labord’s chameleon (see refs. [34,35]). Though, in these studies, no real data were collected in a systematic way, on the basis of such information, we can deduce some suitable values that allow us to carry out the simulation.
We have simulated generations for such a two-sex Labord’s chameleon population. The results obtained in the simulation carried out are presented in Table 1. In fact,
Table 1.
Observed numbers of females (), males (), couples (), progenitor couples (), and the offspring distribution () in the successive generations for a sample trajectory starting with couples.
- In the initial generation, we have couples.
- Since , we derive progenitor couples.
- Consequently, taking into account that , the underlying offspring distribution will be , namely, the trinomial distribution with the parameters , .
- From that trinomial distribution are originated females and males (first generation).
- Then, because , according to the mating function , we deduce that couples are formed in the first generation.
- Since , we derive progenitor couples.
- Thus, the underlying offspring distribution is again ; from the trinomial with the parameters , are generated females and males (second generation), and so on.
From such a simulation, we have the following:
- .
- We obtain that ; i.e., in 18 generations, has been the underlying offspring distribution, namely, in the generations, as follows:
- We obtain that ; i.e., in 32 generations, has been the underlying offspring distribution, namely, in the generations, as follows:
Figure 1 shows the evolution, over successive generations, concerning the number of females and males (left plot) and about the number of couples and progenitor couples (right plot).
Figure 1.
Evolution of the numbers of females (left plot, black line) and males (left plot, red line), couples (right plot, black line), and progenitor couples (right plot, red line).
With the purpose of determining the Bayes estimates, two prior distributions of the form (14) have been chosen. According to Remark 8, it is not difficult to associate the hyperparameters with different beliefs about the reproductive behaviors of Labord’s chameleon.
- (a)
- Non-informative prior. The values chosen for the parameters areWith these values, , have prior distribution , that is, a non-informative Dirichlet.
- (b)
- Strong beliefs that underestimate the reproductive capacity. The values chosen for the parameters areWith these values, , have prior distribution with marginal expected values of 0.2, i.e., smaller than the true values.
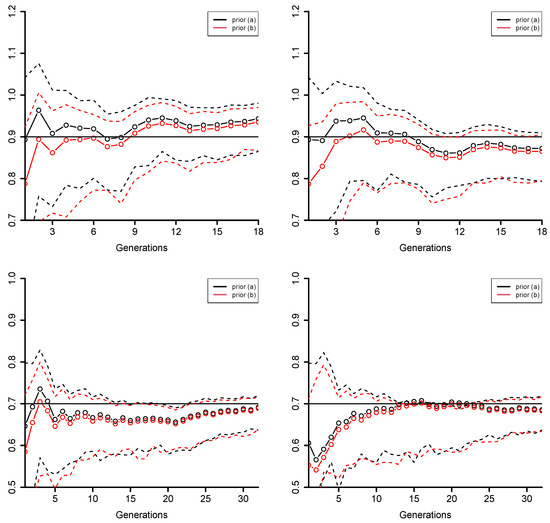
On the basis of these data, we have computed the estimations of the reproductive parameters of our population. In Figure 2, we show the evolution of estimates and 95% HPD intervals for the reproduction means of the two reproduction laws considered for Labord’s chameleon, computed with both prior distributions. We can appreciate the accuracy of estimations for both cases.
Figure 2.
Evolution of estimations (solid lines with points) and 95% HPD intervals (dashed lines) of (upper-left plot) and (upper-right plot) and (bottom-left plot) and (bottom-right plot). Calculations made with prior (a) appear in black color, and those made with prior (b) appear in red color. Horizontal black lines show the true values for the parameters.
In order to numerically assess the accuracy of the proposed estimators for the population means, we include their true values jointly with their estimations and 95% HPD intervals in Table 2. We have included the estimates and HPD intervals calculated in the last generation where each reproduction law was observed.
Table 2.
Estimations and 95% HPD intervals of , , , and based on all the recorded data for each one of the reproduction laws and for each prior distribution.
Additionally, notice that
In Figure 3, we show the evolution of estimates and 95% HPD intervals for the reproduction variances and covariances of the two reproduction laws considered for Labord’s chameleon, computed with both prior distributions. Notice again the acceptable accuracy of the estimates for both prior distributions.
Figure 3.
Evolution of estimations (solid lines with points) and 95% HPD intervals (dashed lines) of (upper-left plot) and (upper-right plot), (middle-left plot) and (middle-right plot), and (bottom-left plot) and (bottom-right plot). Calculations made with prior (a) appear in black color, and those made with prior (b) appear in red color. Horizontal black lines show the true values of the parameters.
Again, in order to assess the accuracy of the proposed estimators for the population variances and covariances, we include their actual values jointly with their estimations and 95% HPD in Table 3. We have used the data until the last generation where each reproduction law was observed.
Table 3.
Estimations and 95% HPD intervals of , based on all the recorded data for each one of the reproduction laws and for each prior distribution.
In this case,
Remark 10.
The computing programs used to simulate data sets from the two-sex mathematical model and to apply the proposed inferential methodology have been developed using the language and environment for statistical computing and graphics R; see ref. [37].
5. Conclusions
In this work, we have continued the research line, initiated in previous papers, about the mathematical modeling of the probabilistic evolution over time experienced by two-sex biological systems with sexual reproduction through branching processes. In this type of two-sex systems, we must take into account two biological phases: a mating phase, in which female–male couples are formed, and a reproduction phase, in which the couples give rise to new female and male individuals. We have assumed the most realistic situation in which both phases take place in a non-predictable environment. Specifically, mating and reproduction take place in variable environments: the mating influenced by the number of couples formed in the system and the reproduction affected by the number of couples that participate in the reproductive parameters (progenitor couples). Actually, the number of progenitor couples could be less or greater than the number of couples formed due, respectively, to the emigration or immigration phenomena of couples. Additionally, it could be equal to the number of couples due to situations in which there are no migratory phenomena, or there are migratory phenomena but they do not affect the total number of couples existing in the population. In the present work,
- By considering a parametric framework, we have focused the attention on statistical inference about the main parameters affecting the reproduction phase. In fact, we have assumed offspring probability distributions belonging to the power series distribution family. This is a very general family of distributions, including, as particular cases, the most frequently used offspring laws in the scientific literature concerning sexual reproduction of biological species.
- We have considered the estimation of parameters under a Bayesian point of view, determining reasonable approximations for the reproductive parameters.
- With the aim of evaluating the quality of the proposed estimates, we have also determined 95% HPD credibility intervals for the parameters under consideration. For this purpose, we have proposed a computational algorithm, based on the Monte Carlo method, to approximate the posterior densities.
- By using the language and environment for statistical computing and graphics R (R-4.4.1.tar.gz), we have developed the necessary software for the simulation of the two-sex probability model and for the practical application of the inferential methodology proposed throughout this work.
- By way of illustration, we have presented a simulated study contextualized in biological systems formed by Labord’s chameleons. Taking into account the singular characteristics of this biological species, we have considered mating and reproduction phases with a dynamic close to reality. In particular, the reproduction phase has been modeled through trinomial probability distributions. Explicitly developing the corresponding expressions for the posterior densities, we have obtained accurate approximations for the reproductive parameters. We have also included a sensitivity analysis about the prior density considered. This analysis has confirmed that the proposed estimates do not experience any significant variation.
In brief, the research carried out provides, as a novel scientific contribution, the determination of reliable approximations from a Bayesian perspective for the main reproductive parameters affecting the demographic evolution of species with sexual reproduction. This issue, not sufficiently studied in the scientific literature, has been investigated in this work by using a mathematical methodology based on the branching process theory. The results derived have a potential impact and are of practical interest for mathematical modeling about the dynamics of two-sex biological systems characterized by a single reproductive episode before death (semelparous species).
Some possible directions for future research are to investigate methodological results about the class of models considered in this research, for instance, results about the extinction probability, the time to extinction, or the asymptotic behavior of the system; to determine inferential results for the parameters by using the moments, maximum likelihood, or conditional least squared methods; or to investigate some possible extensions of the two-sex probability model that make it applicable to iteroparous species. It is also necessary to explore the applications of these models. Of special interest is the application to the ecological problem concerning inhabiting or re-inhabiting habitats with biological species in danger of extinction.
Author Contributions
Conceptualization, M.M.-F. and M.M.-M.; methodology, M.M.-F. and M.M.-M.; software, M.M.-F. and M.M.-M.; validation, M.M.-F. and M.M.-M.; formal analysis, M.M.-F. and M.M.-M.; investigation, M.M.-F. and M.M.-M.; resources, M.M.-F. and M.M.-M.; data curation, M.M.-F. and M.M.-M.; writing—original draft preparation, M.M.-F. and M.M.-M.; writing—review and editing, M.M.-F. and M.M.-M.; visualization, M.M.-F. and M.M.-M.; supervision, M.M.-F. and M.M.-M.; project administration, M.M.-F. and M.M.-M.; funding acquisition, M.M.-F. and M.M.-M. All authors have read and agreed to the published version of the manuscript.
Funding
This research has been supported by the Ministerio de Ciencia, Innovación y Universidades of Spain (grant PID2023-152359NB-I00).
Data Availability Statement
Data are contained within the article.
Acknowledgments
The authors wish to express their gratitude to the referees and the academic editor. The constructive comments and suggestions included in their technical reports have improved the presentation of this paper and have contributed to its better understanding.
Conflicts of Interest
The authors declare they have no conflicts of interest.
References
- Margalida, A.; Colomer, M.A.; Oro, D.; Arlettaz, R.; Donázar, J.A. Assesing the impact of removal scenarios on population viability of a threatened long-lived avian scavenger. Sci. Rep. 2015, 5, 16962. [Google Scholar] [CrossRef] [PubMed]
- Tauler, H.; Real, J.; Hernández-Matías, A.; Aymerich, P.; Baucells, J.; Martorell, C.; Santandreu, J. Identifying key demographic parameters for the viability of a growing population of the endangered Egyptian Vulture Neophron Pernopterus. Bird Conserv. Int. 2015, 25, 246–439. [Google Scholar] [CrossRef]
- Faddy, M.J. Stochastic compartmental models as approximations to more general stochastic systems with the general stochastic epidemic as an example. Adv. Appl. Prob. 1977, 9, 448–461. [Google Scholar] [CrossRef]
- Matis, J.H.; Wehrly, T.E. Stochastic models of compartmental systems. Biometrics 1979, 35, 199–220. [Google Scholar] [CrossRef]
- Asmussen, S.; Hering, H. Branching Processes; Birkhauser Boston, Inc.: Boston, MA, USA, 1983. [Google Scholar]
- Guttorp, P. Statistical Inference for Branching Processes; Wiley: New York, NY, USA, 1991. [Google Scholar]
- Haccou, P.; Jagers, P.; Vatutin, V. Branching Processes: Variation, Growth and Extinction of Populations; Cambridge University Press: Cambridge, UK, 2005. [Google Scholar]
- Mode, C.J. Multitype Branching Processes: Theory and Applications; American Elsevier Publishing Co., Inc.: New York, NY, USA, 1971. [Google Scholar]
- Quine, M.P. The multi-type Galton-Watson process with immigration. J. Appl. Probab. 1970, 7, 411–422. [Google Scholar] [CrossRef]
- Yakovlev, A.Y.; Yanev, N.M. Branching stochastic processes with immigration in analysis of renewing cell populations. Math. Biosci. 2006, 203, 37–63. [Google Scholar] [CrossRef]
- Yakovlev, A.Y.; Yanev, N.M. Limiting distributions for multitype branching processes. Stoch. Anal. Appl. 2010, 28, 1040–1060. [Google Scholar] [CrossRef]
- Crump, K.S.; Gillespie, J.H. The dispersion of a neutral allele considered as a branching process. J. Appl. Probab. 1976, 13, 208–218. [Google Scholar] [CrossRef]
- Pollak, E. Survival probabilities for some multitype branching processes in genetics. J. Math. Biol. 1992, 30, 583–596. [Google Scholar] [CrossRef]
- Durhan, S.D. An optimal branching migration process. J. Appl. Probab. 1975, 12, 569–573. [Google Scholar] [CrossRef]
- Dawson, D.A.; Greven, A. State dependent multitype spatial branching processes and their longtime behavior. Electron. J. Probab. 2003, 8, 1–93. [Google Scholar]
- Fairweather, D.W.; Shimi, I.N. A Multi-type branching process with immigration and random environment. Math. Biosci. 1972, 13, 299–324. [Google Scholar] [CrossRef]
- Vatutin, V.A. Multitype branching processes with immigration in random environment and polling systems. Sib. Adv. Math. 2011, 21, 42–72. [Google Scholar] [CrossRef]
- Pázsit, I. Symmetries and asymmetries in branching processes. Symmetry 2023, 15, 1154. [Google Scholar] [CrossRef]
- Keating, L.A.; Gleeson, J.P.; O’Sullivan, D.G. Multi-type branching process method for modeling complex contagion on clustered networks. Phys. Rev. E. 2022, 105, 034306. [Google Scholar] [CrossRef]
- Ewald, J.; Sieber, P.; Garde, R.; Lang, S.N.; Schuster, S.; Ibrahim, B. Trend in mathematical modeling of host-pathogen interactions. Cell. Mol. Life Sci. 2020, 77, 467–480. [Google Scholar] [CrossRef]
- Hull, D.M. A survey of the literature associated with the bisexual Galton-Watson branching process. Extr. Math. 2003, 18, 321–343. [Google Scholar]
- Molina, M. Two-sex branching process literature. Lect. Notes Stat. 2010, 197, 279–293. [Google Scholar]
- Ma, S.; Molina, M.; Xing, Y. A class of two-sex branching processes with reproduction phase in a random environment. Stochastics 2016, 88, 147–161. [Google Scholar] [CrossRef]
- Molina, M.; Mota, M.; Ramos, A. Statistical inference in two-sex biological populations with reproduction in a random environment. Ecol. Complex. 2017, 30, 63–69. [Google Scholar] [CrossRef]
- Daley, D.J. Extinction conditions for certain bisexual Galton–Watson branching processes. Z. Wahrscheinlichkeitsth. 1968, 9, 315–322. [Google Scholar] [CrossRef]
- Molina, M.; Jacob, C.; Ramos, A. Bisexual branching processes with offspring and mating depending on the number of couples in the population. Test 2008, 17, 265–281. [Google Scholar] [CrossRef]
- Molina, M.; Mota, M.; Ramos, A. Bisexual Galton–Watson branching process with population-size-dependent mating. J. Appl. Probab. 2002, 39, 479–490. [Google Scholar] [CrossRef]
- Xing, Y.; Wang, Y. On the extinction of a class of population-size dependent bisexual branching processes. J. Appl. Probab. 2005, 42, 175–184. [Google Scholar] [CrossRef]
- Ranta, E.; Tesar, D.; Kaitala, V. Environmental variability and semelparity vs. iteroparity as life histories. J. Theor. Biol. 2002, 217, 391–396. [Google Scholar] [CrossRef]
- Khatri, C.G. On certain properties of power-series distributions. Biometrika 1959, 46, 486–490. [Google Scholar] [CrossRef]
- Bernardo, J.M.; Smith, A.F. Bayesian Theory; Wiley: Chichester, UK, 1994. [Google Scholar]
- Silverman, B.W. Density Estimation; Chapman and Hall: London, UK, 1986. [Google Scholar]
- Karsten, K.B.; Andriamandimbiarisoa, L.N.; Fox, S.F.; Raxworthy, C.J. A unique life history among tetrapods: An annual chameleon living mostly as an egg. Proc. Natl. Acad. Sci. USA 2008, 105, 8980–8984. [Google Scholar] [CrossRef]
- Eckhardt, F.; Kappeler, P.M.; Kraus, C. Highly variable lifespan in an annual reptile, Labord’s chameleon (Furcifer labordi). Sci. Rep. 2017, 7, 11397. [Google Scholar] [CrossRef]
- Hudel, L.; Kappeler, P.M. Sex-specific movement ecology of the shortest-lived tetrapod during the mating season. Sci. Rep. 2022, 12, 10053. [Google Scholar] [CrossRef]
- Kotz, S.; Balakrishnan, N.; Johnson, N.L. Continuous Multivariate Distributions, 2nd ed.; Wiley: Hoboken, NJ, USA, 2000. [Google Scholar]
- R Development Core Team. A Language and Environment for Statistical Computing; R Foundation for Statistical Computing: Vienna, Austria, 2009; Available online: http://www.r-project.org (accessed on 15 December 2024).
Disclaimer/Publisher’s Note: The statements, opinions and data contained in all publications are solely those of the individual author(s) and contributor(s) and not of MDPI and/or the editor(s). MDPI and/or the editor(s) disclaim responsibility for any injury to people or property resulting from any ideas, methods, instructions or products referred to in the content. |
© 2024 by the authors. Licensee MDPI, Basel, Switzerland. This article is an open access article distributed under the terms and conditions of the Creative Commons Attribution (CC BY) license (https://creativecommons.org/licenses/by/4.0/).


