Abstract
We consider a two-player finite horizon linear–quadratic Stackelberg differential game. For this game, we study the case where the control cost of a leader in the cost functionals of both players is small, which means that the game under consideration is a cheap control game. We look for open-loop optimal players’ controls of this game. Using the game’s solvability conditions, the obtaining such controls is reduced to the solution to a proper boundary-value problem. Due to the smallness of the leader’s control cost, this boundary-value problem is singularly perturbed. Asymptotic behavior of the solution to this problem is analyzed. Based on this analysis, the asymptotic behavior of the open-loop optimal players’ controls and the optimal values of the cost functionals is studied. Using these results, asymptotically suboptimal players’ controls are designed. An illustrative example is presented.
Keywords:
Stackelberg linear–quadratic differential game; cheap control game; singularly perturbed boundary-value problem; asymptotic analysis; open-loop suboptimal players’ controls MSC:
91A05; 91A10; 91A23; 91A65; 34B08; 34E10; 34E15
1. Introduction
In this paper, a two-player finite horizon linear–quadratic Stackelberg differential game is considered. A feature of the considered game is that the control cost of a leader in the cost functionals of both players is small, meaning that this game is a cheap control game. More general, a cheap control problem is an extremal control problem in which a control cost of at least one decision maker is much smaller than a cost of the state variable in at least one cost functional of the problem. Cheap control problems are important in qualitative and quantitative analysis of many topics in optimal control and differential games theories. Thus, such problems are important in: (1) the qualitative study and analytical/numerical computation of singular controls and arcs (see, e.g., [1,2,3,4,5,6,7,8,9,10,11,12,13,14]); (2) the analysis of limiting forms and maximally achievable accuracy of optimal regulators and filters (see, e.g., [15,16,17,18,19,20,21]); (3) inverse optimal control problems (see, e.g., [22]); and (4) optimal control problems with high gain control in dynamics (see, e.g., [23,24]).
Cheap control differential games and closely related singular differential games appear in various applications. For example, such games appear in robust interception problems with uncertainties (see, e.g., [25]), in robust tracking problems with uncertainties (see, e.g., [26,27]), in pursuit-evasion problems (see, e.g., [13,28,29,30,31,32,33]), in robust investment problems (see, e.g., [34]), and in biology processes (see, e.g., [35]).
The smallness of the control cost yields a singularly perturbed nature of a boundary-value problem associated with a cheap control problem by solvability (control optimality) conditions.
As was mentioned, in this paper, we consider a cheap control differential game. Cheap control differential games were extensively studied in the literature. Thus, in [12,13,14,25,26,29,30,31,32,36] various zero-sum cheap control games were analyzed. Different cheap control Nash equilibrium games were studied in [33,37,38]. However, to the best of our knowledge, a cheap control Stackelberg equilibrium differential game has not yet been studied in the literature. It should be noted that, like a zero-sum differential game and a Nash equilibrium differential game, a Stackelberg equilibrium differential game is not a cooperative game. Moreover, like a Nash equilibrium differential game, a Stackelberg equilibrium differential game is a nonzero-sum differential game. In spite of this, a Stackelberg equilibrium differential game differs considerably from a zero-sum differential game and from a Nash equilibrium differential game. Namely, in contrast to a zero-sum differential game and a Nash equilibrium differential game, players in a Stackelberg equilibrium differential game do not act simultaneously. A Stackelberg equilibrium differential game is a hierarchical game. In this game, one of the players (the leader) makes its best decision based on the sets of possible best decisions of the other players (the followers). Then, each of the followers chooses its best decision (from the aforementioned set), which corresponds to the best decision of the leader. Thus, the leader has an advantage in comparison to the followers. More details on a Stackelberg equilibrium differential game can be found in the book [39]. There are different real-life applications of a Stackelberg equilibrium differential game. Thus, such a game is used in analysis and optimization of supply and marketing channels (see, e.g., the work [40] and references therein). In [41,42], the application of a Stackelberg equilibrium differential game to some production-and-sale problems is considered. Application of a Stackelberg equilibrium differential game to a security (defenders–attackers) problem is presented in [43] (see also the references therein). In [44], the problem of a transponder’s communication channel with multiple-user terminals is modeled by a Stackelberg equilibrium differential game. Application of a Stackelberg equilibrium differential game to analysis and optimization of power systems is proposed in [45].
A small cost of the leader’s control in its cost functional (a cheap control of the leader) can considerably increase the aforementioned advantage of this player. Opposite, a small cost of the follower’s control in its cost functional (a cheap control of the follower) can considerably decrease the leader’s advantage. This circumstance can be important; for instance, in a pursuit-evasion Stackelberg equilibrium differential game where the optimization of a state-dependent part of the leader/follower cost functional is much more essential than the optimization of the control energy expenditure part of the cost functional. Such results in the cases of zero-sum differential games and Nash equilibrium differential games were obtained in [13,25,29,31,32,33].
The main motivation of this (purely theoretical) paper is to study a novel nontrivial class of cheap control differential games. More precisely, in this paper, we consider a Stackelberg finite horizon linear–quadratic differential game with two players (a leader and a follower), and with a small cost of the leader’s control in both cost functionals. We study an asymptotic behavior of an open-loop solution to this game. For this purpose, we consider the boundary-value problem associated with the Stackelberg game by the solvability conditions. Due to the small cost of the leader’s control, the aforementioned boundary-value problem is singularly perturbed in the conditionally stable case. An asymptotic solution to this problem is formally constructed and justified. Based on this solution, asymptotic expansions of the optimal controls of the leader and the follower, as well as asymptotic expansions of the optimal values of the cost functionals, are constructed. Using these results, suboptimal controls of the players are formally designed and justified.
Note that a cheap control problem is closely related with a control problem for a singularly perturbed system. Namely, the former can be converted to the latter by a proper change in the control variable with the small (cheap) cost (see, e.g., [46,47,48,49]). Linear–quadratic Stackelberg differential games for singularly perturbed systems were studied in the works [50,51,52,53,54,55]. However, in these works (in contrast with the present paper), the infinite horizon version of the game was considered, and a suboptimal closed-loop (feedback) solution to the considered game was derived.
It should also be noted that the asymptotic method of solution for the considered cheap control Stackelberg differential game is a kind of an iterations’ method. Another iterations’ methods and their applications to approximate solutions to optimal control problems and differential games can be found in [32,56,57,58,59,60,61,62,63] and the references therein.
This paper is organized as follows. In Section 2, the Stackelberg cheap control game is rigorously formulated. The main notions and assumptions are introduced. The objectives of the paper are stated. In Section 3, the solvability conditions of the considered game are presented. An asymptotic solution to the singularly perturbed boundary-value problem, appearing in these solvability conditions, is formally constructed, and justified in Section 4. Section 5 is devoted to obtaining the main results of the paper. In this section, the asymptotic expansion of the game’s solution is formally derived and justified. Also, the suboptimal players’ controls are formally designed and justified. In Section 6, an illustrative example is presented. Conclusions are given in Section 7.
The following main notations are applied in the paper:
- denotes the n-dimensional real Euclidean space;
- denotes the Euclidean norm either of a vector () or of a matrix ();
- The superscript “” denotes the transposition either of a vector () or of a matrix ();
- denotes the identity matrix of dimension n;
- , where , ,..., , denotes the column block-vector of the dimension with the upper block , the next block , and so on, and the lower block ;
- denotes the real part of a complex number .
2. Problem Statement
2.1. Initial Game Formulation
The following differential equation describes the dynamics of the game:
where is the state vector, , (), , () are the players’ controls; is a given time-instant; and , , are given matrix-valued functions of corresponding dimensions continuous for ; is a given vector.
In what follows, we assume:
- (A1) For any , the matrix has full column rank r.
The cost functionals of the first player (the player with the control is called a leader) and the second player (the player with the control is called a follower) are, respectively,
and
where, for any , , , are given symmetric matrices of corresponding dimensions; the matrix-valued functions , , are continuous for ; is a small parameter.
We assume that:
- (A2) For any , the matrices , are positive semi-definite.
- (A3) For any , the matrices , , and are positive definite.
Remark 1.
In what follows, for the sake of technical simplicity (but without loss of generality), we set , , .
We are going to solve the game, given by differential Equation (1) and the cost Functionals (2) and (3), with respect to the open-loop Stackelberg (hierarchical) equilibrium (solution) . This equilibrium is defined as follows (for more details see, e.g., [39,64,65]).
First of all, let us note that we look for the Stackelberg solution to the game (1)–(3) in the set of all pairs , , , , and the vector-valued functions and are continuous in the interval . Now, for any aforementioned , let
along the trajectories of (1).
Furthermore, let
along the trajectories of (1) with .
Moreover, let
2.2. Transformation of the Game (1)–(3)
In what follows, we assume:
- (A4).
- (A5) The matrix-valued functions , , , and are continuously differentiable in the interval .
- (A6) The matrix-valued functions and are twice continuously differentiable in the interval .
Let be a complement matrix to the matrix for any . Thus, the dimension of the matrix is , and the block-form matrix is invertible for all . Due to Assumption (A6) and the results from [14] (Section 3.3), the matrix-valued function can be chosen as twice continuously differentiable in the interval .
Consider the following matrix-valued functions of :
Remark 2.
Due to the results of [14] (Section 3.3), the matrix is invertible for all . Moreover, the matrix-valued function is twice continuously differentiable with respect to .
Using Remark 1, we obtain (quite similarly to the results of [14] (Section 3.3)) the following assertion.
Proposition 1.
Let Assumptions (A1)–(A6) be valid. Then, Transformation (8) converts System (1) and Functionals (2) and (3) into the following new system and functionals:
where
The matrix is symmetric positive semi-definite, while the matrix is symmetric positive definite for all . Moreover, the matrix-valued functions , , , , and are continuously differentiable in the interval , while the matrix-valued function is twice continuously differentiable in the interval .
Remark 3.
First of all, let us note that the open-loop Stackelberg solution to the differential game (9)–(11) is defined similarly to such a solution to the game (1)–(3). Furthermore, since Transformation (8) is invertible, the games (1)–(3) and (9)–(11) have the same open-loop Stackelberg solution (if it exists), i.e., these games are equivalent to each other. Moreover, due to the form of the matrices and , the game (9)–(11) is simpler than the game (1)–(3). Therefore, in the following, we will deal with the game (9)–(11).
2.3. Main Objectives of the Paper
The objectives of the paper are:
- (i)
- (ii)
- (iii)
3. -Dependent Solvability Conditions of the Stackelberg Game (9)–(11)
For a given , let us consider the following boundary-value problem in the time-interval :
where
Based on the results of the book [39] (Section 7.6), we directly have the following assertion.
4. Asymptotic Solution to the Boundary-Value Problem (17)
4.1. Transformation of Problem (17)
Let us partition the matrices and into blocks as
where the matrices , , , and are of the dimensions , , and , respectively; the matrices and are of the dimensions and , respectively.
Furthermore, let us partition the matrix into blocks as
where the matrices and are of the dimensions and , respectively.
Using the block form (21) of the matrix and the expressions of the matrices and (see Equation (18)), we directly have
where
Also, we partition the vector into blocks as
Due to the expression of (see Equation (18)), the right-hand side of the first differential equation in (17) is singular for . Taking into account this singularity, we look for the components and of the solution to the boundary-value Problem (17) in the following block form:
where the vectors and are of the dimension , and the vectors and are of the dimension r.
Substitution of the block forms of the matrices , , , , , (see Equations (14), (18), (20) and (22)), and the block forms of the vectors , , (see Equations (24) and (25)), into the boundary-value Problem (17), yields after a routine algebra the following equivalent boundary-value problem in the time interval :
Remark 4.
It is important to note that the above made partitioning the matrices , , and the vector (see Equations (20), (21) and (24)), as well as the representation of the state variables and in the block form (see Equation (25)), allow us to partition the first and second equations of the differential system in (17) into two considerably different modes. Namely, the differential equation with respect to is partitioned into two differential equations with respect to and in System (26). The derivative is multiplied by the small parameter , while the derivative is not. This means that the state variable varies much faster than the state variable . Similarly, the differential equation with respect to is partitioned into two differential equations with respect to and in System (26), and the state variable varies much faster than the state variable . Thus, the aforementioned matrices’ partitioning and the state variables’ representation allow us to convert the boundary-value Problem (17) into the explicit form of a singularly perturbed boundary-value problem, namely, Problems (26) and (27). The state variables , and , are slow ones, while the state variables and are fast ones. The differential equations with respect to the fast state variables and (the second and the fourth equations in (26)) are fast modes of System (26), while the other differential equations of this system are its slow modes.
4.2. First-Order Formal Asymptotic Solution to Problems (26) and (27)
Based on the Boundary Functions Method (see, e.g., [66,67]), we look for the first-order asymptotic solution
of Problems (26) and (27) in the form
where
Remark 5.
In Equation (28), the terms with the overbar constitute the so-call outer solution, the terms with the superscript 0 are the boundary corrections in the right-hand neighborhood of , the terms with the superscript f are the boundary corrections in the left-hand neighborhood of . Equations and boundary conditions for the asymptotic solution terms are obtained substituting , , , , , and from (28) into Problems (26) and (27), instead of , , , , , and , respectively, and equating the coefficients for the same power of ε on both sides of the resulting equations, separately depending on t, ξ, and η. Additionally, the following should be noted: if , then, for any , , while, for any , .
4.2.1. Obtaining the Boundary Corrections , , and
The equations for obtaining these boundary corrections are
To obtain the unique solutions of these equations, one should give some additional conditions for the unknown functions. By virtue of the Boundary Functions Method, these conditions are
4.2.2. Obtaining the Boundary Corrections , , and
For these boundary corrections, we obtain the following equations:
Due to the Boundary Functions Method, we require that
4.2.3. Obtaining the Outer Solution Terms , , , , ,
Due to Remark 5 and Equations (32) and (35), the outer solution’s terms , , , , , satisfy the following system of equations in the time interval :
Remark 6.
Resolving the fourth equation in System (36) with respect to , and taking into account the invertibility of the matrix for all , we obtain
Substitution of (38) into the first and fifth equations of System (36), use of Equations (20)–(23), and rearrangement of the sixth equation of this system yield after a routine algebra the following set of four differential equations with respect to , , , and in the time interval :
Remark 7.
Let us note the following. The dimension of each of the state variables , , , and of the differential system in (17) is n. The dimension of the state variables , of the differential system (39) is , while the dimension of the state variables , of this system is n. Hence, differential System (39) is of a lower dimension than differential System (17). Moreover, in contrast with System (17), System (39) is independent of ε.
In what follows, we assume the following.
, .
4.2.4. Control-Theoretic Interpretation of the Boundary-Value Problem (39) and (37)
Consider the following system of differential equations in the time interval :
where and are state variables; is a control variable; and the vector-valued function is assumed to be continuous in the interval .
System (40) is subject to the boundary conditions
The control variable in the boundary-value Problems (40) and (41) is evaluated by the performance index
Proposition 3.
Let Assumptions (A1)–(A7) be valid. Then, the optimal control Problems (40)–(42) have the unique open-loop optimal control
where and are the corresponding components of the solution to the boundary-value Problems (39) and (37). The optimal value of the functional in the optimal control Problems (40)–(42) has the form
where and are the corresponding components of the solution to the boundary-value Problems (39) and (37).
Proof.
First of all, let us observe the following. Due to Proposition 1, the matrix is positive semi-definite for all , while the matrix is positive definite in this time interval. Moreover, due to Assumption (A3) and Equation (18), the matrix is positive semi-definite for all . Using this observation, and based on the results of [68] (Section 9.2, the existence of solution to an optimal control problem) and [69] (Section 2.5, the control optimality conditions), we directly obtain the statements of the proposition. □
4.2.5. Obtaining the Boundary Corrections , and ,
Due to Remark 5 and Equations (32) and (35), we have the following differential equations for these boundary corrections:
By virtue of the Boundary Functions Method [66,67], we require (similarly to (31) and (34)) that the solutions of Systems (44) and (45) satisfy the conditions
Substituting the expression for (see Equation (28)) into the initial condition for (see Equation (27)), equating the coefficients for in the power of 0 on both sides of the resulting equation, and using the first limit equality in (47), we obtain one more condition for , namely
Similarly, substituting the expression for (see Equation (28)) into the terminal condition for (see Equation (27)), equating the coefficients for in the power of 0 on both sides of the resulting equation, and using the second limit equality in (46) and that , we obtain one more condition for , namely
Let , denote the unique symmetric positive definite square root of the symmetric positive definite matrix , and denote the inverse matrix of this square root. Using these matrices, we consider the following block-form matrix:
This matrix is invertible for all , and its inverse matrix is
Using the matrices and , we make the following transformation of the state variables in System (44) and Conditions (46) and (48):
where and are new state variables.
The first equation in (53) yields (subject to the first condition in (55))
Since the matrix is positive definite, then the vector-valued function , obtained in (56), satisfies the first limit equality in (54) if and only if . The latter, along with Equation (55), yields
Hence, the solution to the first equation in (53), subject to the initial condition in (55), is identically zero, i.e.,
Solving the second equation in (53) subject to the initial condition, obtained in (57), we have
Since the matrix is positive definite, then the vector-valued function , obtained in (59), satisfies the second limit equality in (54).
Thus, the vector-valued functions and , obtained in (58) and (59), respectively, constitute the solution to System (53) satisfying Conditions (54) and (55). Substituting this solution into (52) and using (50), we obtain, after a routine rearrangement, the solution to System (44) satisfying Conditions (46) and (48),
This solution satisfies the inequalities
where is some constant, and is the minimal eigenvalue of the matrix .
4.2.6. Obtaining the Boundary Corrections , , and
Using Remark 5 and Equation (32) yields the following equations for obtaining these boundary corrections:
Similarly to the results of Section 4.2.1 (see Equation (31)), we look for the solution to System (63) subject to the conditions
4.2.7. Obtaining the Boundary Corrections , , and
4.2.8. Obtaining the Outer Solution Terms , , , , ,
Using the second equation in (36), and Equations (65) and (69), we obtain (similarly to Equations (36) and (37)) the following system of equation for the outer solution’s terms , , , , , in the time interval :
Note that, for System (70), the assertion similar to Remark 6 is valid.
From the second equation of System (70), we directly have the expression for
Furthermore, resolving the fourth equation in System (70) with respect to and taking into account the invertibility of the matrix for all , we obtain
By substitution of (73) into the first and fifth equations of System (70), we obtain (quite similarly to System (39)) the following system of four differential equations with respect to , , , and in the time interval :
The system of the differential Equations (74) is subject to the boundary conditions (71). Similarly to System (39), System (74) is of the lower dimension than the differential system in (17).
Remark 9.
4.2.9. Obtaining the Boundary Corrections , and ,
Following Remark 5, and using Equations (32), (35), (60), and (62), we have the differential equations for these boundary corrections:
Moreover, similarly to (48) and (49), we obtain two additional conditions for the solutions of Systems (75) and (76),
Using the matrices and (see Equations (50) and (51)), we make (similarly to (52)) the following transformation of the state variables in System (75) and Conditions (77) and (79):
where and are new state variables.
Transformation (81) converts System (75) and Conditions (77) and (79) to the system
and the conditions
where
By virtue of the inequalities in (61), we immediately have the estimates for and
where and are some constants; the positive constant was introduced in (61).
Solving the first equation in (82) subject to the first condition in (83), and using the positive definiteness of and the estimate for in (86), we obtain, after a routine algebra,
This equation, along with Equation (84), yields
Due to the positive definiteness of the matrix and the estimate for (see Equation (86)), the vector-valued function , given by (89), satisfies the limit condition in (83).
Now, using Equations (81) and (87) and (89), we obtain the solution to System (75) subject to Conditions (77) and (79)
Due to the positive definiteness of the matrix , the estimates in (86) and Equations (87) and (89), this solution satisfies the inequalities
where and are some constants.
Proceed to the solution to System (76) subject to Conditions (78) and (80). Similarly to (81), we make the following transformation of the state variables in Problems (76), (78), and (80):
where and are new state variables.
The second equation in (93) yields (subject to the second condition in (95))
Since the matrix is positive definite, then the vector-valued function , obtained in (96), satisfies the second limit equality in (94) if and only if . The latter, along with Equation (95), yields
Hence, the solution to the second equation in (93) subject to the aforementioned condition , is identically zero, i.e.,
Solving the first equation in (93) subject to the condition obtained in (97), we have
Since the matrix is positive definite, then the vector-valued function , obtained in (99), satisfies the first limit equality in (94).
Thus, the vector-valued functions and , obtained in (99) and (98), respectively, constitute the solution to Problems (93)–(95). Substitution of this solution into (92), and use of Equation (50), yields, after a routine rearrangement, the solution to System (76) satisfying Conditions (78) and (80)
This solution satisfies the inequalities
where and are some constants, and is the minimal eigenvalue of the matrix .
4.3. Justification of the First-Order Asymptotic Solution to Problems (26) and (27)
Using the results of Section 4.2.1, Section 4.2.2, Section 4.2.3, Section 4.2.5, Section 4.2.6, Section 4.2.7, Section 4.2.8 and Section 4.2.9, we can rewrite the components of the first-order asymptotic solution to Problems (26) and (27) (see Equation (28)) as follows:
Lemma 1.
Proof.
First of all, let us observe the following. The differential system (26) is linear homogeneous. Furthermore, due to Proposition 1 and Equations (18) and (20)–(23), all of the matrix-valued coefficients in this system are continuously differentiable in the interval . Moreover, the matrix-valued coefficients and are twice continuously differentiable in this interval. The boundary Conditions (27) are explicit and linear. Moreover, the boundary conditions for the fast state variables and are given at the opposite ends of the interval . Namely, the condition for is given at , while the condition for is given at .
Let us consider the matrix of the coefficients for the fast state vector in the set of the fast modes of System (26), i.e., the matrix
The matrix-valued function is of the dimension , and it is continuous with respect to . By , , we denote the eigenvalues of the matrix . We are going to show that, for all and all sufficiently small , r eigenvalues , of this matrix satisfy the inequality
while the other eigenvalues satisfy the inequality
where is some constant independent of .
Along with , let us consider the matrix-valued function
where the matrix-valued functions and are given by (50) and (51), respectively.
Like the matrix-valued function , the matrix-valued function is also continuous with respect to . Moreover, for any pair , both matrices and have the same set of eigenvalues , ..
Setting in (108), we obtain
For any , the eigenvalues of are , and , , where , are the eigenvalues of the matrix . The latter matrix is symmetric and positive definite for all . Therefore, , are real and positive for all . Moreover, since the matrix-valued function is continuous in the interval , then, due to the results of [70], the functions , also are continuous for . This feature, along with the aforementioned positiveness of these functions directly yields the existence of a positive number such that the following inequality is satisfied:
Furthermore, since, for any , the matrix-valued function is continuous with respect to , then
meaning, along with (110), that
The matrix-valued function , being continuous with respect to , is continuous in uniformly with respect to . Therefore, by virtue of [70], the eigenvalues , are continuous in uniformly with respect to . This observation, along with the inequalities in (111), yields the existence of a number such that, for all and all , Inequalities (105) and (106) are satisfied. The validity of these inequalities means that the singularly perturbed boundary-value Problems (26) and (27) are of the conditionally stable type [66,67]. Taking into account this feature of the considered boundary-value problem, as well as the aforementioned properties of System (26) and boundary Conditions (27), and using the results of the work [67], we immediately obtain the statements of the lemma. □
5. Main Results
5.1. Asymptotic Expansion of the Stackelberg Solution to the Game (9)–(11)
Theorem 1.
Proof.
Let us start with the proof of the first inequality in (112).
Using Equations (13), (19), and (25), Proposition 2, and the equivalence of the boundary-value Problems (17), (26), and (27), we obtain, after a routine algebra,
where is the component of the solution to the boundary-value Problems (26) and (27) (see Lemma 1).
Now, using Equation (113) and the inequality for (see Equation (103)), we directly have the first inequality in (112).
Proceed to the proof of the second inequality in (112). This inequality directly follows from Equation (19), Proposition 2, the equivalence of the boundary-value Problems (17), (26), and (27), and the inequality for in (103).
Thus, the theorem is proven. □
5.2. Asymptotic Expansion of the Stackelberg Optimal Values of the Cost Functionals in the Game (9)–(11)
Consider the values
where , , and are the corresponding components of the solution to the boundary-value Problems (39) and (37), and is given by Equation (38).
Theorem 2.
Proof.
Let us start with the proof of the first inequality in (115).
Substituting the expressions for the , (see Equations (19) and (113)) into Equation (10) and using Equations (14), (18), and (25), Proposition 2 and the equivalence of the boundary-value Problems (17), (26), and (27), we obtain, after a routine rearrangement, the following expression for :
where , , , and are the corresponding components of the solution to boundary-value Problems (26) and (27).
Now, using Equation (116), as well as Lemma 1, the inequalities in (61), (66), (91), and (101), and the first equation in (114), immediately yields the first inequality in (115).
The second inequality in (115) is proven quite similarly to the proof of the first inequality. This completes the proof of the theorem. □
Remark 10.
Using Proposition 3, Remark 8, and the first equation in (114), we can conclude that .
5.3. Asymptotically Suboptimal Stackelberg Solution to the Game (9)–(11)
Consider the following controls for the leader and the follower, respectively,
Let and be the values of the functionals and , respectively, generated by the pair of the controls in the game (9)–(11).
Theorem 3.
Let Assumptions (A1)–(A7) be valid. Then, for all , the following inequalities are satisfied:
where is some constant independent of ε.
Proof.
Let us start with the proof of the first inequality in (118).
Substituting the open-loop Stackelberg solution into System (9) instead of , we obtain, for all ,
The solution of this system is the Stackelberg optimal trajectory of the game (9)–(11). Due to Proposition 2 and the equivalence of the boundary-value Problems (17), (26), and (27), we directly have
where is the corresponding component of the solution to the boundary-value Problems (26) and (27).
Now, let us substitute the pair of the controls into System (9) instead of . This substitution yields, for all ,
Let , and denotes the solution to this system.
Substituting , and into Functional (10) instead of , and , respectively, yields, after a routine rearrangement, the following expression for :
where is given in (18).
Let us denote
Let us estimate the differences and . Due to Lemma 1 and Equations (91) and (101), we have
Using this inequality and the expressions for and (see Equations (113) and (117)) directly yields
Similarly, using the expressions for and (see Equations (102) and (117)), as well as the second inequalities in (66) and (112), we have
where is some constant independent of .
Let , be the fundamental matrix solution to the homogeneous system corresponding the differential equation in (124). Hence, we can express as follows:
This equation, along with Inequalities (126) and (127), immediately yields
where is some constant independent of .
Remark 11.
Due to Theorem 3 and Equation (16), the pair of the controls is an asymptotically suboptimal Stackelberg solution in the game (9)–(11). To obtain this solution, one has to first solve the boundary-value Problems (39) and (37). Then, using the explicit formulas in (38), (60), and (72), one calculates and .
As a direct consequence of Theorems 2 and 3, we obtain the following assertion.
Corollary 1.
Let Assumptions (A1)–(A7) be valid. Then, for all , the values and satisfy the inequalities
6. Example
The example of the game (9)–(11) with Data (131) will allow us to clearly illustrate the theoretical results of the paper (Lemma 1 and Theorems 1–3), while avoiding too complicated analytical/numerical calculations.
6.1. Illustration of Lemma 1
By and , we denote the upper and lower components of the vector . Similarly, by and , we denote the upper and lower components of the vector . Thus,
Using these notations and Data (131), we can rewrite Problems (39) and (37) as
Taking into account that and , and solving the boundary-value Problems (74) and (71), we immediately have
which, along with (73), yields
To complete the construction of the functions and (see Equation (102)), we need to obtain , , and , , .
Due to the data of Example (131), the functions and (see Equation (85)) are identically zero. This circumstance, along with the equality and Equations (87)–(90), yields
Consider the following values:
where , , , , , are the corresponding components of the solution to the boundary-value Problems (26) and (27) subject to Data (131).
Remark 12.
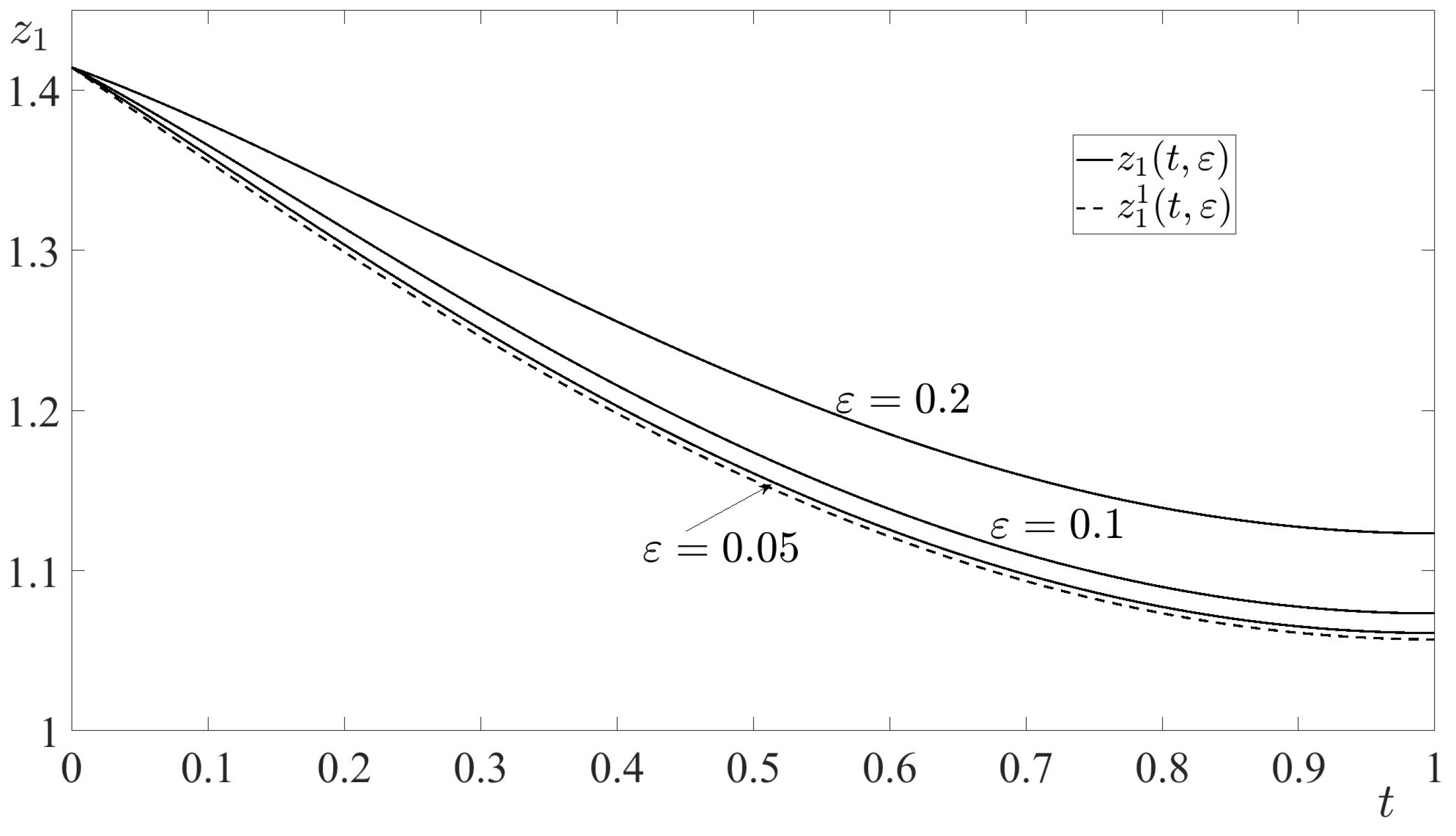
In Figure 1, the graphs of the functions and are depicted for different values of . Note that for , we have only one curve (the dashed one) because this function is independent of (see Equation (143)). It is seen from the figure that, for decreasing , the graph of approaches the graph of . In Figure 2, the graph of (as a function of ) is depicted. Along with this graph, the graph of the function is presented, showing that is estimated by , i.e., for all . Similar results with respect to , , and are shown in Figure 3 and Figure 4, the results with respect to , , are shown in Figure 5 and Figure 6, and the results with respect to , , are shown in Figure 7 and Figure 8.
Figure 1.
Functions and .
Figure 2.
Estimate of closeness of and .
Figure 3.
Functions and .
Figure 4.
Estimate of closeness of and .
Figure 5.
Functions and .
Figure 6.
Estimate of closeness of and .
Figure 7.
Functions and .
Figure 8.
Estimate of closeness of and .
Remark 13.
Note that the functions and do not appear in the optimal controls and in the optimal values of the cost functionals of the Stackelberg game (9)–(11) with Data (131). Therefore, in order not to overload the paper with additional figures, we do not present the figures with respect to , , and , , . However, for the sake of the results’ completeness, in the table below, the values and are presented. The solution to the boundary-value Problems (26) and (27) subject to Data (131) are obtained by using the Matlab R2022b function bvp4c (boundary-value problem solver of the fourth order), which is based on a finite difference method. Another finite difference methods and their applications to approximate solution to boundary-value problems associated with various optimization problems of dynamic systems can be found in [58,71] and in the references therein.
In Table 1, the values , , , , and are presented for various values of . The results of the table show that these values are estimated by with the coefficients which do not exceed .
Table 1.
Values of , , , , , and .
6.2. Illustration of Theorem 1
6.3. Illustration of Theorem 2
To illustrate this theorem, first of all let us calculate the values and . Using Equations (114), (131), (132), and (134), we obtain after a routine calculation of the integrals
Consider the values
where and are the optimal values of the cost functionals of the leader and the follower, respectively, in the Stackelberg game (9)–(11) with Data (131).
In Figure 9, the graph of (as a function of ) is depicted. Along with this graph, the graph of the function is presented, showing that is estimated by , i.e., for all . A similar result with respect to is shown in Figure 10.
Figure 9.
Estimate of closeness of and .
Figure 10.
Estimate of closeness of and .
In Table 2, the values of and are presented for various values of , while in Table 3, the values of and are presented for the same values of . It is seen that both and are estimated by .
Table 2.
Values of and .
Table 3.
Values of and .
6.4. Illustration of Theorem 3
Using Remark 11 and Equations (117), (131), (137), and (140), we design the asymptotically suboptimal Stackelberg solution in the game (9)–(11) with Data (131). The components of this solution are
where is given in (134), and is given by (135).
In Table 4, the values and of the functionals and , respectively, generated by the asymptotically suboptimal Stackelberg solution in the game (9)–(11) and (131), are presented for various values of .
Table 4.
Values of and .
Let us compare the values and with the optimal values and , respectively. For this purpose, we consider the values
In Figure 11, the graph of (as a function of ) is depicted. Along with this graph, the graph of the function is presented, showing that is estimated by , i.e., for all . Similar result with respect to is shown in Figure 12.
Figure 11.
Estimate of closeness of and .
Figure 12.
Estimate of closeness of and .
In Table 5, the values of and are presented for the same values of as in Table 4. It is seen that and are estimated by with the coefficients which do not exceed and , respectively.
Table 5.
Values of and .
7. Conclusions
In this paper, a two-player finite horizon linear–quadratic Stackelberg differential game was studied in the case where the control cost of the leader in the cost functionals of both players is much smaller than the state cost and the cost of the follower’s control. Due to this feature of the leader’s control cost, the considered game is a cheap control game. For this game, an open-loop solution was sought. By the proper change of the state variable, the initially formulated game was transformed equivalently to a simpler cheap control Stackelberg game. The dynamics equation of the latter consists of two modes. The first mode is controlled directly only by the follower, while the second mode is controlled directly by both players. Moreover, the dimension of the second mode equals to the dimension of the leader’s control and the gain matrix for the leader’s control in this mode is the identity matrix. The transformed game also is a cheap control game. Based on the Stackelberg game’s solvability conditions, the solution to the transformed game was converted to the solution to the linear singularly perturbed boundary-value problem which dimension is four times larger than the dimension of the game’s dynamics. This boundary-value problem is of the conditionally stable type. Based on the Boundary Functions Method, the first-order asymptotic solution to this singularly perturbed boundary-value problem was derived. Using this asymptotic solution, the asymptotic expansions of the optimal open-loop controls of the leader and the follower, as well as the asymptotic expansions of the optimal values of their cost functionals, were obtained. Based on these results, asymptotically suboptimal open-loop controls of the players were designed.
It should be noted that the cost functionals of the leader and the follower in the considered game do not contain terminal parts. The case of the presence of these parts requires to develop another approach to the asymptotic analysis and solution to the boundary-value problem appearing in the Stackelberg game’s open-loop solvability conditions. In addition, it should be noted that the assumption on the positive definiteness of the matrix-coefficient for the fast state variable in the leader’s cost functional is essential for the asymptotic analysis and solution to the considered cheap control Stackelberg game. A weaker assumption on this matrix-coefficient (namely, its positive semi-definiteness) requires to develop another method of the asymptotic analysis and solution to the corresponding boundary-value problem.
Completing this section, we would like to mention several issues connected with the topic of the paper, which are interesting ones for future investigations. These issues are the following: (a) asymptotic analysis of the open-loop solution in the Stackelberg linear–quadratic differential game with cheap control of a follower; (b) asymptotic analysis of the feedback solution in the Stackelberg linear–quadratic differential game with cheap control of a leader/follower; (c) the open-loop solution and the feedback solution of a singular Stackelberg linear–quadratic differential game; and (d) real-life applications of the cheap control/singular Stackelberg linear–quadratic differential games.
Author Contributions
Both authors contributed equally to this article. All authors have read and agreed to the published version of the manuscript.
Funding
This research received no external funding.
Data Availability Statement
Data are contained within the article.
Conflicts of Interest
The authors declare no conflict of interest.
References
- O’Malley, R.E. Cheap control, singular arcs, and singular perturbations. In Optimal Control Theory and Its Applications; Kirby, B.J., Ed.; Lecture Notes in Economics and Mathematical Systems; Springer: Berlin/Heidelberg, Germany, 1974; Volume 106. [Google Scholar]
- Bell, D.J.; Jacobson, D.H. Singular Optimal Control Problems; Academic Press: Cambridge, MA, USA, 1975. [Google Scholar]
- O’Malley, R.E. The singular perturbation approach to singular arcs. In International Conference on Differential Equations; Antosiewicz, H.A., Ed.; Elsevier Inc.: Amsterdam, The Netherlands, 1975; pp. 595–611. [Google Scholar]
- O’Malley, R.E.; Jameson, A. Singular perturbations and singular arcs, I. IEEE Trans. Automat. Control 1975, 20, 218–226. [Google Scholar] [CrossRef]
- O’Malley, R.E. A more direct solution of the nearly singular linear regulator problem. SIAM J. Control Optim. 1976, 14, 1063–1077. [Google Scholar] [CrossRef]
- O’Malley, R.E.; Jameson, A. Singular perturbations and singular arcs, II. IEEE Trans. Automat. Control 1977, 22, 328–337. [Google Scholar] [CrossRef]
- Kurina, G.A. A degenerate optimal control problem and singular perturbations. Soviet Math. Dokl. 1977, 18, 1452–1456. [Google Scholar]
- Sannuti, P.; Wason, H.S. Multiple time-scale decomposition in cheap control problems—Singular control. IEEE Trans. Automat. Control 1985, 30, 633–644. [Google Scholar] [CrossRef]
- Saberi, A.; Sannuti, P. Cheap and singular controls for linear quadratic regulators. IEEE Trans. Automat. Control 1987, 32, 208–219. [Google Scholar] [CrossRef]
- Smetannikova, E.N.; Sobolev, V.A. Regularization of cheap periodic control problems. Automat. Remote Control 2005, 66, 903–916. [Google Scholar] [CrossRef]
- Glizer, V.Y. Stochastic singular optimal control problem with state delays: Regularization, singular perturbation, and minimizing sequence. SIAM J. Control Optim. 2012, 50, 2862–2888. [Google Scholar] [CrossRef]
- Glizer, V.Y. Saddle-point equilibrium sequence in one class of singular infinite horizon zero-sum linear-quadratic differential games with state delays. Optimization 2019, 68, 349–384. [Google Scholar] [CrossRef]
- Shinar, J.; Glizer, V.Y.; Turetsky, V. Solution of a singular zero-sum linear-quadratic differential game by regularization. Int. Game Theory Rev. 2014, 16, 1–32. [Google Scholar] [CrossRef]
- Glizer, V.Y.; Kelis, O. Singular Linear-Quadratic Zero-Sum Differential Games and H∞ Control Problems: Regularization Approach; Birkhauser: Basel, Switzerland, 2022. [Google Scholar]
- Kwakernaak, H.; Sivan, R. The maximally achievable accuracy of linear optimal regulators and linear optimal filters. IEEE Trans. Autom. Control 1972, 17, 79–86. [Google Scholar] [CrossRef]
- Francis, B. The optimal linear-quadratic time-invariant regulator with cheap control. IEEE Trans. Autom. Control 1979, 24, 616–621. [Google Scholar] [CrossRef]
- Saberi, A.; Sannuti, P. Cheap control problem of a linear uniform rank system: Design by composite control. Automatica 1986, 22, 757–759. [Google Scholar] [CrossRef]
- Lee, J.T.; Bien, Z.N. A quadratic regulator with cheap control for a class of nonlinear systems. J. Optim. Theory Appl. 1987, 55, 289–302. [Google Scholar] [CrossRef]
- Braslavsky, J.H.; Seron, M.M.; Mayne, D.Q.; Kokotovic, P.V. Limiting performance of optimal linear filters. Automatica 1999, 35, 189–199. [Google Scholar] [CrossRef]
- Seron, M.M.; Braslavsky, J.H.; Kokotovic, P.V.; Mayne, D.Q. Feedback limitations in nonlinear systems: From Bode integrals to cheap control. IEEE Trans. Autom. Control 1999, 44, 829–833. [Google Scholar] [CrossRef]
- Glizer, V.Y.; Kelis, O. Asymptotic properties of an infinite horizon partial cheap control problem for linear systems with known disturbances. Numer. Algebra Control Optim. 2018, 8, 211–235. [Google Scholar] [CrossRef]
- Moylan, P.J.; Anderson, B.D.O. Nonlinear regulator theory and an inverse optimal control problem. IEEE Trans. Autom. Control 1973, 18, 460–465. [Google Scholar] [CrossRef]
- Young, K.D.; Kokotovic, P.V.; Utkin, V.I. A singular perturbation analysis of high-gain feedback systems. IEEE Trans. Autom. Control 1977, 22, 931–938. [Google Scholar] [CrossRef]
- Kokotovic, P.V.; Khalil, H.K.; O’Reilly, J. Singular Perturbation Methods in Control: Analysis and Design; Academic Press: London, UK, 1986. [Google Scholar]
- Turetsky, V.; Glizer, V.Y. Robust solution of a time-variable interception problem: A cheap control approach. Int. Game Theory Rev. 2007, 9, 637–655. [Google Scholar] [CrossRef]
- Turetsky, V.; Glizer, V.Y.; Shinar, J. Robust trajectory tracking: Differential game/cheap control approach. Int. J. Systems Sci. 2014, 45, 2260–2274. [Google Scholar] [CrossRef]
- Turetsky, V. Robust route realization by linear-quadratic tracking. J. Optim. Theory Appl. 2016, 170, 977–992. [Google Scholar] [CrossRef]
- Starr, A.W.; Ho, Y.C. Nonzero-sum differential games. J. Optim. Theory Appl. 1969, 3, 184–206. [Google Scholar] [CrossRef]
- Turetsky, V.; Shinar, J. Missile guidance laws based on pursuit—Evasion game formulations. Automatica 2003, 39, 607–618. [Google Scholar] [CrossRef]
- Turetsky, V. Upper bounds of the pursuer control based on a linear-quadratic differential game. J. Optim. Theory Appl. 2004, 121, 163–191. [Google Scholar] [CrossRef]
- Turetsky, V.; Glizer, V.Y. Cheap control in a non-scalarizable linear-quadratic pursuit-evasion game: Asymptotic analysis. Axioms 2022, 11, 214. [Google Scholar] [CrossRef]
- Glizer, V.Y. Asymptotic solution of zero-sum linear-quadratic differential game with cheap control for the minimizer. NoDEA Nonlinear Diff. Equ. Appl. 2000, 7, 231–258. [Google Scholar] [CrossRef]
- Glizer, V.Y. Nash equilibrium sequence in a singular two-person linear-quadratic differential game. Axioms 2021, 10, 132. [Google Scholar] [CrossRef]
- Hu, Y.; Øksendal, B.; Sulem, A. Singular mean-field control games. Stoch. Anal. Appl. 2017, 35, 823–851. [Google Scholar] [CrossRef]
- Hamelin, F.M.; Lewis, M.A. A differential game theoretical analysis of mechanistic models for territoriality. J. Math. Biol. 2010, 61, 665–694. [Google Scholar] [CrossRef]
- Petersen, I.R. Linear-quadratic differential games with cheap control. Syst. Control Lett. 1986, 8, 181–188. [Google Scholar] [CrossRef]
- Glizer, V.Y. Nash equilibrium in a singular infinite horizon two-person linear-quadratic differential game. Pure Appl. Funct Anal. 2022, 7, 1657–1698. [Google Scholar]
- Glizer, V.Y. Solution of one class of singular two-person Nash equilibrium games with state and control delays: Regularization approach. Appl. Set-Valued Anal. Optim. 2023, 5, 401–438. [Google Scholar]
- Basar, T.; Olsder, G.J. Dynamic Noncooperative Game Theory; Academic Press: London, UK, 1992. [Google Scholar]
- He, X.; Prasad, A.; Sethi, S.P.; Gutierrez, G.J. A survey of Stackelberg differential game models in supply and marketing channels. J. Syst. Sci. Syst. Eng. 2007, 16, 385–413. [Google Scholar] [CrossRef]
- Colombo, L.; Labrecciosa, P. Stackelberg versus Cournot: A differential game approach. J. Econom. Dynam. Control 2019, 101, 239–261. [Google Scholar] [CrossRef]
- Kańska, K.; Wiszniewska-Matyszkiel, A. Dynamic Stackelberg duopoly with sticky prices and a myopic follower. Oper. Res. 2022, 22, 4221–4252. [Google Scholar] [CrossRef]
- Solis, C.U.; Clempner, J.B. Ship differential game approach for multiple players: Stackelberg security games. Optim. Control Appl. Meth. 2020, 41, 312–326. [Google Scholar] [CrossRef]
- Wan, W.; Peng, Y.; Cioffi, J.M.; Glover, K.T. A Stackelberg differential game framework for enhancing energy efficiency in satellite communication systems. J. Mach. Intell. Data Sci. 2024, 5, 65–73. [Google Scholar] [CrossRef]
- Ming, Z.; Zhang, H.; Li, Y.; Liang, Y. Mixed H2/H∞ control for nonlinear closed-loop Stackelberg games with application to power systems. IEEE Trans. Autom. Sci. Eng. 2024, 21, 69–77. [Google Scholar] [CrossRef]
- Sannuti, P. Direct singular perturbation analysis of high-gain and cheap control problems. Automatica 1983, 19, 41–51. [Google Scholar] [CrossRef]
- Kokotovic, P.V. Applications of singular perturbation techniques to control problems. SIAM Rev. 1984, 26, 501–550. [Google Scholar] [CrossRef]
- Popescu, D.C.; Gajic, Z. Singular perturbation analysis of cheap control problem for sampled data systems. IEEE Trans. Autom. Control 1999, 44, 2209–2214. [Google Scholar] [CrossRef]
- Hoai, N.T. Asymptotic solution of a singularly perturbed linear-quadratic problem in critical case with cheap control. J. Optim. Theory Appl. 2017, 175, 324–340. [Google Scholar] [CrossRef]
- Salman, M.A.; Cruz, J.B. Well posedness of linear closed Stackelberg strategies for singularly perturbed systems. J. Franklin Inst. 1979, 308, 25–37. [Google Scholar] [CrossRef]
- Khalil, H.K.; Medanic, J.V. Closed-loop Stackelberg strategies for singularly perturbed linear quadratic problems. IEEE Trans. Autom. Control 1980, 25, 66–71. [Google Scholar] [CrossRef]
- Salman, M.A.; Cruz, J.B. Team-optimal closed-loop Stackelberg strategies for systems with slow and fast modest. Internat. J. Control 1983, 37, 1401–1416. [Google Scholar] [CrossRef]
- Mizukami, K.; Xu, H. Near-optimal incentive Stackelberg strategies for singularly perturbed systems. IFAC Proc. Vol. 1990, 23, 427–432. [Google Scholar] [CrossRef]
- Mizukami, K.; Suzumura, F. Closed-loop Stackelberg strategies for singularly perturbed systems: The recursive approach. Int. J. Syst. Sci. 1993, 24, 887–900. [Google Scholar] [CrossRef]
- Mukaidani, H. Efficient numerical procedures for solving closed-Loop Stackelberg strategies with small singular perturbation parameter. Appl. Math. Comput. 2007, 188, 1173–1183. [Google Scholar] [CrossRef]
- Krylov, I.A.; Chernous’ko, F.L. On the method of successive approximations for solution of optimal control problems. J. Comp. Math. Math. Phys. 1962, 2, 1132–1139. (In Russian) [Google Scholar] [CrossRef]
- Kolmanovskii, V.B.; Maizenberg, T.L. Optimal control of stochastic systems with aftereffect. Automat. Remote Control 1973, 34, 39–52. [Google Scholar]
- Chernous’ko, F.L.; Kolmanovskii, V.B. Numerical and approximate methods of optimal control. J. Sov. Math. 1979, 12, 310–353. [Google Scholar] [CrossRef]
- Jajarmi1, A.; Pariz, N.; Kamyad, A.V.; Effati, S. A novel modal series representation approach to solve a class of nonlinear optimal control problems. Int. J. Innov. Inf. Control 2011, 7, 1413–1425. [Google Scholar]
- Campana, F.C.; Borzì, A. On the SQH method for solving differential Nash games. J. Dyn. Control Syst. 2022, 28, 739–755. [Google Scholar] [CrossRef]
- Krastanov, M.I.; Rozenov, R.; Stefanov, B.K. On a constrained infinite-time horizon linear quadratic game. Dyn. Games Appl. 2023, 13, 843–858. [Google Scholar] [CrossRef]
- Megahed, A.A.; Hemeda, A.A.; Madkour, H.F.A. Approximate solutions for Nash differential games. J. Math. 2023, 2023, 7374882. [Google Scholar] [CrossRef]
- Glizer, V.Y.; Turetsky, V. Approximate solution of a zero-sum linear-quadratic differential game by the auxiliary parameter method: Analytical/numerical study. Optimization 2024, 1–41. [Google Scholar] [CrossRef]
- Dockner, E.J.; Jorgensen, S.; Van Long, N.; Sorger, G. Differential Games in Economics and Management Science; Cambridge University Press: Cambridge, UK, 2000. [Google Scholar]
- Bressan, A. Lecture Notes on Differential Games. 2010. Available online: https://www.researchgate.net/publication/228767190 (accessed on 1 December 2010).
- Vasil’eva, A.B.; Butuzov, V.F.; Kalachev, L.V. The Boundary Function Method for Singular Perturbation Problems; SIAM Books: Philadelphia, PA, USA, 1995. [Google Scholar]
- Esipova, V.A. The asymptotic behavior of the solution of the general boundary value problem for singularly perturbed systems of ordinary differential equations of conditionally stable type. Differ. Equations 1975, 11, 1457–1465. [Google Scholar]
- Ioffe, A.D.; Tikhomirov, V.M. Theory of Extremal Problems; North-Holland Pub. Co.: Amsterdam, The Netherlands, 1979. [Google Scholar]
- Bryson, A.; Ho, Y. Applied Optimal Control; Hemisphere: New York, NY, USA, 1975. [Google Scholar]
- Sibuya, Y. Some global properties of matrices of functions of one variable. Math. Annalen 1965, 161, 67–77. [Google Scholar] [CrossRef]
- Jajarmi, A.; Hajipour, M. An efficient finite difference method for the time-delay optimal control problems with time-varying delay. Asian J. Control 2017, 19, 554–563. [Google Scholar] [CrossRef]
Disclaimer/Publisher’s Note: The statements, opinions and data contained in all publications are solely those of the individual author(s) and contributor(s) and not of MDPI and/or the editor(s). MDPI and/or the editor(s) disclaim responsibility for any injury to people or property resulting from any ideas, methods, instructions or products referred to in the content. |
© 2024 by the authors. Licensee MDPI, Basel, Switzerland. This article is an open access article distributed under the terms and conditions of the Creative Commons Attribution (CC BY) license (https://creativecommons.org/licenses/by/4.0/).











