Abstract
In this research, we present a new distribution, which is the bivariate alpha power Burr-XII distribution, based on the alpha power Burr-XII distribution. We thoroughly examine the key features of our newly developed bivariate model. We introduce a new class of bivariate models, which are built with the copula function. The statistical properties of the proposed distribution, such as conditional distributions, conditional expectations, marginal distributions, moment-generating functions, and product moments were studied. This was accomplished with two datasets of real data that came from two distinct devices. We employed Bayesian, maximum likelihood estimation, and least squares estimation strategies to obtain estimated points and intervals. Additionally, we generated bootstrap confidence intervals and conducted numerical analyses using the Markov chain Monte Carlo method. Lastly, we compared this novel bivariate distribution’s performance to earlier bivariate models, to determine how well it fit the real data.
Keywords:
Burr XII distribution; alpha power; Farlie–Gumbel–Morgenstern copula; parameter estimation methods; bivariate distributions MSC:
60E05; 62E10; 62E15
1. Introduction
To achieve a reliable system, one method is to analyze the failures that occur in the production systems that are being observed. In bivariate modeling, the relationship between two variables is modeled. It enables one to discern between the interrelationship structure and the marginal distributions of the variable. Many authors have put forth bivariate models, analyzed them, and shown how broadly applicable they are across a variety of scientific fields. Over the past ten years, many articles have explored the idea of developing novel bivariate models based on a multiform copula function. A copula function is a helpful tool for describing the dependency structure of variables, regardless of the variable’s marginals. They have many different dependence models, such as the Gaussian, t, Clayton, and Gumbel copulas, which can be used to characterize different reliance patterns. Copula definitions are given by the unit square. Using a copula function, random numbers with a certain dependence structure can be generated. See Nelsen [1] and Flores [2] for examinations of several bivariate Weibull models derived from different copula functions. Verrill et al. [3] proposed a novel Gaussian–Weibull bivariate model. Many authors have since focused their statistical analysis on bivariate models. For example, El-Sherpieny and Almetwally [4] created a generalized Rayleigh distribution in two dimensions using the Clayton copula function as a basis and utilizing the Ali-Mikhail-Haq and Farlie-Gumbel-Morgenstern copulas, Qura et al. [5] showed a bivariate power Lomax distribution, and Almetwally and Muhammed [6] created a new Fréchet distribution in two dimensions. Almetwally et al. [7] proposed the use of the copula function to create a bivariate Weibull distribution. Ahmed et al. [8] introduced a new type of bivariate model using the copula function. By using various copulas, Samanthi and Sepanski [9] examined a few families of bivariate Kumaraswamy distributions. FGM copulas have been studied in different fields, such as finance (Cossette et al. [10]), economics (Patton [11]), and reliability engineering (Navarro et al. [12]; Navarro and Durante [13]).
The ability to study bivariate distributions with copulas, to capture asymmetric and non-linear connections between variables, makes them widely employed.Copulas provide a general class of dependence models that can be used to model a large range of dependent configurations. Copulas also simplify the computation of certain probability measures, such as the likelihood of a joint occurrence, the likelihood of two occurrences being dependent on one another, and the likelihood of crossing particular thresholds. Because copulas are flexible in simulating the dependence structure where non-linear and asymmetric dependencies between variables are often observed, they are an effective tool for financial and insurance applications. For a two-dimensional copula function, Sklar [14] defines and . For a bivariate copula, if X and Y are two random variables for the distribution functions and , then
and
Other copula functions, such as the Farlie–Gumbel–Morgenstern copula, have been defined based on the aforementioned equations. This copula is a well-known parametric family copula, initially demonstrated by Gumbel [15]. The combination and of the Farlie–Gumbel–Morgenstern copula are given by
and
where the variable’s parameters are represented by the vectors = and = , and and denote the copula parameters that assume values in .
The Burr-XII distribution introduced by Burr [16] has attracted attention for its remarkable applications in a variety of areas, including reliability, failure time modeling, and acceptance sampling schemes. For example, Wang and Keats [17] employed the maximum likelihood method to estimate the parameters of the Burr-XII distribution using interval estimators. The Burr-XII distribution was applied by Abdel-Ghaly et al. [18] in software reliability growth modeling, microelectronics, and reliability. A statistical analysis of the Burr-XII distribution and its relation to other distributions were explored by Zimmer et al. [19]. Moors [20] established a confidence range for the form parameter under the Bur-XII distribution’s failure censored plan. Maximum likelihood was the method employed by Wu and Yu [21] to calculate the point estimator of the parameters of the Burr-XII distribution. Bayesian predictive density of order statistics based on finite mixture models was studied by AL-Hussaini [22]. AL-Hussaini and Ahmad [23] developed a Bayesian interval prediction of future records and, according to Kumar et al. [24], derived the Marshall–Olkin extended Burr-XII distribution ratio and inverse moments. One of these generalizations is the alpha power Burr-XII (APB-XII) distribution [25], which has provided better results with real datasets in comparison to many versions of the exponential distribution. A random variable X is said to have an alpha power Burr-XII (APB-XII) distribution with parameters and as a shape parameter, and as a scale parameter, if its cdf and pdf are given by
and
This paper introduces the BAPB-XII distribution, an innovative model derived from the alpha power Burr-XII distribution, enhancing the available options in bivariate statistical analysis. It thoroughly explores the statistical properties of this distribution, including conditional and marginal distributions, moment-generating functions, and product moments, which are crucial for understanding its behavior across different applications. To achieve robust parameter estimation, the study employs multiple estimation techniques, such as Bayesian methods, maximum likelihood estimation, and least squares estimation, adding flexibility and reliability. The practical applicability of the BAPB-XII model was demonstrated through real-world data analysis, specifically focusing on Burr measurements from different machines and sheet failure rates, showcasing the model’s effectiveness on life testing data. Additionally, this paper conducted a comparative performance evaluation with existing bivariate models, underscoring the BAPB-XII distribution’s advantages and suitability for fitting real data, thereby providing valuable insights for researchers and practitioners.
The BAPB-XII distribution finds numerous applications across various fields. It is particularly suitable for life testing data analysis, playing a critical role in reliability engineering and quality control by effectively modeling failure rates. This distribution proves practical in assessing failure rates, as illustrated through its application in the evaluation of sheet failures, which is essential for understanding real-world failure mechanisms. Additionally, the BAPB-XII distribution is designed to handle bivariate data, making it valuable in contexts where two interdependent variables are analyzed, such as in engineering and manufacturing. Its statistical characteristics allow for in-depth exploration of properties, enabling its application in fields requiring advanced statistical modeling. Furthermore, comparative analysis with traditional bivariate distributions highlights the potential of the BAPB-XII distribution for broader applications in statistical analysis and modeling.
This paper is structured as follows. The distribution of BAPB-XII is defined in Section 2. The statistical characteristics of the BAPB-XII distribution are given in Section 3. The maximum likelihood and Bayesian estimations are performed in Section 4. Section 5 introduces the simulation study. In Section 6, the application on real data is reported. The manuscript ends with the conclusions Section.
2. The Bivariate Alpha Power Burr-XII Model
The bivariate alpha power Burr-XII (BAPB-XII) model is stated in Equations (1) and (2), and the copula is specified in Equations (3) and (4), with x and y being two random variables after the APB-XII function as in Equations (5) and (6), used to obtain the bivariate distribution. The bivariate APB-XII distribution with the Farlie–Gumbel–Morgenstern copula function’s joint and are provided as follows
and
where , ,
Figure 1 illustrates various shapes of the pdf of BAPB-XII in Equation (7) for different parameter values, demonstrating the flexibility of the joint pdf in modeling bivariate skewed data. One can observe that the joint pdf of the BAPB-XII distribution has different shapes depending on the values of its parameters, which reflects the ability of the joint pdf to model bivariate skewed data.
Figure 1.
Surface and contour plot of joint density of BAPB-XII distribution.
3. Properties of the New Model
This section explores and presents several significant statistical properties of the BAPB-XII distribution.
3.1. Marginal and Conditional Distributions
The marginal density functions of X and Y are
and
respectively.
The distribution of the conditional probability of X given Y is
So, the conditional probability of Y given x is defined as
The conditional of X given Y, and given , are given, respectively, by
and
The conditional method which is outlined below can be used to create a bivariate sample from the APB-XII distribution.
- -
- Generate independent variables Z and W from uniform () distribution.
- -
- Let
- -
- Let to find y by a numerical method.
- -
- To obtain , , repeat the above steps n times.
3.2. Product Moments
The mth and lth product moments of a BAPB-XII distribution for the random variables X and Y can be calculated as follows:
then,
where, and
3.3. Moment Generating Function
The random variables X and Y have a that be defined in Equation (8), then the moment generating function () for X and Y is obtained as
then,
Using the product moment defined in the previous section in Equation (18), the of is written as
where and .
3.4. Survival and Hazard Rate Functions
The joint survival function was proved by Osmetti and Chiodini [26], who applied X and Y as random variables with survival functions ( and (, which is more practical.
The survival functions of the marginal distributions are defined as
and
The joint survival function for a copula is expressed as
Hence, the survival function of the BAPB-XII distribution is
The bivariate hazard rate function is given by
then, it is obtained as
4. Estimation Methods
4.1. Maximum Likelihood Estimation
This subsection derives the maximum likelihood estimate () for the parameter vector ( Assume that the n observed values from the BAPB-XII distribution are , , . Following the approach of Kim et al. [27], who discussed the likelihood function for a bivariate model, the likelihood function for a complete sample is given as
then,
where ,
The log-likelihood function can be written as follows:
The MLEs, , of are obtained by simultaneously solving a set of nonlinear equations. These equations are derived by partially differentiating Equation (28) with respect to each parameter and setting each resulting expression to zero, as follows:
and
It is necessary to use numerical methods to solve Equations (29)–(35), such as the Newton–Raphson methodology, implemented in mathematical software packages, to find a solution. Alternatively, direct approaches for maximizing the log-likelihood functions in Equation (28) are available in some statistical and mathematical packages such as Mathematica software (NMaximize and FindMaximum functions).
Confidence Interval
The confidence intervals are based on the asymptotic normality of the MLEs for the parameters. To achieve this, we take the negative second derivatives of the log-likelihood function with respect to the parameter vector , which allows us to construct a Fisher information matrix . The asymptotic variance–covariance matrix of the MLE estimates for the parameters is then derived from this Fisher information matrix.
This method assumes that the asymptotic variance–covariance matrix for the parameter vector is supplied by
where the variance–covariance matrix is given by . With the asymptotic normality of the MLE, we can construct a asymptotic confidence interval for the parameter vector , as follows:
In this expression, represents the percentile of the standard normal distribution corresponding to the right tail with a probability of . Note that is the square root of the k diagonal element of the matrix .
4.2. Bayesian Estimation
In this subsection, the Bayesian estimation method is applied to estimate the parameters of the BAPB-XII distribution. For parameter estimation based on a complete sample, we use the symmetric square error loss function, assuming the parameters of the BAPB-XII distribution are independent. We consider gamma-independent priors for the parameters for defined as follows:
where the hyperparameters and are chosen based on prior assumptions. For the prior distribution of the copula parameter , we assign a uniform prior over the interval .
The following is the joint prior:
To find out how to elicit the hyperparameters of the independent joint prior, utilize a variance–covariance matrix and estimate them using the likelihood technique. The resulting hyperparameters can be represented by the mean and variance of the gamma priors, see Mohamed et al. [28], Abulebda et al. [29] and Hassan and Chesneau [30].
The joint posterior distribution can be described as follows:
The posterior conditional density functions of where can be generated as follows:
and
Under the squared error loss function, which is a symmetrical loss function that assigns equal losses to overestimation and underestimation, the Bayesian estimator of is the posterior mean . Given the analytical challenges in evaluating expectations for such loss functions, we utilized the Markov chain Monte Carlo (MCMC) method. This includes key tools like Gibbs sampling and Metropolis-within-Gibbs, which are well-suited for complex models. Among these, the Metropolis–Hastings (MH) algorithm is particularly useful, generating candidate values from a proposal distribution for each iteration of the sampling process. This approach was thoroughly discussed by [31,32]. The MH algorithm provides a transition mechanism for constructing the chain, as follows:
- Sample from a proposal distribution , with as the current state.
- Decide to either accept as the next sample or retain the current sample based on the acceptance probability:
This acceptance probability ensures that the target density remains invariant, thereby allowing the chain to converge to its stationary distribution from any initial state. Thus, the MH approach guarantees that the chain approximates the desired posterior distribution of .
The approach of Chen et al. [33] is frequently used to construct highest posterior density () intervals for unknown distribution parameters in Bayesian estimation. For instance, two endpoints from the sampling outputs, the lower and upper percentiles, can be used to calculate a HPD interval. The following is how reliable Bayesian intervals of the parameters are obtained:
- Arrange and where and B is the length of generated.
- The HPD intervals become (), (), () and ().
4.3. Least Squares Estimation
The least squares method () was proposed for estimating the parameters and by minimizing the function defined as
where is the , i = represents the empirical distribution function, evaluated at the observed value of , given by
We propose to use the percentile bootstrap (Boot-p) method to estimate the confidence intervals for the parameters based on least squares estimates (). To estimate the bootstrap interval, we proceed as follows:
- (i)
- Obtain the for the parameters .
- (ii)
- Generate bootstrap sample from BAPB-XII, using and then obtain the bootstrap estimate of say respectively.
- (iii)
- Repeat step a large number N of times.
- (iv)
- From the bootstrap confidence interval , for the parameter is given by , where . This is performed for the vector parameters .
5. Simulation Study
This section presents simulations studies conducted to study the performance of the maximum likelihood, Bayesian, and least squares estimation approaches. For the parameters of the BAPB-XII distribution, the point estimates were assessed using mean square error (MSE) and average bias (AB). Other criteria such as the average width (AW) and coverage probabilities (CP) were used to asses the performance of ACI, HPD, and Boot-p intervals. The simulation was conducted for 1000 iterations, each with sample size , and The following algorithm was used to generate random samples from the BAPB-XII distribution and conduct the simulation study:
- For a given sample size n, generate independent random values Z and W from a uniform (0,1) distribution.
- For the parameters , and use the inverse transformation method to generate X from the APB-XII distribution utilizing the equation
- For , and , the random variable is obtained numerically, setting in Equation (14).
- Obtain the for the parameters, say , and .
- Run the algorithm 10,000 times, with normal proposals, discarding the first 1000 as a burn-in period and take every 3rd value in the thinning process to reduce the dependence between observations.
- Construct the ACI of MLEs and HPDs of Bayesian estimates.
- Obtain the least square estimates and their respective Boot-p intervals for the parameters.
- Repeat these steps 1000 times.
The above algorithm was considered for the following scenarios of parameters: (, , ,, , ) = (0.4, 1.5, 0.5, 0.8, 1.4, 1.5), (1.25, 0.25, 1.5, 0.25, 0.5, 0.5). A specific copula parameter value was assigned to each set of parameters, namely and with the results shown in Table 1, Table 2, Table 3 and Table 4.
Table 1.
Simulation results: and .
Table 2.
Simulation results: and .
Table 3.
Simulation results: and .
Table 4.
Simulation results: and .
- All estimation methods, Bayesian and non-Bayesian approaches, performed well and could be utilized to effectively estimate the parameters of the BAPB-XII model.
- Across parameters, the MSEs generally decreased as the sample size n increased, indicating that all estimation methods became more accurate with larger samples. The BSEs showed lower MSEs than the MLEs and LSEs for most parameters, suggesting that Bayesian estimation might yield more precise parameter estimates.
- The biases for most estimators were small, especially as n increased. The BSEs often had slightly lower biases.
- The AWs tended to decrease with sample size for all estimates, but the BSEs had narrower confidence intervals. However, for the copula parameters , the MLEs and LSEs often had larger AWs.
- The CPs were close to the nominal level for all estimation approaches.
- The BSEs generally demonstrated a balanced performance with low MSEs, reduced bias, and acceptable coverage probabilities with increasing sample sizes, indicating they were a reliable choice for parameter estimation in this setup. These findings suggest that BSEs may be preferable for accuracy and precision, whereas MLEs provide a more conservative choice with reliable coverage probabilities.
- Negative initial values of the copula parameter tended to introduce greater bias and variability, especially in the BSEs, where the ABs for tended to be larger when the initial value was negative. Positive initial values led to better stability, lower biases, and higher coverage probabilities for across all estimators.
6. Application of Real Data
In this section, we demonstrate the practical usefulness of the proposed bivariate model through its application to a real-world dataset. The data consist of 50 bivariate observations on burr measurements, where X represents burr measurements (in millimeters) for components with a hole diameter of 12 mm and a sheet thickness of 3.15 mm, and Y represents burr measurements for components with a hole diameter of 9 mm and a sheet thickness of 2 mm. The data were obtained from Dasgupta [34], and involved readings taken from jobs with a single, fixed hole, selected based on a predetermined orientation. These two datasets correspond to burr measurements from the two different machines being compared. Additionally, the model was applied to analyze the relationship between X and Y, accounting for all possible relationships, such as , , and .
As detailed in Section 3.1, the marginal distributions of X and Y were assumed to follow the BAPB-XII distribution. To validate this assumption, we analyzed the goodness of fit for each marginal distribution. Table 5 summarizes the results, providing MLEs for the parameters along with the Kolmogorov–Smirnov (K-S) statistics and corresponding p-value. These values indicate that the marginal distributions fit well for both X and Y.
Table 5.
MLEs, , K-S, and p-value statistic for X, Y.
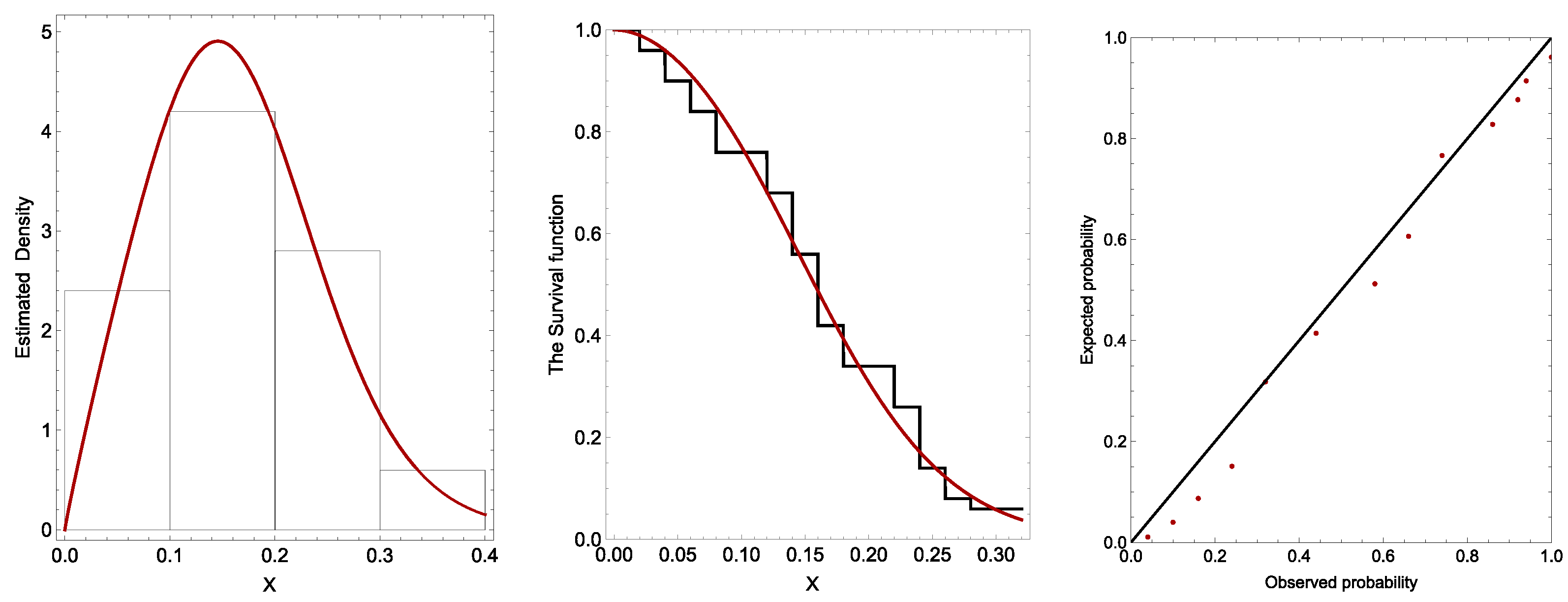
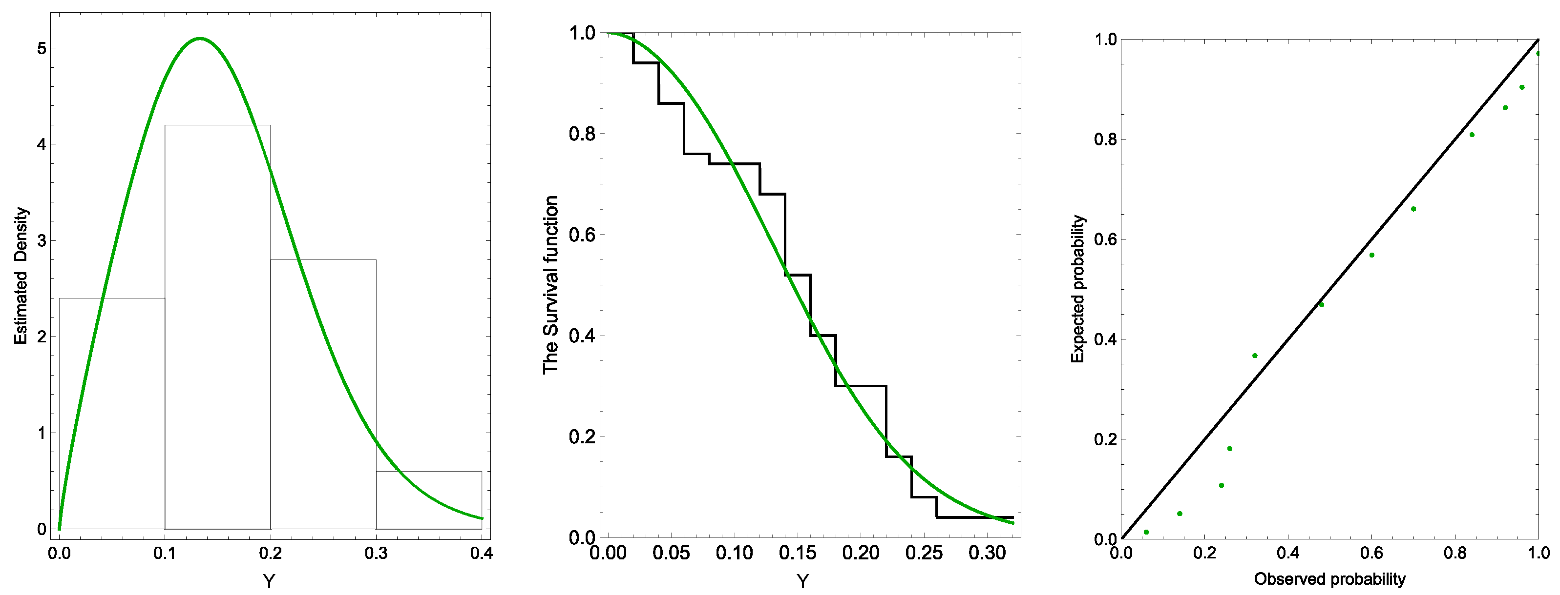
This conclusion is further illustrated in Figure 2 and Figure 3, where we present the estimated pdfs, survival curves, and probability–probability (pp) plots for the marginal distributions of X and Y. These visualizations demonstrate a close alignment between the BAPB-XII distribution and the observed data, confirming the adequacy of this model for the given burr measurement data.
Figure 2.
Estimated pdfs, survival curves, and plot for the marginal distributions of
Figure 3.
Estimated pdfs, survival curves, and plot for the marginal distributions of
We now proceed to model the bivariate relationship between X and Y. This section evaluates the performance of several bivariate models to identify the best fit for the data. Specifically, we compared the BAPB-XII distribution, the bivariate Fréchet (BF) distribution [35], the bivariate power Lomax (BL) distribution [5], the bivariate Lomax exponential (BLE) distribution [36], and the bivariate generalized half-logistic (BGHL) distribution [30].
Table 6 presents the MLEs of the parameters for each model, along with their respective standard errors (SEs), and compares the goodness-of-fit using the Akaike information criterion (AIC) and Bayesian information criterion (BIC). The results indicate that the BAPB-XII distribution provided the best fit to the data, as evidenced by its lower AIC and BIC values.
Table 6.
MLEs and SEs (in parenthesis) for parameters of bivariate distributions.
The findings of our comparative analysis highlight the superior efficacy of the BAPB-XII model in accurately representing the bivariate relationship between X and Y compared to the other well-established models, including the bivariate Fréchet, power Lomax, Lomax exponential, and bivariate generalized half-logistic distributions. This result highlights the potential of BAPB-XII as a significant contribution to the current research. To this end, the BAPB-XII model establishes itself as a valuable tool for bivariate data modeling, paving the way for broader applications in future research.
Finally, we employed the estimation methods discussed earlier, utilizing both Bayesian and non-Bayesian approaches, to obtain estimates of the parameter vector . The parameter estimates derived from the MCMC algorithm, performed over 55,000 iterations, provided significant insights into the Bayesian framework for analyzing burr measurements. After discarding the initial 5000 runs as burn-in, we selected every fifth observation during the thinning process and utilized 10,000 bootstrap samples to establish bootstrapped confidence intervals. Table 7 summarizes the parameter estimates acquired through MLEs, BSEs, and LSEs, each accompanied by the interval estimations.
Table 7.
MLEs, BSEs, LSEs, and corresponding interval estimates for the datasets.
We employed different diagnostic tools to assess the convergence of the MCMC chain. Firstly, the graph of the posterior density distributions for the estimated parameters, displayed in Figure 4, appears approximately normal, indicating well-behaved parameter estimates. Secondly, the trace plots displayed in Figure 5 reinforce our findings by illustrating the convergence of parameter values around specific pivot points, demonstrating the stability of the MCMC chains, which is essential for validating the effectiveness of the sampling process. Lastly, Figure 6 depicts the autocorrelation of the first 100 lags obtained from the MCMC algorithm, showing that the autocorrelation values started at positive one and gradually declined towards zero. This behavior indicates a rapid decrease in correlation with greater lags, supporting the effectiveness of the thinning process.
Figure 4.
Posterior densities for parameters obtained from MCMC chain.
Figure 5.
Trace plots for parameters obtained from MCMC chain.
Figure 6.
First 100 lags of autocorrelation values obtained from MCMC algorithm.
7. Conclusions
In this study, we introduced a novel bivariate distribution, the BAPB-XII distribution, derived from the alpha power Burr-XII distribution and the Farlie–Gumbel–Morgenstern copula function. This model exhibits well-defined statistical properties, making it particularly suitable for analyzing complex life testing data. We thoroughly examined the marginal distributions of the BAPB-XII model, along with its product moments and moment-generating functions, and developed closed-form expressions for these properties, thereby enhancing the model’s theoretical foundation. This rigorous mathematical framework facilitated seamless integration into real-world data analysis, and the efficacy of these methods was assessed through simulation studies, providing robust tools for parameter estimation, which can be applied in various practical scenarios.
A range of estimation methods were employed to evaluate the parameters of the (BAPB-XII) model, including non-Bayesian techniques such as maximum likelihood and least squares, alongside Bayesian estimates obtained using the MCMC approach. We conducted a real-data analysis focused on sheet failure rates to demonstrate the model’s practicality and effectiveness. The analysis revealed that the BAPB-XII model is well-suited for assessing failure rates in situations where the bivariate dependencies between random variables are significant. This case study exemplified the model’s potential utility in understanding and modeling complex, interdependent failure processes.
While the BAPB-XII model shows great promise, there are challenges in bivariate data modeling that warrant future research. Addressing issues related to estimating model parameters under various censoring schemes is essential. Moreover, we aim to explore the integration of this model in accelerating life testing analyses. Investigating the model’s performance across diverse fields—such as reliability engineering, finance, and risk assessment—represents a valuable direction for future studies, ensuring that the BAPB-XII model evolves into a versatile tool in statistical modeling.
Author Contributions
Conceptualization, M.M.E.-A.; Methodology, M.M.H. and D.A.R.; Software, M.M.E.-A.; Validation, D.A.R.; Formal analysis, M.M.H., N.K.A.-E. and D.A.R.; Investigation, A.M.A. and D.A.R.; Resources, M.I.K.; Data curation, O.S.B.; Writing—original draft, M.M.E.-A. and D.A.R.; Writing—review and editing, D.A.R. and N.K.A.-E.; Funding acquisition, A.M.A. All authors have read and agreed to the published version of the manuscript.
Funding
King Saud University, Riyadh, Saudi Arabia, Project Number (RSPD2024R538).
Data Availability Statement
The article contains all the reported datasets.
Acknowledgments
This research project was supported by the Researchers Supporting Project Number (RSPD2024R538), King Saud University, Riyadh, Saudi Arabia.
Conflicts of Interest
The authors declare no conflicts of interest.
References
- Nelsen, R.B. An Introduction to Copulas; Springer Science Business Media: New York, NY, USA, 2007. [Google Scholar]
- Flores, A.Q. Testing copula functions as a method to derive bivariate Weibull distributions. In Proceedings of the American Political Science Association (APSA), Toronto, ON, Canada, 3–6 September 2009; Volume 4, pp. 3–6. [Google Scholar]
- Verrill, S.P.; Evans, J.W.; Kretschmann, D.E.; Hatfield, C.A. Asymptotically efficient estimation of a bivariate Gaussian—Weibull distribution and an introduction to the associated pseudo-truncated Weibull. Stat. Theory Methods 2015, 44, 2957–2975. [Google Scholar] [CrossRef]
- El-Sherpieny, E.S.; Almetwally, E.M. Bivariate generalized Rayleigh distribution based on clayton copula. In Proceedings of the Annual Conference on Statistics (54rd), Computer Science and Operation Research, Giza, Egypt, 9–11 December 2019; Volume 9, pp. 1–19. [Google Scholar]
- Qura, M.E.; Fayomi, A.; Kilai, M.; Almetwally, E.M. Bivariate power Lomax distribution with medical applications. PLoS ONE 2023, 18, 282581. [Google Scholar] [CrossRef] [PubMed]
- Almetwally, E.M.; Muhammed, H.Z. On a Bivariate Frechet distribution. J. Stat. Appl. Probab. 2020, 9, 1–21. [Google Scholar]
- Almetwally, E.M.; Muhammed, H.Z.; El-Sherpieny, E.S.A. Bivariate Weibull distribution: Properties and different methods of estimation. Artif. Neural Netw. Data Sci. 2020, 7, 163–193. [Google Scholar] [CrossRef]
- Haj Ahmad, H.; Almetwally, E.M.; Ramadan, D.A. Investigating the relationship between processor and memory reliability in data science: A bivariate model approach. Mathematics 2023, 11, 2142. [Google Scholar] [CrossRef]
- Samanthi, R.G.M.; Sepanski, J. On bivariate Kumaraswamy-distorted copulas. Commun. Stat. Theory Methods 2022, 51, 2477–2495. [Google Scholar] [CrossRef]
- Cossette, H.; Cote, M.P.; Marceau, E.; Moutanabbir, K. Multivariate distribution defned with Farlie-Gumbel-Morgenstern copula and mixed Erlang marginals: Aggregation and capital allocation. Insur. Math. Econ. 2013, 52, 560–572. [Google Scholar] [CrossRef]
- Patton, A.J. Estimation of multivariate models for time series of possibly diferent lengths. J. Appl. Econom. 2006, 21, 147–173. [Google Scholar] [CrossRef]
- Navarro, J.; Ruiz, J.M.; Sandoval, C.J. Properties of coherent systems with dependent components. Commun. Stat. Theory Methods 2007, 36, 175–191. [Google Scholar] [CrossRef]
- Navarro, J.; Durante, F. Copula-based representations for the reliability of the residual lifetimes of coherent systems with dependent components. J. Multivar. Anal. 2017, 158, 87–102. [Google Scholar] [CrossRef]
- Sklar, A. Random variables, joint distribution functions and copulas. Kybernetika 1973, 9, 449–460. [Google Scholar]
- Gumbel, E.J. Bivariate Exponential distributions. J. Am. Stat. Assoc. 1960, 55, 698–707. [Google Scholar] [CrossRef]
- Burr, I.W. Cumulative frequency functions. Ann. Math. Stat. 1942, 13, 215–232. [Google Scholar] [CrossRef]
- Wang, F.K.; Keats, J.B. Maximum likelihood estimation of the Burr type XII parameters with censored and uncensored data. Microelectron. Reliab. 1996, 36, 359–362. [Google Scholar] [CrossRef]
- Abdel-Ghaly, A.A.; Al-Dayian, G.R.; Al-Kashkari, F.H. The use of Burr type XII distribution on software reliability growth modeling. Microelectron. Reliab. 1997, 37, 305–313. [Google Scholar] [CrossRef]
- Zimmer, W.J.; Keats, J.B.; Wang, F.K. The Burr XII distribution in reliability analysis. J. Qual. Technol. 1998, 30, 386–394. [Google Scholar] [CrossRef]
- Moors, J.J.A. A quantile alternative for kurtosis. Statistician 1998, 37, 25–32. [Google Scholar] [CrossRef]
- Wu, J.W.; Yu, H.Y. Statistical inference about the shape parameter of the Burr type XII distribution under the failure-censored sampling plan. Appl. Math. Comput. 2005, 16, 443–482. [Google Scholar] [CrossRef]
- AL-Hussaini, E.K. Bayesian predictive density of order statistics based on finite mixture models. J. Stat. Plan. Inference 2003, 13, 15–24. [Google Scholar] [CrossRef]
- AL-Hussaini, E.K.; Ahmad, A.A. On bayesian interval prediction of future records. Test 2003, 12, 79–99. [Google Scholar] [CrossRef]
- Kumar, D.; Singh, U.; Singh, S.K. A method of proposing new distribution and its application to bladder cancer patients data. J. Stat. Appl. Probab. Lett. 2015, 2, 235–245. [Google Scholar]
- Abd-Elwahab, N.K.; Ramadan, D.A.; El-Desouky, B.S. Statistical analysis of alpha power Burr-XII Distribution with Application to biomedical data. Journal of Mathmatices. Mansoura 2023, 36, 9005–9230. [Google Scholar]
- Osmetti, S.A.; Chiodini, P.M. A method of moments to estimate bivariate survival functions. Copula Approach. Stat. 2011, 71, 469–488. [Google Scholar]
- Kim, G.; Silvapulle, M.J.; Silvapulle, P. Comparison of semiparametric and parametric methods for estimating copulas. Comput. Stat. Data Anal. 2007, 51, 2836–2850. [Google Scholar] [CrossRef]
- Muhammed, H.Z.; El-Sherpieny, S.A.; Almetwally, E.M. Dependency measures for new bivariate models based on copula function. Inf. Sci. Lett. 2021, 10, 511–526. [Google Scholar]
- Abulebda, M.; Pathak, A.K.; Pandey, A.; Tyagi, S. On a bivariate X-Gamma distribution derived from copula. Statistica 2022, 82, 15–40. [Google Scholar]
- Hassan, M.K.; Chesneau, C. Bivariate generalized Half-Logistic distribution: Properties and its application in household financial affordability in KSA. Math. Comput. Appl. 2022, 27, 72. [Google Scholar] [CrossRef]
- Brooks, S. Markov chain monte carlo method and its application. J. R. Stat. Soc. Ser. D 1998, 47, 69–100. [Google Scholar] [CrossRef]
- Ebrahimi, N.; Pellerey, F. New partial ordering of survival functions based on the notion of uncertainty. J. Appl. Probab. 1995, 32, 202–211. [Google Scholar] [CrossRef]
- Chen, M.H.; Shao, Q.M. Monte Carlo Estimation of Bayesian credible and HPD intervals. J. Comput. Graph. 1999, 8, 69–92. [Google Scholar] [CrossRef]
- Dasgupta, R. On the distribution of burr with applications. Sankhya B 2011, 73, 1–19. [Google Scholar] [CrossRef]
- Philip, A.; Thomas, P.Y. On concomitants of order statistics and its application in defining ranked set sampling from farlie gumbel-morgenstern bivariate Lomax distribution. JIRSS 2017, 16, 67–95. [Google Scholar]
- Qura, M.E.; Fayomi, A.; Almetwally, E.M. A novel bivariate Lomax-G family of distributions, Properties, inference and applications to environmental, medical and computer science data. AIMS Math. 2023, 8, 17539–17584. [Google Scholar]
Disclaimer/Publisher’s Note: The statements, opinions and data contained in all publications are solely those of the individual author(s) and contributor(s) and not of MDPI and/or the editor(s). MDPI and/or the editor(s) disclaim responsibility for any injury to people or property resulting from any ideas, methods, instructions or products referred to in the content. |
© 2024 by the authors. Licensee MDPI, Basel, Switzerland. This article is an open access article distributed under the terms and conditions of the Creative Commons Attribution (CC BY) license (https://creativecommons.org/licenses/by/4.0/).





