Product of Spacing Estimation of Stress–Strength Reliability for Alpha Power Exponential Progressively Type-II Censored Data
Abstract
1. Introduction
2. Maximum Likelihood Estimation
3. Maximum Product of Spacing Estimation
4. Bootstrap Confidence Intervals
- (A) PBCIs
- (1)
- Use the original data , and to calculate , and .
- (2)
- Based on the same and and the estimates , and , generate two progressively Type-II censored samples.
- (3)
- Use the simulated bootstrap samples in step (2) to compute , and .
- (4)
- Repeat steps 2 and 3 B times to compute , , , and , .
- (5)
- Arrange the estimates in (t) to obtain (), (), (), and ().
- (6)
- For any parameter, say , the PBCI is obtained as follows:
- (B) SBCIs
- (1–4)
- As displayed in the PBCIs.
- (5)
- Obtain the statistics , , , and , .
- (6)
- Arrange the values in step 5 to get (), (), (), and ().
- (7)
- The SBCIs of and R are given, respectively, as
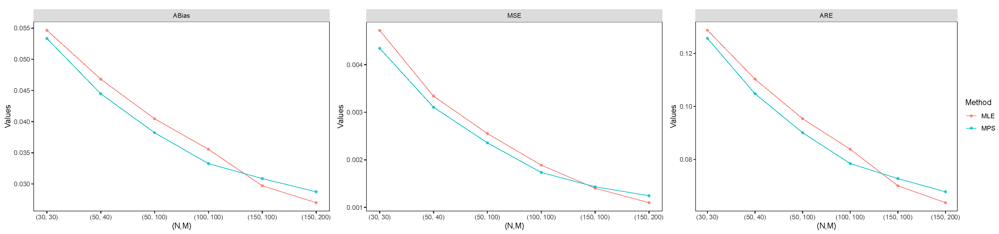
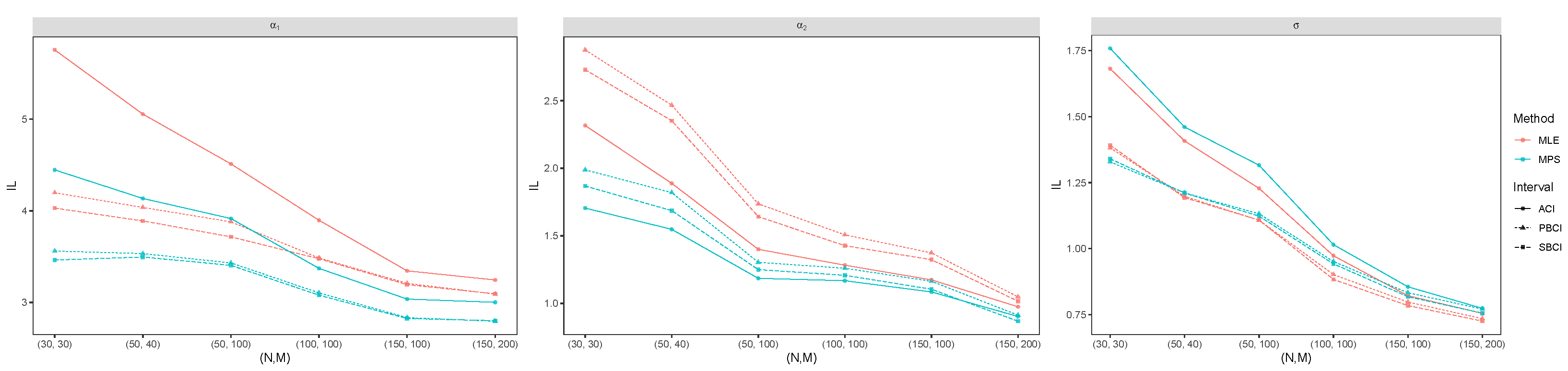
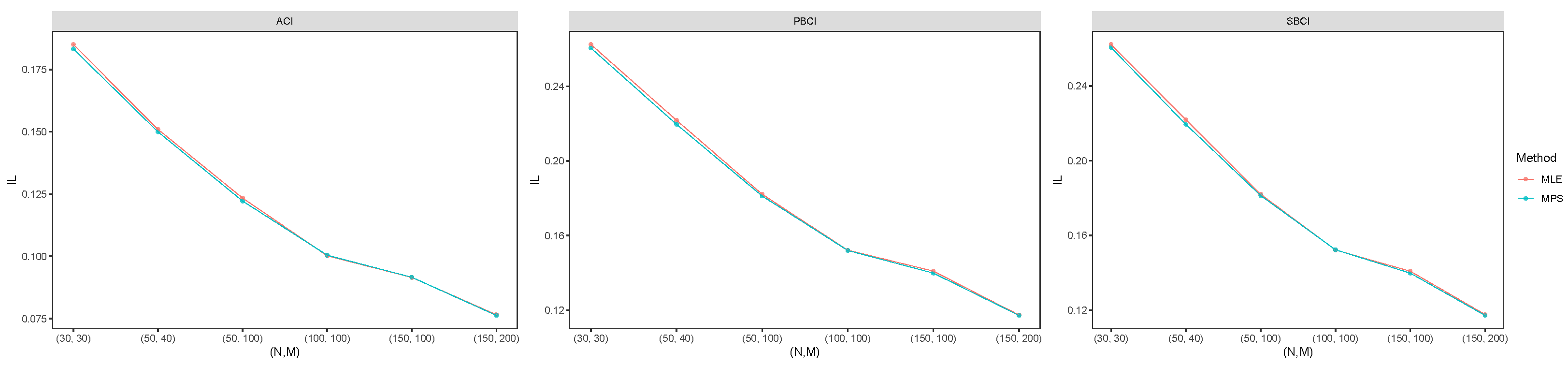
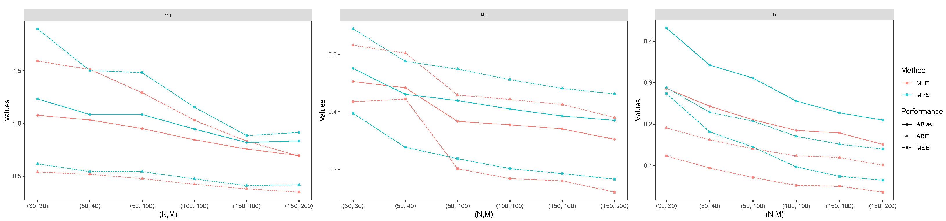
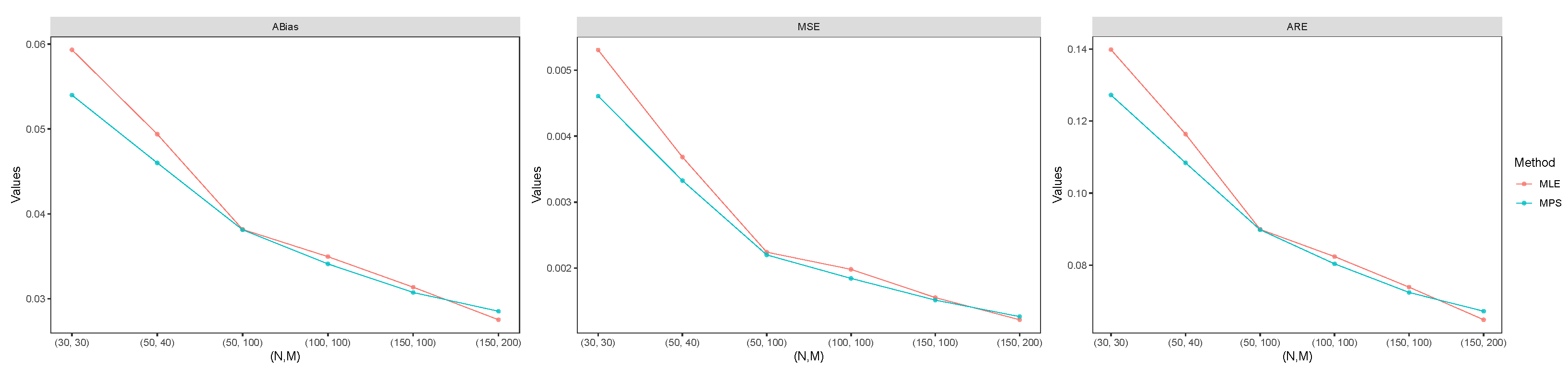
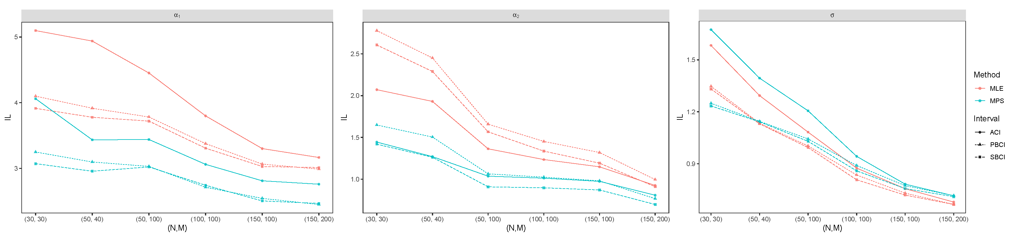
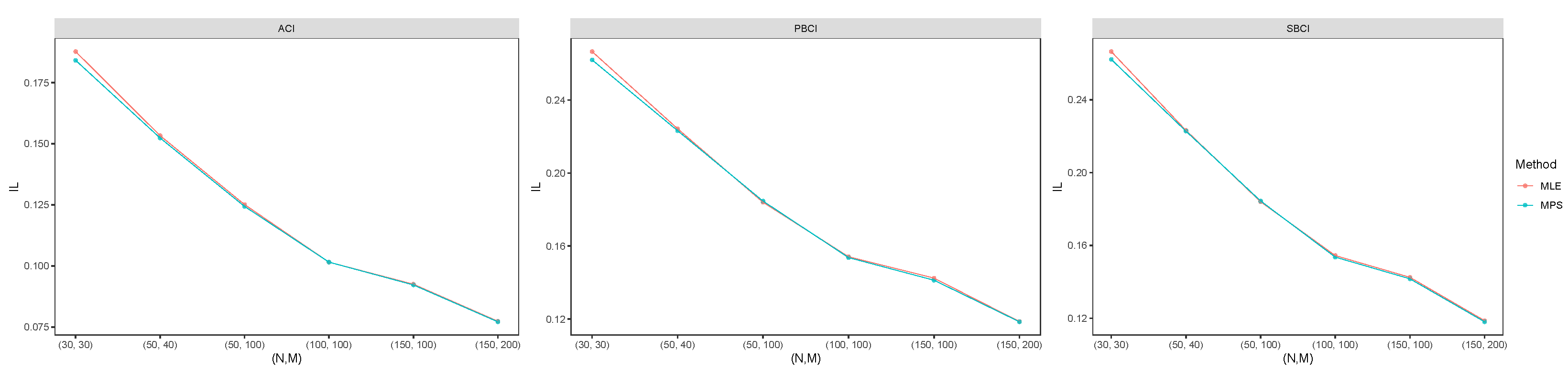
5. Simulation Study
- Scheme 1:
- .
- Scheme 2:
- , and the others for .
6. Real Data Applications
6.1. Recurrence Times to Infection for Kidney Patients
6.2. Breaking Strengths of Jute Fibre Data
7. Conclusions
Author Contributions
Funding
Data Availability Statement
Acknowledgments
Conflicts of Interest
References
- Birnbaum, Z.W. On a use of the Mann-Whitney statistic. In Proceedings of the Third Berkeley Symposium on Mathematical Statistics and Probability; University of California Press: Berkeley, CA, USA, 1956; Volume 1, pp. 13–17. [Google Scholar]
- Chung, W.K. Some stress-strength reliability models. Microelectro Reliab. 1982, 22, 277–280. [Google Scholar] [CrossRef]
- Kundu, D.; Gupta, R.D. Estimation of R=P[Y<X] for Weibull distributions. IEEE Trans. Reliab. 2006, 55, 270–280. [Google Scholar]
- Raqab, M.Z.; Madi, M.T.; Kundu, D. Estimation of P(Y<X) for the three-parameter generalized exponential distribution. Commun. Stat. Theory Methods 2008, 37, 2854–2864. [Google Scholar]
- Sharma, V.K. Bayesian analysis of head and neck cancer data using generalized inverse Lindley stress–strength reliability model. Commun. Stat. Theory Methods 2018, 47, 1155–1180. [Google Scholar] [CrossRef]
- Baklizi, A. Interval estimation of the stress–strength reliability in the two-parameter exponential distribution based on records. J. Stat. Comput. Simul. 2014, 84, 2670–2679. [Google Scholar] [CrossRef]
- Valiollahi, R.; Asgharzadeh, A.; Raqab, M.Z. Estimation of P(Y<X) for Weibull distribution under progressive Type-II censoring. Commun. Stat. Theory Methods 2013, 42, 4476–4498. [Google Scholar]
- Asgharzadeh, A.; Kazemi, M.; Kundu, D. Estimation of P(X>Y) for Weibull distribution based on hybrid censored samples. International J. Syst. Assur. Eng. Manag. 2017, 8, 489–498. [Google Scholar] [CrossRef]
- Yadav, A.S.; Singh, S.K.; Singh, U. Estimation of stress–strength reliability for inverse Weibull distribution under progressive type-II censoring scheme. J. Ind. Prod. Eng. 2018, 35, 48–55. [Google Scholar] [CrossRef]
- Rostamian, S.; Nematollahi, N. Estimation of stress–strength reliability in the inverse Gaussian distribution under progressively type II censored data. Math. Sci. 2019, 13, 175–191. [Google Scholar] [CrossRef]
- Ghanbari, S.; Rezaei Roknabadi, A.; Salehi, M. Estimation of stress–strength reliability for Marshall–Olkin distributions based on progressively Type-II censored samples. J. Appl. Stat. 2022, 49, 1913–1934. [Google Scholar] [CrossRef]
- Asadi, S.; Panahi, H. Estimation of stress–strength reliability based on censored data and its evaluation for coating processes. Qual. Technol. Quant. Manag. 2022, 19, 379–401. [Google Scholar] [CrossRef]
- Balakrishnan, N.; Aggarwala, R. Progressive Censoring: Theory, Methods, and Applications; Springer Science & Business Media: Boston, MA, USA; Birkhäuser: Basel, Switzerland, 2000. [Google Scholar]
- Balakrishnan, N.; Cramer, E. The Art of Progressive Censoring Applications to Reliability and Quality; Springer: New York, NY, USA, 2014. [Google Scholar]
- Mahdavi, A.; Kundu, D. A new method for generating distributions with an application to exponential distribution. Commun. Stat. Theory Methods 2017, 46, 6543–6557. [Google Scholar] [CrossRef]
- Nassar, M.; Afify, A.Z.; Shakhatreh, M. Estimation methods of alpha power exponential distribution with applications to engineering and medical data. Pak. J. Stat. Oper. Res. 2020, 16, 149–166. [Google Scholar] [CrossRef]
- Alotaibi, R.; Elshahhat, A.; Rezk, H.; Nassar, M. Inferences for Alpha Power Exponential Distribution Using Adaptive Progressively Type-II Hybrid Censored Data with Applications. Symmetry 2022, 14, 651. [Google Scholar] [CrossRef]
- Nassar, M.; Alotaibi, R.; Zhang, C. Estimation of Reliability Indices for Alpha Power Exponential Distribution Based on Progressively Censored Competing Risks Data. Mathematics 2022, 10, 2258. [Google Scholar] [CrossRef]
- Anatolyev, S.; Kosenok, G. An alternative to maximum likelihood based on spacings. Econom. Theory 2005, 21, 472–476. [Google Scholar] [CrossRef]
- Davison, A.C. Statistical Models; Cambridge University Press: Cambridge, UK, 2003. [Google Scholar]
- Nadarajah, S.; Jia, X. Estimation of P(Y>X) for the Weibull distribution. Int. J. Syst. Assur. Eng. Manag. 2017, 8, 1762–1774. [Google Scholar] [CrossRef]
- Cheng, R.C.H.; Amin, N.A.K. Estimating parameters in continuous univariate distributions with a shifted origin. J. R. Stat. Soc. Ser. 1983, 45, 394–403. [Google Scholar] [CrossRef]
- Cheng, R.C.H.; Iles, T.C. Corrected maximum likelihood in non-regular problems. J. R. Stat. Soc. Ser. Methodol. 1987, 49, 95–101. [Google Scholar] [CrossRef]
- Cheng, R.C.H.; Traylor, L. Non-regular maximum likelihood problems. J. R. Stat. Soc. Ser. 1995, 57, 3–24. [Google Scholar] [CrossRef]
- Basu, S.; Singh, S.K.; Singh, U. Parameter estimation of inverse Lindley distribution for Type-I censored data. Comput. Stat. 2017, 32, 367–385. [Google Scholar] [CrossRef]
- Basu, S.; Singh, S.K.; Singh, U. Estimation of inverse Lindley distribution using product of spacings function for hybrid censored data. Methodol. Comput. Appl. Probab. 2019, 21, 1377–1394. [Google Scholar] [CrossRef]
- Nassar, M.; Dey, S.; Wang, L.; Elshahhat, A. Estimation of Lindley constant-stress model via product of spacing with Type-II censored accelerated life data. Commun. Stat. Simul. Comput. 2021. [Google Scholar] [CrossRef]
- Ranneby, B. The maximum spacing method. An estimation method related to the maximum likelihood method. Scand. J. Stat. 1984, 11, 93–112. [Google Scholar]
- Coolen, F.; Newby, M. A Note on the Use of the Product of Spacings in Bayesian Inference; Technische Universiteit Eindhoven: Eindhoven, The Netherlands, 1990. [Google Scholar]
- Cheng, R.C.H.; Stephens, M.A. A goodness-of-fit test using Moran’s statistic with estimated parameters. Biometrika 1989, 76, 385–392. [Google Scholar] [CrossRef]
- Ghosh, K.; Jammalamadaka, S.R. A general estimation method using spacings. J. Stat. Plan. Inference 2001, 93, 71–82. [Google Scholar] [CrossRef]
- Efron, B. The Jackknife, the Bootstrap and Other Resampling Plans; CBMS-NSF Monographs 38; Society for Industrial and Applied Mathematics: Philadelphia, PA, USA, 1982. [Google Scholar]
- Hall, P. Theoretical comparison of bootstrap confidence intervals. Ann. Stat. 1988, 16, 927–953. [Google Scholar] [CrossRef]
- McGilchrist, C.A.; Aisbett, C.W. Regression with Frailty in Survival Analysis. Biometrics 1991, 47, 461. [Google Scholar] [CrossRef]
- Michael, J.R.; Schucany, W.R. Analysis of Data from Censored Samples. In Goodness-of Fit Techniques; D’Agostino, R.B., Stephens, M.A., Eds.; Marcel Dekker: New York, NY, USA, 1986; 560p, Chapter 11; pp. 461–496. [Google Scholar]
- Xia, Z.P.; Yu, J.Y.; Cheng, L.D.; Liu, L.F.; Wang, W.M. Study on the breaking strength of jute fibres using modified Weibull distribution. Compos. Part Appl. Sci. Manuf. 2009, 40, 54–59. [Google Scholar] [CrossRef]
- Nadeb, H.; Torabi, H.; Zhao, Y. Stress-strength reliability of exponentiated Fréchet distributions based on Type-II censored data. J. Stat. Comput. Simul. 2019, 89, 1863–1876. [Google Scholar] [CrossRef]














| Number | X | Y | Number | X | Y | ||||
|---|---|---|---|---|---|---|---|---|---|
| 1 | 0.0267 | 0 | 0.0533 | 0 | 20 | 0.0500 | 0 | 0.3600 | 1 |
| 2 | 0.0767 | 0 | 0.0433 | 1 | 21 | 0.5067 | 0 | 1.8733 | 0 |
| 3 | 0.0733 | 0 | 0.0933 | 0 | 22 | 1.3400 | 0 | 0.0800 | 1 |
| 4 | 1.4900 | 0 | 1.0600 | 0 | 23 | 0.0433 | 0 | 0.2200 | 0 |
| 5 | 0.1000 | 0 | 0.0400 | 0 | 24 | 0.1300 | 0 | 0.1533 | 1 |
| 6 | 0.0800 | 0 | 0.8167 | 0 | 25 | 0.0400 | 0 | 0.1333 | 0 |
| 7 | 0.0233 | 0 | 0.0300 | 0 | 26 | 0.3767 | 1 | 0.6700 | 0 |
| 8 | 1.7033 | 0 | 0.1000 | 0 | 27 | 0.4400 | 0 | 0.5200 | 0 |
| 9 | 0.1767 | 0 | 0.6533 | 0 | 28 | 0.1133 | 0 | 0.1000 | 0 |
| 10 | 0.0500 | 0 | 0.5133 | 0 | 29 | 0.0067 | 0 | 0.0833 | 0 |
| 11 | 0.0233 | 0 | 1.1100 | 0 | 30 | 0.4333 | 0 | 0.0867 | 0 |
| 12 | 0.4700 | 0 | 0.0267 | 1 | 31 | 0.0900 | 0 | 0.1933 | 0 |
| 13 | 0.3200 | 0 | 0.1267 | 0 | 32 | 0.0167 | 1 | 0.1433 | 0 |
| 14 | 0.4967 | 1 | 0.2333 | 1 | 33 | 0.5067 | 0 | 0.1000 | 0 |
| 15 | 1.7867 | 0 | 0.0833 | 1 | 34 | 0.6333 | 0 | 0.0167 | 1 |
| 16 | 0.0567 | 0 | 0.0133 | 1 | 35 | 0.3967 | 0 | 0.0267 | 0 |
| 17 | 0.6167 | 0 | 0.5900 | 0 | 36 | 0.1800 | 1 | 0.0533 | 1 |
| 18 | 0.9733 | 0 | 0.3800 | 0 | 37 | 0.0200 | 1 | 0.2600 | 0 |
| 19 | 0.0733 | 1 | 0.5300 | 1 | 38 | 0.2100 | 0 | 0.0267 | 1 |
| Method | RV | Shape | Scale | K-S | p-Value |
|---|---|---|---|---|---|
| MLE | X | 0.2081 | 3.6256 | 0.1464 | 0.5160 |
| Y | 0.2962 | 3.6256 | 0.1493 | 0.6059 | |
| MPS | X | 0.1036 | 2.5161 | 0.1277 | 0.6846 |
| Y | 0.1921 | 2.5161 | 0.1185 | 0.8503 |
| Method | Para | Estm | ACI | PBCI | SBCI |
|---|---|---|---|---|---|
| MLE | 0.2081 | (0, 0.7097) | (0.0048, 2.0938) | (0, 1.8176) | |
| 0.2962 | (0, 1.043) | (0.004, 3.5501) | (0, 2.8458) | ||
| 3.6256 | (0.8434, 6.4078) | (1.3919, 8.3672) | (0.1653, 7.1406) | ||
| R | 0.4724 | (0.3855, 0.5788) | (0.3202, 0.5697) | (0.3508, 0.6004) | |
| MPS | 0.1036 | (0, 0.5072) | (0.0036, 0.6737) | (0.0025, 0.6726) | |
| 0.1921 | (0, 0.9703) | (0.006, 1.6753) | (0, 1.5647) | ||
| 2.5161 | (0, 5.7229) | (1.0222, 4.9372) | (1.2234, 5.1384) | ||
| R | 0.4544 | (0.3643, 0.5668) | (0.3068, 0.535) | (0.3382, 0.5665) |
| Method | Para | Estm | SE | ACI | PBCI | SBCI |
|---|---|---|---|---|---|---|
| MLE | 0.6234 | 0.4095 | (0, 1.8753) | (0.0727, 2.5088) | (0, 2.3308) | |
| 1.7012 | 0.8346 | (0, 4.8596) | (0.4902, 10.1192) | (0, 8.6733) | ||
| 3.3854 | 0.8927 | (1.5711, 5.1997) | (2.3328, 5.5307) | (1.9076, 5.1055) | ||
| R | 0.4170 | 0.0641 | (0.337, 0.5161) | (0.2728, 0.5064) | (0.3017, 0.5353) | |
| MPS | 0.2875 | 0.1958 | (0, 1.0799) | (0.0035, 0.9391) | (0.1063, 1.0419) | |
| 0.8581 | 0.4699 | (0, 2.9505) | (0.01, 4.281) | (0, 4.2514) | ||
| 2.6094 | 0.7945 | (0.4889, 4.73) | (0.7402, 4.1098) | (1.2233, 4.5929) | ||
| R | 0.4112 | 0.0615 | (0.3326, 0.5084) | (0.265, 0.5136) | (0.294, 0.5427) |
| Method | Para | Estm | SE | ACI | PBCI | SBCI |
|---|---|---|---|---|---|---|
| MLE | 0.3333 | 0.9462 | (0, 1.0616) | (0.0101, 2.2839) | (0, 2.0505) | |
| 0.7203 | 1.3071 | (0, 2.2618) | (0.0371, 6.1638) | (0, 5.1807) | ||
| 1.9772 | 0.8694 | (0.6885, 3.2659) | (0.8767, 3.7931) | (0.4772, 3.3936) | ||
| R | 0.4371 | 0.0567 | (0.3547, 0.5388) | (0.2863, 0.5283) | (0.3177, 0.5597) | |
| MPS | 0.0828 | 0.4884 | (0, 0.5641) | (0.003, 0.5729) | (0, 0.5633) | |
| 0.1923 | 0.6476 | (0, 1.224) | (0.0077, 1.5637) | (0, 1.4653) | ||
| 1.2133 | 0.6819 | (0, 3.4036) | (0.5192, 2.411) | (0.5969, 2.4887) | ||
| R | 0.4387 | 0.0534 | (0.3577, 0.5381) | (0.2966, 0.527) | (0.3224, 0.5527) |
| X | 1.3875 | 1.4093 | 0.6477 | 1.5563 | 0.2461 | 1.2753 | 0.7669 | 0.3030 | 0.2179 | 0.1003 |
| 1.3430 | 0.3663 | 0.5149 | 1.4545 | 0.5825 | 0.2023 | 0.7528 | 0.3268 | 0.2828 | 1.4015 | |
| 0.5258 | 0.7065 | 0.8442 | 0.0879 | 1.1810 | 0.4243 | 0.6078 | 1.0132 | 1.0611 | 0.3545 | |
| Y | 0.1429 | 0.8380 | 0.5693 | 1.1711 | 0.9132 | 0.2277 | 0.3757 | 1.3763 | 1.3253 | 0.0912 |
| 1.1572 | 1.5134 | 1.1886 | 0.3330 | 0.1994 | 1.4147 | 1.5303 | 0.3743 | 0.2919 | 0.7014 | |
| 1.0949 | 0.2340 | 0.7516 | 1.1632 | 0.2397 | 0.0960 | 0.4003 | 0.0735 | 0.4891 | 0.1671 |
| Method | RV | Shape | Scale | K-S | p-Value |
|---|---|---|---|---|---|
| MLE | X | 16.9289 | 2.2980 | 0.0849 | 0.9692 |
| Y | 7.5969 | 2.2980 | 0.1593 | 0.3903 | |
| MPS | X | 10.0976 | 2.0821 | 0.0961 | 0.9200 |
| Y | 5.0576 | 2.0821 | 0.1428 | 0.5266 |
| Method | Para | Estm | ACI | PBCI | SBCI |
|---|---|---|---|---|---|
| MLE | 16.9289 | (0, 42.034) | (3.1314, 36.8634) | (0, 31.9271) | |
| 7.5969 | (0, 17.9733) | (1.3987, 32.4363) | (0, 28.102) | ||
| 2.2980 | (1.8713, 2.7246) | (1.739, 2.828) | (1.7014, 2.7904) | ||
| R | 0.5558 | (0.4612, 0.6697) | (0.4198, 0.6731) | (0.4257, 0.6789) | |
| MPS | 10.0976 | (0, 24.0585) | (0.9452, 29.2365) | (1.4248, 29.7162) | |
| 5.0576 | (0, 11.635) | (0.594, 19.8588) | (0.7678, 20.0326) | ||
| 2.0821 | (1.6764, 2.4878) | (1.2571, 2.4602) | (1.4731, 2.6762) | ||
| R | 0.5510 | (0.457, 0.6643) | (0.4158, 0.6755) | (0.4156, 0.6753) |
| Method | Para | Estm | SE | ACI | PBCI | SBCI |
|---|---|---|---|---|---|---|
| MLE | 13.4211 | 10.4318 | (0, 36.4709) | (2.0164, 33.6128) | (0, 30.8833) | |
| 7.0213 | 7.8096 | (0, 24.6551) | (0.7734, 30.4276) | (0, 26.1548) | ||
| 2.1080 | 0.3062 | (1.8108, 2.6475) | (1.4328, 2.5851) | (1.4572, 2.6095) | ||
| R | 0.5475 | 0.0684 | (0.466, 0.676) | (0.3974, 0.6645) | (0.4149, 0.6819) | |
| MPS | 6.7101 | 4.8405 | (0, 21.154) | (0.0019, 30.795) | (0, 30.7761) | |
| 3.8624 | 3.7854 | (0, 9.349) | (0.0049, 14.2785) | (0, 13.335) | ||
| 1.8197 | 0.2900 | (1.6097, 2.4028) | (0.2274, 2.2947) | (0.4093, 2.4766) | ||
| R | 0.5436 | 0.0644 | (0.4636, 0.6727) | (0.3696, 0.699) | (0.3843, 0.7138) |
| Method | Para | Estm | SE | ACI | PBCI | SBCI |
|---|---|---|---|---|---|---|
| MLE | 16.5095 | 10.7951 | (0, 29.5292) | (4.3397, 38.6413) | (0, 30.0847) | |
| 12.4487 | 11.0307 | (0, 21.1622) | (1.4595, 30.7399) | (0, 33.1656) | ||
| 2.2606 | 0.2678 | (1.6076, 2.3475) | (1.8619, 2.8978) | (1.1694, 2.601) | ||
| R | 0.5290 | 0.0712 | (0.43, 0.6342) | (0.4508, 0.6707) | (0.3833, 0.6351) | |
| MPS | 8.5118 | 5.1865 | (0, 13.8538) | (0.0089, 15.9341) | (0.3599, 16.2851) | |
| 7.1433 | 6.9200 | (0, 11.2661) | (0.0041, 14.3265) | (0.4654, 14.7878) | ||
| 1.9773 | 0.2628 | (1.3569, 2.0465) | (0.2937, 2.188) | (0.4476, 2.3419) | ||
| R | 0.5263 | 0.0695 | (0.4233, 0.6266) | (0.3733, 0.6143) | (0.3692, 0.6102) |
Disclaimer/Publisher’s Note: The statements, opinions and data contained in all publications are solely those of the individual author(s) and contributor(s) and not of MDPI and/or the editor(s). MDPI and/or the editor(s) disclaim responsibility for any injury to people or property resulting from any ideas, methods, instructions or products referred to in the content. |
© 2023 by the authors. Licensee MDPI, Basel, Switzerland. This article is an open access article distributed under the terms and conditions of the Creative Commons Attribution (CC BY) license (https://creativecommons.org/licenses/by/4.0/).
Share and Cite
Nassar, M.; Alotaibi, R.; Zhang, C. Product of Spacing Estimation of Stress–Strength Reliability for Alpha Power Exponential Progressively Type-II Censored Data. Axioms 2023, 12, 752. https://doi.org/10.3390/axioms12080752
Nassar M, Alotaibi R, Zhang C. Product of Spacing Estimation of Stress–Strength Reliability for Alpha Power Exponential Progressively Type-II Censored Data. Axioms. 2023; 12(8):752. https://doi.org/10.3390/axioms12080752
Chicago/Turabian StyleNassar, Mazen, Refah Alotaibi, and Chunfang Zhang. 2023. "Product of Spacing Estimation of Stress–Strength Reliability for Alpha Power Exponential Progressively Type-II Censored Data" Axioms 12, no. 8: 752. https://doi.org/10.3390/axioms12080752
APA StyleNassar, M., Alotaibi, R., & Zhang, C. (2023). Product of Spacing Estimation of Stress–Strength Reliability for Alpha Power Exponential Progressively Type-II Censored Data. Axioms, 12(8), 752. https://doi.org/10.3390/axioms12080752

