Tsallis Entropy for the Past Lifetime Distribution with Application
Abstract
1. Introduction
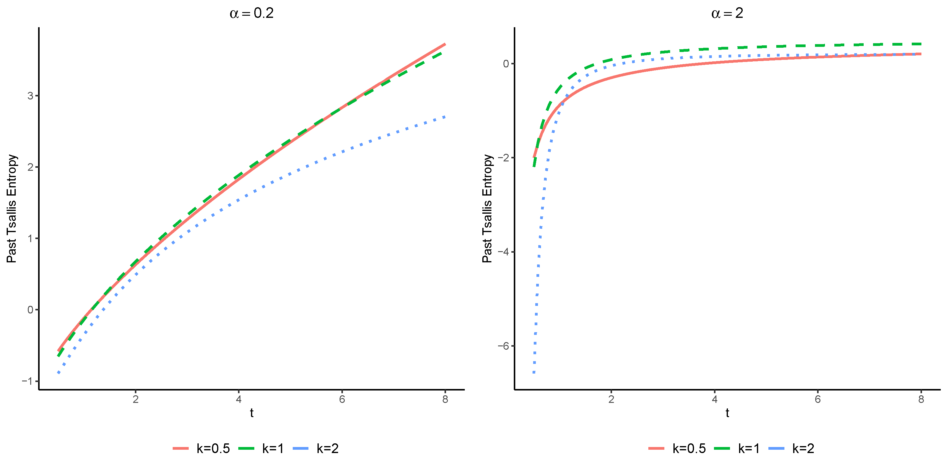
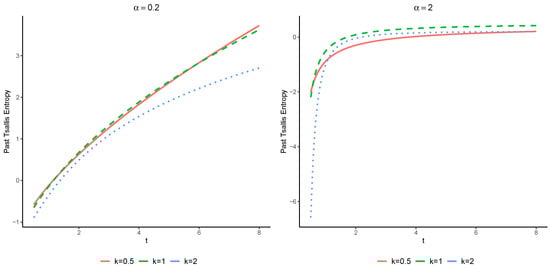
2. Findings on Past Tsallis Entropy
3. Findings on Inactive Coherent Systems and Their Past Lifetimes
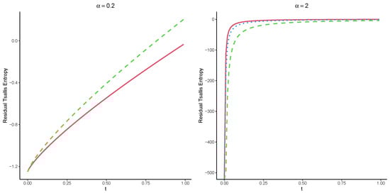
4. Some Bounds Involving the Past Tsallis Entropy Measure
5. Concluding Remarks
Author Contributions
Funding
Informed Consent Statement
Data Availability Statement
Acknowledgments
Conflicts of Interest
References
- Shannon, C.E. A mathematical theory of communication. Bell Syst. Tech. J. 1948, 27, 379–423. [Google Scholar] [CrossRef]
- Tsallis, C. Possible generalization of Boltzmann-Gibbs statistics. J. Stat. Phys. 1988, 52, 479–487. [Google Scholar] [CrossRef]
- Havrda, J.; Charvát, F. Quantification method of classification processes. Concept of structural a-entropy. Kybernetika 1967, 3, 30–35. [Google Scholar]
- Tsallis, C. Introduction to Nonextensive Statistical Mechanics: Approaching a Complex World; Springer: Berlin/Heidelberg, Germany, 2009; Volume 1. [Google Scholar]
- Nair, N.U.; Sunoj, S.; Rajesh, G. Reliability Modelling with Information Measures; CRC Press: Boca Raton, FL, USA, 2022. [Google Scholar]
- Ebrahimi, N.; Pellerey, F. New partial ordering of survival functions based on the notion of uncertainty. J. Appl. Probab. 1995, 32, 202–211. [Google Scholar] [CrossRef]
- Rajesh, G.; Sunoj, S. Some properties of cumulative Tsallis entropy of order α. Stat. Pap. 2019, 60, 933–943. [Google Scholar] [CrossRef]
- Baratpour, S.; Khammar, A. Results on Tsallis entropy of order statistics and record values. Istat. J. Turk. Stat. Assoc. 2016, 8, 60–73. [Google Scholar]
- Baratpour, S.; Khammar, A. Tsallis entropy properties of order statistics and some stochastic comparisons. J. Stat. Res. Iran JSRI 2016, 13, 25–41. [Google Scholar] [CrossRef]
- Misagh, F.; Yari, G. Interval entropy and informative distance. Entropy 2012, 14, 480–490. [Google Scholar] [CrossRef]
- Chakraborty, S.; Pradhan, B. Generalized weighted survival and failure entropies and their dynamic versions. Commun.-Stat.-Theory Methods 2023, 52, 730–750. [Google Scholar] [CrossRef]
- Alomani, G.; Kayid, M. Further Properties of Tsallis Entropy and Its Application. Entropy 2023, 25, 199. [Google Scholar] [CrossRef]
- Abdolsaeed, T.; Doostparast, M. A note on signature-based expressions for the entropy of mixed r-out-of-n systems. Nav. Res. Logist. (NRL) 2014, 61, 202–206. [Google Scholar]
- Toomaj, A. Renyi entropy properties of mixed systems. Commun.-Stat.-Theory Methods 2017, 46, 906–916. [Google Scholar] [CrossRef]
- Toomaj, A.; Di Crescenzo, A.; Doostparast, M. Some results on information properties of coherent systems. Appl. Stoch. Model. Bus. Ind. 2018, 34, 128–143. [Google Scholar] [CrossRef]
- Asadi, M.; Ebrahimi, N.; Soofi, E.S. Dynamic generalized information measures. Stat. Probab. Lett. 2005, 71, 85–98. [Google Scholar] [CrossRef]
- Gupta, R.; Nanda, A. α-and β-entropies and relative entropies of distributions. J. Stat. Theory Appl. 2002, 1, 177–190. [Google Scholar]
- Nanda, A.K.; Paul, P. Some results on generalized residual entropy. Inf. Sci. 2006, 176, 27–47. [Google Scholar] [CrossRef]
- Mesfioui, M.; Kayid, M.; Shrahili, M. Renyi Entropy of the Residual Lifetime of a Reliability System at the System Level. Axioms 2023, 12, 320. [Google Scholar] [CrossRef]
- Di Crescenzo, A.; Longobardi, M. Entropy-based measure of uncertainty in past lifetime distributions. J. Appl. Probab. 2002, 39, 434–440. [Google Scholar] [CrossRef]
- Nair, N.U.; Sunoj, S. Some aspects of reversed hazard rate and past entropy. Commun.-Stat.-Theory Methods 2021, 32, 2106–2116. [Google Scholar] [CrossRef]
- Gupta, R.C.; Taneja, H.; Thapliyal, R. Stochastic comparisons of residual entropy of order statistics and some characterization results. J. Stat. Theory Appl. 2014, 13, 27–37. [Google Scholar] [CrossRef][Green Version]
- Krishnan, A.S.; Sunoj, S.; Unnikrishnan Nair, N. Some reliability properties of extropy for residual and past lifetime random variables. J. Korean Stat. Soc. 2020, 49, 457–474. [Google Scholar] [CrossRef]
- Kamari, O.; Buono, F. On extropy of past lifetime distribution. Ric. Mat. 2021, 70, 505–515. [Google Scholar] [CrossRef]
- Vaselabadi, N.M.; Tahmasebi, S.; Kazemi, M.R.; Buono, F. Results on varextropy measure of random variables. Entropy 2021, 23, 356. [Google Scholar] [CrossRef] [PubMed]
- Samaniego, F.J. System Signatures and Their Applications in Engineering Reliability; Springer Science & Business Media: Berlin, Germany, 2007; Volume 110. [Google Scholar]
- Khaledi, B.E.; Shaked, M. Ordering conditional lifetimes of coherent systems. J. Stat. Plan. Inference 2007, 137, 1173–1184. [Google Scholar] [CrossRef]
- Kochar, S.; Mukerjee, H.; Samaniego, F.J. The “signature” of a coherent system and its application to comparisons among systems. Nav. Res. Logist. (NRL) 1999, 46, 507–523. [Google Scholar] [CrossRef]
- Toomaj, A.; Chahkandi, M.; Balakrishnan, N. On the information properties of working used systems using dynamic signature. Appl. Stoch. Model. Bus. Ind. 2021, 37, 318–341. [Google Scholar] [CrossRef]





Disclaimer/Publisher’s Note: The statements, opinions and data contained in all publications are solely those of the individual author(s) and contributor(s) and not of MDPI and/or the editor(s). MDPI and/or the editor(s) disclaim responsibility for any injury to people or property resulting from any ideas, methods, instructions or products referred to in the content. |
© 2023 by the authors. Licensee MDPI, Basel, Switzerland. This article is an open access article distributed under the terms and conditions of the Creative Commons Attribution (CC BY) license (https://creativecommons.org/licenses/by/4.0/).
Share and Cite
Kayid, M.; Alshehri, M.A. Tsallis Entropy for the Past Lifetime Distribution with Application. Axioms 2023, 12, 731. https://doi.org/10.3390/axioms12080731
Kayid M, Alshehri MA. Tsallis Entropy for the Past Lifetime Distribution with Application. Axioms. 2023; 12(8):731. https://doi.org/10.3390/axioms12080731
Chicago/Turabian StyleKayid, Mohamed, and Mashael A. Alshehri. 2023. "Tsallis Entropy for the Past Lifetime Distribution with Application" Axioms 12, no. 8: 731. https://doi.org/10.3390/axioms12080731
APA StyleKayid, M., & Alshehri, M. A. (2023). Tsallis Entropy for the Past Lifetime Distribution with Application. Axioms, 12(8), 731. https://doi.org/10.3390/axioms12080731

