An Equilibrium Strategy for Target Benefit Pension Plans with a Longevity Trend and Partial Information
Abstract
1. Introduction
2. Model Formulation
2.1. Demographic and Economic Formulation
2.2. Financial Market
2.3. The Optimization Problem
3. Equilibrium Investment and Benefit Payment Adjustment Strategy
3.1. Filtration Problem
3.2. Equilibrium Problem
3.3. Solution to the Equilibrium Problem
4. Numerical Example
- The time horizon T is set to 30 years.
- The age when the pension participants join the pension plan is 30, the retirement age is 65, the maximum survival age at time 0 is 95, and we have , , .
- Let the maximum survival age growth rate of the pension participants be 0.2 and adjust the survival function parameter . In the model set out in this paper, when the pension plan ends, the maximum survival age of the participant is 106 years old, which is within the reasonable maximum survival age range.
- The number of people newly enrolled in the pension scheme at time t is 20.
- The average annual salary of the newly retired at time 0 is 1, and the expected annual salary increase rate is 0.03.
- The target benefit of pension is 100, and the growth rate . The cost of living adjustment rate .
- The instantaneous payment rate at time 0 is set to 0.3, and the increase rate .
- The risk-free interest rate , the stock price volatility , and the values of the parameters related to the stock yield are , , , and .
- The risk avoidance parameter , and the preference factor .
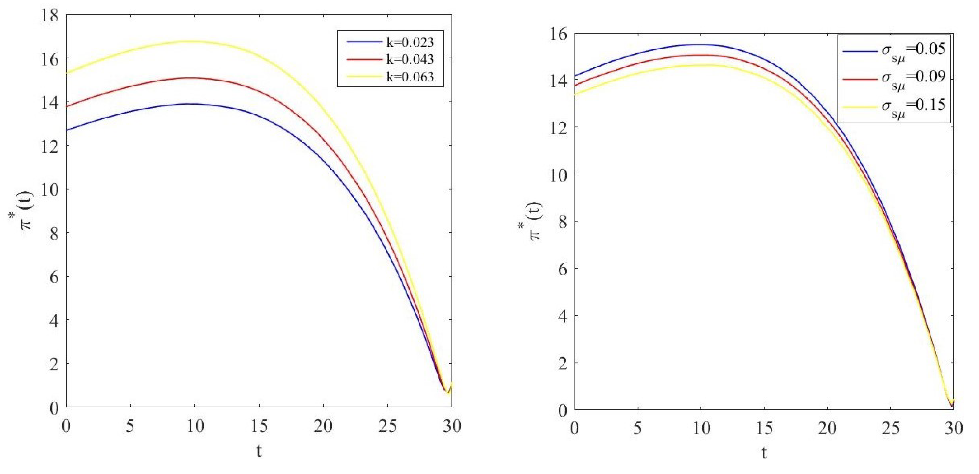
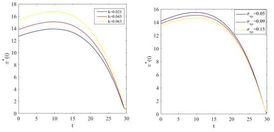
4.1. Equilibrium Benefit Adjustment Strategy
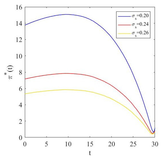
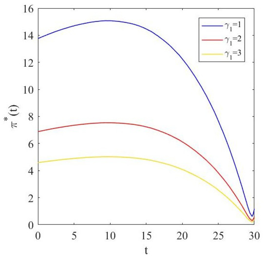
4.2. Equilibrium Investment Strategy
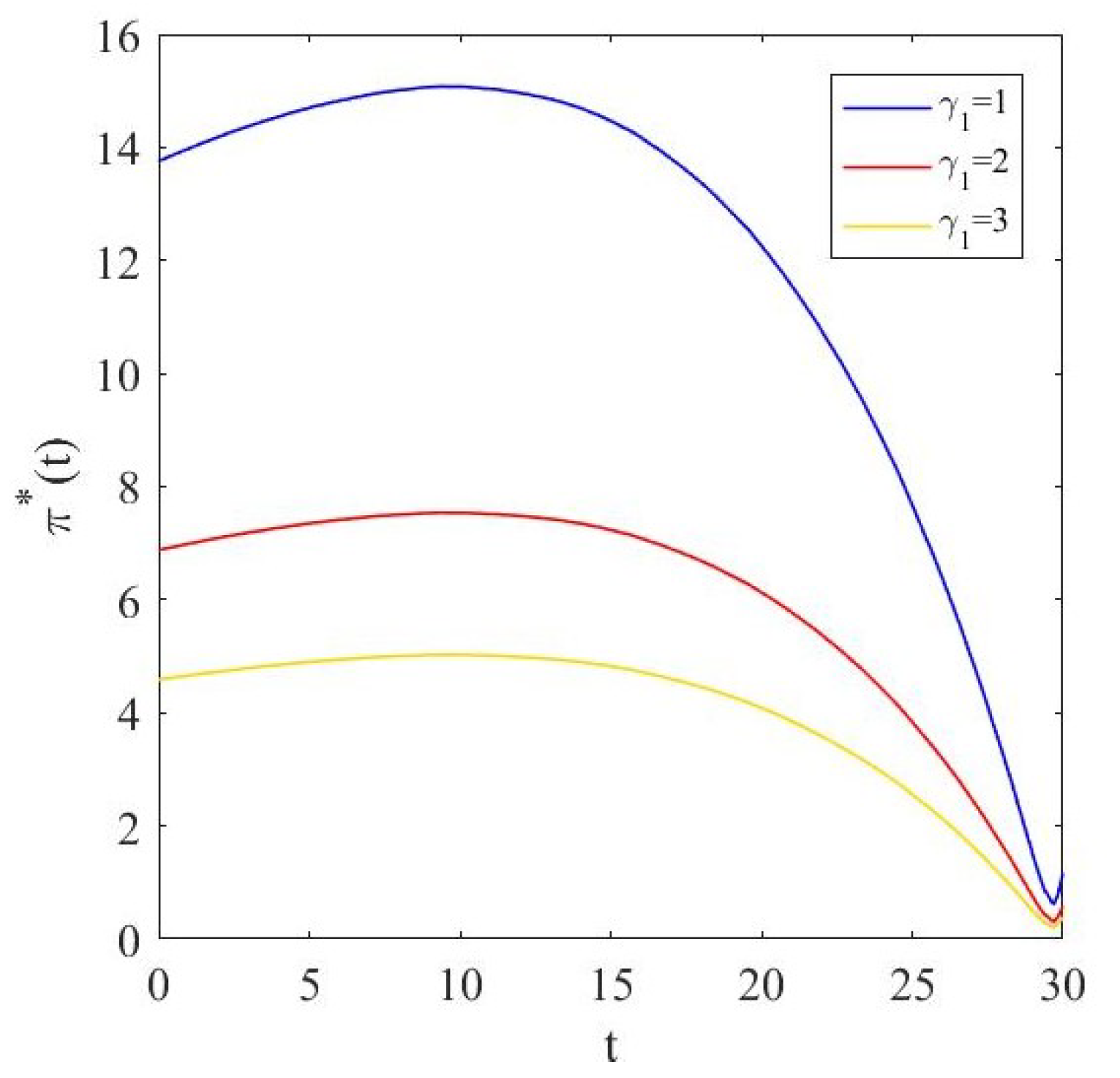
4.3. Influence of the Longevity Trend on the Equalization Benefit Adjustment Strategy
5. Conclusions
Author Contributions
Funding
Institutional Review Board Statement
Informed Consent Statement
Data Availability Statement
Acknowledgments
Conflicts of Interest
Appendix A
Appendix B
References
- Meramveliotakis, G. Understanding Money & Credit in Contemporary Capitalism: Back to the Future of Marx’s Theory of Fetishism and Alienation. Critique 2011, 50, 307–324. [Google Scholar]
- Hassel, A.; Naczyk, M.; Wiß, T. The political economy of pension financialisation: Public policy responses to the crisis. J. Eur. Public Policy 2019, 26, 483–500. [Google Scholar] [CrossRef]
- Niels, K. The ‘defined ambition’ pension plan: A dutch interpretation. Rotman Int. J. Pension Manag. 2013, 6, 6–11. [Google Scholar]
- Bovenberg, A.L.; Mehlkopf, R.; Nijman, T.E. The Promise of Defined Ambition Plans: Lessons for the United States: The Next 40 Years; Oxford University Press: Oxford, UK, 2016; pp. 215–246. [Google Scholar]
- Pugh, C.; Yermo, J. Funding regulations and risk sharing. In OECD Working Papers on Insurance and Private Pensions; OECD: Paris, France, 2008. [Google Scholar] [CrossRef]
- Turner, J.A. Hybrid pensions: Risk sharing arrangements for pension plan sponsors and participants. Soc. Actuar. 2014, 1–44. [Google Scholar]
- Canadian Institute of Actuaries. Report of the Task Force on Target Benefit Plans. 2015. Available online: https://www.cia-ica.ca/docs/default-source/2015/215043e.pdf (accessed on 18 July 2023).
- Munnell, A.H.; Sass, A.S. New Brunswick’s new shared risk pension plan. In State and Local Pension Plans Briefs; Center For Retirement Research: Boston, MA, USA, 2013; No. 33. [Google Scholar]
- Gollier, C. Intergenerational risk-sharing and risk-taking of a pension fund. J. Public Econ. 2008, 92, 1463–1485. [Google Scholar] [CrossRef]
- Cui, J.; De Jong, F.; Ponds, E. Intergenerational risk sharing within funded pension schemes. J. Pension Econ. Financ. 2011, 10, 1–29. [Google Scholar] [CrossRef]
- Wang, S.X.; Lu, Y.; Sanders, B. Optimal investment strategies and intergenerational risk sharing for target benefit pension plans. Insur. Math. Econ. 2018, 80, 1–14. [Google Scholar] [CrossRef]
- Wang, S.X.; Rong, X.M.; Zhao, H. Optimal investment and benefit payment strategy under loss aversion for target benefit pension plans. Appl. Math. Comput. 2019, 346, 205–218. [Google Scholar] [CrossRef]
- Zhao, H.; Wang, S. Optimal investment and benefit adjustment problem for a target benefit pension plan with Cobb-Douglas utility and Epstein-Zin recursive utility. Eur. J. Oper. Res. 2022, 301, 1166–1180. [Google Scholar] [CrossRef]
- Battocchio, P.; Menoncin, F. Optimal pension management in a stochastic framework. Insur. Math. Econ. 2004, 34, 79–95. [Google Scholar] [CrossRef]
- Cairns, A.J.G.; Blake, D.; Dowd, K. Stochastic lifestyling: Optimal dynamic asset allocation for defined contribution pension plans. J. Econ. Dyn. Control 2005, 30, 843–877. [Google Scholar] [CrossRef]
- Bordley, R.; LiCalzi, M. Decision Analysis Using Targets Instead of Utility Functions. Decis. Econ. Financ. 2000, 23, 53–74. [Google Scholar] [CrossRef]
- Vigna, E.; Haberman, S. Optimal Investment Strategy for Defined Contribution Pension Scheme. Insur. Math. Econ. 2001, 28, 233–262. [Google Scholar] [CrossRef]
- Li, D.P.; Rong, X.M.; Zhao, H. Time-Consistent Investment Strategy for DC Pension Plan with Stochastic Salary Under CEV Model. J. Syst. Sci. Complex. 2016, 29, 428–454. [Google Scholar] [CrossRef]
- Zhang, L.; Li, D.P.; Lai, Y.Z. Equilibrium investment strategy for a defined contribution pension plan under stochastic interest rate and stochastic volatility. J. Comput. Appl. Math. 2020, 368, 112536. [Google Scholar] [CrossRef]
- Markowitz, H. Portfolio selection. J. Financ. 1952, 7, 77–91. [Google Scholar]
- Basak, S.; Chabakauri, G. Dynamic mean—Variance asset allocation. Rev. Financ. Stud. 2010, 23, 2970–3016. [Google Scholar] [CrossRef]
- Bjo¨rk, T.; Murgoci, A. A General Theory of Markovian Time Inconsistent Stochastic Control Problems; Working Paper; Stockholm School of Economics: Stockholm, Sweden, 2010. [Google Scholar]
- Long, J.; Zeng, S. Equilibrium Time-Consistent Strategy for Corporate International Investment Problem with Mean-Variance Criterion. Math. Probl. Eng. 2016, 2016, 3295041.1–3295041.20. [Google Scholar] [CrossRef]
- Guan, G. Equilibrium and Precommitment Mean-Variance Portfolio Selection Problem with Partially Observed Price Index and Multiple Assets. Methodol. Comput. Appl. Probab. 2020, 22, 1–23. [Google Scholar] [CrossRef]
- Kronborg, M.T.; Steffensen, M. Inconsistent investment and consumption problems. Appl. Math. Optim. 2015, 71, 473–515. [Google Scholar] [CrossRef]
- Yang, B.Z.; He, X.J.; Zhu, S.P. Continuous time mean–variance–utility portfolio problem and its equilibrium strategy. Optimization 2021, 71, 4213–4241. [Google Scholar] [CrossRef]
- Kang, J.; Wang, M.; Huang, N. Equilibrium strategy for mean–variance–utility portfolio selection under Heston’s SV model. J. Comput. Appl. Math. 2021, 392, 113490. [Google Scholar] [CrossRef]
- Wong, T.W.; Chiu, M.C.; Wong, H.Y. Time-consistent mean-variance hedging of longevity risk: Effect of cointegration. Insur. Math. Econ. 2014, 56, 56–67. [Google Scholar] [CrossRef]
- Kwok, K.Y.; Chiu, M.C.; Wong, H.Y. Demand for longevity securities under relative performance concerns: Stochastic differential games with cointegration. Insur. Math. Econ. 2016, 71, 353–366. [Google Scholar] [CrossRef]
- Strulik, H.; Vollmer, S. Long-run trends of human aging and longevity. J. Popul. Econ. 2013, 26, 1303–1323. [Google Scholar] [CrossRef]
- Knell, M. Increasing life expectancy and NDC pension systems. J. Pension Econ. Financ. 2018, 17, 1–30. [Google Scholar] [CrossRef]
- Devolder, P.; Melis, R. Optimal mix between pay as you go and funding for pension liabilities in a stochastic framework. Astin Bull. 2015, 45, 551–575. [Google Scholar] [CrossRef]
- Fu, K.; Rong, X.; Zhao, H. Optimal investment problem for a hybrid pension with intergenerational risk-sharing and longevity trend under model uncertainty. Working Paper, Tianjin University. arXiv 2023, arXiv:2302.02351. [Google Scholar]
- Fama, E.F.; French, K.R. Permanent and temporary components of stock prices. J. Political Econ. 1988, 96, 246–273. [Google Scholar] [CrossRef]
- Boudoukh, J.; Michaely, R.; Richardson, M.; Roberts, M.R. On the implications of measuring payout yield: Implications for empirical asset pricing. J. Financ. 2007, 62, 877–915. [Google Scholar] [CrossRef]
- Wang, P.; Shen, Y.; Zhang, L.; Kang, Y. Equilibrium investment strategy for a DC pension plan with learning about stock return predictability. Insur. Math. Econ. 2021, 100, 384–407. [Google Scholar] [CrossRef]
- Wang, P.; Zhang, L.; Li, Z. Asset allocation for a DC pention plan with learning about stock return predictability. J. Ind. Manag. Optim. 2022, 18, 3847–3877. [Google Scholar] [CrossRef]
- Liptser, R.S.; Shiryayev, A.N. Statistics of Random Processes, II-Applications; Springer: Berlin/Heidelberg, Germany; New York, NY, USA, 2001. [Google Scholar]









Disclaimer/Publisher’s Note: The statements, opinions and data contained in all publications are solely those of the individual author(s) and contributor(s) and not of MDPI and/or the editor(s). MDPI and/or the editor(s) disclaim responsibility for any injury to people or property resulting from any ideas, methods, instructions or products referred to in the content. |
© 2023 by the authors. Licensee MDPI, Basel, Switzerland. This article is an open access article distributed under the terms and conditions of the Creative Commons Attribution (CC BY) license (https://creativecommons.org/licenses/by/4.0/).
Share and Cite
Liu, W.; Li, N.; Muhammadhaji, A. An Equilibrium Strategy for Target Benefit Pension Plans with a Longevity Trend and Partial Information. Axioms 2023, 12, 732. https://doi.org/10.3390/axioms12080732
Liu W, Li N, Muhammadhaji A. An Equilibrium Strategy for Target Benefit Pension Plans with a Longevity Trend and Partial Information. Axioms. 2023; 12(8):732. https://doi.org/10.3390/axioms12080732
Chicago/Turabian StyleLiu, Wei, Na Li, and Ahmadjan Muhammadhaji. 2023. "An Equilibrium Strategy for Target Benefit Pension Plans with a Longevity Trend and Partial Information" Axioms 12, no. 8: 732. https://doi.org/10.3390/axioms12080732
APA StyleLiu, W., Li, N., & Muhammadhaji, A. (2023). An Equilibrium Strategy for Target Benefit Pension Plans with a Longevity Trend and Partial Information. Axioms, 12(8), 732. https://doi.org/10.3390/axioms12080732

