Dynamics of a Fractional-Order COVID-19 Epidemic Model with Quarantine and Standard Incidence Rate
Abstract
1. Introduction
2. Model Formulation
3. Existence and Uniqueness of Solution
4. Non-Negativity and Boundedness of the Solution
5. The Equilibrium Points and Basic Reproduction Number
6. The Stability of Equilibrium Points
7. Sensitivity Analysis
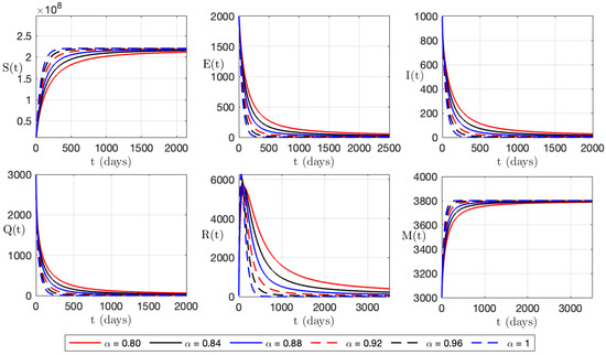
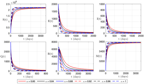
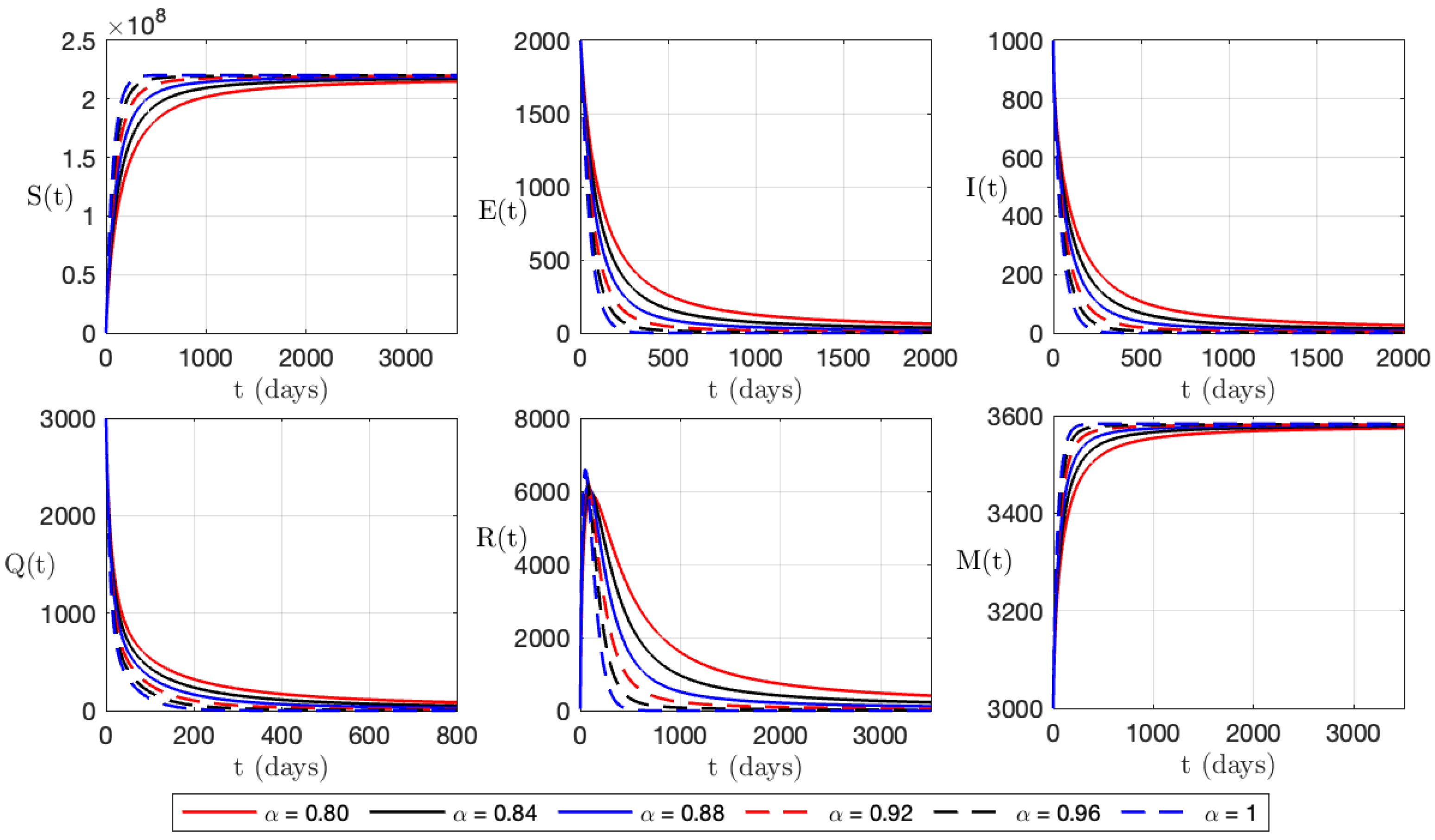
8. Numerical Simulation
9. Parameter Estimation
10. Conclusions
Author Contributions
Funding
Institutional Review Board Statement
Informed Consent Statement
Data Availability Statement
Acknowledgments
Conflicts of Interest
References
- Riyapan, P.; Shuaib, S.E.; Intarasit, A. A mathematical model of COVID-19 pandemic: A case study of Bangkok, Thailand. Comput. Math. Methods Med. 2021, 2021, 6664483. [Google Scholar] [CrossRef] [PubMed]
- Ahmad, S.; Ullah, A.; Al-Mdallal, Q.M.; Khan, H.; Shah, K.; Khan, A. Fractional order mathematical modeling of COVID-19 transmission. Chaos Solitons Fractals 2020, 139, 110256. [Google Scholar] [CrossRef] [PubMed]
- Ahmad, S.W.; Sarwar, M.; Shah, K.; Ahmadian, A.; Salahshour, S. Fractional order mathematical modeling of novel corona virus (COVID-19). Math. Methods Appl. Sci. 2021, 46, 7847–7860. [Google Scholar] [CrossRef] [PubMed]
- World Health Organization. COVID-19 Weekly Epidemiological Update, Edition 115, 26 October 2022. 2022. Available online: https://apps.who.int/iris/bitstream/handle/10665/363853/nCoV-weekly-sitrep26Oct22-eng.pdf?sequence=2 (accessed on 5 September 2022).
- Burki, T.K. Omicron variant and booster COVID-19 vaccines. Lancet Respir. Med. 2022, 10, e17. [Google Scholar] [CrossRef]
- Araf, Y.; Akter, F.; Tang, Y.D.; Fatemi, R.; Parvez, M.S.A.; Zheng, C.; Hossain, M.G. Omicron variant of SARS-CoV-2: Genomics, transmissibility, and responses to current COVID-19 vaccines. J. Med. Virol. 2022, 94, 1825–1832. [Google Scholar] [CrossRef]
- Lotfi, M.; Hamblin, M.R.; Rezaei, N. COVID-19: Transmission, prevention, and potential therapeutic opportunities. Clin. Chim. Acta 2020, 508, 254–266. [Google Scholar] [CrossRef]
- Salian, V.S.; Wright, J.A.; Vedell, P.T.; Nair, S.; Li, C.; Kandimalla, M.; Tang, X.; Carmona Porquera, E.M.; Kalari, K.R.; Kandimalla, K.K. COVID-19 transmission, current treatment, and future therapeutic strategies. Mol. Pharm. 2021, 18, 754–771. [Google Scholar] [CrossRef]
- Tellier, R. COVID-19: The case for aerosol transmission. Interface Focus 2022, 12, 20210072. [Google Scholar] [CrossRef]
- Akindeinde, S.O.; Okyere, E.; Adewumi, A.O.; Lebelo, R.S.; Fabelurin, O.O.; Moore, S.E. Caputo fractional-order SEIRP model for COVID-19 Pandemic. Alex. Eng. J. 2022, 61, 829–845. [Google Scholar] [CrossRef]
- Tuan, N.H.; Mohammadi, H.; Rezapour, S. A mathematical model for COVID-19 transmission by using the Caputo fractional derivative. Chaos Solitons Fractals 2020, 140, 110107. [Google Scholar] [CrossRef]
- Bushnaq, S.; Khan, S.A.; Shah, K.; Zaman, G. Mathematical analysis of HIV/AIDS infection model with Caputo-Fabrizio fractional derivative. Cogent Math. Stat. 2018, 5, 1432521. [Google Scholar] [CrossRef]
- Khan, A.A.; Ullah, S.; Amin, R. Optimal control analysis of COVID-19 vaccine epidemic model: A case study. Eur. Phys. J. Plus 2022, 137, 1–25. [Google Scholar] [CrossRef] [PubMed]
- Khajji, B.; Kouidere, A.; Elhia, M.; Balatif, O.; Rachik, M. Fractional optimal control problem for an age-structured model of COVID-19 transmission. Chaos Solitons Fractals 2021, 143, 110625. [Google Scholar] [CrossRef] [PubMed]
- Musafir, R.R.; Suryanto, A.; Darti, I. Dynamics of COVID-19 epidemic model with asymptomatic infection, quarantine, protection and vaccination. Commun. Biomath. Sci. 2021, 4, 106–124. [Google Scholar] [CrossRef]
- Rayungsari, M.; Aufin, M.; Imamah, N. Parameters estimation of generalized Richards model for COVID-19 cases in indonesia using genetic algorithm. Jambura J. Biomath. (JJBM) 2020, 1, 25–30. [Google Scholar] [CrossRef]
- Darti, I.; Suryanto, A.; Panigoro, H.S.; Susanto, H. Forecasting COVID-19 epidemic in Spain and Italy using a generalized Richards model with quantified uncertainty. Commun. Biomath. Sci. 2020, 3, 90–100. [Google Scholar] [CrossRef]
- Musafir, R.R.; Anam, S. Parameter Estimation of COVID-19 Compartment Model in Indonesia Using Particle Swarm Optimization. J. Berk. Epidemiol. 2022, 10, 283–292. [Google Scholar] [CrossRef]
- Chu, Y.M.; Ali, A.; Khan, M.A.; Islam, S.; Ullah, S. Dynamics of fractional order COVID-19 model with a case study of Saudi Arabia. Results Phys. 2021, 21, 103787. [Google Scholar] [CrossRef]
- Paul, S.; Mahata, A.; Mukherjee, S.; Roy, B. Dynamics of SIQR epidemic model with fractional order derivative. Partial Differ. Equ. Appl. Math. 2022, 5, 100216. [Google Scholar] [CrossRef]
- Zeb, A.; Alzahrani, E.; Erturk, V.S.; Zaman, G. Mathematical model for coronavirus disease 2019 (COVID-19) containing isolation class. BioMed Res. Int. 2020, 2020, 3452402. [Google Scholar] [CrossRef]
- Postavaru, O.; Anton, S.; Toma, A. COVID-19 pandemic and chaos theory. Math. Comput. Simul. 2021, 181, 138–149. [Google Scholar] [CrossRef]
- Rangasamy, M.; Chesneau, C.; Martin-Barreiro, C.; Leiva, V. On a novel dynamics of SEIR epidemic models with a potential application to COVID-19. Symmetry 2022, 14, 1436. [Google Scholar] [CrossRef]
- López, L.; Rodó, X. A modified SEIR model to predict the COVID-19 outbreak in Spain and Italy: Simulating control scenarios and multi-scale epidemics. Results Phys. 2021, 21, 103746. [Google Scholar] [CrossRef]
- Darti, I.; Trisilowati; Rayungsari, M.; Musafir, R.R.; Suryanto, A. A SEIQRD Epidemic Model to Study the Dynamics of COVID-19 Disease. Commun. Math. Biol. Neurosci. 2023, 2023, 5. [Google Scholar] [CrossRef]
- Baleanu, D.; Abadi, M.H.; Jajarmi, A.; Vahid, K.Z.; Nieto, J. A new comparative study on the general fractional model of COVID-19 with isolation and quarantine effects. Alex. Eng. J. 2022, 61, 4779–4791. [Google Scholar] [CrossRef]
- Diethelm, K. The Analysis of Fractional Differential Equations: An Application-Oriented Exposition Using Operators of Caputo Type; Springer Science & Business Media: Berlin/Heidelberg, Germany, 2010. [Google Scholar]
- Farman, M.; Aslam, M.; Akgül, A.; Ahmad, A. Modeling of fractional-order COVID-19 epidemic model with quarantine and social distancing. Math. Methods Appl. Sci. 2021, 44, 9334–9350. [Google Scholar] [CrossRef] [PubMed]
- Alrabaiah, H.; Arfan, M.; Shah, K.; Mahariq, I.; Ullah, A. A comparative study of spreading of novel corona virus disease by ussing fractional order modified SEIR model. Alex. Eng. J. 2021, 60, 573–585. [Google Scholar] [CrossRef]
- Basti, B.; Hammami, N.; Berrabah, I.; Nouioua, F.; Djemiat, R.; Benhamidouche, N. Stability analysis and existence of solutions for a modified SIRD model of COVID-19 with fractional derivatives. Symmetry 2021, 13, 1431. [Google Scholar] [CrossRef]
- Podlubny, I. Fractional Differential Equations: Mathematics in Science and Engineering; Academic Press: Cambridge, MA, USA, 1999. [Google Scholar]
- Li, C.; Qian, D.; Chen, Y. On Riemann-Liouville and caputo derivatives. Discret. Dyn. Nat. Soc. 2011, 2011, 562494. [Google Scholar] [CrossRef]
- Yadan, S.; Kumar, D.; Singh, J.; Baleanu, D. Analysis and dynamics of fractional order COVID-19 model with memory effect. Results Phys. 2021, 24, 104017. [Google Scholar]
- Denu, D.; Kermausuor, S. Analysis of a Fractional-Order COVID-19 Epidemic Model with Lockdown. Vaccines 2022, 10, 1773. [Google Scholar] [CrossRef] [PubMed]
- Danane, J.; Hammouch, Z.; Allali, K.; Rashid, S.; Singh, J. A fractional-order model of coronavirus disease 2019 (COVID-19) with governmental action and individual reaction. Math. Methods Appl. Sci. 2023, 46, 8275–8288. [Google Scholar] [CrossRef]
- Oud, M.A.; Ali, A.; Alrabaiah, H.; Ullah, S.; Khan, M.A.; Islam, S. A fractional order mathematical model for COVID-19 dynamics with quarantine, isolation, and environmental viral load. Adv. Differ. Equ. 2021, 2021, 106. [Google Scholar] [CrossRef] [PubMed]
- Diethelm, K.; Ford, N.J.; Freed, A.D. A predictor-corrector approach for the numerical solution of fractional differential equations. Nonlinear Dyn. 2002, 29, 3–22. [Google Scholar] [CrossRef]
- Petráš, I. Fractional-Order Nonlinear Systems: Modeling, Analysis and Simulation; Springer Science & Business Media: Berlin/Heidelberg, Germany, 2011. [Google Scholar]
- Li, H.L.; Zhang, L.; Hu, C.; Jiang, Y.L.; Teng, Z. Dynamical analysis of a fractional-order predator-prey model incorporating a prey refuge. J. Appl. Math. Comput. 2017, 54, 435–449. [Google Scholar] [CrossRef]
- Murray, J.D. Mathematical Biology I. An Introduction, 2nd ed.; Interdisciplinary Applied Mathematics; Springer Science & Business Media: Berlin/Heidelberg, Germany, 2002; Volume 17. [Google Scholar] [CrossRef]
- Vargas-De-León, C. Volterra-type Lyapunov functions for fractional-order epidemic systems. Commun. Nonlinear Sci. Numer. Simul. 2015, 24, 75–85. [Google Scholar] [CrossRef]
- Huo, J.; Zhao, H.; Zhu, L. The effect of vaccines on backward bifurcation in a fractional order HIV model. Nonlinear Anal. Real World Appl. 2015, 26, 289–305. [Google Scholar] [CrossRef]
- Ahmad, Z.; Arif, M.; Ali, F.; Khan, I.; Nisar, K.S. A report on COVID-19 epidemic in Pakistan using SEIR fractional model. Sci. Rep. 2020, 10, 22268. [Google Scholar] [CrossRef]
- Carcione, J.M.; Santos, J.E.; Bagaini, C.; Ba, J. A simulation of a COVID-19 epidemic based on a deterministic SEIR model. Front. Public Health 2020, 8, 230. [Google Scholar] [CrossRef]
- Marshall, P. The impact of quarantine on COVID-19 infections. Epidemiol. Methods 2021, 10, 1–8. [Google Scholar] [CrossRef]
- Pourkarim, F.; Pourtaghi-Anvarian, S.; Rezaee, H. Molnupiravir: A new candidate for COVID-19 treatment. Pharmacol. Res. Perspect. 2022, 10, e00909. [Google Scholar] [CrossRef] [PubMed]
- Distribution Map of COVID-19. Available online: https://covid19.go.id/peta-sebaran (accessed on 15 January 2023).






| Parameter | Description |
|---|---|
| Susceptible class | |
| Exposed class | |
| Infected class | |
| Quarantined class | |
| Recovered class | |
| Death class | |
| Total of living class | |
| Recruitment rate | |
| Rate of disease transmission | |
| Natural death rate | |
| Incubation rate | |
| Quarantine rate | |
| Recovery rate of infected class | |
| Mortality rate of infected class | |
| Recovery rate of quarantined class | |
| Mortality rate of quarantined class |
| Parameter | Unit | Value | Source |
|---|---|---|---|
| [43] | |||
| [43] | |||
| [43] | |||
| [43] | |||
| Assumed | |||
| [43] | |||
| [44] | |||
| Assumed | |||
| Assumed |
| Parameter | Value of Sensitivity Index |
|---|---|
| 0 | |
| 1 | |
| 0 | |
| 0 |
| Parameter | Derivative Order | ||||||
|---|---|---|---|---|---|---|---|
| 1 | |||||||
| 1 | |||||||
| 1 | |||||||
| Derivative Order | ||||||
|---|---|---|---|---|---|---|
| Derivative Order | ||||||
|---|---|---|---|---|---|---|
Disclaimer/Publisher’s Note: The statements, opinions and data contained in all publications are solely those of the individual author(s) and contributor(s) and not of MDPI and/or the editor(s). MDPI and/or the editor(s) disclaim responsibility for any injury to people or property resulting from any ideas, methods, instructions or products referred to in the content. |
© 2023 by the authors. Licensee MDPI, Basel, Switzerland. This article is an open access article distributed under the terms and conditions of the Creative Commons Attribution (CC BY) license (https://creativecommons.org/licenses/by/4.0/).
Share and Cite
Trisilowati; Darti, I.; Musafir, R.R.; Rayungsari, M.; Suryanto, A. Dynamics of a Fractional-Order COVID-19 Epidemic Model with Quarantine and Standard Incidence Rate. Axioms 2023, 12, 591. https://doi.org/10.3390/axioms12060591
Trisilowati, Darti I, Musafir RR, Rayungsari M, Suryanto A. Dynamics of a Fractional-Order COVID-19 Epidemic Model with Quarantine and Standard Incidence Rate. Axioms. 2023; 12(6):591. https://doi.org/10.3390/axioms12060591
Chicago/Turabian StyleTrisilowati, Isnani Darti, Raqqasyi Rahmatullah Musafir, Maya Rayungsari, and Agus Suryanto. 2023. "Dynamics of a Fractional-Order COVID-19 Epidemic Model with Quarantine and Standard Incidence Rate" Axioms 12, no. 6: 591. https://doi.org/10.3390/axioms12060591
APA StyleTrisilowati, Darti, I., Musafir, R. R., Rayungsari, M., & Suryanto, A. (2023). Dynamics of a Fractional-Order COVID-19 Epidemic Model with Quarantine and Standard Incidence Rate. Axioms, 12(6), 591. https://doi.org/10.3390/axioms12060591

