Numerical Investigation by Cut-Cell Approach for Turbulent Flow through an Expanded Wall Channel
Abstract
1. Introduction
- Grid creation is straightforward and easy to automate.
- Many high precision Integration diagrams assume a basic shape on a uniform Cartesian grid and are straightforward to construct.
- An adaptive grid optimization approach may be simply implemented on a Cartesian grid to give very high flow feature accuracy.
- By using a different mesh method, it is possible to avoid mesh flaws such extremely deformable cells that sometimes appear.
2. Mathematical Model
2.1. Problem Definition
2.2. Governing Equation
- Continuity equation:
2.3. Boundary Conditions
2.4. Solution Procedure
3. Results and Discussions
3.1. Validation of Code
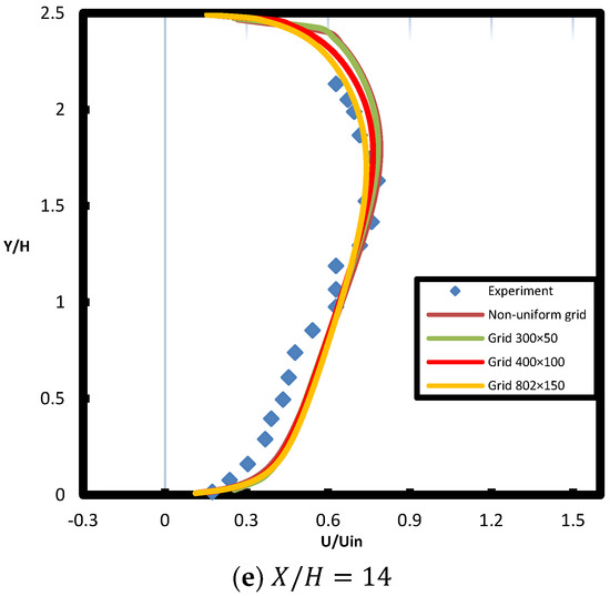
3.1.1. Validation of Backward-Facing Step (BFS)
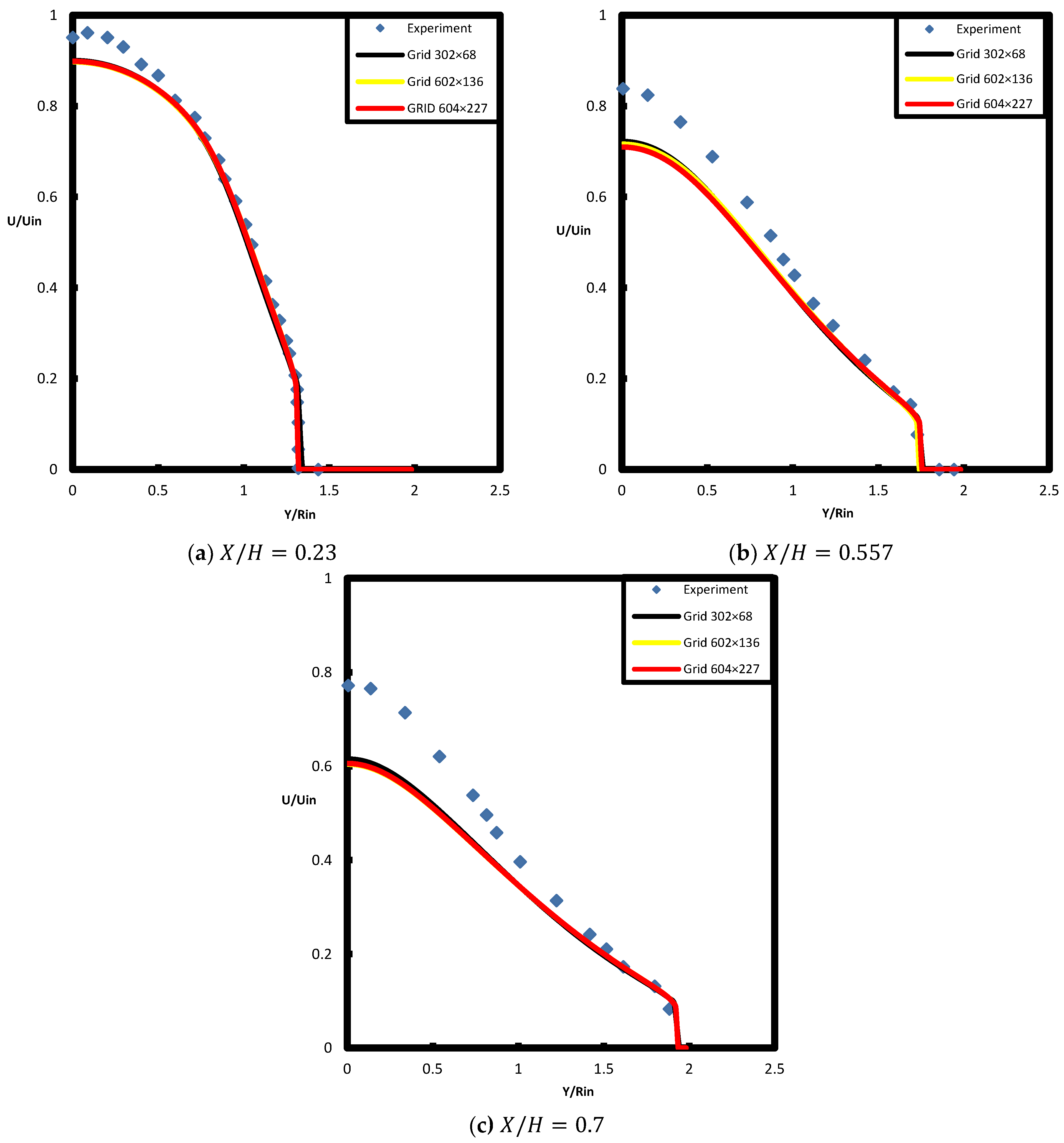
3.1.2. Validation of Axisymmetric Diffuser
3.2. Effect of Area Ratio in Backwarad Facing Step (BFS)
3.3. Effect of Area Ratios and Angles in Axisymmetric Diffuser
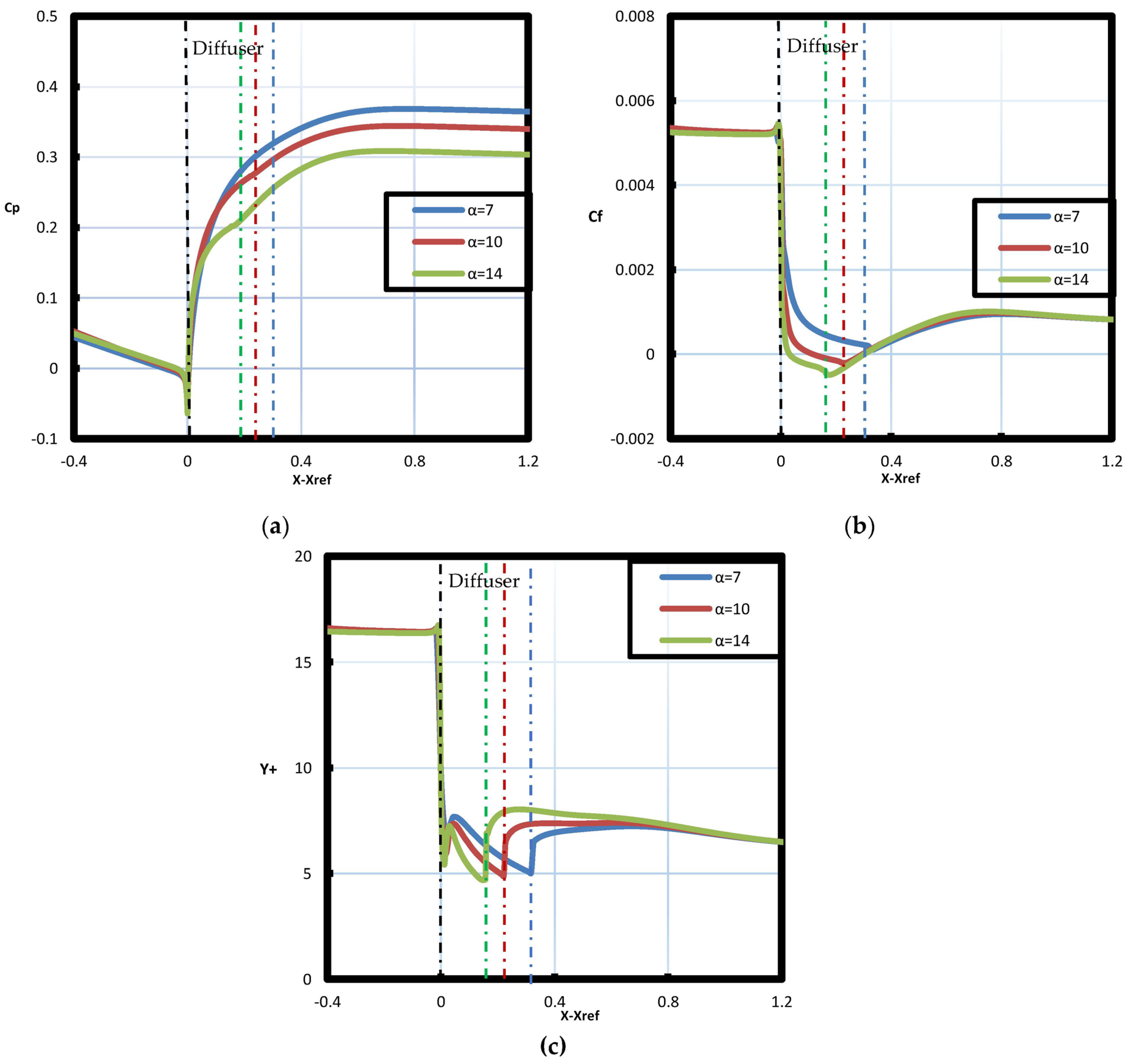
3.3.1. Effect of Angles in Axisymmetric Diffuser
3.3.2. Effect of Area Ratios in Axisymmetric Diffuser
4. Conclusions
- The effect of area ratios in backward-facing steps (BFS) is that when the area ratios increase, the pressure decreases, the velocity decreases, and turbulent kinetic energy increase.
- The separation and eddies increase as the area ratios increase, so the streamlines reflect the impact of area ratios in reattachment.
- The cut cell for the axisymmetric diffuser that helps to get suitble numerical solution and get to be closer.
- When the angle is changed to increase while maintaining the same area ratio, the pressure decreases, the turbulent kinetic energy increase, and the eddies increase.
- When the same angle is used, the area ratios are changed to demonstrate the effect of area ratios with an axisymmetric diffuser. The pressure decreases, the turbulent kinetic energy increase, and the eddies increase
Author Contributions
Funding
Data Availability Statement
Conflicts of Interest
Abbreviations:
| BFS | Backward-facing step |
| RANS | Reynolds averaged Navier-Stokes equations |
| SIMPLE | Semi-Implicit Method for Pressure Linked Equations |
| LES | Large eddy simulation |
| DNS | Direct numerical solution |
| CFD | Computational fluid dynamics |
| FEM | Finite element method |
| FVM | Finite volume method |
| FDM | Finite difference method |
| RE | Reynolds number |
| AR | Area ratios |
| RSM | Reynolds stress model |
References
- Tang, H.; Lei, Y.; Li, X.; Fu, Y. Large-Eddy Simulation of an Asymmetric Plane Diffuser: Comparison of Different Subgrid Scale Models. Symmetry 2019, 11, 1337. [Google Scholar] [CrossRef]
- Anwar-ul-Haque, F.A.; Yamada, S.; Chaudhry, S.R. Assessment of Turbulence Models for Turbulent Flow over Backward Facing Step. In Proceedings of the World Congress on Engineering, London, UK, 5–7 July 2007; Volume 2, pp. 2–7. [Google Scholar]
- Armaly, B.F.; Durst, F.; Pereira, J.C.F.; Schönung, B. Experimental and Theoretical Investigation of Backward-Facing Step Flow. J. Fluid. Mech. 1983, 127, 473. [Google Scholar] [CrossRef]
- Jehad, D.G.; Hashim, G.A.; Zarzoor, A.K.; Azwadi, C.S.N. Numerical Study of Turbulent Flow over Backward-Facing Step with Different Turbulence Models. J. Adv. Res. Des. 2015, 4, 20–27. [Google Scholar]
- Wu, Y.; Ren, H.; Tang, H. Turbulent Flow over a Rough Backward-Facing Step. Int. J. Heat Fluid Flow 2013, 44, 155–169. [Google Scholar] [CrossRef]
- Satheesh Kumar, A.; Singh, A.; Thiagarajan, K.B. Simulation of Backward Facing Step Flow Using OpenFOAM ® . AIP Conf. Proc. 2020, 2204, 030002. [Google Scholar]
- Togun, H.; Safaei, M.R.; Sadri, R.; Kazi, S.N.; Badarudin, A.; Hooman, K.; Sadeghinezhad, E. Numerical Simulation of Laminar to Turbulent Nanofluid Flow and Heat Transfer over a Backward-Facing Step. Appl. Math. Comput. 2014, 239, 153–170. [Google Scholar] [CrossRef]
- Bohnet, M.; Triesch, O. Influence of Particles on Fluid Turbulence in Pipe and Diffuser Gas-Solids Flow. Chem. Eng. Technol. 2003, 26, 1254–1261. [Google Scholar] [CrossRef]
- Thangam, S.; Speziale, C.G. Turbulent Separated Flow Past a Backward-Facing Step: A Critical Evaluation of Two-Equation Turbulence Models (Final Report). AIAA J. 1991, 30, 1314–1320. [Google Scholar] [CrossRef]
- Mandal, D.; Bandyopadhyay, S.; Chakrabarti, S. A Numerical Study on the Flow through a Plane Symmetric Sudden Expansion with a Fence Viewed as a Diffuser. Int. J. Eng. Sci. Technol. 1970, 3, 210–233. [Google Scholar] [CrossRef]
- Mahalakshmi, N.V.; Krithiga, G.; Sandhya, S.; Vikraman, J.; Ganesan, V. Experimental Investigations of Flow through Conical Diffusers with and without Wake Type Velocity Distortions at Inlet. Exp. Therm. Fluid Sci. 2007, 32, 133–157. [Google Scholar] [CrossRef]
- Lee, J.; Jang, S.J.; Sung, H.J. Direct Numerical Simulations of Turbulent Flow in a Conical Diffuser. J. Turbul. 2012, 13, N30. [Google Scholar] [CrossRef]
- Hamisu, M.T.; Jamil, M.M.; Umar, U.S.; Sa’ad, A. Numerical Study of Flow in Asymmetric 2D Plane Diffusers with Different Inlet Channel Lengths. CFD Lett. 2019, 11, 1–21. [Google Scholar]
- Lu, H.; Zhao, W. Numerical Study of Particle Deposition in Turbulent Duct Flow with a Forward- or Backward-Facing Step. Fuel 2018, 234, 189–198. [Google Scholar] [CrossRef]
- El-Behery, S.M.; Hamed, M.H. A Comparative Study of Turbulence Models Performance for Separating Flow in a Planar Asymmetric Diffuser. Comput. Fluids 2011, 44, 248–257. [Google Scholar] [CrossRef]
- Singh, M.; Mukhopadhyay, S. Comparative Study of RANS Turbulence Model for Separating Flow in Planar Asymmetric Diffuser. In Proceedings of the 65th Congress of Istam, Hyderabad, India, 9–12 December 2020. [Google Scholar]
- Salehi, S.; Raisee, M.; Cervantes, M.J. Computation of Developing Turbulent Flow through a Straight Asymmetric Diffuser with Moderate Adverse Pressure Gradient. J. Appl. Fluid Mech. 2017, 10, 1029–1043. [Google Scholar] [CrossRef]
- Yu, K.F.; Lau, K.S.; Chan, C.K. Large Eddy Simulation of Particle-Laden Turbulent Flow over a Backward-Facing Step. Commun. Nonlinear Sci. Numer. Simul. 2004, 9, 251–262. [Google Scholar] [CrossRef]
- Bing, W.; Hui Qiang, Z.; Xi Lin, W. Large-Eddy Simulation of Particle-Laden Turbulent Flows over a Backward-Facing Step Considering Two-Phase Two-Way Coupling. Adv. Mech. Eng. 2013, 5, 325101. [Google Scholar] [CrossRef]
- Herbst, A.H.; Schlatter, P.; Henningson, D.S. Simulations of Turbulent Flow in a Plane Asymmetric Diffuser. Flow. Turbul. Combust. 2007, 79, 275–306. [Google Scholar] [CrossRef]
- Lan, H.; Armaly, B.F.; Drallmeier, J.A. Turbulent Forced Convection in a Plane Asymmetric Diffuser: Effect of Diffuser Angle. J. Heat Transf. 2009, 131, 071702. [Google Scholar] [CrossRef]
- Ahmad, N.; Rappaz, J.; Desbiolles, J.-L.; Jalanti, T.; Rappaz, M.; Combeau, H.; Lesoult, G.; Stomp, C. Numerical Simulation of Macrosegregation: A Comparison between Finite Volume Method and Finite Element Method Predictions and a Confrontation with Experiments. Metall. Mater. Trans. A 1998, 29, 617–630. [Google Scholar] [CrossRef]
- Boghosian, B.M.; Hadjiconstantinou, N.G. Mesoscale Models of Fluid Dynamics. In Handbook of Materials Modeling; Springer: Dordrecht, The Netherlands, 2005; pp. 2411–2414. [Google Scholar]
- El-Askary, W.A.; Ibrahim, K.A.; El-Behery, S.M.; Hamed, M.H.; Al-Agha, M.S. Performance of Vertical Diffusers Carrying Gas-Solid Flow: Experimental and Numerical Studies. Powder Technol. 2015, 273, 19–32. [Google Scholar] [CrossRef]
- Kibicho, K.; Sayers, T. Experimental Measurements of the Mean Flow Field in Wide-Angled Diffusers: A Data Bank Contribution. J. Agric. Sci. Technol. 2008, 10, 223. [Google Scholar]
- Singh, R.K.; Azad, R.S. The Structure of Instantaneous Reversals in Highly Turbulent Flows. Exp. Fluids 1995, 18, 409–420. [Google Scholar] [CrossRef]
- Ye, T.; Mittal, R.; Udaykumar, H.S.; Shyy, W. An Accurate Cartesian Grid Method for Viscous Incompressible Flows with Complex Immersed Boundaries. J. Comput. Phys. 1999, 156, 209–240. [Google Scholar] [CrossRef]
- Berger, M.; Aftosmis, M. Progress towards a Cartesian Cut-Cell Method for Viscous Compressible Flow. In Proceedings of the 50th AIAA Aerospace Sciences Meeting Including the New Horizons Forum and Aerospace Exposition, Nashville, TN, USA, 9–12 January 2012; p. 1301. [Google Scholar]
- Xie, Z. An Implicit Cartesian Cut-Cell Method for Incompressible Viscous Flows with Complex Geometries. Comput. Methods Appl. Mech. Eng. 2022, 399, 115449. [Google Scholar] [CrossRef]
- Yang, G.; Causon, D.M.; Ingram, D.M.; Saunders, R.; Battent, P. A Cartesian Cut Cell Method for Compressible Flows Part A: Static Body Problems. Aeronaut. J. 1997, 101, 47–56. [Google Scholar] [CrossRef]
- Weatherill, N.; Forsey, C. Grid Generation and Flow Calculations for Complex Aircraft Geometries Using a Multi-Block Scheme. In Proceedings of the 17th Fluid Dynamics, Plasma Dynamics, and Lasers Conference, Snowmass, CO, USA, 25–27 June 1984; p. 1665. [Google Scholar]
- Davis, R.L.; Dannenhoffer, J.F. Three-Dimensional Adaptive Grid-Embedding Euler Technique. AIAA J. 1994, 32, 1167–1174. [Google Scholar] [CrossRef]
- Tucker, P.G.; Pan, Z. A Cartesian Cut Cell Method for Incompressible Viscous Flow. Appl. Math. Model. 2000, 24, 591–606. [Google Scholar] [CrossRef]
- Ji, H.; Lien, F.-S.; Yee, E. Numerical Simulation of Detonation Using an Adaptive Cartesian Cut-Cell Method Combined with a Cell-Merging Technique. Comput. Fluids 2010, 39, 1041–1057. [Google Scholar] [CrossRef]
- Kirkpatrick, M.P.; Armfield, S.W.; Kent, J.H. A Representation of Curved Boundaries for the Solution of the Navier–Stokes Equations on a Staggered Three-Dimensional Cartesian Grid. J. Comput. Phys. 2003, 184, 1–36. [Google Scholar] [CrossRef]
- Meyer, M.; Devesa, A.; Hickel, S.; Hu, X.Y.; Adams, N.A. A Conservative Immersed Interface Method for Large-Eddy Simulation of Incompressible Flows. J. Comput. Phys. 2010, 229, 6300–6317. [Google Scholar] [CrossRef]
- Udaykumar, H.S.; Kan, H.-C.; Shyy, W.; Tran-Son-Tay, R. Multiphase Dynamics in Arbitrary Geometries on Fixed Cartesian Grids. J. Comput. Phys. 1997, 137, 366–405. [Google Scholar] [CrossRef]
- Chen, Q.; Zang, J.; Dimakopoulos, A.S.; Kelly, D.M.; Williams, C.J.K. A Cartesian Cut Cell Based Two-Way Strong Fluid–Solid Coupling Algorithm for 2D Floating Bodies. J. Fluids Struct. 2016, 62, 252–271. [Google Scholar] [CrossRef]
- Chen, Y.T.; Nie, J.H.; Armaly, B.F.; Hsieh, H.-T. Turbulent Separated Convection Flow Adjacent to Backward-Facing Step—Effects of Step Height. Int. J. Heat Mass Transf. 2006, 49, 3670–3680. [Google Scholar] [CrossRef]
- Ji, H.; Lien, F.-S.; Yee, E. A Robust and Efficient Hybrid Cut-Cell/Ghost-Cell Method with Adaptive Mesh Refinement for Moving Boundaries on Irregular Domains. Comput. Methods Appl. Mech. Eng. 2008, 198, 432–448. [Google Scholar] [CrossRef]
- Bui, H.P.; Tomar, S.; Bordas, S.P.A. Corotational Cut Finite Element Method for Real-Time Surgical Simulation: Application to Needle Insertion Simulation. Comput. Methods Appl. Mech. Eng. 2019, 345, 183–211. [Google Scholar] [CrossRef]
- El-Askary, W.; Balabel, A. Prediction of Reattachment Turbulent Shear Flow in Asymmetric Divergent Channel Using Linear and Non-Linear Turbulence Models, Eng. Res. J. (ERJ) Fac. Eng. Menoufiya Uni 2007, 30, 535–550. [Google Scholar]
- Versteeg, H.K.; Malalasekera, W. An Introduction to Computational Fluid Dynamics: The Finite Volume Method; Pearson Education: Uttar Pradesh, India, 2007; ISBN 0131274988. [Google Scholar]
- Triesch, O.; Bohnet, M. Measurement and CFD Prediction of Velocity and Concentration Profiles in a Decelerated Gas–Solids Flow. Powder Technol. 2001, 115, 101–113. [Google Scholar] [CrossRef]
- Lun, C.K.K.; Liu, H.S. Numerical Simulation of Dilute Turbulent Gas-Solid Flows in Horizontal Channels. Int. J. Multiph. Flow 1997, 23, 575–605. [Google Scholar] [CrossRef]
- El-Askary, W.A.; Eldesoky, I.M.; Saleh, O.; El-Behery, S.M.; Dawood, A.S. Behavior of Downward Turbulent Gas–Solid Flow through Sudden Expansion Pipe. Powder Technol. 2016, 291, 351–365. [Google Scholar] [CrossRef]
- Schlichting, H. Boundary-Layer Theory; SL McGraw-Hill: New York, NY, USA, 1979. [Google Scholar]
- Ötügen, M. V Expansion Ratio Effects on the Separated Shear Layer and Reattachment Downstream of a Backward-Facing Step. Exp. Fluids 1991, 10, 273–280. [Google Scholar]





















| Turbulence Model | Cε1 | Cε2 | Cε3 | CD | Cµ | σk | σε |
| Standard k-epsilon | 1.44 | 1.92 | 0.0 | 1.0 | 0.09 | 1.0 | 1.3 |
| O | 0.08 | 0.1 | 0.12 | 0.14 |
|---|---|---|---|---|
| Area ratios (O/h) | 2 | 2.5 | 3 | 3.5 |
Disclaimer/Publisher’s Note: The statements, opinions and data contained in all publications are solely those of the individual author(s) and contributor(s) and not of MDPI and/or the editor(s). MDPI and/or the editor(s) disclaim responsibility for any injury to people or property resulting from any ideas, methods, instructions or products referred to in the content. |
© 2023 by the authors. Licensee MDPI, Basel, Switzerland. This article is an open access article distributed under the terms and conditions of the Creative Commons Attribution (CC BY) license (https://creativecommons.org/licenses/by/4.0/).
Share and Cite
Abumandour, R.M.; El-Reafay, A.M.; Salem, K.M.; Dawood, A.S. Numerical Investigation by Cut-Cell Approach for Turbulent Flow through an Expanded Wall Channel. Axioms 2023, 12, 442. https://doi.org/10.3390/axioms12050442
Abumandour RM, El-Reafay AM, Salem KM, Dawood AS. Numerical Investigation by Cut-Cell Approach for Turbulent Flow through an Expanded Wall Channel. Axioms. 2023; 12(5):442. https://doi.org/10.3390/axioms12050442
Chicago/Turabian StyleAbumandour, Ramzy M., Adel M. El-Reafay, Khaled M. Salem, and Ahmed S. Dawood. 2023. "Numerical Investigation by Cut-Cell Approach for Turbulent Flow through an Expanded Wall Channel" Axioms 12, no. 5: 442. https://doi.org/10.3390/axioms12050442
APA StyleAbumandour, R. M., El-Reafay, A. M., Salem, K. M., & Dawood, A. S. (2023). Numerical Investigation by Cut-Cell Approach for Turbulent Flow through an Expanded Wall Channel. Axioms, 12(5), 442. https://doi.org/10.3390/axioms12050442

