Assessing Graph Robustness through Modified Zagreb Index
Abstract
:1. Introduction
1.1. Definitions
1.2. Graph Robustness Measures
1.3. Motivations and Plan of This Paper
2. Modified Zagreb Index and Modified Zagreb Index Centrality
- (1)
 - is a positive semidefinite matrix.
 - (2)
 - Let the eigenvalues of be sorted ascending as , where , which is the lower bound of its eigenvalues, and corresponds to the eigenvector .
 - (3)
 - , that is, the sum of all eigenvalues is equal to n, where n is the order of the graph G.
 - (4)
 - if and only if G is a complete graph .
 
3. Experimental Analysis
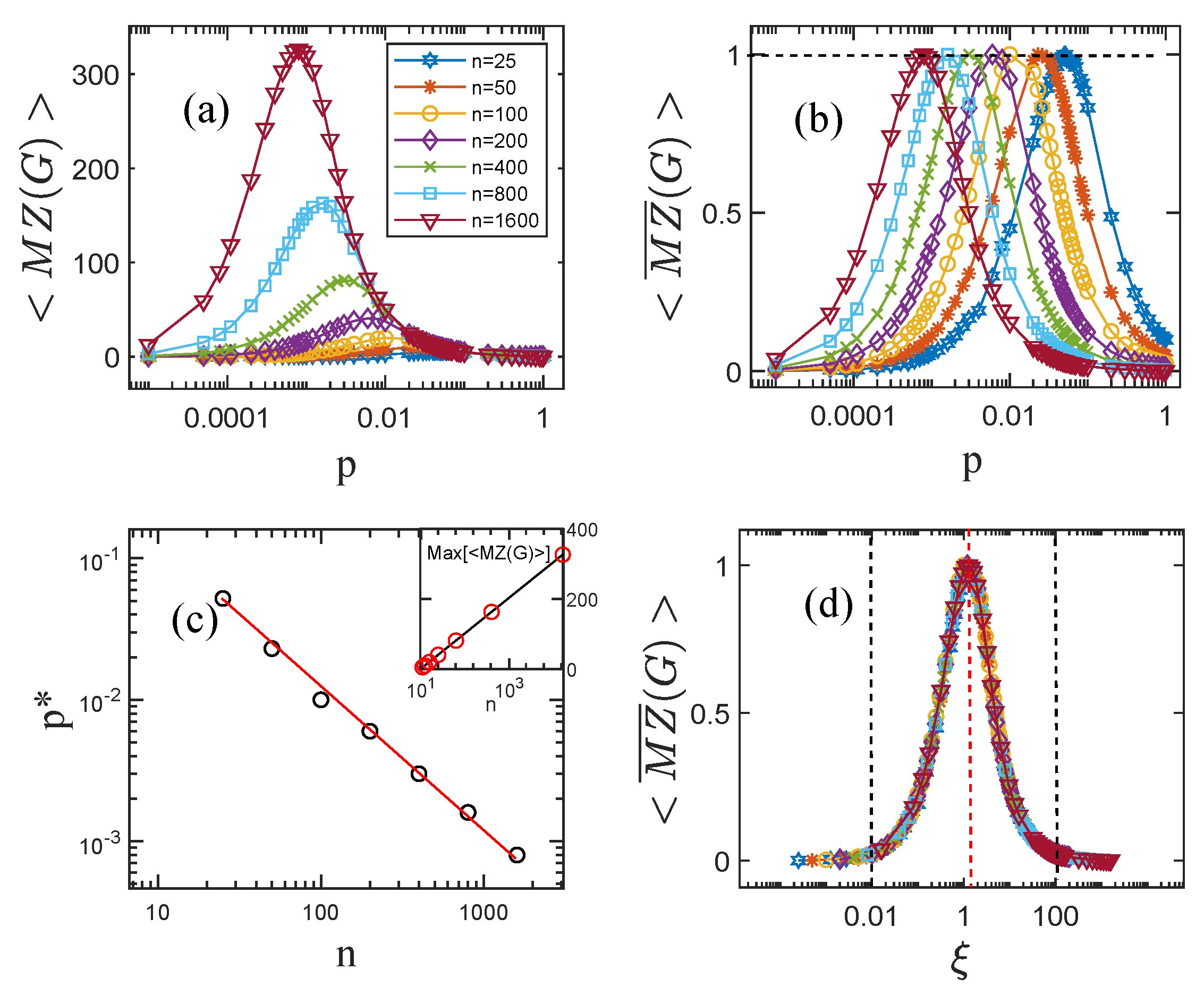
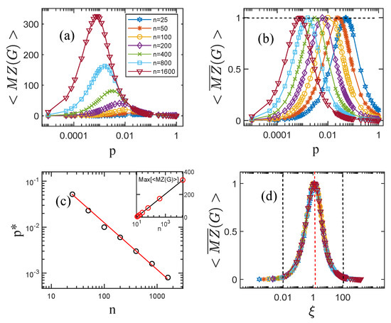
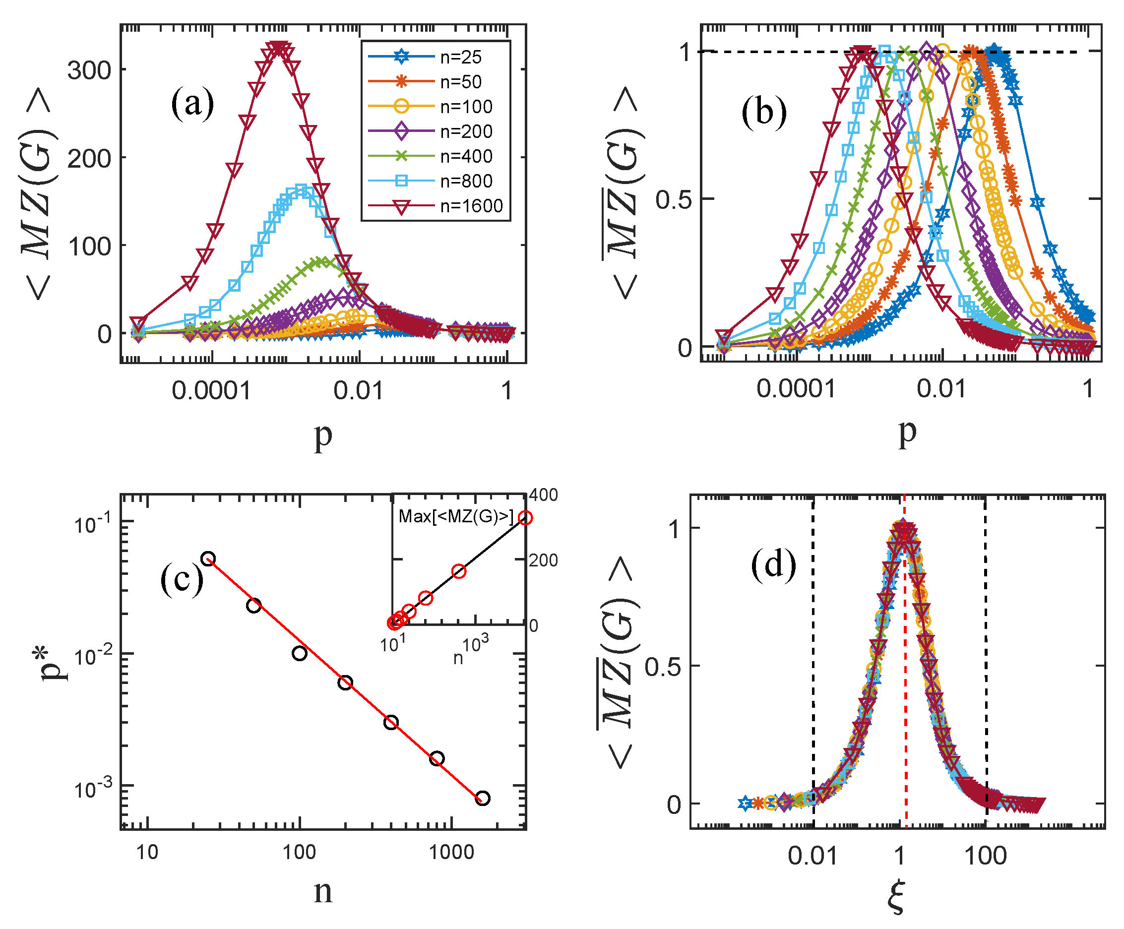
3.1. Modified Zagreb Index in Erdös-Rényi Random Graphs
3.2. Assessment of Robustness for Different Network Models
3.3. Exploring Correlations between Different Measures
3.4. Empirical Applications in Real World Networks
4. Conclusions
Author Contributions
Funding
Data Availability Statement
Conflicts of Interest
References
- Chakrabarti, D.; Wang, Y.; Wang, C.; Leskovec, J.; Faloutsos, C. Epidemic thresholds in real networks. ACM Trans. Inf. Syst. Secur. (TISSEC) 2008, 10, 1–26. [Google Scholar] [CrossRef]
 - Zhang, X.M.; Han, Q.L.; Wang, Z.; Zhang, B.L. Neuronal state estimation for neural networks with two additive time-varying delay components. IEEE Trans. Cybern. 2017, 47, 3184–3194. [Google Scholar] [CrossRef] [PubMed]
 - Le, L.T.; Eliassi-Rad, T.; Tong, H. MET: A fast algorithm for minimizing propagation in large graphs with small eigen-gaps. In Proceedings of the 2015 SIAM International Conference on Data Mining, Vancouver, BC, Canada, 30 April–2 May 2015; Society for Industrial and Applied Mathematics: Philadelphia, PA, USA, 2015; pp. 694–702. [Google Scholar]
 - Tong, H.; Prakash, B.A.; Tsourakakis, C.; Eliassi-Rad, T.; Faloutsos, C.; Chau, D.H. On the vulnerability of large graphs. In Proceedings of the 2010 IEEE International Conference on Data Mining, Sydney, NSW, Australia, 13–17 December 2010; IEEE: Piscataway, NJ, USA, 2010; pp. 1091–1096. [Google Scholar]
 - Fiedler, M. Algebraic connectivity of graphs. Czechoslov. Math. J. 1973, 23, 298–305. [Google Scholar] [CrossRef]
 - Jamakovic, A.; Mieghem, P.V. On the robustness of complex networks by using the algebraic connectivity. In Proceedings of the International Conference on Research in Networking, Singapore, 5–9 May 2008; Springer: Berlin/Heidelberg, Germany, 2008; pp. 183–194. [Google Scholar]
 - Bondy, J.A.; Murty, U.S.R. Graph Theory with Applications; Macmillan: London, UK, 1976. [Google Scholar]
 - Li, X.; Zheng, J. A unified approach to the extremal trees for different indices. MATCH Commun. Math. Comput. Chem. 2005, 54, 195–208. [Google Scholar]
 - Li, X.; Zhao, H. Trees with the first three smallest and largest generalized topological indices. MATCH Commun. Math. Comput. Chem. 2004, 50, 57–62. [Google Scholar]
 - Milićevixcx, A.; Nikolixcx, S. On variable Zagreb indices. Croat. Chem. Acta 2004, 77, 97–101. [Google Scholar]
 - Nikolić, S.; Miličević, A.; Trinajstić, N.; Jurić, A. On use of the variable Zagreb vM2 index in QSPR: Boiling points of benzenoid hydrocarbons. Molecules 2004, 9, 1208–1221. [Google Scholar] [CrossRef]
 - Klein, D.J.; Randić, M. Resistance distance. J. Math. Chem. 1993, 12, 81–95. [Google Scholar] [CrossRef]
 - Gutman, I.; Mohar, B. The quasi-Wiener and the Kirchhoff indices coincide. J. Chem. Inf. Comput. Sci. 1996, 36, 982–985. [Google Scholar] [CrossRef]
 - Wang, H.; Hua, H.; Wang, D. Cacti with minimum, second-minimum, and third-minimum Kirchhoff indices. Math. Commun. 2010, 15, 347–358. [Google Scholar]
 - Erdös, P.; Rényi, A.; Bollobás, B. Publicationes Mathematicae Debrecen. Random Graphs I 1959, 6, 290–297. [Google Scholar]
 - Van Mieghem, P. Performance Analysis of Communications Networks and Systems; Cambridge University Press: Cambridge, UK, 2009. [Google Scholar]
 - Adamic, L.A.; Huberman, B.A.; Barabási, A.L.; Albert, R.R.; Jeong, H.; Bianconi, G. Power-law distribution of the world wide web. Science 2000, 287, 2115. [Google Scholar] [CrossRef]
 - Watts, D.J.; Strogatz, S.H. Nature 393 440 Watts DJ 1999 Small Worlds: The Dynamics of Networks between Order and Randomness; Princeton University: Princeton, NJ, USA, 1998. [Google Scholar]
 - Bavelas, A. Communication patterns in task-oriented groups. J. Acoust. Soc. Am. 1950, 22, 725–730. [Google Scholar] [CrossRef]
 - Barrat, A.; Barthelemy, M.; Pastor-Satorras, R.; Vespignani, A. The architecture of complex weighted networks. Proc. Natl. Acad. Sci. USA 2004, 101, 3747–3752. [Google Scholar] [CrossRef] [PubMed]
 - Wang, X.; Pournaras, E.; Kooij, R.E.; Van Mieghem, P. Improving robustness of complex networks via the effective graph resistance. Eur. Phys. J. B 2014, 87, 1–12. [Google Scholar] [CrossRef]
 - De Meo, P.; Messina, F.; Rosaci, D.; Sarné, G.M.; Vasilakos, A.V. Estimating graph robustness through the Randic index. IEEE Trans. Cybern. 2017, 48, 3232–3242. [Google Scholar] [CrossRef] [PubMed]
 - Martínez-Martínez, C.T.; Mendez-Bermudez, J.A.; Rodríguez, J.M.; Sigarreta, J.M. Computational and analytical studies of the Randić index in Erdös–Rényi models. Appl. Math. Comput. 2020, 377, 125137. [Google Scholar] [CrossRef]
 - Clemente, G.P.; Cornaro, A. A novel measure of edge and vertex centrality for assessing robustness in complex networks. Soft Comput. 2020, 24, 13687–13704. [Google Scholar] [CrossRef]
 - Negre, C.F.A.; Morzan, U.N.; Hendrickson, H.P.; Pal, R.; Lisi, G.P.; Loria, J.P.; Rivalta, I.; Ho, J.; Batista, V.S. Eigenvector centrality for characterization of protein allosteric pathways. Proc. Natl. Acad. Sci. USA 2018, 115, E12201–E12208. [Google Scholar] [CrossRef]
 - Gyongyi, Z.; Berkhin, P.; Garcia-Molina, H.; Pedersen, J. Link Spam Detection Based on Mass Estimation; Stanford University: Stanford, CA, USA, 2005. [Google Scholar]
 - Chen, H.; Soni, U.; Lu, Y.; Huroyan, V.; Maciejewski, R.; Kobourov, S. Same stats, different graphs: Exploring the space of graphs in terms of graph properties. IEEE Trans. Vis. Comput. Graph. 2019, 27, 2056–2072. [Google Scholar] [CrossRef]
 - Butler, S.K. Eigenvalues and Structures of Graphs. Ph.D. Thesis, University of California, San Diego, CA, USA, 2008. [Google Scholar]
 - Chung, F.R.K.; Graham, F.C. Spectral Graph Theory; American Mathematical Society: Providence, RI, USA, 1997. [Google Scholar]
 - Yu, G.; Ye, M.; Cai, G.; Cao, J. Signless Laplacian spectral conditions for Hamiltonicity of graphs. J. Appl. Math. 2014, 2014, 282053. [Google Scholar] [CrossRef] [PubMed]
 - Cavers, M. The Normalized Laplacian Matrix and General Randic Index of Graphs. Ph.D. Thesis, University of Regina, Regina, SK, Canada, 2010. [Google Scholar]
 - Hoory, S.; Linial, N.; Wigderson, A. Expander graphs and their applications. Bull. Am. Math. Soc. 2006, 43, 439–561. [Google Scholar] [CrossRef]
 - Malliaros, F.D.; Megalooikonomou, V.; Faloutsos, C. Estimating robustness in large social graphs. Knowl. Inf. Syst. 2015, 45, 645–678. [Google Scholar] [CrossRef]
 - Aguilar-Sánchez, R.; Herrera-González, I.F.; Méndez-Bermúdez, J.A.; Sigarreta, J.M. Computational properties of general indices on random networks. Symmetry 2020, 12, 1341. [Google Scholar] [CrossRef]
 - Martínez-Pérez, Á.; Rodrxixguez, J.M. New lower bounds for the second variable Zagreb index. J. Comb. Optim. 2018, 36, 194–210. [Google Scholar] [CrossRef]
 













| Name | Definition | Abbreviation | 
|---|---|---|
| Effective Graph Resistance | , where are all the non-zero Laplacian eigenvalues | Kf | 
| Modified Zagreb index | MZ | |
| Global Clustering Coefficient | GCC | |
| Average Path Length | , where is the distance between u and v | APL | 
| Diameter | diam | |
| Algebraic Connectivity | the second smallest eigenvalue of the Laplacian matrix | |
| Density | den | |
| Spectral Radius | the largest eigenvalue of the adjacency matrix | |
| Closeness Centrality | Clos. | |
| Betweenness Centrality | , where is the total number of shortest paths between vertex s and t and is the number of shortest paths between s and t going through v | Betw. | 
| Eigenvector Centrality | the i-th entry in the normalized eigenvector belonging to the largest eigenvalue of the adjacency matrix | Eig.Centr | 
| PageRank Centrality | , where is the PageRank score of vertex v and d is a value between 0 and 1, which determines the damping factor and is usually set to . | PageR | 
| MZC | ERC | Betw. | PageR | Clos. | Eig.Centr | Degree | 
|---|---|---|---|---|---|---|
| 1 | ∞ | 2 | 1 | 10 | 241 | 1 | 
| 2 | 71 | 96 | 3 | 111 | 225 | 6 | 
| 3 | 807 | 120 | 44 | 379 | 607 | 97 | 
| 4 | ∞ | 152 | 43 | 660 | 337 | 179 | 
| 5 | ∞ | 379 | 97 | 989 | 1000 | 311 | 
| 6 | 59 | 50 | 2 | 67 | 162 | 5 | 
| 7 | 139 | 86 | 5 | 262 | 95 | 4 | 
| 8 | ∞ | 66 | 23 | 97 | 199 | 25 | 
| 9 | ∞ | 329 | 50 | 902 | 738 | 180 | 
| 10 | ∞ | 122 | 75 | 953 | 746 | 120 | 
| 11 | 244 | 301 | 4 | 322 | 5 | 3 | 
| 12 | ∞ | 77 | 27 | 974 | 973 | 68 | 
| 13 | 167 | 510 | 13 | 584 | 316 | 17 | 
| 14 | ∞ | 186 | 64 | 624 | 610 | 164 | 
| 15 | 30 | 222 | 25 | 692 | 793 | 56 | 
Publisher’s Note: MDPI stays neutral with regard to jurisdictional claims in published maps and institutional affiliations.  | 
© 2022 by the authors. Licensee MDPI, Basel, Switzerland. This article is an open access article distributed under the terms and conditions of the Creative Commons Attribution (CC BY) license (https://creativecommons.org/licenses/by/4.0/).
Share and Cite
Chen, R.; Li, J.; He, W. Assessing Graph Robustness through Modified Zagreb Index. Axioms 2022, 11, 484. https://doi.org/10.3390/axioms11090484
Chen R, Li J, He W. Assessing Graph Robustness through Modified Zagreb Index. Axioms. 2022; 11(9):484. https://doi.org/10.3390/axioms11090484
Chicago/Turabian StyleChen, Rui, Jianping Li, and Weihua He. 2022. "Assessing Graph Robustness through Modified Zagreb Index" Axioms 11, no. 9: 484. https://doi.org/10.3390/axioms11090484
APA StyleChen, R., Li, J., & He, W. (2022). Assessing Graph Robustness through Modified Zagreb Index. Axioms, 11(9), 484. https://doi.org/10.3390/axioms11090484
        